Preprint
Article

This version is not peer-reviewed.

Quality of Colour Rendering in Photographic Scenes Illuminated by Light Sources with Light-Shaping Attachments

A peer-reviewed article of this preprint also exists.

Submitted:

27 November 2023

Posted:

27 November 2023

You are already at the latest version

Abstract
When lighting photographic scenes, light sources are often coupled with light-shaping attachments to alter the original light. While the colour rendering properties of the light sources are known, the effect of the added modifiers has not yet been fully investigated. In this research, the effects of light-shaping attachments such as snoot, beauty dish and a range of softboxes on the colour rendering index of the original light sources are investigated using a series of spectrophotometric measurements. The results outline the effects of each light-shaping attachment and provide guidance on the usability of the modifiers used when it comes to accurate colour rendering.
Keywords: 
;  ;  ;  ;  

1. Introduction

Colour is of great importance to the communicative value of a photograph, whether in accurately depicting the scene observed or in enhancing the impression of the object depicted. In the digital world, colour correction is often done in post-processing, but a high-quality input image also ensures a high-quality output. To get a high-quality original image, one needs to understand the behaviour of the light used and its properties.
Photographers use a variety of light sources in their work. Natural light, also known as available light, is often used. This light can be fully utilised or shaped using different surfaces that either have different transparency properties to allow light to pass through, or reflective properties to deflect the original beam of light. Additional artificial light sources can also be used, either in combination with the natural light or as stand-alone light sources. Light sources have different properties, usually described by type, corelated colour temperature (CCT), colour rendering index (CRI) and power with which they emit the light. However, light from any source can be transformed with different materials. In all these applications, the colour properties of the original light beam often change as well.
The frequency with which different materials are used to transform the original light beam is high, which is why different manufacturers produce a variety of light-shaping attachments to attach them effortlessly to the light source. However, the user has no tool to accurately predict the influence of the light-shaping attachment on the colour changes of the original light source and can only deduce the result based on subjective experience.
In this research, we create a series of measurements under different lighting conditions that differ in the combination of light source and light-shaping attachment and serve as a database to evaluate the influence of the most commonly used types of light-shaping attachments on the colour rendering quality of the observed scene in a closed environment. The results aim to increase awareness of the importance of light properties and their change when coupled with additional light-shaping attachments.

2. Current State of Research

Building on the initial discussion on the importance of colour in photography and the complexity of its rendering, especially when altered by light-shaping attachments, the current state of research in this field represents a rich web of interdisciplinary studies. This research not only furthers our understanding of the behaviour of light and its properties, but also deepens our understanding of how colour rendition is affected in various photographic contexts.

2.1. Colour Perception, Image Processing and Colour Constancy

Recent studies have explored how colour influences the perception of real objects, such as translucent materials [1,2], and have highlighted the nuanced interplay between light, material properties and colour rendering. Research into the role of colour in the visual-tactile discrimination of materials [3] adds another layer and shows how sensory perception is closely linked to colour. In addition, studies on the effects of LED lighting on colour judgement, especially concerning printing materials [4], are crucial to understand how artificial lighting, a common element in modern photography, alters colour perception in different environments.
Colour constancy continues to be a key research topic, especially to understand how human perception adapts to different lighting conditions [5,6,7]. This concept is particularly relevant for photographic applications where maintaining consistent colour perception is crucial, such as object recognition, scene understanding and image reproduction [8,9].

2.2. Artificial Lighting and Its Effects on Photography

The role of artificial lighting in photography is a focal point, with significant emphasis on colour rendering indices (CRI) and gamut area index (GAI) playing an important role in ensuring accurate colour reproduction [10,11,12]. These studies emphasise the need for high-quality lighting solutions in photography, especially in controlled environments where artificial lighting is predominant. Colour matching in indoor artificial lighting, especially in sectors such as healthcare and industry, is becoming increasingly important [13,14]. This is also reflected in the role of colour balance in the creation of virtual backgrounds, which illustrates the practical applications of colour rendering in artificial lighting [15,16]. The development and optimisation of artificial light sources has primarily focused on the energy performance and limited colour qualities of white light-emitting diodes (LEDs) [17]. The ability of a light source to accurately render the natural colour of an object is measured by the colour rendering index (CRI) [12]. In addition, the luminous efficacy of the radiation, the perceived quality of whiteness, the general impression of brightness in the illuminated space and the perceived colour quality of the coloured objects are decisive factors in the evaluation of artificial lighting solutions [18]. In addition to photosynthetic and photopigmentation performances, the visual and colour performance of LEDs, such as the luminous efficacy of radiation (LER, K) and the CIE colour rendering index (CRI, Ra), are of crucial importance for interior lighting [19]. In addition, knowledge of light source correlated colour temperature (CCT) is crucial for determining the colour output of photographs [16]. The biological effects of artificial light on humans are also the subject of numerous research, emphasizing the importance of circadian tuning with metameric white light in both visual and non-visual aspects [20]. To summarise, the importance of artificial lighting in photography, especially in controlled environments, cannot be overstated. The emphasis on colour rendering indices, colour matching in indoor artificial lighting and the practical applications of colour rendering in artificial lighting underlines the crucial role of high-quality lighting solutions in various fields.

2.3. Reassessing and Advancing Colour Rendering Indices

The critical re-evaluation of the CIE colour rendering index (CRI) has driven the development of new methods and indices to better address its limitations [21,22,23]. The introduction of alternative scales such as the Colour Quality Scale (CQS) represents a significant advance in addressing the challenges posed by narrowband emitters [24]. This is crucial as there is growing evidence that the CIE colour rendering index R(a) does not match the perceived colour quality of many light sources, particularly some light emitting diodes (LEDs) [25]. The limitations of the CRI have led to the development of the CQS, which aims to solve the problems of the CRI, be applicable to all light source technologies and evaluate aspects of colour quality beyond colour rendering. Additionally, the CQS has been proposed to replace the original CRI colour rendering performance figure. These efforts are essential as the success of such efforts will ultimately be determined by the end users, especially with regard to their visual assessment of the colour quality of light sources.

