Submitted:
06 December 2023
Posted:
07 December 2023
You are already at the latest version
Abstract
Keywords:
1. Introduction
2. Materials and Methods
2.1. Study design
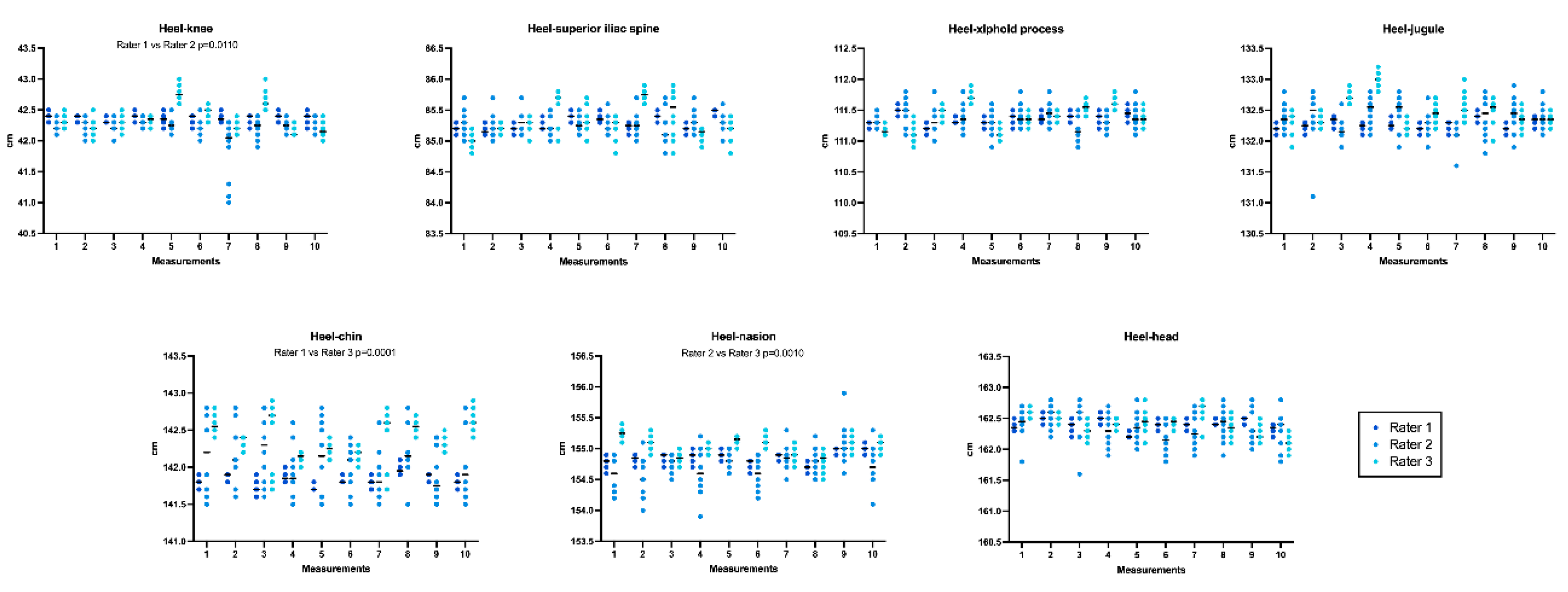
- the precision or intra-rater variability, defined as the degree to which repeated measures performed in different moments produce similar results, was tested comparing, for each anthropometric measure, the measures performed across the ten days;
- the inter-rater reliability, defined as the degree of concordance among different raters who analyse the same parameter independently of each other, was tested by comparing, for each anthropometric measure, the measures performed across the ten days by the 3 involved raters and by comparing the median values obtained by each rater for all the anthropometric measures using the intraclass correlation coefficient (ICC).
- accuracy of the handheld scanner, indicating the closeness between the true value and the value measured with the investigated technique, was evaluated by determining the percentage error between the real (manual) measurement and the median of each digital distance measured by the three raters involved (resulting in 100 measurements for each anthropometric measure).
