Submitted:
14 November 2023
Posted:
15 November 2023
You are already at the latest version
Abstract
Keywords:
1. Introduction
2. Analytical Methods
3. Results


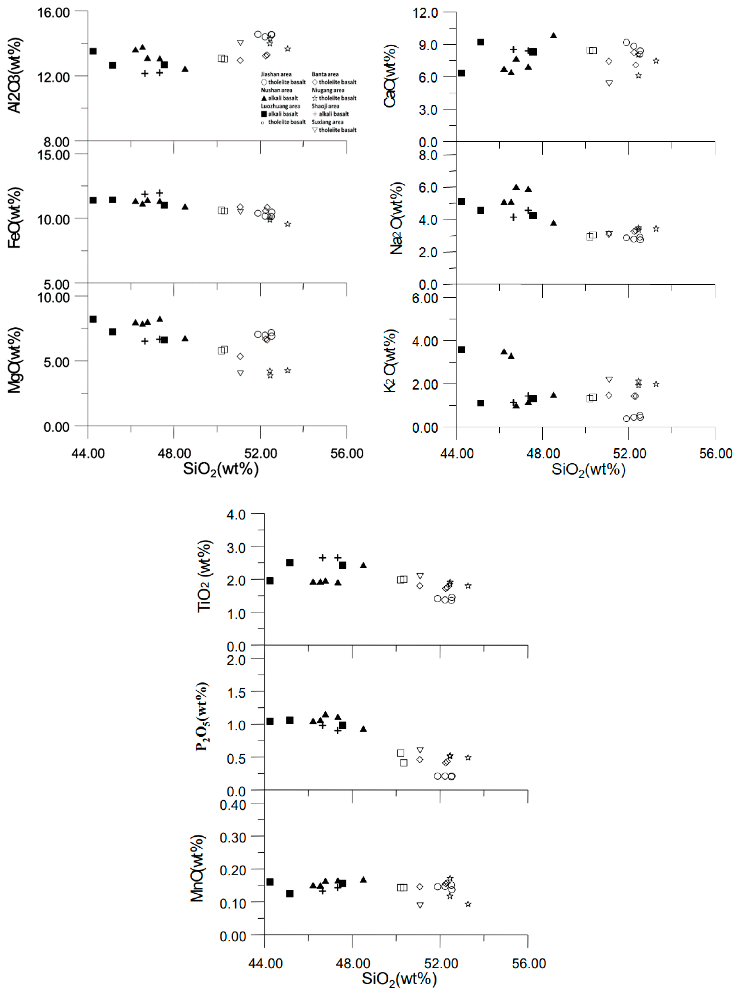
3.1. Major element geochemistry
3.2. Trace element geochemistry
3.3. Isotope geochemistry
4. Discussion
4.1. Geochemical characteristics of Anihui basalts and implications for their mantle sources
4.2. Petrogenesis of the Basaltic Rocks from Anihui province
5. Conclusions
Author Contributions
Funding
Data Availability Statement
Acknowledgments
Conflicts of Interest
References
- Huang, X. L.; Xu, Y. G.; Liu, D. Y. Geochronology, petrology and geochemistry of the granulite xenolith from Nushan, east China: Implication for a heterogeneous lower crust beneath the Sino-Korean Craton. Geochim. Cosmochim. Acta. 2004, 68, 127–149. [CrossRef]
- Jahn B. M.; Auvray B.; Cornichet J.; Bai Y. L.; Shen Q. H.; Liu D. Y. 3.5 Ga old amphibolites from eastern Hebei province, China: field occurrence, petrography, Sm-Nd isochron age and REE geochemistry. Precambrian Res. 1987, 34, 311–346. [CrossRef]
- Liu, R. X.; Chen, W. J.; Sun, J. Z.; Li, D. M. The K-Ar age and tectonic environment of Cenozoic volcanic rocks in China. In Liu, R. X., ed. The age and geochemistry of Cenozoic volcanic rocks in China. The Seismic Press, Beijing, 1992,1-43. (In Chinese).
