Submitted:
15 November 2023
Posted:
16 November 2023
Read the latest preprint version here
Abstract

Keywords:
1. Introduction
2. Simulation Details
3. Results and Discussion
3.1. Subatomic Particle Dynamics Simulations for Particle Nature
3.1.1. Hydrogen Atom Simulation
3.1.2. Randomness in Hydrogen Atom Simulation
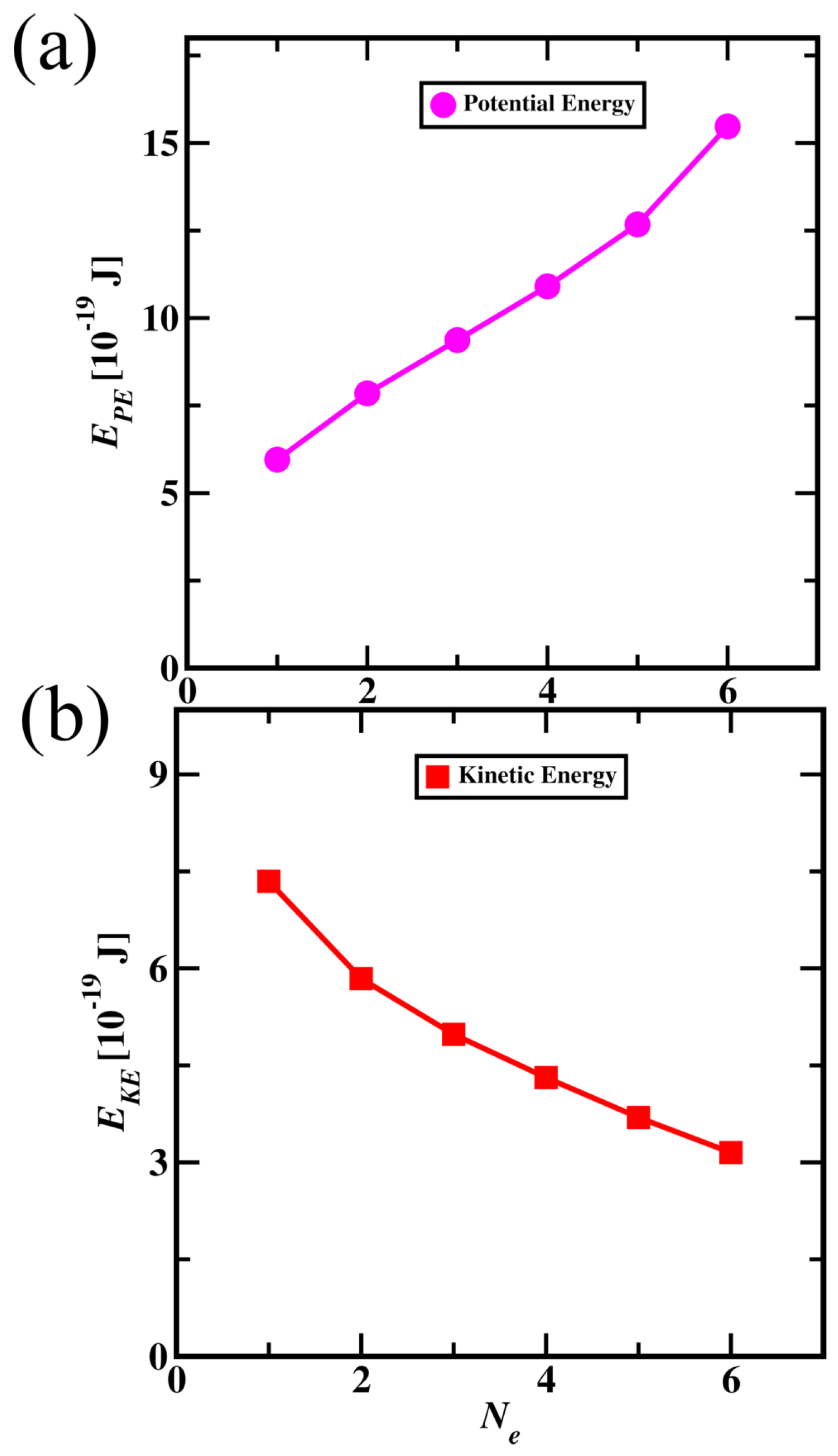
3.1.3. Particle Nature of Carbon Atom Simulation
| Probability of Randomly Placing Electron | Average Radius (pm) | Average Total Energy, 10 J | Average Potential Energy, 10 J | Average Kinetic Energy, 10 J |
|---|---|---|---|---|
| 0 (Normal Hydrogen Atom) | 0.8875 | 436.97 | 314.58 | 121.4 |
| 0.000001 | 3.00 | 1453.32 | 974.18 | 479.14 |
| 0.00001 | 65.32 | 31323.31 | 21066.33 | 10256.99 |
| 0.0001 | 41.77 | 20374.48 | 13472.27 | 6902.20 |
| 0.001 | 14.00 | 6997.81 | 4520.54 | 2477.34 |
| 0.01 | 6.34 | 4418.42 | 2051.65 | 2366.77 |
| Average Velocity (m/s) | Average Velocity/Light Velocity | |
|---|---|---|
| Electron 1 | 835747.25 | 0.0028 |
| Electron 2 | 989235.65 | 0.0033 |
| Electron 3 | 977732.33 | 0.0033 |
| Electron 4 | 1213998.64 | 0.0040 |
| Electron 5 | 1058082.83 | 0.0035 |
| Electron 6 | 980335.11 | 0.0033 |
3.2. Wave Nature Subatomic Particle Dynamics Simulations
3.2.1. Wave Nature Simulation in Hydrogen Atom
| Aether Wave Amplitude | Average Radius (pm) | Average Potential Energy (10 J) | Average Kinetic Energy (10 J) |
|---|---|---|---|
| 0 (Particle Nature) | 0.8875 | 314.58 | 121.4 |
| 0.0025 | 1.03 | 355.33 | 152.27 |
| 0.055 | 41.18 | 13288.73 | 8556.51 |
| 0.0554 | 239.94 | 77371.72 | 38671.99 |
3.2.2. Wave Nature of Carbon Atom Simulation
| Carbon Atom Particle Nature | Carbon Atom Wave Nature | |