2.2. Manual measurements
- Identified and marked 6 anthropometric landmarks on the body using an "X" (Figure 1);
- Measured 7 longitudinal distances using a 2-meter rigid meter placed beside the corpse, aligned parallel to its main axis. Additionally, a laser level (Laser Level mode CM-701, Cigman, Essen, Germany) was used to facilitate the orthogonal transposition of the specifically marked landmarks. Each longitudinal distance was measured ten times.
2.3. Body scan
2.4. Body scan
2.5. Statistical analyses
3. Results
4. Discussion
Author Contributions
Funding
Institutional Review Board Statement
Informed Consent Statement
Data Availability Statement
Conflicts of Interest
References
- Recommendation No. R (99) 3 of the Committee of Ministers to Member States on the Harmonization of Medico-Legal Autopsy Rules. Forensic Sci. Int. 2000, 111, 31–58. [CrossRef]
- Ubelaker, D.H. A History of Forensic Anthropology. Am. J. Phys. Anthropol. 2018, 165, 915–923. [CrossRef]
- Blau, S., Ubelaker, D.H., Handbook of Forensic Anthropology and Archaeology; 2nd ed.; Routledge, 2016.
- Blau, S.; Briggs, C.A. The Role of Forensic Anthropology in Disaster Victim Identification (DVI). Forensic Sci. Int. 2011, 205, 29–35. [CrossRef]
- Cattaneo, C. Forensic Anthropology: Developments of a Classical Discipline in the New Millennium. Forensic Sci. Int. 2007, 165, 185–193. [CrossRef]
- Sieberth, T.; Ebert, L.C.; Gentile, S.; Fliss, B. Clinical Forensic Height Measurements on Injured People Using a Multi Camera Device for 3D Documentation. Forensic Sci. Med. Pathol. 2020, 16, 586–594. [CrossRef]
- Saukko, P.; Knight, B. Knight’s Forensic Pathology; 4th ed.; CRC Press, 2015.
- Fourie, Z.; Damstra, J.; Gerrits, P.O.; Ren, Y. Evaluation of Anthropometric Accuracy and Reliability Using Different Three-Dimensional Scanning Systems. Forensic Sci. Int. 2011, 207, 127–134. [CrossRef]
- Shamata, A.; Thompson, T. Documentation and Analysis of Traumatic Injuries in Clinical Forensic Medicine Involving Structured Light Three-Dimensional Surface Scanning versus Photography. J. Forensic Leg. Med. 2018, 58, 93–100. [CrossRef]
- Näther, S.; Buck, U.; Thali, Michael J. Photogrammetry-Based Optical Surface Scanning. In Brogdon’s Forensic Radiology; CRC Press, 2010.
- Maiese, A.; Manetti, A.C.; Ciallella, C.; Fineschi, V. The Introduction of a New Diagnostic Tool in Forensic Pathology: LiDAR Sensor for 3D Autopsy Documentation. Biosensors 2022, 12, 132. [CrossRef]
- Pelletti, G.; Cecchetto, G.; Viero, A.; Fais, P.; Weber, M.; Miotto, D.; Montisci, M.; Viel, G.; Giraudo, C. Accuracy, Precision and Inter-Rater Reliability of Micro-CT Analysis of False Starts on Bones. A Preliminary Validation Study. Leg. Med. 2017, 29, 38–43. [CrossRef]
- Koo, T.K.; Li, M.Y. A Guideline of Selecting and Reporting Intraclass Correlation Coefficients for Reliability Research. J. Chiropr. Med. 2016, 15, 155–163. [CrossRef]
- DiMaio, Vincent J. M. Gunshot Wounds Practical Aspects of Firearms, Ballistics, and Forensic Techniques; 2nd ed.; CRC Press, 1999.