- Zou, H.; Zindler, A.; Xu, X.; Qi, Q. Major, trace element, and Nd, Sr and Pb isotope studies of Cenozoic basalts in SE China: mantle sources, regional variations, and tectonic significance. Chem. Geol. 2000, 171, 33-47. [CrossRef]
- Xu, Y. G. Thermo-tectonic destruction of the Archaean lithospheric keel beneath eastern China: evidence, timing and mechanism. Phys. Chem. Earth 2001, 26, 747-757. [CrossRef]
- Gao, S.; Rudnick, R. L.; Carlson, R. W.; McDonough, W. F.; Liu, Y. S. Re-Os evidence for replacement of ancient mantle lithosphere beneath the North China craton. Earth Planet. Sci. Lett. 2002, 198, 307-322. [CrossRef]
- Xu Y. G.; Chung S. L.; Ma J.; Shi L. Contrasting Cenozoic lithospheric evolution and architecture in the western and eastern Sino-Korean craton: constraints from geochemistry of basalts and mantle xenoliths. J. Geol. 2004, 112, 593-605. [CrossRef]
- Zhang, H.H.; Xu, Y.G.; Ge,W.C.; Ma, J.L. 2006, Geochemistry of late Mesozoic–Cenozoic basalts in Yitong–Datun area. Jilin Province and its implication. Acta Petrol. Sin. 2006, 22, 1579–1607.
- Sun, J.; Zhu, X.K.; Belshaw, N.S.; Chen, W.; Doroshkevich, A.G.; Luo, W.J.; Song, W.L.; Chen, B.B.; Cheng, Z.G.; Li, Z.H., Wang, Y.; Kynicky, J.; Henderson, G.M. Ca isotope systematics of carbonatites: insights into carbonatite source and evolution. Geochem. Perspect. Lett. 2021, 11–15. [CrossRef]
- Smith, A. D.; Huang, L. Y. The use of extraction chromatographic materials in procedures for the isotopic analysis of neodymium and strontium in rocks by thermal ionisation mass spectrometry. J. National Cheng-Kung University 1997, 32, 1–10.
- Odin, G. S.; 35 collaborators. Interlaboratory standards for dating potassium –argon age determinations. In: Odin, G. S. (Ed.), Numerical Dating in Stratigraphy : Wiley, 1982,pp. 123-149.
- Fuhrmann, U.; Lippolt, H. J.; Hess, J. C. Examination of some proposed K-Ar standards: 40Ar/39Ar analyses and conventional K-Ar dating. Chem. Geol. 1987, 66, 41–51. [CrossRef]
- Yoder, H. S.; Tilley, C. E. Origin of basalt magmas: an experimental study of natural and synthetic rock system. J. Petrol. 1962, 3, 346-532. [CrossRef]
- Xu Y. G.; Bodinier J. L. Contrasting enrichments in high and low temperature xenoliths from Nushan, Eastern China: Results of a single metasomatic event during lithospheric accretion? J. Petrol. 2004, 45, 321-341. [CrossRef]
- Hofmann, A.W. Chemical differentiation of the Earth: the relationship between mantle continental crust and oceanic crust. Earth Planet. Sci. Lett. 1988,79, 270–280. [CrossRef]
- Sun, S. S.; McDonough, W. F. Chemical and isotopic systematics of oceanic basalts: implications for mantle composition and processes. J Geol. Soc. London Spec. Publ. 1989, 42,313-345.
- Zou, H.; Zindler, A.; Xu, X.; Qi, Q. Major, trace element, and Nd, Sr and Pb isotope studies of Cenozoic basalts in SE China: mantle sources, regional variations, and tectonic significance. Chem. Geol. 2000, 171, 33-47. [CrossRef]
- Li, Z. X. Collision between the North and South China blocks: a crustal-detachment model for suturing in the region east of the Tanlu fault. Geology 1994, 22, 739-742. [CrossRef]
- Meng, F.; Gao, S.; Niu, Y.; Liu, Y.; Wang, X. Mesozoic–Cenozoic mantle evolution beneath the North China Craton: A new perspective from Hf–Nd isotopes of basalts. Gondwana Res. 2015, 27, 1574–1585. [CrossRef]
- Chen, D. G.; Chou, H. T.; Yang, C. T.; Wang, Y. S. Petrogenesis of Cenozoic volcanic rocks and isotopic characteristics of mantle sources in Shandong, Anhwei and Jiangsu provinces. The Characteristics and dynamics of upper mantle of China. The Seismic Press, Beijing,1990, 124-131 (in Chinese).