2.4. Innovations in Light-Shaping Attachments

Innovations in light-shaping attachments for studio photography have significantly changed the field of photography, providing photographers with a variety of tools and techniques to enhance their creative vision. One notable innovation is the use of grid attachments, which allow photographers to control light distribution and achieve more focused and directional lighting effects [26]. Additionally, the introduction of barndoors as light-shaping attachments has given photographers the ability to shape and direct light more precisely, giving them greater control over the illumination of their subjects [26]. The development of snoot attachments has given photographers the ability to achieve highly focussed and dramatic lighting effects by restricting the spread of light to a narrow beam, enabling the highlighting of specific areas within the image [27]. Another important innovation is the use of softboxes, which diffuse and soften the light, resulting in a flattering and soft illumination of the subject, making them a popular choice for portrait and fashion photographers [28]. Advances in reflector design have contributed to the versatility of light-shaping attachments, allowing photographers to bounce and redirect light to fill in shadows and create more balanced and even lighting [28]. Gels as light modifiers has allowed photographers to add creative and colourful effects to their images by altering the colour temperature of the light source [28]. Innovations in light-shaping attachments for studio photography have revolutionised the way photographers manipulate light, offering a wide range of tools and techniques to achieve the desired lighting effects and enhance the visual impact of their photographs. These innovations have not only expanded the creative possibilities of photographers, but have also contributed to the standardisation and efficiency of studio photography practices and the way we define the surrounding space on the lightning conditions in a photographic scene [29].

2.5. The Role of Xenon and Halogen Lighting in Colour Rendering

The importance of xenon and halogen lighting in achieving true-to-life colour reproduction in photography cannot be overstated. These light sources are valued for their exceptional brightness and their ability to accurately illuminate a subject and are therefore popular with both amateurs and professional photographers. Studies such as that by Liu et al. [30] have looked at the intricacies of light emission from xenon and halogen lamps, particularly their ability to maintain colour consistency and fidelity, which is essential for true-to-life colour reproduction in images. In addition, the colour rendering index (CRI) is a key measure for assessing the ability of these lamps to accurately reproduce colours compared to a natural light source. The influence of colour rendering goes beyond the boundaries of photography and touches on broader aspects of lighting applications. Research by Sefer et al. [31] highlights the potential of enhanced colour rendering to improve visibility in different environments and suggests that visual clarity can be achieved without the need to increase light intensity. This finding has profound implications for ensuring safety and optimising visual performance in a variety of practical scenarios.

2.6. Computational Photography: A New Frontier

The field of computational photography, particularly structured light illumination, is revolutionising colour reproduction in photography [32,33]. Techniques that enable the capture and reproduction of surface reflectance fields under varying illumination are essential for accurate colour representation.

3. Materials and Methods

To evaluate the influence of light-shaping attachments on the colour rendering index of the original light source, we created a data set of 180 measurements of different lighting combinations. The measurements were analysed using statistical methods and presented graphically to illustrate the influence of the light-shaping attachments, their materials and other properties on the differences.

3.1. Light Sources

Previous research has shown [34] that not all light-shaping attachments in combination with different types of light sources lead to identical colour results. To draw conclusions and parallels with existing research, we included two types of light sources that differ in CCT values.
The first type is xenon, which is often used as a flashing artificial light source in studio photography. We used the Elinchrom ELC Pro HD 500 flash unit with a mounted ELC Pro HD flash tube. As a second light source, we used a halogen lamp, an Osram 64575 bulb (23 V, 1000 W), which we installed in the Kaiser Studiolight H unit.
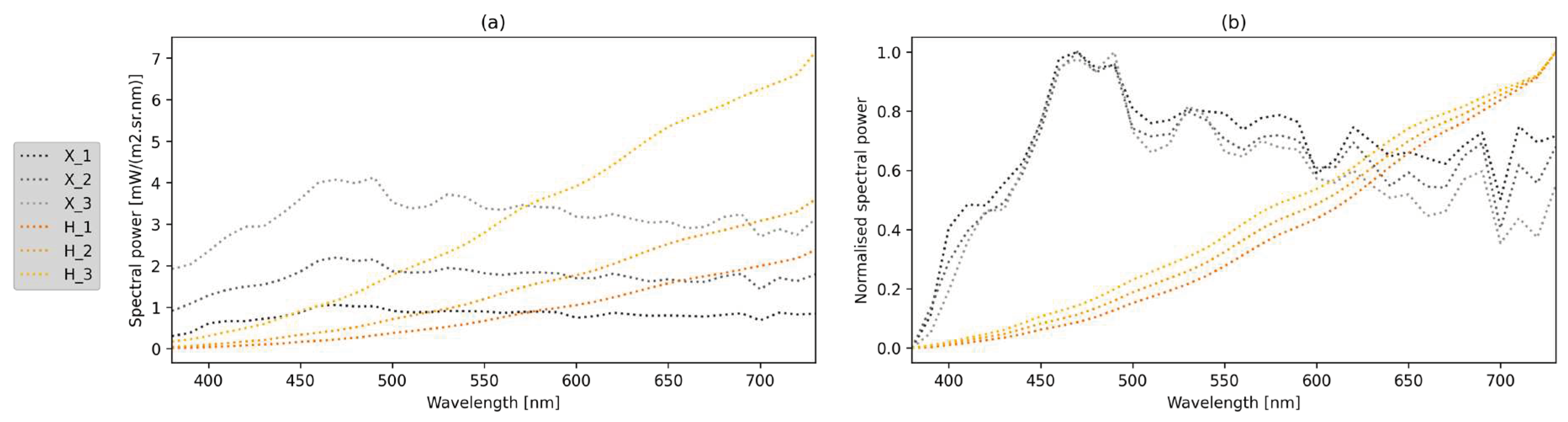
Three intensity levels were set for each light source to minimise the effects of the different properties of the light source when changing its intensity. We used the X-Rite i1 Pro 2 spectrophotometer and Argyll software to measure the emission spectra, illuminance and CCT values shown in Figure 1 and Table 1.

