Submitted:
07 December 2023
Posted:
07 December 2023
You are already at the latest version
Abstract
Keywords:
Introduction
Methods
Description of Study Area
Data Collection
- A.
- Key informant’s interview
- B.
- Semistructured interview
- C.
- Actual farm visit
Data Analysis
Results
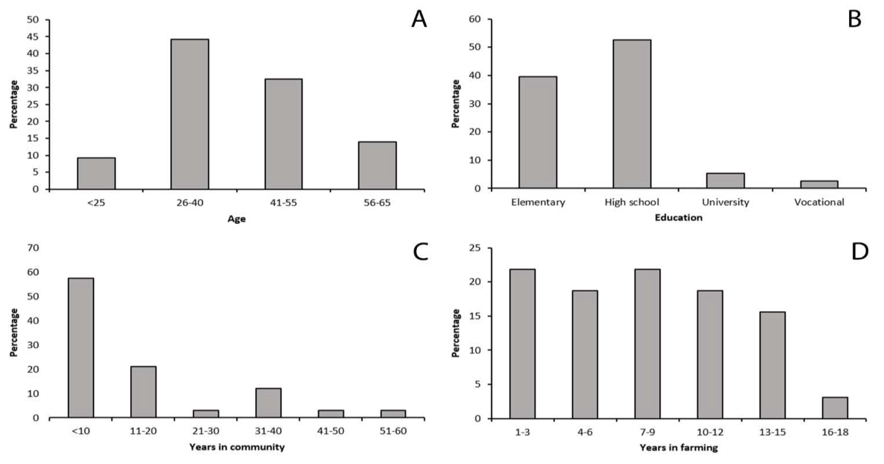
Sociodemographic Profile
Feeding Times and Harvest
Milkfish Farming Practices
Causes of Mortality and Threats
Cost and Return Analysis
| Particulars | Price/unit (PhP) | Unit/cage | Amount/cage/cropping(PhP) | Amount/cage/year(PhP) (2 cropping) |
|---|---|---|---|---|
| RETURNS | ||||
| Harvested Milkfish (0.5 kg) | 150/kilo | 6,200 kg | 930,000 | 1,860,000 |
| OPERATIONAL COST | ||||
| Fingerlings | 6.5 | 15,500 | 100,750 | 201,500 |
| Feeds (25 kg/sack) | ||||
| Starter | 1,170 | 65 | 70,200 | 152,100 |
| Grower | 1,020 | 197 | 200,940 | 401,880 |
| Finisher | 985 | 240 | 236,400 | 531,900 |
| Labor | ||||
| Harvesting cost | 4,000 | 1 | 4,000 | 8,000 |
| Monthly salary of caretaker for 1 cage | 10,000 | 12 months (6 months per cropping) | 60,000 | 120,000 |
| Maintenance and Repair Cost (5% of capital outlay) | 3,950 | 7,900 | ||
| TOTAL OPERATIONAL COST | 676,240 | 1,352,480 | ||
| OVERHEAD COST | ||||
| Bamboo frame with drum floats and mooring | 100,000 | 1 | 100,000 | 100,000 |
| Net cage (10x10x6m) | 9,000 | 1 | 9,000 | 9,000 |
| Business permits/licenses | 2,500 | 1 | 2,500 | 5,000 |
| Depreciation cost | 12,727 | |||
| TOTAL OVERHEAD COST | 111,500 | 126,727 | ||
| TOTAL COST | 787,740 | 1,479,207 | ||
| NET INCOME | 398,793 | |||
| ROI | 27.29203 | |||
| PAYBACK PERIOD | 3.664074 |
Discussion
Problem of Overfeeding
Addressing Mortality Issues
Investments in the Milkfish Sector
The Farmer’s Rights for Association and Livable Wage
Conclusion
Author Contributions
Funding
Data Availability Statement
Conflicts of Interest
References
- Abd El-alkhoris, Y.S.; Abbas, M.S.; Sharaky, A.M.; Fahmy, M.A. Assessment of Water and Sediments Pollution in Maruit Lake, Egypt. Egyptian Journal of Aquatic Biology and Fisheries 2020, 24, 145–160. [Google Scholar] [CrossRef]
- Abreo, N.A.S.; Macusi, E.D.; Cuenca, G.C.; Ranara, C.T.B.; Andam, M.B.; Cardona, L.T.; Arabejo, G.F.P. Nutrient Enrichment, Sedimentation, Heavy Metals and Plastic Pollution in the Marine Environment and its Implications on Philippine Marine Biodiversity: A Review. IAMURE International Journal of Ecology and Conservation 2015, 15, 111–168. [Google Scholar] [CrossRef]