- Chen, D.; Peng, Z. K-Ar ages and Pb, Sr isotopic characteristics of some Cenozoic volcanic rocks from Anhui and Jiangsu provinces, China. Acta Petrol. Sin. 1988, 2, 3–12 (in Chinese with English abstract).
- Liu, Y.S.; Gao, S.; Kelemen, P.B.; Xu, W.L. Recycled crust controls contrasting source compositions of Mesozoic and Cenozoic basalts in the North China Craton. Geochim. Cosmochim. Acta 2008, 72, 2349–2376. [CrossRef]
- Chen, L.H.; Zeng, G.; Jiang, S.Y.; Hofmann, A.W.; Xu, X.S. Sources of Anfengshan basalts: subducted lower crust in the Sulu UHP belt, China. Earth Planet. Sci. Lett. 2009, 286, 426–435. [CrossRef]
- Zeng, G.; Chen, L.H.; Xu, X.S.; Jiang, S.Y.; Hofmann, A.W. Carbonated mantle sources for Cenozoic intra-plate alkaline basalts in Shandong, North China. Chem. Geol. 2010, 273, 35–45. [CrossRef]
- Kuang, Y.S., Wei, X., Hong, L.B., Ma, J.L., Pang, C.J., Zhong, Y.T., Xu, Y.G., 2012. Petrogenetic evaluation of the Laohutai basalts from North China Craton: melting of a two-component source during lithospheric thinning in the late Cretaceous-early Cenozoic. Lithos 2012, 154, 68-82. [CrossRef]
- Xu, Y.G.; Zhang, H.H.; Qiu, H.N.; Ge, W.C.; Wu, F.-Y. Oceanic crust components in continental basalts from Shuangliao, Northeast China: derived from the mantle transition zone? Chem. Geol. 2012, 328, 168–184. [CrossRef]
- Xu, Z.; Zhao, Z.F.; Zheng, Y.F. Slab-mantle interaction for thinning of cratonic lithosphericmantle in North China: geochemical evidence from Cenozoic continental basalts in central Shandong. Lithos 2012, 146, 202–217. [CrossRef]
- Li, H.Y.; Xu, Y.G.; Ryan, J.G.; Huang, X.L.; Ren, Z.Y.; Guo, H.; Ning, Z.G. Olivine and melt inclusion chemical constraints on the source of intracontinental basalts from the eastern North China Craton: discrimination of contributions from the subducted Pacific slab. Geochim. Cosmochim. Acta 2016, 178, 1–19. [CrossRef]
- Huang, X.L.; Zhong, J.W.; Xu, Y.G. Two tales of the continental lithospheric mantle prior to the destruction of the North China Craton: insights from Early Cretaceous mafic intrusions in western Shandong, East China. Geochem. Cosmochim. Acta 2012, 96, 193-214. [CrossRef]
- Zhao, D.; Tian, Y.; Lei, J.; Liu, L.; Zheng, S. Seismic image and origin of the Changbai intraplate volcano in East Asia: Role of big mantle wedge above the stagnant Pacific slab. Phys. Earth Planet. Inter. 2009, 173, 197-206. [CrossRef]
- Kuritani, T.; Ohtani, E.; Kimura, J.I. Intensive hydration of the mantle transition zone beneath China caused by ancient slab stagnation. Nat. Geosci. 2011, 4 (10),713-716. [CrossRef]