3.2. Light-Shaping Attachments

We have included 30 different combinations of light source and light-shaping attachment in the study. The role of light-shaping attachments in photography is to modify the original light beam, either limiting it to a narrow beam, widening it, reflecting or diffusing the incident light or simultaneously manipulating it in different ways. We have selected three types of light modifiers, which we have differentiated according to their shape and colour properties. Table 2 shows the overview of tested light-shaping attachments and component combinations.
The first modifier is an Elinchrom Snoot Reflector, which was tested in two combinations - – with and without an additional grid with blades at 15°.
The second light-shaping attachment is a beauty dish in seven combinations. Each combination consisted of the main Elinchrom Softlite Silver Beauty Dish Reflector (70 cm diameter). A gold, a silver and a white deflector from the Elinchrom Deflector Kit were attached individually and tested with or without an additional Elinchrom Softlite Beauty Dish Grid (70 cm diameter).
The third type of light-shaping attachments tested are softboxes, which differ in size, shape and manufacturer. Most of them are manufactured by Elinchrom, which gives us the opportunity to exclude the influence of the variety of materials.
We tested the Elinchrom Indirect Litemotiv Octa Softbox (190 cm diameter), the only softbox with an indirect lighting mechanism. An octagonal shape can be found in the Elinchrom Portalite Octa Softbox (56 cm diameter), but with direct lighting. Both were tested in two combinations. The first was the reflective box and the second the box with the addition of a white cover.
We tested two square softboxes: Elinchrom Portalite Softbox (40 × 40 cm) and Rotalux Square Softbox (100 × 100 cm). Both were tested in the primary combination with only the reflective box and with the cover attached. We added further components to the 100 cm square softbox and tested combinations box with inner liner, box with liner and cover, box with liner and grid and box with liner, cover and grid to cover the variety of this type of softbox.
An additional rectangular softbox was tested in two positions – horizontal and vertical. The Quadralite Softbox 30x120 was tested, which is often referred to as a stripbox due to its ratio of side dimensions (30 × 120 cm). Similar to the square softbox, we tested several combinations: reflective box only, box with liner, box with cover and box with liner and cover. All four combinations were tested in horizontal and vertical orientation of the entire attachment.
To gain a better understanding of the material properties, we measured the reflectance spectra of the materials that make up the main surfaces of the tested light-shaping attachments. The measurements are shown in Figure 2. Due to limited area, we did not record measurements for grids.

3.3. Generating the Dataset

The test scene was set up in a darkroom - a confined space with black walls to minimise the possible influence of the surrounding space on the recorded measurements [29]. The tested light source was placed in the centre of the room with the lamp head facing forward. Each tested light-shaping attachment combination was attached to the head of the light source using a special attachment mechanism, while the light source remained in place.
The measurements were performed with the X-Rite i1 Pro 2 spectrophotometer. The instrument was placed in front of the light source at a constant distance of 120 cm from the origin of the light beam, i.e., the light source. The instrument was adjusted to the height of the light beam origin and activated via the Argyll software.
Both light sources were tested at each light intensity listed in Table 1; without the light-shaping attachment and in combination with each modifier variant listed in Table 2. This resulted in six series of 30 measurements, for a total of 180. Each of the measurements provided a set of 14 results, one per test colour sample (TCS), shown in Figure 3, as part of the colour rendering index (CRI) characterisation.

3.4. Analysing the Results

First, we calculated the average values of the three sets of results for the measurements corresponding to the tested combinations, which differ only in light intensity. With this step, we wanted to eliminate the influence of possible variations in the characteristics of the light source when changing its intensity. The averaged result sets obtained were used for further calculations.
To determine the final influence of a light-shaping attachment on the properties of the original light, we subtracted from each averaged result set for the tested combination of light and modifier the averaged result set for the corresponding light source without the modifier. With this step, we ensured that the effects of the light-shaping attachments were isolated.
We then calculated the average of each set of results, i.e., for all 14 test colour samples, and thus obtained the average difference in the colour rendering index caused by the light-shaping attachment. To find out which TCSs are the most unstable when using modifiers, we also statistically analysed the differences between the results of the individual TCSs, regardless of the light-shaping attachment.