- Abreo, N.A.S.; Siblos, S.K.V.; Macusi, E.D. Anthropogenic Marine Debris (AMD) in Mangrove Forests of Pujada Bay, Davao Oriental, Philippines. Journal of Marine and Island Cultures 2020, 9, 38–53. [Google Scholar] [CrossRef]
- Aubin, J.; Papatryphon, E.; van der Werf, H.M.G.; Chatzifotis, S. Assessment of the environmental impact of carnivorous finfish production systems using life cycle assessment. J Clean Prod 2009, 17, 354–361. [Google Scholar] [CrossRef]
- Avenido, P.; Garley, L.; Bersaldo, M.J. Seasonal Fluctuation of Nutrients and Primary Productivity of the Coastal Waters of Culaman, Malita, Davao Occidental. Davao Research Journal 2023, 14, 55–72. [Google Scholar] [CrossRef]
- Azanza, R.V.; Fukuyo, Y.; Yap, L.G.; Takayama, H. Prorocentrum minimum bloom and its possible link to a massive fish kill in Bolinao, Pangasinan, Northern Philippines. Harmful Algae 2005, 4, 519–524. [Google Scholar] [CrossRef]
- Bagarinao, T. Ecology and Farming of Milkfish; Southeast Asia Fisheries Aquaculture Department (SEAFDEC): Tigbauan, Iloilo, 1999. [Google Scholar]
- BFAR. Philippine Fisheries Profile 2019; Bureau of Fisheries and Aquatic Resources: Quezon City, Philippines, 2020; p. 76. [Google Scholar]
- Clapano, M.B.; Diuyan, J.M.T.; Rapiz, F.G.B.; Macusi, E.D. Typology of Smallholder and Commercial Shrimp (Penaeus vannamei) Farms, including Threats and Challenges in Davao Region, Philippines. Sustainability 2022, 14. [Google Scholar] [CrossRef]
- Cochrane, K.; Young, C.D.; Soto, D.; Bahri, T. Climate change implications for fisheries and aquaculture: Overview of current scientific knowledge, Fao fisheries and aquaculture technical paper. 2009.
- Food and Agriculture Organization of the United Nations, Rome, Italy.
- Cruz-Lacierda, E.R.; Estante, E.G.; de Jesus-Ayson, E.G.T.; Corre, V.L., Jr. Health Management of Milkfish Chanos chanos; Aquaculture Department, Southeast Asian Fisheries Development Center: Tigbauan, Iloilo, Philippines, 2015. [Google Scholar]
- Dey, M.M.; Rab, M.A.; Paraguas, F.J.; Piumsombun, S.; Bhatta, R.; Alam, M.F.; Ahmed, M. Fish consumption and food security: A disaggregated analysis by types of fish and classes of consumers in selected Asian countries. Aquaculture Economics and Management 2005, 9, 89–111. [Google Scholar]
- Gaitan, A.G.; Toledo, J.D.; Arnaiz, M.T.; Ayson, E.G.D.; Altamirano, J.P.; Agbayani, R.F.; Salayo, N.D.; Marte, C.L. Milkfish Chanos chanos Cage Culture Operations; Aquaculture Department, Southeast Asian Fisheries Development Center: 2014.