- Xu, Y.G. Recycled oceanic crust in the source of 90-40Ma basalts in North and Northeast China: evidence, provenance and significance. Geochem. Cosmochim. Acta 2014, 143, 49-67. [CrossRef]
- Li, H.Y.; Zhou, Z.; Ryan, J.G.; Wei, G.J.; Xu, Y.G. Boron isotopes reveal multiple metasomatic events in the mantle beneath the eastern North China Craton. Geochem. Cosmochim. Acta 2016, 194, 77-90. [CrossRef]
- Wallace, M. E.; Green, D. H. The effect of bulk compositions on the stability of amphibole in the upper mantle: implications for solidus positions and mantle metasomatism. Mineral Petrol. 1991, 44, 1-9. [CrossRef]
- Xu, Y. G.; Menzies, M. A.; Vroon, P.; Mercier, J. C. C.; Lin, C. Y. Texture-temperature-geochemistry relationship in the upper mantle as revealed from spinel peridotite xenoliths from Wangqing, NE China. J. Petrol. 1998, 39, 469-493. [CrossRef]
- Philpotts, J. A.; Schnetzler, C. C. Partition coefficients of rare-earth elements between igneous matrix material and rock-forming mineral phenocrysts—II. Geochem. Cosmochim. Acta 1970, 34, 331-340. [CrossRef]
- Xu, X. S.; O'Reilly, S. Y.; Griffin, W. L.; Zhou, X. M. The nature of the Cenozoic lithosphere at Nushan, Central Eastern China. In: Flower, M.; Chung, S. L.; Lo, C. H.; Lee, T. Y. (eds) Mantle Dynamics and Plate Interactions in East Asia. A. G. U. Geodynamic Series 1998, 27, 167-195. [CrossRef]
- Xu, Z.; Zheng, Y. F.; Zhao, Z. F. The origin of Cenozoic continental basalts in east-central China: Constrained by linking Pb isotopes to other geochemical variables. Lithos 2017, 268, 302-319. [CrossRef]
- Wang, Y.; Meng, X.; He, Y.; Huang, J.; Lu, W. N.; Shi, Q.; Ke, S.; Tang, Y. J.; Huang, S.; Li, S. Light calcium isotope anomaly observed in continental basaltic lavas: A mixed signal of recycled carbonate and fractionation during melting. Lithos 2023, 456, 107306-107320. [CrossRef]
- Dupuy, C.; Liotard, J. M.; Dostal, J. Zr/Hf fractionation in intraplate basaltic rocks: carbonate metasomatism in the mantle source. Geochim. Cosmochim. Acta 1992, 56, 2417-2423. [CrossRef]
- Furman, T. Melting of metasomatized subcontinental lithosphere: undersaturated mafic lavas from Rungwe, Tanzania. Contrib. Mineral. Petrol. 1995, 112, 97-115. [CrossRef]
- Yaxley, G. M.; Crawford, A. J.; Green, D. H. Evidence for carbonatite metasomatism in spinel peridotite xenolith from Western Victoria. Earth Planet. Sci. Letters. 1991, 107, 305-317. [CrossRef]
- Guo, F.; Fan, W.; Wang, Y.; Lin, G. Geochemistry of late Mesozoic mafic magmatism in west Shandong Province, eastern China: Characterizing the lost lithospheric mantle beneath the North China Block. Geochem. J. 2003, 37, 63-77. [CrossRef]