4. Results and Discussion

To analyse the influence of a particular light-shaping attachment on the original light of the light source, we calculated the averaged CRI values for 14 test colour samples (TCS) for each tested combination of light sources and light-shaping attachments, followed by the differences between the averaged values for the original light source and in combination with a light-shaping attachment.
The differences in the averaged values per light-shaping attachment are shown in Figure 4, where (a) the results for a xenon light source and (b) for a halogen light source are shown. Positive values indicate that the use of the tested light-shaping attachment produces better CRI values across the spectra than the original light itself, while negative values result in a lower quality of the reproduced colours. The dashed line in Figure 4a shows the difference value of −1.78, which indicates the threshold below which the averaged CRI data would be below 95 and the tested combination would be categorised as a non-professional light source. The threshold for halogen light sources would be −3.97, but none of the results show values below this threshold.
If we compare the results from Figure 4a with the results in (b), it becomes clear that not all light modifiers influence the colour properties of the original light in the same way. In general, an inverse relationship can be seen; any combination of a light-shaping attachment with the xenon light source will produce results with opposite values when coupled with a halogen light source. There are exceptions to this observation, such as the use of snoot and a Quadralite stripbox light-shaping attachment.
To further analyse the influence of a light shaping attachment on the colour rendering properties, we took a closer look at individual CRI test colour samples (TCS). Figure 5 shows the averaged CRI values per TCS, taking into account all light-shaping attachments for (a) xenon and (b) halogen light sources, while the values are listed in Appendix A.
Here too, an inverse relationship can be recognised when comparing the results for xenon and halogen. All medians in Figure 5a are positive except for sample R7 (−0.07), while in (b) only the median of R7 is positive (0.07). The largest absolute median and the largest deviation between the first and third quartiles (Q1 and Q3) is found for xenon in TCS R9, which represents the red tones, and for halogen in TCS R12, which represents the dark blue tones. This relationship indicates the influence of the properties of the light source on the interaction of light and light-shaping attachment, which leads to the different results in colour rendering quality.
However, the R9 TCS shows the largest deviations in both cases when the minimum and maximum values are taken into account, which corresponds to the widely observed problems with the reproduction of red colour tones. To further determine how light-shaping attachments influence the reproduction of certain colours, we analysed the results in terms of modifier type.

4.1. Snoot

The snoot is the only modifier used in the study whose purpose is not to diffuse, recolour or otherwise reshape the light source, but merely to restrict the light beam to the scene. As the purpose of the grid is to direct the light beam, it should not cause any noticeable differences in colour rendering.
The average CRI difference for snoot in combination with xenon is 0.55 and 0.36 when a grid is added, while for halogen it is 0.18 and 0.19 with an additional grid. Figure 6 shows the CRI results for each TCS when using snoot and snoot with a grid, with the largest differences at R9, ranging from −1.16 to 2.06. Positive values are observed for R8 and R9 (pinks and reds) when combined with xenon, while these values are negative when these modifiers are applied to halogen light source. For all other TCS, the values show the same trend.
Since only R9, which is known to be the most difficult to reproduce and shows the largest deviations in Figure 5, shows significant differences and the average values from Figure 4 show a positive influence of snoot on the CRI regardless of the light source used, we can confirm that this light-shaping attachment provides high-quality colour rendering results with minimal influence on colour rendering, with or without the use of an additional grid.

4.2. Beauty Dish

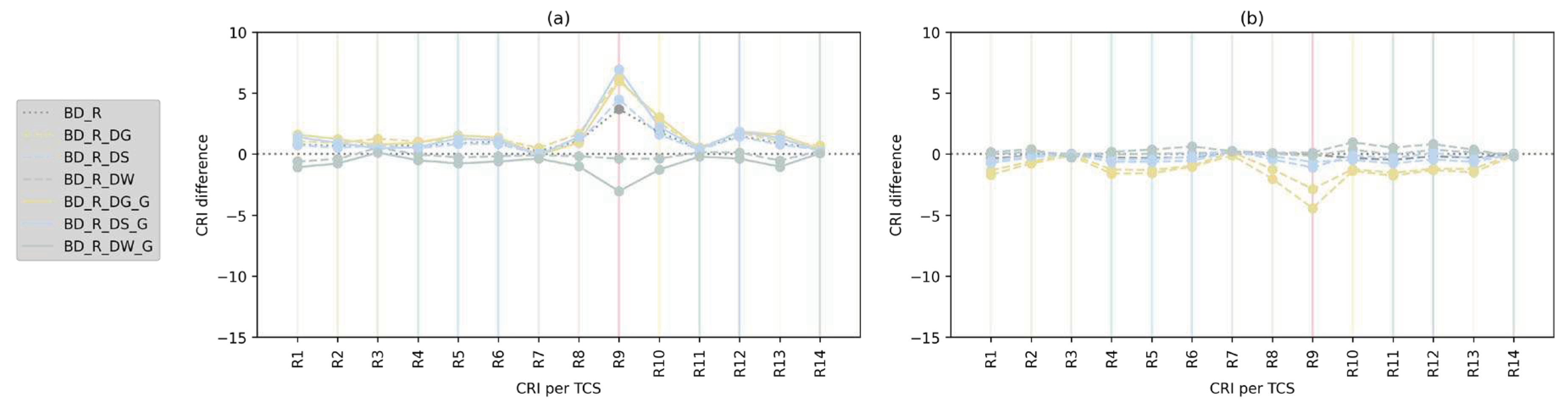
Beauty dish consists of several parts. The trajectory of a light beam first hits the reflector dish positioned in front of the light source and is then reflected back to the main reflector surrounding the light source. The main reflector (BD_R) is a constant in this correlation of results. In combination with a xenon light source, the CRI value is on average 1.07 higher than for the light source itself, while it is 0.17 lower in combination with a halogen light source (Figure 4). In Figure 7 we show the CRI results for each TCS for all seven combinations tested.
If a golden deflector dish is added to the xenon light source with main reflector, all CRIs per TCS increase by an average of 0.2. The CRIs of R9 (red) and R10 (yellow) increase even more significantly by 2.5 and 0.77 respectively. When combined with a halogen light source, however, the difference is more pronounced and negative, with the CRI per TCS generally falling by 1.0. If a grid is added, no significant difference in the CRI per TCS can be observed with xenon, while the R9 value drops additionally with halogen.
If the main reflector is coupled with a silver deflector dish, less pronounced differences are observed. When coupled with xenon, only the R9 value increases by 0.8, while there is no major difference when coupled with halogen. The addition of a grid increases the difference for R9 with xenon by 2.46 in the positive range.
A completely different trend, or more precisely no trend at all, is observed when a white deflector dish is used, which shows only minimal differences for all TCS for xenon and halogen. However, when a grid is added, the CRI decreases for xenon, especially for red TCS (R9).
In general, the reflection of xenon light through a silver or gold deflector dish leads to better CRI values, while the opposite is true for halogen light. The white deflector dish does not affect the original light to any significant extent. In any case, the addition of a grid emphasises the original differences, either in a positive or negative sense.

