Submitted:
30 November 2023
Posted:
01 December 2023
You are already at the latest version
Abstract
Keywords:
1. Introduction
2. Materials and Methods
2.1. Animals
2.2. Sampling
2.3. Statistical Methods
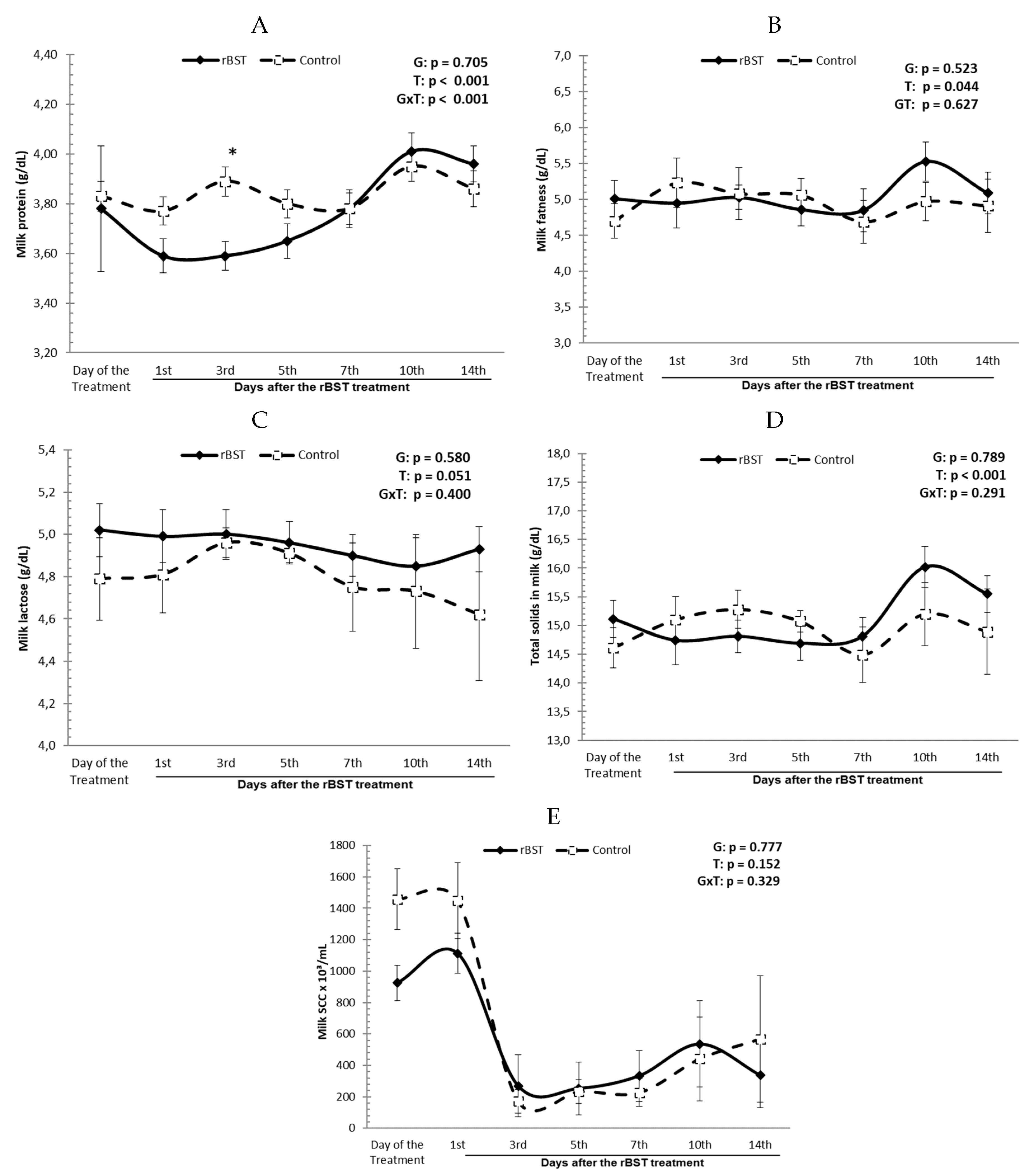
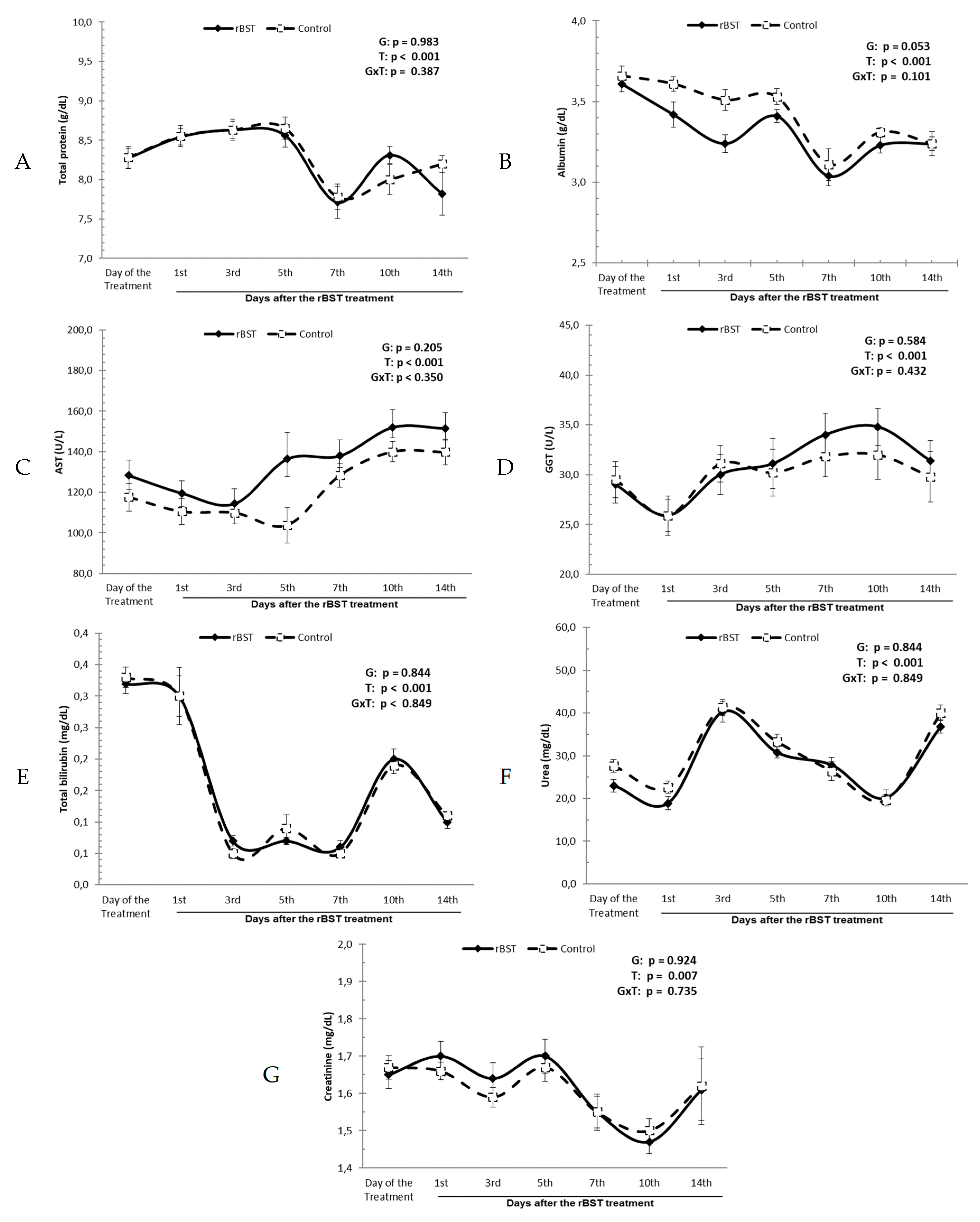
3. Results
4. Discussion
Author Contributions
Funding
Data Availability Statement
Conflicts of Interest
References
- Seno, L. O.; Cardoso, V. L.; Tonhati, H. Valores econômicos para as características de leite de búfalas no estado de São Paulo. Revista Brasileira de Zootecnia, 2017, 36, 2016-2022. [CrossRef]
- Patiño, E. M. Leite de búfalas. In: Jorge, A. M.; Couto, A. G.; Crudeli, G. A.; Patiño, E. M. Produção de búfalas de leite. Botucatu: FEPAF, 2011, 79-108.