- Lee, Y. T.; Chen, J. C.; Shih, J. Y.; Juang, W. S.; Yang, H. R.; Huang, S. W.; Lin M. L. Geochemistry of Cenozoic basaltic rocks from Shandong province and its implication for mantle process in North China. Geochem. J. 2006, 40, 579-596. [CrossRef]
- Lee, Y. T.; Chen, J. C.; Shih, J. Y.; Ho, K. S.; Yang, H. R.; Lin, M. L.; Hu, Y. T.; Chiu, C. H. Petrogenesis of Cenozoic basaltic rocks from Jiangsu province, China evidence from geochemical constraints. Acta Geol. Sinica 2013, 87, 102–117. [CrossRef]
- Sato, H. (1977) Nickel content of basaltic magma: identifyication of primary magmas and a measure of the degree of olivine fractionation. Lithos 1977, 10, 113-120. [CrossRef]
- Wilkinson, J. F. G.; Le Maitre, R. W. Upper mantle amphiboles and micas and TiO2, K2O, and P2O5 abundances and 100Mg/(Mg+Fe+2) ratios of common basalts and andesites: implications for modal mantle metasomatism and undepleted mantle compositions. J. Petrol. 1987, 28, 37-73. [CrossRef]
- Frey, F. A.; Prinz, M. Ultramafic inclusions from San Carlos, Arizona: petrological and geochemical data bearing on their petrogenesis. Earth Planet. Sci. Lett. 1978, 38, 129-176. [CrossRef]
- Shaw, D. M. Trace element fractionation during anatexis. Geochim. Cosmochim. Acta 1970, 34, 237-243. [CrossRef]
- Brook, C. K.; Nielsen, T. F. D. The East Greenland continental margin: a transition between oceanic and continental magmatasm. J. Geol. Soc. London 1982, 39, 265-275. [CrossRef]










| Location | Jiashan area | Nushan area | ||||||
|---|---|---|---|---|---|---|---|---|
| Sample | AG1 | AG2 | AG3 | AG4 | AM1 | AM2 | AM3 | AM4 |
| Rock type | TB | TB | TB | TB | AB | AB | AB | AB |
| SiO2(wt%) | 52.54 | 51.89 | 52.23 | 52.52 | 46.78 | 47.35 | 48.51 | 46.22 |
| Al2O3 | 14.55 | 14.57 | 14.42 | 14.56 | 13.11 | 13.08 | 12.45 | 13.63 |
| ΣFeO | 10.50 | 10.40 | 10.19 | 10.15 | 11.42 | 11.35 | 10.92 | 11.35 |
| MgO | 6.92 | 7.05 | 6.98 | 7.19 | 8.01 | 8.24 | 6.75 | 8.00 |
| CaO | 8.40 | 9.20 | 8.87 | 8.11 | 7.70 | 6.95 | 9.89 | 6.74 |
| Na2O | 2.75 | 2.87 | 2.78 | 2.91 | 6.02 | 5.89 | 3.82 | 5.08 |
| K2O | 0.44 | 0.38 | 0.44 | 0.53 | 0.99 | 1.14 | 1.48 | 3.49 |
| TiO2 | 1.45 | 1.41 | 1.37 | 1.36 | 1.96 | 1.91 | 2.43 | 1.93 |
| P2O5 | 0.21 | 0.21 | 0.21 | 0.20 | 1.15 | 1.11 | 0.93 | 1.05 |
| MnO | 0.137 | 0.146 | 0.147 | 0.151 | 0.164 | 0.165 | 0.168 | 0.151 |
| L.O.I. | 1.76 | 1.77 | 1.80 | 1.94 | 2.02 | 2.34 | 2.46 | 2.57 |
| Total | 99.657 | 99.896 | 99.437 | 99.621 | 99.324 | 99.525 | 99.808 | 100.211 |
| MG | 54.26 | 54.96 | 55.22 | 56.05 | 55.08 | 56.65 | 52.67 | 55.92 |
| C.I.P.W. Norm | ||||||||
| Q | 4.50 | 2.44 | 3.68 | 3.47 | - | - | - | - |