4.3. Softbox

We have tested a range of light-shaping attachments known as softboxes, which differ in size, shape and material. Their main aim is to widen the light beam, with the reflections on the inner surface and passing the reflected light through white material to soften the edges of the light beam.
Figure 4 shows that the results for softboxes vary not only from light source to light source, but also between them. Two samples cross dashed line for the xenon light source, which marks the minimal acceptable difference value. Both results were obtained in combination with a xenon light source and a stripbox light-shaping attachment, with all three extensions (box, liner and cover) attached. The samples differ only in the orientation of the light-shaping attachment. With horizontal orientation, the average CRI difference is 2.85 lower than the original light source itself, and 2.35 lower when vertical.
Negative differences can also be observed with other combinations of xenon light source and this light-shaping attachment. When the cover or liner is used in combination with the box, the differences are between −1.53 and −0.88. However, when only the box is fitted, the differences are positive regardless of the orientation of the modifier, suggesting that the negative impact on the colour rendering index is due to the interaction of the original light with the liner and/or the cover of the light-shaping attachment. In combination with halogen, the results show more positive and negative deviations, but the negative differences are smaller and can even be neglected as they are between −0.17 and −0.12, similar to the differences observed with snoot.
These trends can be observed in CRI differences for every TCS as well, Figure 8 showing the largest deviations in results so far. Again, R9 shows the largest differences when coupled with xenon, however, other samples, except R3, R7 and R14 show distinctive decrease in CRI quality when liner and/or cover are applied to the stripbox. The results for halogen show largest deviations for samples R10 and R12, which are the only reason for higher average CRI differences.
These differences indicate that the most likely reason is the interaction between the light source and the materials used for liner and cover, which are manufacturer specific. We analysed and compared the spectral power distributions of the tested light sources in Figure 1 and the reflectance spectra of the liner and cover of the Quadralite stripbox and other modifiers from Elinchrom, shown in Figure 2. A peak around 450 nm, i.e., in the blue part of the visible spectrum, is noticeable in the Quadralite fabric combinations. The peak values are above 100 %/nm for both the liner and the cover, namely 109.9 %/nm for the liner and 109.5 %/nm for the cover, while together they reach 104.1 %/nm. Values above 100 %/nm in the blue part of the spectrum indicate the use of brighteners, resulting in a higher degree of whiteness of the materials. Whilst this is often a desirable feature of textiles, it leads to poorer results when combined with a xenon light source, whose spectral power distribution also peaks in this part of the spectrum, as shown in Figure 1. This overlap of spectral distributions increases the effect of the brighteners and lowers the average CRI values achieved. However, if this light-shaping attachment is coupled with a halogen light source, the spectra do not overlap and increase the difference, but regulate each other, resulting in smaller or even more favourable differences.
To further investigate the influence of softboxes on the CRI of the original light source, we show in Figure 9 the CRI results for each TCS for rectangular softboxes, where the samples differ by the combination of softbox additions (liner, cover and grid). When only the reflective box is used, the differences are only apparent for the TCS R9 for xenon, while there are no notable differences at all for halogen. When combined with a liner or a cover, the differences increase and show the same trend as with the previously analysed strip box, but to a lesser extent and in a positive direction for the combination with xenon and as negative values with higher differences for the combination with halogen.
The differences are less pronounced with the combination of liner and cover, as if the thickness of the material and thus the absorption and reflection rates have the decisive influence on the differences in CRI. This applies to both stripboxes and rectangular softboxes and to both light sources.
The effect of the grid on the CRI of TCS is less pronounced and more uniform than in previous samples with grid (snoot and beauty dish). In general, however, a similar trend can be observed that the grid further enhances the effect of the underlined materials. This applies to all samples except SB_B_L_G for halogen and R9 for xenon light sources.
The research included additional samples for softboxes that differed in size and shape. However, we could not find any conclusions that would correlate the results for rectangular and octagonal softboxes or for the size of the softbox within the shape.

6. Conclusions

The results illustrated the far-reaching influence of the light-shaping attachments on the colour rendering indexes of the light sources. The variety of combinations tested gave an overview of the application limits of certain light modifiers, especially in combination with different light sources. Due to the variety of samples, we cannot claim that the results allow definitive conclusions, but guidelines can be established for specific purposes.
One clear conclusion is that the tested light-shaping attachment do not produce identical colour differences when attached to light sources with different properties. The greatest influence on the colour rendering index of a modified light source is the interaction between the spectrum of the light source and the material properties, the latter being the spectral distribution, the reflectance and the thickness of the material.
Based on the results, we suggest that light-shaping attachments combined with light sources from the same manufacturer can achieve even better results in terms of CRI than when combined with others. However, a match between the manufacturers of the attachments and the light sources can lead to more accurate colour renderings.
In general, the snoot leads to high quality colour rendering indexes, followed by the combinations within the beauty dish. The greatest deviations from the original CRI are achieved when using softboxes’ white fabrics. However, some of them can produce higher and others lower CRI values than the original light source and should therefore be analysed carefully when used in colour-specific research. The use of grids on any light-shaping attachment will continue to enhance the original effect of the attachment, regardless of its quality.

