Submitted:
06 January 2024
Posted:
18 January 2024
Read the latest preprint version here
Abstract
Keywords:
1. Introduction
2. Background
2.1. ReSALT Description
2.2. ReSALT Inconsistency Description
3. Method
| Algorithm 1 Self-Consistent ReSALT LHS Retrieval |
![]() |
- Form interferograms across multiple years at the start of the thaw season, ideally when . Any observed subsidence can be attributed to R. Compute the best-fit R that solves all .
- Compute an initial estimate of N by solving (8). N could be solved either per thaw season (which makes ) or overall. Then, like the previous bullet point, form interferograms across multiple years at the start of the thaw season and remove the subsidence contribution due to any initial thaw. This is known because the subsidence contribution due to initial thaw can be written as: . Note denotes N for the thaw season in the 2nd SAR image in the ith interferogram. means the same for the 1st SAR image. Compute the best-fit R that solves all .
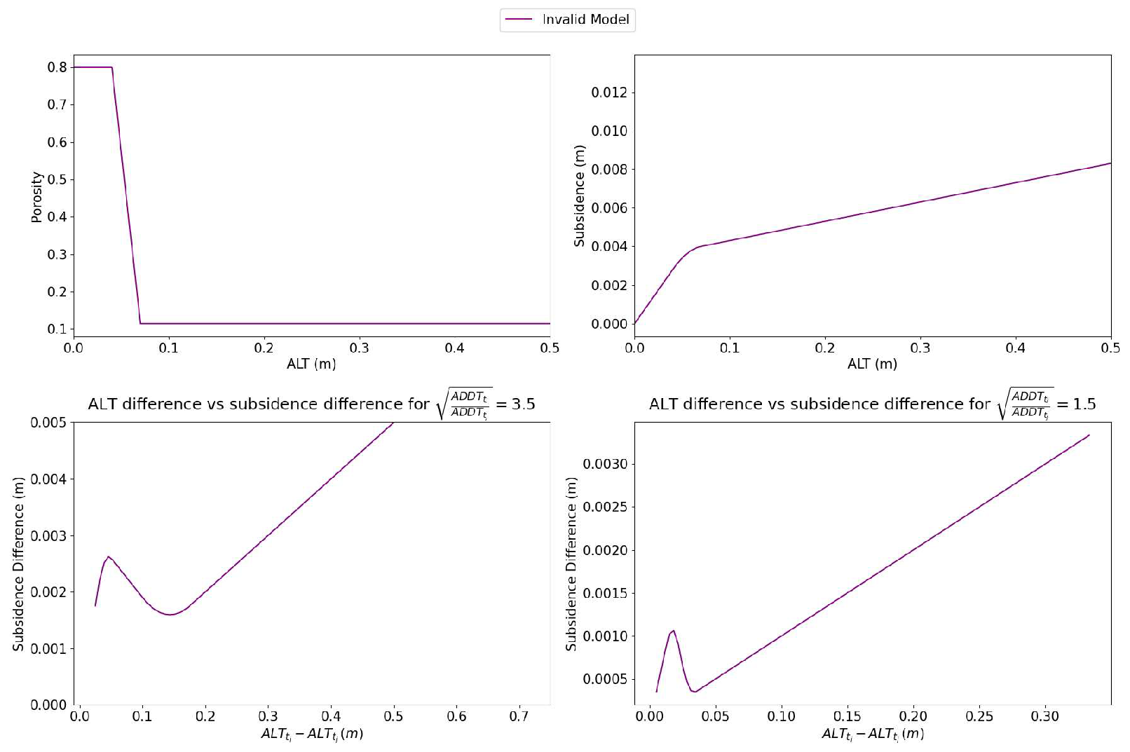
3.1. SCReSALT Counterexample Discussion
- From multiple interferograms per year and obtain time-series measurements of subsidence difference. Attempt to interpolate the measurements onto a subsidence difference vs thaw depth difference graph and determine which thaw depth differences best explain the data.
- Make sure to get a SAR acquisition before the thaw season starts. This allows one to treat the subsidence difference as the true subsidence. Handling this is easy and was described earlier in this paper.
- Using a prior on thaw depth difference might isolate a thaw depth difference as the most likely candidate.
4. Experiments
5. Results
6. Conclusion
Conflicts of Interest
Appendix A. Stefan’s Equation Derivation