| Qr | 2.60 | 2.25 | 2.60 | 3.13 | 5.85 | 6.74 | 8.75 | 20.63 |
| Ab | 23.27 | 24.29 | 23.52 | 24.62 | 25.79 | 28.39 | 27.30 | 11.03 |
| An | 26.06 | 25.75 | 25.57 | 25.01 | 5.83 | 5.89 | 12.45 | 4.08 |
| Lc | - | - | - | - | - | - | - | - |
| Ne | - | - | - | - | 13.63 | 11.62 | 2.72 | 17.31 |
| Di | 11.66 | 15.15 | 13.96 | 11.03 | 20.29 | 17.40 | 24.96 | 18.36 |
| Hy | 24.01 | 22.58 | 22.75 | 24.56 | - | - | - | - |
| Mt | 2.54 | 2.51 | 2.46 | 2.45 | 2.75 | 2.74 | 2.64 | 2.74 |
| Ol | - | - | - | - | 16.79 | 18.21 | 11.76 | 17.40 |
| Il | 2.75 | 2.68 | 2.60 | 2.58 | 3.72 | 3.63 | 4.62 | 3.67 |
| Ap | 0.50 | 0.50 | 0.50 | 0.47 | 2.72 | 2.63 | 2.20 | 2.49 |
| Location | Nushan area | Luozhuang area | Banta area | |||||
| Sample | AM5 | AN1 | AN2 | AN3 | AN4 | AN5 | AB1 | AB2 |
| Rock type | AB | AB | TB | AB | AB | TB | TB | TB |
| SiO2(wt%) | 46.65 | 47.56 | 50.35 | 44.25 | 45.15 | 50.21 | 51.08 | 52.33 |
| Al2O3 | 13.79 | 12.68 | 13.05 | 13.53 | 12.65 | 13.09 | 12.96 | 13.30 |
| ΣFeO | 11.16 | 11.01 | 10.57 | 11.40 | 11.44 | 10.63 | 10.89 | 10.85 |
| MgO | 7.90 | 6.61 | 5.88 | 8.22 | 7.25 | 5.78 | 5.35 | 6.63 |
| CaO | 6.44 | 8.34 | 8.42 | 6.34 | 9.22 | 8.48 | 7.44 | 7.10 |
| Na2O | 5.11 | 4.24 | 3.03 | 5.10 | 4.55 | 2.94 | 3.09 | 3.31 |
| K2O | 3.28 | 1.30 | 1.36 | 3.57 | 1.09 | 1.30 | 1.46 | 1.42 |
| TiO2 | 1.93 | 2.43 | 2.00 | 1.95 | 2.05 | 1.98 | 1.80 | 1.75 |
| P2O5 | 1.06 | 0.98 | 0.41 | 1.04 | 1.06 | 0.56 | 0.46 | 0.43 |
| MnO | 0.150 | 0.156 | 0.143 | 0.160 | 0.125 | 0.143 | 0.146 | 0.158 |
| L.O.I. | 2.48 | 4.48 | 4.91 | 4.35 | 4.80 | 5.05 | 5.29 | 2.37 |
| Total | 99.850 | 99.786 | 100.123 | 99.910 | 99.835 | 100.163 | 99.966 | 99.648 |
| MG | 56.03 | 51.94 | 50.03 | 56.48 | 53.29 | 49.46 | 46.93 | 52.38 |
| C.I.P.W. Norm | ||||||||
| Q | - | - | 1.10 | - | - | 1.81 | 2.83 | 1.33 |
| Qr | 19.38 | 7.68 | 8.04 | 21.10 | 6.44 | 7.68 | 8.63 | 8.39 |
| Ab | 14.56 | 30.97 | 25.64 | 7.10 | 22.39 | 24.88 | 26.15 | 28.01 |
| An | 5.00 | 11.73 | 17.99 | 3.48 | 10.87 | 18.68 | 17.18 | 17.24 |
| Lc | - | - | - | - | - | - | - | - |
| Ne | 15.54 | 2.66 | - | 19.53 | 8.73 | - | - | - |
| Di | 16.33 | 19.02 | 17.33 | 17.27 | 22.82 | 16.22 | 13.81 | 12.44 |
| Hy | - | - | 17.82 | - | - | 18.22 | 18.97 | 22.92 |
| Mt | 2.70 | 2.67 | 2.55 | 2.75 | 2.77 | 2.57 | 2.64 | 2.62 |
| Ol | 17.74 | 13.71 | - | 18.22 | 13.81 | - | - | - |
| Il | 3.67 | 4.62 | 3.80 | 3.70 | 4.75 | 3.76 | 3.42 | 3.32 |
| Ap | 2.51 | 2.32 | 0.97 | 2.46 | 2.51 | 1.33 | 1.09 | 1.02 |
| Location | Banta area | Niugang area | Shaoji area | Suxiang area | ||||
| Sample | AB3 | AL1 | AL2 | AL3 | AH1 | AH2 | AS1 | |
| Rock type | TB | TB | TB | TB | AB | AB | TB | |