Author Contributions

Conceptualization, V.Š. and J.A.; methodology, V.Š. and J.A.; software, V.Š.; validation, V.Š. and J.A.; formal analysis, V.Š.; investigation, V.Š. and J.A.; resources, J.A.; data curation, V.Š.; writing—original draft preparation, V.Š. and J.A.; writing—review and editing, V.Š. and J.A.; visualization, V.Š.; supervision, J.A.; project administration, J.A.; funding acquisition, J.A. All authors have read and agreed to the published version of the manuscript.

Funding

This research received no external funding.

Acknowledgments

This work was supported by the Slovenian Research Agency (Infrastructural Centre RIC UL-NTF).

Conflicts of Interest

The authors declare no conflict of interest.

Appendix A

Table A1. Statistical analysis of differences in CRI values for xenon light source and light-shaping attachment combinations across each CRI test colour sample.
Table A1. Statistical analysis of differences in CRI values for xenon light source and light-shaping attachment combinations across each CRI test colour sample.
R1 R2 R3 R4 R5 R6 R7 R8 R9 R10 R11 R12 R13 R14
Min −3.77 −2.24 −1.00 −2.20 −3.10 −2.24 −1.70 −3.60 −11.90 −3.73 −2.67 −2.30 −3.53 −0.80
Q1 −0.60 −0.40 0.70 −0.80 −0.26 −0.17 −0.40 −1.00 −0.37 −0.37 −0.77 0.13 −0.53 −0.06
Median 0.77 0.63 0.43 0.00 0.84 0.80 −0.07 0.56 3.70 1.53 0.16 1.43 0.77 0.14
Q3 1.40 1.03 0.73 0.34 1.27 1.23 0.20 0.96 6.13 2.23 0.40 1.86 1.60 0.34
Max 1.97 1.86 1.27 1.04 1.64 2.33 0.56 1.66 7.23 3.97 0.56 3.03 2.43 0.70
Table A2. Statistical analysis of differences in CRI values for halogen light source and light-shaping attachment combinations across each CRI test colour sample.
Table A2. Statistical analysis of differences in CRI values for halogen light source and light-shaping attachment combinations across each CRI test colour sample.
R1 R2 R3 R4 R5 R6 R7 R8 R9 R10 R11 R12 R13 R14
Min −1.70 −0.76 −0.53 −1.60 −1.57 −1.10 −0.57 −2.03 −4.43 −1.67 −1.77 −2.57 −1.50 −0.20
Q1 −0.60 −0.36 −0.20 −0.63 −0.63 −0.53 −0.13 −0.43 −1.10 −0.80 −0.80 −1.23 −0.60 −0.10
Median −0.27 −0.13 −0.03 −0.23 −0.23 −0.20 0.07 −0.07 −0.30 −0.30 −0.33 −0.43 −0.23 −0.03
Q3 0.00 0.17 0.00 0.00 0.03 0.10 0.20 0.07 −0.06 0.37 0.00 0.37 0.13 0.00
Max 0.30 0.47 0.13 0.33 0.43 0.64 0.47 0.20 0.14 0.97 0.53 0.97 0.40 0.07