- Kneubuehl, B.P.; Coupland, R.M.; Rothschild, M.A.; Thali, Michael J. Wound Ballistics, Basics and Applications; Springer-Verlag, 2011.
- Haag, L.C. Shooting Incident Reconstruction; Elsevier, 2005.
- Burke, M.P. Forensic Medical Investigation of Motor Vehicle Incidents; CRC Press, 2006.
- Giorgetti, A.; Cecchetto, G.; Giraudo, C.; Quaia, E.; Viero, A.; Viel, G.; Montisci, M. Reconstruction of the Dynamic in a Fatal Traffic Accident with Prolonged Dragging of the Victim. Leg. Med. 2021, 53, 101963. [CrossRef]
- Cecchetto, G.; Viel, G.; Amagliani, A.; Boscolo-Berto, R.; Fais, P.; Montisci, M. Histological Diagnosis of Myocardial Sarcoidosis in a Fatal Fall from a Height. J. Forensic Sci. 2011, 56. [CrossRef]
- Madea, B., Handbook of Forensic Medicine; Wiley Blackwell: Chichester, 2014.
- Brinkmann, B. Harmonisation of Medico-Legal Autopsy Rules. Int. J. Legal Med. 1999, 113, 1–14. [CrossRef]
- Cecchetto, G.; Bajanowski, T.; Cecchi, R.; Favretto, D.; Grabherr, S.; Ishikawa, T.; Kondo, T.; Montisci, M.; Pfeiffer, H.; Bonati, M.R.; et al. Back to the Future - Part 1. The Medico-Legal Autopsy from Ancient Civilization to the Post-Genomic Era. Int. J. Legal Med. 2017, 131, 1069–1083. [CrossRef]
- Cecchi, R.; Cusack, D.; Ludes, B.; Madea, B.; Vieira, D.N.; Keller, E.; Payne-James, J.; Sajantila, A.; Vali, M.; Zoia, R.; et al. European Council of Legal Medicine (ECLM) on-Site Inspection Forms for Forensic Pathology, Anthropology, Odontology, Genetics, Entomology and Toxicology for Forensic and Medico-Legal Scene and Corpse Investigation: The Parma Form. Int. J. Legal Med. 2022, 136, 1037–1049. [CrossRef]
- Peschel, O.; Szeimies, U.; Vollmar, C.; Kirchhoff, S. Postmortem 3-D Reconstruction of Skull Gunshot Injuries. Forensic Sci. Int. 2013, 233, 45–50. [CrossRef]
- Ditkofsky, N.G.; Maresky, H.; Mathur, S. Imaging Ballistic Injuries. Can. Assoc. Radiol. J. 2020, 71, 335–343. [CrossRef]
- Ferrara, S.D.; Cecchetto, G.; Cecchi, R.; Favretto, D.; Grabherr, S.; Ishikawa, T.; Kondo, T.; Montisci, M.; Pfeiffer, H.; Bonati, M.R.; et al. Back to the Future - Part 2. Post-Mortem Assessment and Evolutionary Role of the Bio-Medicolegal Sciences. Int. J. Legal Med. 2017, 131, 1085–1101. [CrossRef]
- Van Kan, R.A.T.; Haest, I.I.H.; Lobbes, M.B.I.; Kroll, J.; Ernst, S.R.; Kubat, B.; Hofman, P.A.M. Post-Mortem Computed Tomography in Forensic Investigations of Lethal Gunshot Incidents: Is There an Added Value? Int. J. Legal Med. 2019, 133, 1889–1894. [CrossRef]
- Giorgetti, A.; Giraudo, C.; Viero, A.; Bisceglia, M.; Lupi, A.; Fais, P.; Quaia, E.; Montisci, M.; Cecchetto, G.; Viel, G. Radiological Investigation of Gunshot Wounds: A Systematic Review of Published Evidence. Int. J. Legal Med. 2019, 133, 1149–1158. [CrossRef]
- American Geosciences Institute. https://www.americangeosciences.org/critical-issues/faq/what-lidar-and-what-it-used.