| SiO2(wt%) | 52.26 | 52.46 | 53.28 | 52.45 | 47.34 | 46.65 | 51.09 | |
| Al2O3 | 13.24 | 14.30 | 13.67 | 13.99 | 12.21 | 12.15 | 14.03 | |
| ΣFeO | 10.59 | 10.07 | 9.57 | 9.90 | 11.97 | 11.89 | 10.50 | |
| MgO | 6.70 | 3.85 | 4.26 | 4.23 | 6.67 | 6.53 | 4.04 | |
| CaO | 8.25 | 6.15 | 7.47 | 8.06 | 8.41 | 8.54 | 5.40 | |
| Na2O | 3.27 | 3.34 | 3.44 | 3.84 | 4.56 | 4.15 | 3.09 | |
| K2O | 1.42 | 2.11 | 1.97 | 1.92 | 1.43 | 1.13 | 2.17 | |
| TiO2 | 1.72 | 1.91 | 1.80 | 1.85 | 2.65 | 2.65 | 2.09 | |
| P2O5 | 0.41 | 0.52 | 0.49 | 0.51 | 0.90 | 0.98 | 0.60 | |
| MnO | 0.155 | 0.171 | 0.093 | 0.117 | 0.143 | 0.133 | 0.089 | |
| L.O.I. | 1.57 | 4.58 | 3.08 | 3.13 | 3.97 | 5.09 | 6.21 | |
| Total | 99.585 | 99.461 | 99.123 | 99.637 | 100.253 | 99.893 | 99.309 | |
| MG | 53.25 | 40.76 | 44.48 | 43.47 | 50.08 | 49.71 | 40.92 | |
| C.I.P.W. Norm | ||||||||
| Q | 0.27 | 4.42 | 3.80 | 2.00 | - | - | 4.79 | |
| Qr | 8.93 | 12.47 | 11.64 | 11.35 | 8.45 | 6.68 | 12.82 | |
| Ab | 27.67 | 28.26 | 29.11 | 29.45 | 27.59 | 29.93 | 26.15 | |
| An | 17.26 | 17.80 | 16.04 | 16.88 | 8.62 | 11.19 | 18.00 | |
| Lc | - | - | - | - | - | - | - | |
| Ne | - | - | - | - | 5.96 | 2.81 | - | |
| Di | 17.20 | 7.75 | 14.74 | 16.38 | 22.32 | 20.32 | 4.05 | |
| Hy | 20.45 | 16.91 | 13.85 | 13.36 | - | - | 19.39 | |
| Mt | 2.57 | 2.44 | 2.32 | 2.39 | 2.90 | 2.87 | 2.54 | |
| Ol | - | - | - | - | 13.34 | 13.70 | - | |
| Il | 3.27 | 3.63 | 3.42 | 3.51 | 5.03 | 5.03 | 3.97 | |
| Ap | 0.97 | 1.23 | 1.16 | 1.21 | 2.13 | 2.32 | 1.42 | |
| Location | Jiashan area | Nushan area | |||||||||
|---|---|---|---|---|---|---|---|---|---|---|---|
| Sample | AG1 | AG2 | AG3 | AG4 | AM1 | AM2 | AM3 | AM4 | |||
| Rock type | TB | TB | TB | TB | AB | AB | AB | AB | |||
| Ba(ppm) | 318 | 309 | 253 | 242 | 408 | 511 | 548 | 578 | |||
| Co | 46 | 45 | 47 | 46 | 48 | 48 | 48 | 46 | |||
| Cr | 210 | 214 | 220 | 217 | 224 | 236 | 260 | 182 | |||
| Cs | 0.24 | 0.29 | 0.21 | 0.18 | 1.01 | 0.96 | 0.64 | 1.05 | |||
| Cu | 89 | 86 | 77 | 78 | 34 | 36 | 46 | 32 | |||
| Ga | 9.0 | 8.7 | 9.2 | 8.9 | 11.8 | 12.5 | 12.2 | 13.1 | |||
| Hf | 3.4 | 3.1 | 2.7 | 3.0 | 5.4 | 5.2 | 5.6 | 5.4 | |||
| Li | 10.2 | 15.0 | 12.6 | 9.4 | 10.2 | 9.8 | 13.3 | 11.5 | |||
| Nb | 8.9 | 8.6 | 9.0 | 8.7 | 103.1 | 103.6 | 74.1 | 99.5 | |||
| Ni | 151 | 152 | 148 | 151 | 189 | 193 | 191 | 164 | |||
| Pb | 5.4 | 2.6 | 1.2 | 1.4 | 3.2 | 3.9 | 3.5 | 3.1 | |||
| Rb | 11.2 | 10.2 | 7.9 | 9.6 | 52.2 | 43.3 | 35.5 | 51.9 | |||
| Sc | 28.2 | 24.3 | 26.8 | 26.8 | 13.2 | 14.2 | 20.9 | 14.2 | |||
| Sr | 236 | 235 | 251 | 281 | 681 | 681 | 754 | 723 | |||
| Ta | 0.70 | 0.62 | 0.64 | 0.54 | 6.01 | 5.94 | 4.31 | 5.98 | |||