- Gonsalves Neto, J.; Fernandes, S. A. A.; Silva, F. F.; Pedreira, M. S. Uso de somatotropina bovina em búfalas: efeitos sobre a produção e composição do leite. Revista Eletrônica Nutritime, 2009, 6, 1056-1071. [CrossRef]
- Morais, J. P. G.; Cruz, A. P. S.; Minami, N. S.; Veronese, L. P.; Del Valle, T. A.; Aramini, J. Lactation performance of Holstein cows treated with 2 formulations of recombinant bovine somatotropin in a large commercial dairy herd in Brazil. Journal of Dairy Science, 2017, 100, 5945-5956. [CrossRef]
- Rennó, F. P.; Lucci, C. S.; Silva, A. G.; Rennó, F. P.; Rennó, L. N.; Rennó Neto, B. P.; Cecon, P. R.; Barbosa, P. F. Efeito da somatotropina bovina recombinante (Rbst) sobre o desempenho produtivo e reprodutivo de vacas da raça Holandesa. Arquivos Brasileiro de Medicina Veterinária e Zootecnia, 2006, 58, 158-166. [CrossRef]
- Chalupa, W.; Galligan, D. T. Nutricional implications of somatotropin for lactating cows. Journal of Dairy Science, 1989, 72, 2510-2524. [CrossRef]
- Bauman, D. E. Bovine somatotropin: review of an emerging animal technology. Journal of Dairy Science, 1992, 75, 3432-3451. [CrossRef]
- Disenhaus, C.; Jammes, H.; Ternois, F.; Sauvant, D. Effects of recombinant bovine somatotropin on goat milk yield, composition and plasma metabolites. Small Ruminant Research, 1995, 15, 39-148. [CrossRef]
- Ludri, R. S.; Upadahyay, R. C.; Singh, M.; Guneratne, J. R.; Basson, R. P. Milk production in lactating buffalo receiving recombinantly produced bovine somatotropin. Journal of Dairy Science, 1989, 72, 2283-2287. [CrossRef]
- Polidori, F.; Sgoifo Rossi, C. A.; Senatore, E. M.; Savoini, G.; Dell´Orto, V. Effect of recombinant bovine somatotropina and calcium salts of long-chain fatty acids on milk from Italian buffalo. Journal of Dairy Science, 1997, 80, 2137-2142. [CrossRef]
- Jorge, A. M.; Gomes, M. I. F. V.; Halt, R. C. Efeito da somatotropina bovina recombinante (bST) sobre a produção de leite em búfalas. Revista Brasileira de Zootecnia, 2002, 31, 1230-1234. [CrossRef]
- Abo El-Nor, S. A. H.; Abd El-Gawad, Mona A. M.; Abd El-Salam, M. H. Effect of Somatotropin and Monensin on the Yield and Quality of Milk and Tallaga Cheese from Egyptian Buffaloes. International Journal of Dairy Science, 2007, v. 2, 58-65. [CrossRef]
- Sarwar, M.; Shahzad, M. A.; Sufyan, A. Influence of bovine somatotropin and replacement of corn dextrose with concentrate on the performance of mid-lactating buffaloes fed urea-treated wheat straw. Turkish Journal of Veterinary and Animal Sciences, 2007, 31, 259-265.
- Khattab, H. M. M.; El-Sayed, H. M.; Abo El-Nor, S. A. H.; El-Alamy, H. A.; Abd El-Gawad, R. M. A. Impact of bovine Somatotropin and monensin on the productive performance of Egyptian dairy buffaloes. International Journal of Dairy Science, 2008, 3, 11-19. [CrossRef]
- Melo, W. O.; Monteiro, B. M.; Chaves, L. C. S.; Santos, E. R. D.; Leão, A. P.; Bragança, G. M.; Faturi, C.; Ribeiro Filho, J. D.; Faria Junior, S. P.; Viana, R. B. Uso da somatotropina recombinante bovina em búfalas leiteiras I: produção e composição físico-química do leite. Arquivo Brasileiro de Medicina Veterinária e Zootecnia, 2018, 70, 957-964. [CrossRef]
- Bauman, D. E.; Eppard, P. J.; De Geeter, M. J.; Lanza, G. M. Responses of high-producing dairy cows to long-term treatment with pituitary somatotropin and recombinant somatotropin. Journal of Dairy Science, 1985, 68, 1352-1362. [CrossRef]
- Santos, R.A.; Teixeira, J.C.; Abreu, L.R. et al. Efeito de diferentes doses de somatotropina bovina (rbST) na produção e composição do leite. Ciênc. Agrotec., 2001, 25,1435-1445.