|---|---|---|
| Average Radius (pm) | 71.48 | 70.00 |
| Potential Energy | Kinetic Energy | Total Energy | ||||
|---|---|---|---|---|---|---|
| (10 J) | (10 J) | (10 J) | ||||
| Particle Nature | Wave Nature | Particle Nature | Wave Nature | Particle Nature | Wave Nature | |
| Core Electron 1 | 59548.52 | 38095.44 | 73459.19 | 49875.38 | 133007.71 | 87970.82 |
| Core Electron 2 | 78471.76 | 52407.55 | 58419.72 | 43061.08 | 136891.49 | 95468.63 |
| Core Electron 3 | 93705.87 | 66293.05 | 49802.98 | 39838.54 | 143508.85 | 106131.59 |
| Core Electron 4 | 109062.78 | 83036.78 | 43116.09 | 36906.08 | 152178.86 | 119942.86 |
| Core Electron 5 | 126742.76 | 105527.48 | 36944.32 | 34075.01 | 163687.09 | 139602.49 |
| Valence Electron | 154750.70 | 150474.13 | 31521.12 | 29943.54 | 186271.82 | 180417.67 |
3.3. Subatomic Particle Dynamics Simulations for Molecules
3.4. Uranium Atom Simulation
4. Conclusion
Acknowledgments
References
- Coulomb, C.A. Premier mémoire sur l’électricité et le magnétisme. Histoire de l’Academie royale des sciences 1785, 569.
- Kane, C.; Balents, L.; Fisher, M.P. Coulomb interactions and mesoscopic effects in carbon nanotubes. Physical review letters 1997, 79, 5086.
- Cea, T.; Guinea, F. Coulomb interaction, phonons, and superconductivity in twisted bilayer graphene. Proceedings of the National Academy of Sciences 2021, 118, e2107874118.
- Alder, B.J.; Wainwright, T.E. Studies in Molecular Dynamics. I. General Method. The Journal of Chemical Physics 1959, 31, 459–466.
- Karplus, M.; Petsko, G.A. Molecular dynamics simulations in biology. Nature 1990, 347, 631–639.
- Rapaport, D.C. The art of molecular dynamics simulation; Cambridge university press, 2004.