| Anthropometric measurement |
Median manual measurement (IQ) [mm] |
Digital measurement | ||||
|---|---|---|---|---|---|---|
| Intra-rater reliability | ICC | |||||
| Median (IQ) [mm] Significant differences |
Median (IQ) [mm] Significant differences |
Median (IQ) [mm] Significant differences |
Single Measures | Average Measures | ||
| A. Heel-knee | 42.45 (0.05) | 42.40 (0.05) No p=0.5330 |
42.20 (0.07) No p=0.8822 |
42.30 (0.33) No p=0.4384 |
1.000 | 1.000 |
| B. Heel-superior iliac spine | 85.50 (0.05) | 85.50 (0.20) No p=0.1022 |
85.20 (0.09) No p=0.8532 |
85.39 (0.44) No p=0.2025 |
||
| C. Heel-xiphoid process | 111.50 (0.01) | 111.38 (0.11) No p=0.6143 |
111.32 (0.11) No p=0.9565 |
111.38 (0.40) No p=0.2854 |
||
| D. Heel-jugule | 132.50 (0.05) | 132.26 (0.12) No p=0.6417 |
132.39 (0.16) No p=0.9320 |
132.44 (0.22) No p=0.0980 |
||
| E. Heel-chin | 142.10 (0.10) | 141.80 (0.13) No p=0.1393 |
142.10 (0.27) No p=0.1919 |
142.47 (0.36) Yes p=0.0136 |
||
| F. Heel-nasion | 154.93 (0.10) | 154.90 (0.13) Yes p=0.1045 |
154.67 (0.31) No p=0.6108 |
155.10 (0.22) No p=0.2814 |
||
| G. Heel-head | 162.50 (0.06) | 162.4 (0.14) No p=0.8864 |
162.39 (0.15) No p=0.5401 |
162.41 (0.25) No p=0.5456 |
||
| Anthropometric measurement |
Accuracy Max percent error (median) |
|||
|---|---|---|---|---|
| Rater 1 | Rater 2 | Rater 3 | Median among raters | |
| A. Heel-knee | <0.6% (0.1) Excellent |
<0.8% (0.4) Excellent |
<1.3% (0.4) Excellent |
<0.6% (0.4) Excellent |
| B. Heel-superior iliac spine | <0.5% (0.2) Excellent |
<0.6% (0.3)Excellent |
<0.8% (0.3) Excellent |
<0.4% (0.2) Excellent |
| C. Heel-xiphoid process | <0.4% (0.1) Excellent |
<0.5% (0.2) Excellent |
<0.5% (0.1) Excellent |
<0.2% (0.1) Excellent |
| D. Heel-jugule | <0.3% (0.2) Excellent |
<0.5% (0.2) Excellent |
<0.5% (0.1) Excellent |
<0.2% (0.2) Excellent |
| E. Heel-chin | <0.4% (0.2) Excellent |
<0.5% (0.1) Excellent |
<0.6% (0.2) Excellent |
<0.1% (0.1) Excellent |
| F. Heel-nasion | <0.2% (0.0) Excellent |
<0.5% (0.1) Excellent |
<0.3% (0.1) Excellent |
<0.1% (0.0) Excellent |
| G. Heel-head | <0.2% (0.0) Excellent |
<0.5% (0.1) Excellent |
<0.4% (0.1) Excellent |
<0.1% (0.1) Excellent |
Disclaimer/Publisher’s Note: The statements, opinions and data contained in all publications are solely those of the individual author(s) and contributor(s) and not of MDPI and/or the editor(s). MDPI and/or the editor(s) disclaim responsibility for any injury to people or property resulting from any ideas, methods, instructions or products referred to in the content. |
© 2023 by the authors. Licensee MDPI, Basel, Switzerland. This article is an open access article distributed under the terms and conditions of the Creative Commons Attribution (CC BY) license (http://creativecommons.org/licenses/by/4.0/).