References

  1. Liao, C.; Sawayama, M.; Xiao, B. Crystal or jelly? effect of color on the perception of translucent materials with photographs of real-world objects. J. Vis. 2022, 22, 6. [Google Scholar] [CrossRef] [PubMed]
  2. Štampfl, V.; Možina, K.; Ahtik, J. Different Textile Materials as Light Shaping Attachments in Studio Photography and Their Influence on Colour Reproduction. Tekstilec 2021, 64. [Google Scholar] [CrossRef]
  3. Xiao, B.; Bi, W.; Wei, H.; Adelson, E. Can you see what you feel? color and folding properties affect visual–tactile material discrimination of fabrics. J. Vis. 2016, 16, 34. [Google Scholar] [CrossRef] [PubMed]
  4. Wu, C.; Wu, C.; Hung, C.; Huang, W.; Cheng, P. Effects of color temperature and luminance of leds on color judgments involving various printing materials. J. Soc. Inf. Disp. 2016, 24, 137–143. [Google Scholar] [CrossRef]
  5. Aston, S.; Hurlbert, A. What #thedress reveals about the role of illumination priors in color perception and color constancy. J. Vis. 2017, 17, 4. [Google Scholar] [CrossRef] [PubMed]
  6. Mahroo, O.; Williams, K.; Hossain, I.; Yonova-Doing, E.; Kozareva, D.; Yusuf, A.; Hammond, C. Do twins share the same dress code? quantifying relative genetic and environmental contributions to subjective perceptions of “the dress” in a classical twin study. J. Vis. 2017, 17, 29. [Google Scholar] [CrossRef] [PubMed]
  7. Kawasaki, Y.; Reid, J.; Ikeda, K.; Mei-ling, L.; Karlsson, B. Color judgments of #The Dress and #The Jacket in a sample of different cultures. Perception 2021, 50, 216–230. [Google Scholar] [CrossRef]
  8. Li, B.; Xu, D.; Lee, M.; Feng, S. A multi-scale adaptive grey world algorithm. IEICE Trans. Inf. Syst. 2007; E90-D(7), 1121–1124. [Google Scholar] [CrossRef]
  9. Učakar, A.; Sterle, A.; Vuga, M.; Trček Pečak, T.; Trček, D.; Ahtik, J.; Košak, K.; Muck, D.; Gabrijelčič Tomc, H.; Kočevar, T.N. 3D Digital Preservation, Presentation, and Interpretation of Wooden Cultural Heritage on the Example of Sculptures of the FormaViva Kostanjevica Na Krki Collection. Appl. Sci. 2022, 12, 8445. [Google Scholar] [CrossRef]
  10. Davis, M.S. Color and light in nature. Sch. J. 1996, 84, 599. [Google Scholar] [CrossRef]
  11. Ohno, Y. Color rendering and luminous efficacy of white LED spectra. In: Fourth International Conference on Solid State Lighting. SPIE, 2004, 88-98. [CrossRef]
  12. Ahn, Y.; Kim, K.; Anoop, G.; Kim, G.; Yoo, J. Design of highly efficient phosphor-converted white light-emitting diodes with color rendering indices (R1 − R15) ≥ 95 for artificial lighting. Sci. Rep. 2019, 9. [Google Scholar] [CrossRef]
  13. Lin, J.; Hong, C.; Pang, Y.; Chen, L.; Liu, Q.; Zhang, X.; Wang, X. Several biological benefits of the low color temperature light-emitting diodes based normal indoor lighting source. Sci. Rep. 2019, 9. [Google Scholar] [CrossRef] [PubMed]
  14. Neo, D.; Ong, M.; Lee, Y.; Teo, E.; Qunya, O.; Tanoto, H.; Ong, K. Shaping and tuning lighting conditions in controlled environment agriculture: A review. Acs Agric. Sci. Technol. 2022, 2, 3–16. [Google Scholar] [CrossRef]
  15. Yoo, J. 5151.4: Design of highly efficient white led for the maximal CRI. Sid Symposium Digest of Technical Papers 2021, 52(S1), 345-368. [CrossRef]
  16. Kamath, V.; Kurian, C.; Padiyar, U. Development of bayesian neural network model to predict the correlated color temperature using digital camera and Macbeth ColorChecker chart. IEEE Access 2022, 10, 55499–55507. [Google Scholar] [CrossRef]
  17. Oh, J.; Yang, S.; Do, Y. Healthy, natural, efficient and tunable lighting: Four-package white leds for optimizing the circadian effect, color quality and vision performance. Light Sci. Appl. 2014, 3, e141–e141. [Google Scholar] [CrossRef]
  18. Bodrogi, P.; Brückner, S.; Krause, N.; Khanh, T. Semantic interpretation of color differences and color-rendering indices. Color Res. Appl. 2013, 39, 252–262. [Google Scholar] [CrossRef]
  19. Zhuo, M.; Li, Q.; Lv, B.; Huang, M.; Xue, X.; Zheng, X.; Chen, Z. Enhance the photosynthetic and color performances of multi-primary white light-emitting diodes for the indoor farming. IEEE Photonics J. 2022, 14, 1–6. [Google Scholar] [CrossRef]
  20. Aderneuer, T.; Stefani, O.; Fernández, O.; Cajochen, C.; Ferrini, R. Circadian Tuning with Metameric White Light: Visual and non-visual Aspects. Preprints 2019, 2019090227. [Google Scholar] [CrossRef]
  21. Smet, K.; Schanda, J.; Whitehead, L.; Luo, R. CRI2012: A proposal for updating the CIE colour rendering index. Light. Res. Technol. 2013, 45, 689–709. [Google Scholar] [CrossRef]
  22. Žukauskas, A.; Vaicekauskas, R.; Shur, M. Colour-rendition properties of solid-state lamps. J. Phys. D Appl. Phys. 2010, 43, 354006. [Google Scholar] [CrossRef]
  23. Sándor, N.; Schanda, J. Visual colour rendering based on colour difference evaluations. Light. Res. Technol. 2006, 38, 225–239. [Google Scholar] [CrossRef]
  24. Taylor, E.; Edwards, P.; Martin, R. Colorimetry and efficiency of white leds: Spectral width dependence. Physica Status Solidi (A) 2012, 209, 461–464. [Google Scholar] [CrossRef]
  25. Lee, S.; Yoon, H. LED lighting system for better color rendition space: The effect of color rendering index. J. Asian Archit. Build. Eng. 2020, 20, 556–565. [Google Scholar] [CrossRef]
  26. Creasey, M. Light: Science and magic. an introduction to photographic lighting. J. Vis. Commun. Med. 2009, 32, 26–26. [Google Scholar] [CrossRef]
  27. Assen, J.; Wijntjes, M.; Pont, S. Highlight shapes and perception of gloss for real and photographed objects. J. Vis. 2016, 16, 6. [Google Scholar] [CrossRef] [PubMed]
  28. Persichetti, P.; Simone, P.; Langella, M.; Marangi, G.; Carusi, C. Digital photography in plastic surgery: How to achieve reasonable standardization outside a photographic studio. Aesthetic Plast. Surg. 2007, 31, 194–200. [Google Scholar] [CrossRef] [PubMed]