Appendix B. ReSALT Derivation
Appendix C. SCReSALT Counterexample Analysis

Appendix D. Additional Experiments Info
- SCReSALT is given the seasonal ALT of the calibration node as input. This is computed from the measured in-situ ALT and scaled to the end-of-season thaw depth according to (7). Note that is known at measurement time and end-of-season time, so this scaling is possible.
- For a particular InSAR image, the seasonal ALT of the calibration node is scaled twice using (7), once using the at the time of the reference image to get and another using the at the time of the secondary image to get . Using (2), and are computed. Then, the expected subsidence difference can be computed as . This is used to apply a global offset to the InSAR image such that the calibration pixel has the expected subsidence difference.
- SCReSALT operates with the calibrated subsidence difference image.
- The U2 plot was used in [9] but not in this paper. It accounted for a single pixel while U1 contributed 121 pixels (minus 6 unused pixels and 1 calibration pixel). This extra data point shouldn’t affect the analysis too much. Note that this would not affect the comparison between the ReSALT data product and SCReSALT in Table 1 because the ReSALT data product ALTs were only compared to U1 CALM ALTs.
- Some interferograms were listed incorrectly in Table A1 of [9]. For example, rows 7 and 9 have the same granules but different dates. Duplicating granules does not make any sense, so this is a typographical error. The dates were used to infer the correct granules. The modified interferogram list is part of the publicly released codebase.
- The 20th interferogram encountered a processing error with ISCE2. Given that this was just 1 interferogram out of 20, it is not expected to affect the analysis too much.
References
- Schaefer, K.; others. Amount and timing of permafrost carbon release in response to climate warming. Tellus B 2011, 63, 165–180. [Google Scholar] [CrossRef]
- Schneider von Deimling, T.; others. Observation-based modelling of permafrost carbon fluxes with accounting for deep carbon deposits and thermokarst activity. Biogeosciences 2015, 12. [Google Scholar] [CrossRef]
- Ruiz, S. $41M audacious grant will tackle permafrost thaw. Woodwell Climate, 2022. Available at: https://www.woodwellclimate.org/41-million-grant-for-permafrost-thaw-monitoring/.
- Carbon emissions from Permafrost. 50x30, 2023. Available at: https://www.50x30.net/carbon-emissions-from-permafrost.
- Miner, K.; others. Permafrost carbon emissions in a changing Arctic. Nature Reviews Earth & Environment 2022, 3. [Google Scholar] [CrossRef]
- Liu, L.; others. InSAR measurements of surface deformation over permafrost on the North Slope of Alaska. Journal of Geophysical Research: Earth Surface 2010, 115. [Google Scholar] [CrossRef]
- European Space Agency. InSAR Principles: Guidelines for SAR Interferometry Processing and Interpretation. Technical report, ESA Publications, 2007.
- Liu, L.; others. Estimating 1992–2000 average active layer thickness on the Alaskan North Slope from remotely sensed surface subsidence. Journal of Geophysical Research: Earth Surface 2012, 117. [Google Scholar] [CrossRef]
- Schaefer, K.; others. Remotely Sensed Active Layer Thickness (ReSALT) at Barrow, Alaska Using Interferometric Synthetic Aperture Radar. Remote Sensing 2015, 7. [Google Scholar] [CrossRef]
- Chen, R.; others. Permafrost Dynamics Observatory (PDO) – Part II: Joint Retrieval of Permafrost Active Layer Thickness and Soil Moisture from L-band InSAR and P-band PolSAR. Earth and Space Science 2023, 10. [Google Scholar] [CrossRef]
- Nixon, F.; Taylor, A. Regional active layer monitoring across the sporadic, discontinuous and continuous permafrost zones, Mackenzie Valley, northwestern Canada. Proceedings of the 7th International Conference on Permafrost. International Permafrost Association, 1998, pp. 815–820.
- Michaelides, R.J.; others. Permafrost Dynamics Observatory—Part I: Postprocessing and Calibration Methods of UAVSAR L-Band InSAR Data for Seasonal Subsidence Estimation. Earth and Space Science 2021, 8. [Google Scholar] [CrossRef] [PubMed]
| 1 | InSAR measures subsidence in the line-of-sight (LOS) direction. That is usually projected from the vertical direction and can be converted into vertical deformation using the incidence angle. |
| 2 | [10] argues convincingly that the ReSALT formulation only works when . If , some open pore space will be filled by freeze/thaw before the ground subsides. At a critical threshold (characterized by the densities of liquid water and ice), freeze/thaw might lead to no ground subsidence. So, this work assumes . |
| 3 | CALM is a long-running program that collects data on permafrost thaw. Data can be accessed at https://www2.gwu.edu/~calm/
|
| 4 | |
| 5 | At this point, the temperature must be in Celsius. |
| 6 | [12] proposes that this is difficult to precisely know and suggests a different approach. However, that is not addressed here. |
| 7 | It could be argued that a physically realizable P should be differentiable. That is ignored in the analysis presented in this paper, but it not hard to see that the example P given later could be made differentiable without changing the conclusion. |


| Metric | ReSALT [9] | ReSALT (Data Product) | ReSALT (Reproduced) | SCReSALT |
|---|---|---|---|---|
| Avg | 2.5 | 2.543 | 3.039 | 1.833 |
| Great Match | 0.62 | 0.623 | 0.518 | 0.570 |
| Good Match | 0.26 | 0.228 | 0.205 | 0.290 |
| Bad Match | 0.12 | 0.1491 | 0.277 | 0.140 |
| Bias (m) | 0.008 | 0.007 | -0.067 | -0.020 |
| Pearson R | - | -0.284 | 0.324 | 0.300 |
| MAE (m) | - | 0.087 | 0.107 | 0.084 |
| RMSE (m) | - | 0.126 | 0.138 | 0.107 |
Disclaimer/Publisher’s Note: The statements, opinions and data contained in all publications are solely those of the individual author(s) and contributor(s) and not of MDPI and/or the editor(s). MDPI and/or the editor(s) disclaim responsibility for any injury to people or property resulting from any ideas, methods, instructions or products referred to in the content. |
© 2024 by the authors. Licensee MDPI, Basel, Switzerland. This article is an open access article distributed under the terms and conditions of the Creative Commons Attribution (CC BY) license (http://creativecommons.org/licenses/by/4.0/).