- Mishra, A.; Shukla, D.C. Effect of recombinant bovine somatotropin (Boostin-250) on blood metabolites and milk yield of lactating buffaloes. Asian-Australas. J. Anim. Sci., 2004, 17, 1232-1235. [CrossRef]
- Helal, F.I.S.; Lasheen, M.A. The productive perforance of egyptian dairy buffaloes receiving biosynthetic bovine somatotropin (rbST) with or without monensin. Am. Eurasian J. Agric. Environ. Sci., 2008, 3, 771- 777.
- Jabbar, M.A.; Ahmad, I.; Javid, S. et al. Effect of bovine somatotropic hormone on the productive performance of Nili-Ravi buffaloes. Ital. J. Anim. Sci., 2007, 6, 1039-1042. [CrossRef]
- Bauman, D. E. Bovine somatotropin and lactation: from basic science to commercial application. Domestic Animal Endocrinology, 1999, 17, 101-116. [CrossRef]
- Chilliard, Y. Long-term effects of recombinant bovine somatotropin (rbST) on dairy cow performances. Annales de zootechnie, 1988, 37, 159-180.
- Bauman, D. E.; Peel, C. J.; Steinhour, W. D.; Reynolds, P. J.; Tyrrell, H. F.; Brown, A. C. G.; Haaland, G. L. Effect of bovine somatotropin on metabolism of lactating dairy cows: influence on rates of irreversible loss and oxidation of glucose and nonesterified fatty acids. Journal of Nutrition, 1988, 118,1031-1040. [CrossRef]
- Tyrrell, H. F.; Brown, A. C. G.; Reynolds, P. J.; Haaland, G. L.; Bauman, D. E.; Peel, C. J.; Steinhour, W. D. Effect of bovine somatotropin on metabolism of lactating dairy cows: energy and nitrogen utilization as determined by respiration calorimetry. The Journal of Nutrition, 1988, 118, 1024-1030. [CrossRef]
- Rennó Neto, B. P. Influência da aplicação da somatotropina bovina recombinante (RBST) na função hepática, renal e no lipidograma de bovinos da raça holandesa em lactação. 116f. Dissertação (Mestrado) – Faculdade de Medicina Veterinária e Zootecnia, Universidade de São Paulo, 2004.
- Peel, C. J.; Bauman, D. E. Somatotropin and lactation. Journal of Dairy Science, 1987, 70, 474-486. [CrossRef]
- Gallo, G. F.; Block. E. Effects of recombinant bovine somatotropin on nutritional status and liver function of lactanting dairy cows. Journal of Dairy Science, 1990, 73, 11, 3276-3286. [CrossRef]
- De La Sota, R. L.; Lucy, M. C.; Staples, C. R.; Thatcher, W. W. Effects of recombinant bovine somatotropin (sometribove) on ovarian function in lactating and nonlactating dairy cows. Journal of Dairy Science, 1993, 76, 1002-1013. [CrossRef]
- Soderholm, C. G.; Otterby, F. R.; Linn, D. L.; Ehle, J. G.; Wheaton, F. R.; Hansen, J. E.; Annexstad, J. R. Effects of recombinant bovine somatotropin on milk production, body composition and physiological parameters. Journal of Dairy Science, 1988, 71, 355-365. [CrossRef]
- Morbeck, D. E.; Britt, J. H.; McDaniel, B. T. Relationships among milk yield, metabolism, and reproductive performance of primiparous Holstein cows treated with somatotropin. Journal of Dairy Science, 1991, 74, 2153-2164. [CrossRef]
- Etherton, T. D.; Louveau, I.; Sorensen, M. T.; Chaudhuri, S. Mechanisms by which somatotropin decreases adipose tissue growth. American Journal of Clinical Nutrition, 1993, 58, 287-295. [CrossRef]
- Etherton, T. D.; Bauman, D. E. Biology of somatotropin in growth and lactation of domestic animals. Physiology Reviews, 1998, 78, 745-761. [CrossRef]
- Melo, W. O.; Nascimento Júnior, A. S.; Monteiro, B. M.; Ribeiro Filho, J. D.; Faturi, C.; Daher, L. C. C.; Souza, D. C.; Sousa, E. M.; Faria Junior, S. P.; Viana, R. B. Uso da somatotropina recombinante bovina em búfalas leiteiras II: metabolismos energéticos e mineral. Arquivo Brasileiro de Medicina Veterinária e Zootecnia, 2019, 71, 732-740. [CrossRef]
- Kaneko, J. J. Serum proteins and the dysproteinemias. 1997, 117-138. In: Clinical Biochemistry of Domestic Animals. 5th ed. Academic Press, San Diego.