  29. Štampfl, V.; Ahtik, J. The influence of the surrounding space on the lighting conditions in a photographic scene. In: Proceedings of the 11th International Symposium on Graphic Engineering and Design GRID, 2022. p. 863-871. [CrossRef]
  30. Liu, R.; Zhu, H.; Li, K.; Yang, Z. Comparison on the aging of woods exposed to natural sunlight and artificial xenon light. Polymers 2019, 11, 709. [Google Scholar] [CrossRef] [PubMed]
  31. Sefer, T.; Ayaz, R.; Ajder, A.; Nakir, I. Performance investigation of different headlights used in vehicles under foggy conditions. Sci. Rep. 2023, 13. [Google Scholar] [CrossRef] [PubMed]
  32. Dong, S.; Nanda, P.; Guo, K.; Liao, J.; Zheng, G. Incoherent fourier ptychographic photography using structured light. Photonics Res. 2015, 3, 19. [Google Scholar] [CrossRef]
  33. Gildas, F.; Dan, Y. Review of nanostructure color filters. J. Nanophotonics 2019, 13, 1. [Google Scholar] [CrossRef]
  34. Štampfl, V. ; Ahtik. J. Influence of photographic light-shaping attachments on colour properties of the original light source. In: Proceedings of the 30th Session of the CIE, 2023. p. 1081-1090. [CrossRef]
Figure 1. Spectral power distributions of (a) all tested light sources and (b) normalized values.
Figure 1. Spectral power distributions of (a) all tested light sources and (b) normalized values.
Preprints 91543 g001
Figure 2. Reflectance spectra of key material components of tested light-shaping attachments.
Figure 2. Reflectance spectra of key material components of tested light-shaping attachments.
Preprints 91543 g002
Figure 3. Visual representation of 14 test colour samples (TCS) used in CRI characterisation.
Figure 3. Visual representation of 14 test colour samples (TCS) used in CRI characterisation.
Preprints 91543 g003
Figure 4. Influence of light-shaping attachment on average CRI for (a) xenon and (b) halogen.
Figure 4. Influence of light-shaping attachment on average CRI for (a) xenon and (b) halogen.
Preprints 91543 g004
Figure 5. Averaged CRI values per TCS with annotated median values for (a) xenon and (b) halogen.
Figure 5. Averaged CRI values per TCS with annotated median values for (a) xenon and (b) halogen.
Preprints 91543 g005
Figure 6. Influence of snoot and snoot with grid on every CRI TCS for (a) xenon and (b) halogen.
Figure 6. Influence of snoot and snoot with grid on every CRI TCS for (a) xenon and (b) halogen.
Preprints 91543 g006
Figure 7. Influence of beauty dish, gold, silver, or white deflector dish, and added grid on every CRI TCS for (a) xenon and (b) halogen.
Figure 7. Influence of beauty dish, gold, silver, or white deflector dish, and added grid on every CRI TCS for (a) xenon and (b) halogen.
Preprints 91543 g007
Figure 8. Influence of stripbox on every CRI TCS for (a) xenon and (b) halogen.
Figure 8. Influence of stripbox on every CRI TCS for (a) xenon and (b) halogen.
Preprints 91543 g008
Figure 9. Influence of rectangular softbox on every CRI TCS for (a) xenon and (b) halogen.
Figure 9. Influence of rectangular softbox on every CRI TCS for (a) xenon and (b) halogen.
Preprints 91543 g009
Table 1. Light source properties: illuminance and corelated colour temperature (CCT).
Table 1. Light source properties: illuminance and corelated colour temperature (CCT).
Label Light Source Intensity Level Illuminance CCT
X_1 xenon 1 3,268 lx 5893 K
X_2 xenon 2 6,822 lx 5875 K
X_3 xenon 3 12,786 lx 6012 K
H_1 halogen 1 57 lx 2425 K
H_2 halogen 2 99 lx 2579 K
H_3 halogen 3 225 lx 2757 K
Table 2. Light-shaping attachments and tested combinations.
Table 2. Light-shaping attachments and tested combinations.
Label Type Component Combination Manufacturer
SN snoot snoot Elinchrom
SN_G snoot snoot, grid Elinchrom
BD_R beauty dish reflector Elinchrom
BD_R_DG beauty dish reflector, gold deflector Elinchrom
BD_R_DS beauty dish reflector, silver deflector Elinchrom
BD_R_DW beauty dish reflector, white deflector Elinchrom
BD_R_DG_G beauty dish reflector, gold deflector, grid Elinchrom
BD_R_DS_G beauty dish reflector, silver deflector, grid Elinchrom
BD_R_DW_G beauty dish reflector, white deflector, grid Elinchrom
OB_B indirect octabox, big box Elinchrom
OB_B_C indirect octabox, big box, cover Elinchrom
OS_B direct octabox, small box Elinchrom
OS_B_C direct octabox, small box, cover Elinchrom
SS_B square softbox, small box Elinchrom
SS_B_C square softbox, small box, cover Elinchrom
SB_B square softbox, big box Elinchrom
SB_B_L square softbox, big box, liner Elinchrom
SB_B_L_G square softbox, big box, liner, grid Elinchrom
SB_B_C square softbox, big box, cover Elinchrom
SB_B_L_C square softbox, big box, liner, cover Elinchrom
SB_B_L_C_G square softbox, big box, liner, cover, grid Elinchrom
SH_B stripbox, horizontal box Quadralite
SH_B_L stripbox, horizontal box, liner Quadralite
SH_B_C stripbox, horizontal box, cover Quadralite
SH_B_L_C stripbox, horizontal box, liner, cover Quadralite
SV_B stripbox, vertical box Quadralite
SV_B_L stripbox, vertical box, liner Quadralite
SV_B_C stripbox, vertical box, cover Quadralite
SV_B_L_C stripbox, vertical box, liner, cover Quadralite
Disclaimer/Publisher’s Note: The statements, opinions and data contained in all publications are solely those of the individual author(s) and contributor(s) and not of MDPI and/or the editor(s). MDPI and/or the editor(s) disclaim responsibility for any injury to people or property resulting from any ideas, methods, instructions or products referred to in the content.
Copyright: This open access article is published under a Creative Commons CC BY 4.0 license, which permit the free download, distribution, and reuse, provided that the author and preprint are cited in any reuse.
Prerpints.org logo

Preprints.org is a free preprint server supported by MDPI in Basel, Switzerland.

Subscribe

Disclaimer

Terms of Use

Privacy Policy

Privacy Settings

© 2026 MDPI (Basel, Switzerland) unless otherwise stated