- Gill, C. World feed panorama: bigger cities, more feed. Feed International 2007, 28, 5–9. [Google Scholar]
- Islam, M.; Yasmin, R. Impact of aquaculture contemporary environmental issues in Bangladesh. Int. J. Fish. Aquat. Stud. 2017, 5, 100–107. [Google Scholar]
- Islam, M.M.; Islam, N.; Habib, A.; Mozumder, M.M.H. Climate Change Impacts on a Tropical Fishery Ecosystem: Implications and Societal Responses. Sustainability 2020, 12, 7970. [Google Scholar] [CrossRef]
- Jacinto, G.S. Fish Kill in the Philippines—Déjà Vu. Science Diliman 2011, 23, 1–3. [Google Scholar]
- Jaikumar, M.; Suresh Kumar, C.; Robin, R.S.; Karthikeyan, P.; Nagarjuna, A. Milkfish Culture: Alternative Revenue for Mandapam Fisherfolk, Palk Bay, Southeast Coast of India. International Journal of Fisheries and Aquaculture Sciences 2013, 3, 31–43. [Google Scholar]
- Macandog, D.M.; de la Cruz, C.P.P.; Edrial, J.D.; Reblora, M.A.; Pabico, J.P.; Salvacion, A.R.; Marquez, J.T.L.; Macandog, P.B.M.; Perez, D.K.B. Eliciting Local Ecological Knowledge and Community Perception on Fishkill in Taal Lake through Participatory Approaches. Journal of Environmental Science and Management 2014, 17, 1–16. [Google Scholar] [CrossRef]
- Macusi, E.D.; Albarido, N.A.; Clapano, M.B.; Santos, M.D. Vulnerability Assessment of Pacific Whiteleg Shrimp (Penaeus vannamei) Farms and Vendors in Davao, Philippines Using FishVool. Sustainability 2022, 14, 4541. [Google Scholar] [CrossRef]
- Macusi, E.D.; Estor, D.E.P.; Borazon, E.Q.; Clapano, M.B.; Santos, M.D. Environmental and Socioeconomic Impacts of Shrimp Farming in the Philippines: A Critical Analysis Using PRISMA. Sustainability 2022, 14, 2977. [Google Scholar] [CrossRef]
- Macusi, E.D.; Geronimo, R.C.; Santos, M.D. Vulnerability drivers for small pelagics and milkfish aquaculture value chain determined through online participatory approach. Marine Policy 2021, 133, 104710. [Google Scholar] [CrossRef]
- Macusi, E.D.; Macusi, E.S.; Jimenez, L.A.; Catam-isan, J.P. Climate change vulnerability and perceived impacts on small-scale fisheries in eastern Mindanao. Ocean & Coastal Management 2020, 189, 105143. [Google Scholar]
- Mamauag, S.S.; Aliño, P.M.; Martinez, R.J.S.; Muallil, R.N.; Doctor, M.V.A.; Dizon, E.C.; Geronimo, R.C.; Panga, F.M.; Cabral, R.B. A framework for vulnerability assessment of coastal fisheries ecosystems to climate change—Tool for understanding resilience of fisheries (VA–TURF). Fisheries Research 2013, 147, 381–393. [Google Scholar] [CrossRef]
- Mohanty, B.; Mohanty, S.; Sahoo, J.; Sharma, A. Climate Change: Impacts on Fisheries and Aquaculture. In Climate Change and Variability; Suzanne, S., Ed.; IntechOpen: Rijeka, 2010. [Google Scholar]
- Nagothu, U.; Ortiz, I. Review and assessment of socio-economic issues of Aquaculture in the Philippines; NIVA (Norwegian Institute for Water Research): Manila, Philippines, 2007. [Google Scholar]
- Philis, G.; Ziegler, F.; Gansel, L.C.; Jansen, M.D.; Gracey, E.O.; Stene, A. Comparing life cycle assessment (LCA) of salmonid aquaculture production systems: Status and perspectives. Sustainability 2019, 11. [Google Scholar] [CrossRef]
- Primavera, J.H. Overcoming the impacts of aquaculture on the coastal zone. Ocean and Coastal Management 2006, 49, 531–545. [Google Scholar] [CrossRef]
- PSA. Official Poverty Statistics Philippine Statistics Authority; Diliman: Quezon City, Philippines, 2021. [Google Scholar]
- PSA Fisheries Statistics of the Philippines 2019-2021. In Philippine Statistics Agency; Mapa, D., Ed.; Quezon City, Philippines, 2022; p. 327.