- Vicini, J. L.; Hudson, S.; Cole, W. J.; Miller, M. A.; Eppard, P. J.; White, T. C.; Collier, R. J. Effect of acute challenge with an extreme dose of somatotropin in a prolonged-release formulation on milk production and health of dairy cattle. Journal of Dairy Science, 1990, 73, 2093-2102. [CrossRef]
- Coles, E. H. Veterinary Clinical Pathology. 1986, 4th ed. W.B. Saunders, Philadelphia.
- Brown, S. A.; Groves, C.; Barsanti, J. A.; Finco, D. R. Determination of excretion of inulin, creatinine, sodium sulfanilate, and phenolsulfophthalein to asses renal function in goats. American Journal Veterinary Research, v. 51, n. 4, p. 581-586, 1990. PMID: 2327619.
- McDowell, G. H. Somatotropin and endocrine regulation of metabolism during lactation. Journal of Dairy Science, 1991, 74, 44-62. [CrossRef]
- Bauman, D. E.; Vernon, R. G. Effects of exogenous bovine somatotropin on lactation. Annual Review of Nutrition, 1993, 13, 437-461. [CrossRef]
- Barbano, D. J.; Lynch, J. M.; Bauman, D. E.; Hartnell, G. F.; Hintz, R. L.; Nemeth, M. A. Effect of prolonged-release formulation of N-methionyl Bovine Somatotropin (Sometribove) on milk composition. Journal of Dairy Science, 1992, 75, 1775-1793. [CrossRef]
- Burton, J. L.; McBride, B. W.; Block, E.; Glimm, D. R.; Kennelly, J. J. A review of bovine growth hormone. Canadian Journal of Animal Science, 1994, 74, 167-201. [CrossRef]
- Laurent, F.; Vignon, B.; Coomans, D.; Wilkinson, J.; Bonnel, A. Influence of bovine somatotropin on the composition and manufacturing properties of milk. Journal of Dairy Science, 1992, 75, 2226-2234. [CrossRef]
- Ferreira, A. T.; Souza, J. C.; Pereira, M. N. et al. Influência da somatotropina bovina recombinante (rbst), aplicada um dia após o parto, sobre a produção de vacas da raça Holandês primíparas. Ciênc. Agrotec., 2002, 26, 1568-1574.
- Tarazon-Herrera, M. A.; Huber, J. T.; Santos, J. E. P.; Nussio, L. G. 2000. Effects of bovine somatotropin on milk yield and composition in Holstein cows in advanced lactation fed low- or high-energy diets. Journal of Dairy Science, 2000, 83, 430-434, 2000. [CrossRef]
- Dohoo, I. R.; DesCôteaux, L.; Leslie, K.; Fredeen, A.; Shewfelt, W.; Preston, A.; Dowling, P. A meta-analysis review of the effects of recombinant bovine somatotropina 2. Effects on animal health, reproductive performance, and culling. The Canadian Journal of Veterinary Research, 2003, 67, 52-264. https://www.ncbi.nlm.nih.gov/pmc/articles/PMC280709/.
- Nytes, A. J.; Combs, D. K.; Shook, G. E.; Shaver, R. D.; Cleale, R. M. Response to recombinant bovine somatotropin in dairy cows with different genetic merit for milk production. Journal of Dairy Science, 1990, 73, 784-791. [CrossRef]




Disclaimer/Publisher’s Note: The statements, opinions and data contained in all publications are solely those of the individual author(s) and contributor(s) and not of MDPI and/or the editor(s). MDPI and/or the editor(s) disclaim responsibility for any injury to people or property resulting from any ideas, methods, instructions or products referred to in the content. |
© 2023 by the authors. Licensee MDPI, Basel, Switzerland. This article is an open access article distributed under the terms and conditions of the Creative Commons Attribution (CC BY) license (http://creativecommons.org/licenses/by/4.0/).