- Laio, A.; Parrinello, M. Escaping free-energy minima. Proceedings of the National Academy of Sciences 2002, 99, 12562–12566.
- Corkum, P.B.; Krausz, F. Attosecond science. Nature Physics 2007, 3, 381–387.
- Krausz, F.; Ivanov, M. Attosecond physics. Reviews of Modern Physics 2009, 81, 163–234.
- Calegari, F.; Ayuso, D.; Trabattoni, A.; Belshaw, L.; De Camillis, S.; Anumula, S.; Frassetto, F.; Poletto, L.; Palacios, A.; Decleva, P.; others. Ultrafast electron dynamics in phenylalanine initiated by attosecond pulses. Science 2014, 346, 336–339.
- Ciappina, M.F.; Pérez-Hernández, J.A.; Landsman, A.S.; Okell, W.A.; Zherebtsov, S.; Förg, B.; Schötz, J.; Seiffert, L.; Fennel, T.; Shaaran, T.; others. Attosecond physics at the nanoscale. Reports on Progress in Physics 2017, 80, 054401.
- Smirnova, O.; Mairesse, Y.; Patchkovskii, S.; Dudovich, N.; Villeneuve, D.; Corkum, P.; Ivanov, M.Y. High harmonic interferometry of multi-electron dynamics in molecules. Nature 2009, 460, 972–977.
- de Broglie, L. Recherches sur la théorie des quanta [Researches on the quantum theory]. Annales de Physique 1927, 3, 22–128.
- Bohm, D. A suggested interpretation of the quantum theory in terms of "hidden" variables. I and II. Physical Review 1952, 85, 166–179.
- Valentini, A. Signal-locality, uncertainty, and the subquantum H-theorem. I. Physical Review A 2001, 63, 033605.
- Norsen, T. The pilot-wave perspective on spin. American Journal of Physics 2014, 82, 337–348.
- Einstein, A. Die Feldgleichungen der Gravitation. Sitzungsberichte der Preussischen Akademie der Wissenschaften zu Berlin 1915, pp. 844–847.
- Magueijo, J. Faster than the Speed of Light; Harvard University Press, 2003.
- Couder, Y.; Fort, E. Single-particle diffraction and interference at a macroscopic scale. Physical review letters 2006, 97, 154101.
- Harris, D.M.; Moukhtar, J.; Fort, E.; Couder, Y.; Bush, J.W. Wavelike statistics from pilot-wave dynamics in a circular corral. Physical Review E 2013, 88, 011001.
- Couder, Y.; Fort, E. Probabilities and trajectories in a classical wave-particle duality. Journal of Physics: Conference Series. IOP Publishing, 2012, Vol. 361, p. 012001.
- Fort, E.; Eddi, A.; Boudaoud, A.; Moukhtar, J.; Couder, Y. Path-memory induced quantization of classical orbits. Proceedings of the National Academy of Sciences 2010, 107, 17515–17520.
- Pucci, G.; Harris, D.M.; Faria, L.M.; Bush, J.W. Walking droplets interacting with single and double slits. Journal of Fluid Mechanics 2018, 835, 1136–1156.
- Swope, W.C.; Andersen, H.C.; Berens, P.H.; Wilson, K.R. A computer simulation method for the calculation of equilibrium constants for the formation of physical clusters of molecules: Application to small water clusters. The Journal of chemical physics 1982, 76, 637–649.
- Humphrey, W.; Dalke, A.; Schulten, K. VMD – Visual Molecular Dynamics. Journal of Molecular Graphics 1996, 14, 33–38.











| (Joules) | (picometers) | |
|---|---|---|
| Parameterised based on Carbon atom | 7.837 * 10 | 0.7777 |
Disclaimer/Publisher’s Note: The statements, opinions and data contained in all publications are solely those of the individual author(s) and contributor(s) and not of MDPI and/or the editor(s). MDPI and/or the editor(s) disclaim responsibility for any injury to people or property resulting from any ideas, methods, instructions or products referred to in the content. |
© 2023 by the authors. Licensee MDPI, Basel, Switzerland. This article is an open access article distributed under the terms and conditions of the Creative Commons Attribution (CC BY) license (http://creativecommons.org/licenses/by/4.0/).