- Salayo, N.D.; Marte, C.L.; Toledo, J.D.; Gaitan, A.G.; Agbayani, R.F. Developing a self-sufficient Philippine milkfish industry through value chain analysis. Ocean. Coast. Manag. 2020. [Google Scholar] [CrossRef]
- Samson, E. The milkfish industry in the Philippines. In Proceedings of the Second International Milkfish Aquaculture Conference Published by Island Publication House Iloilo City, Philippines; Juario, J.V., Ferraris, R.P., Benitez, L.V., Eds.; 1984; pp. 215–228. [Google Scholar]
- San Diego-McGlone, M.L.; Azanza, R.V.; Villanoy, C.L.; Jacinto, G.S. Eutrophic waters, algal bloom and fish kill in fish farming areas in Bolinao, Pangasinan, Philippines. Marine Pollution Bulletin 2008, 57, 295–301. [Google Scholar] [CrossRef]
- Shahidul Islam, M.; Tanaka, M. Impacts of pollution on coastal and marine ecosystems including coastal and marine fisheries and approach for management: a review and synthesis. Marine Pollution Bulletin 2004, 48, 624–649. [Google Scholar] [CrossRef]
- Su, M.-S.; Lee, C.-S.; Liao, I.C. Technical Responses to Challenges in Milkfish Aquaculture. Rev Fish Sci 2002, 10, 451–464. [Google Scholar] [CrossRef]
- Tacon, A.G.J. Global aquaculture production highlights and estimated compound aquafeed use in 2005. International Aquafeed 2007, 10, 40–44. [Google Scholar]
- Tahiluddin, A.B.; Terzi, E. An Overview of Fisheries Aquaculture in the Philippines. J. Anatol. Env. Anim. Sci. 2021, 6, 475–486. [Google Scholar] [CrossRef]
- Vasava, R.; Shrivastava, V.; Mahavadiya, D.; Sapra, D.; Vadher, D. Nutritional and feeding reuirement of milk fish (Chanos chanos). Int. J. Pure App. Biosci 2018, 6, 1210–1215. [Google Scholar] [CrossRef]
- Villanueva, J.A. Assessment of Commercially Important Small Pelagic Fishes in Davao Gulf CY 2004-2013. The Philippine Journal of Fisheries 2018, 25, 163–182. [Google Scholar] [CrossRef]
- Yap, W.G.; Villaluz, A.C.; Soriano, M.G.G.; Santos, M.N. Milkfish production and processing technologies in the Philippines, Milkfish Project Publication Series; 2007; p. 96.







| Month | Feed type | Protein content (% body weight) | Feeding time interval in a day |
| 1 | Starter crumble | 10-15 | 6:00, 9:00, 12:00, 18:00 |
| 2 | Crumble/Juvenile | 8-10 | 6:00, 9:00, 12:00, 18:00 |
| 3 | Juvenile | 5-8 | 6:00, 9:00, 12:00, 18:00 |
| 4 | Adult | 2-3 | 6:00, 10:00, 14:00, 18:00 |
| Harvested volume | Owner’s income | ||||||
| Source | df | MS | F | P | MS | F | P |
| Regression | 9 | 0.0129 | 5.74 | 0.000 | 0.0095 | 4.14 | 0.001 |
| Age | 1 | 0.0006 | 0.26 | 0.614 | 0.0032 | 1.4 | 0.245 |
| Educ_years | 1 | 0.0025 | 1.11 | 0.300 | 0.0067 | 2.93 | 0.096 |
| Comm_years | 1 | 0.0005 | 0.24 | 0.626 | 0.00003 | 0.01 | 0.908 |
| Farm_years | 1 | 0.0012 | 0.52 | 0.477 | 0.0001 | 0.03 | 0.864 |
| Feedingtimes | 1 | 0.0002 | 0.10 | 0.752 | 0.0000 | 0.00 | 0.989 |
| Months2market | 1 | 0.0051 | 2.27 | 0.141 | 0.00004 | 0.02 | 0.892 |
| Market wt | 1 | 0.0009 | 0.39 | 0.534 | 0.0005 | 0.23 | 0.635 |
| Cages | 1 | 0.00004 | 0.02 | 0.895 | 0.0004 | 0.16 | 0.693 |
| Stocking density | 1 | 0.0907 | 40.13 | 0.000 | 0.0485 | 21.22 | 0.000 |
| Error | 33 | 0.0023 | 0.0023 | ||||
| Total | 42 | ||||||
| Variables | Mean (± SD) |
|---|---|
| No. of cages | 3.03 (± 1.90) |
| Feeding times/day | 5.95 (± 1.11) |
| Feeding interval (h) | 1.43 (± 0.56) |
| Culture time (month) | 5.85 (± 0.89) |
| Market weight (kg) | 0.5 (± 0.08) |
| Market price (PHP/kg) | 150 (± 12.72) |
© 2023 by the authors. Licensee MDPI, Basel, Switzerland. This article is an open access article distributed under the terms and conditions of the Creative Commons Attribution (CC BY) license (http://creativecommons.org/licenses/by/4.0/).