| Th | 1.32 | 1.04 | 0.84 | 0.89 | 8.37 | 7.99 | 5.57 | 7.77 | |||
| U | 0.37 | 0.34 | 0.21 | 0.24 | 2.37 | 2.23 | 1.49 | 2.37 | |||
| V | 191 | 188 | 203 | 190 | 159 | 151 | 210 | 162 | |||
| Y | 24.2 | 23.0 | 23.4 | 23.4 | 24.3 | 24.9 | 27.9 | 24.1 | |||
| Zn | 95 | 95 | 94 | 93 | 132 | 126 | 107 | 126 | |||
| Zr | 123 | 114 | 121 | 113 | 302 | 297 | 304 | 312 | |||
| La | 11.34 | 10.49 | 10.20 | 9.90 | 61.29 | 61.87 | 46.76 | 55.85 | |||
| Ce | 26.87 | 25.32 | 23.56 | 23.05 | 106.19 | 109.54 | 85.60 | 99.75 | |||
| Nd | 15.73 | 14.47 | 12.53 | 12.53 | 48.48 | 47.21 | 40.08 | 43.51 | |||
| Sm | 4.93 | 4.69 | 3.75 | 3.67 | 9.75 | 9.96 | 8.70 | 8.90 | |||
| Eu | 1.86 | 1.81 | 1.32 | 1.34 | 3.04 | 3.01 | 2.76 | 2.74 | |||
| Gd | 4.03 | 3.83 | 2.59 | 2.65 | 5.49 | 5.46 | 4.90 | 5.02 | |||
| Tb | 1.03 | 0.96 | 0.69 | 0.71 | 1.18 | 1.15 | 1.13 | 1.10 | |||
| Yb | 2.32 | 2.24 | 1.72 | 1.73 | 1.20 | 1.16 | 1.60 | 1.15 | |||
| Lu | 0.39 | 0.39 | 0.22 | 0.22 | 0.13 | 0.13 | 0.18 | 0.12 | |||
| Location | Nushan area | Luozhuang area | Banta area | ||||||||
| Sample | AM5 | AN1 | AN2 | AN3 | AN4 | AN5 | AB1 | AB2 | |||
| Rock type | AB | AB | TB | AB | AB | TB | TB | TB | |||
| Ba(ppm) | 536 | 572 | 499 | 545 | 562 | 469 | 467 | 396 | |||
| Co | 45 | 49 | 50 | 45 | 47 | 45 | 57 | 53 | |||
| Cr | 196 | 261 | 269 | 197 | 262 | 272 | 342 | 374 | |||
| Cs | 1.02 | 0.63 | 0.48 | 1.05 | 0.61 | 0.40 | 0.14 | 0.12 | |||
| Cu | 35 | 50 | 60 | 33 | 52 | 58 | 66 | 65 | |||
| Ga | 13.0 | 12.8 | 11.9 | 12.9 | 12.5 | 11.4 | 11.3 | 10.5 | |||
| Hf | 5.3 | 5.8 | 4.1 | 5.4 | 5.9 | 3.9 | 3.8 | 3.5 | |||
| Li | 12.0 | 8.5 | 8.4 | 10.8 | 14.6 | 8.0 | 5.5 | 5.5 | |||
| Nb | 101.6 | 81.7 | 45.4 | 100.9 | 88.1 | 43.3 | 31.8 | 28.0 | |||
| Ni | 169 | 196 | 216 | 182 | 207 | 197 | 280 | 266 | |||
| Pb | 3.2 | 4.8 | 4.2 | 3.0 | 3.9 | 2.7 | 2.6 | 2.5 | |||
| Rb | 54.9 | 36.6 | 21.6 | 53.9 | 35.6 | 19.3 | 22.2 | 18.5 | |||
| Sc | 13.0 | 22.5 | 24.1 | 13.9 | 19.5 | 21.7 | 22.5 | 22.0 | |||
| Sr | 579 | 698 | 466 | 675 | 797 | 389 | 382 | 329 | |||
| Ta | 5.70 | 4.66 | 2.70 | 5.90 | 5.00 | 2.42 | 1.86 | 1.59 | |||
| Th | 7.16 | 6.57 | 3.18 | 7.22 | 6.91 | 2.78 | 2.59 | 2.12 | |||
| U | 2.08 | 1.59 | 0.57 | 2.25 | 1.7 | 0.49 | 0.51 | 0.51 | |||
| V | 163 | 247 | 228 | 168 | 226 | 224 | 225 | 207 | |||
| Y | 23.6 | 31.0 | 24.8 | 24.4 | 30.5 | 23.8 | 25.9 | 22.6 | |||
| Zn | 126 | 109 | 105 | 132 | 120 | 112 | 115 | 104 | |||
| Zr | 312 | 337 | 216 | 316 | 350 | 207 | 183 | 180 | |||
| La | 54.63 | 50.76 | 29.21 | 56.27 | 54.20 | 27.30 | 22.69 | 19.92 | |||
| Ce | 97.62 | 93.07 | 56.90 | 100.28 | 99.21 | 53.21 | 46.04 | 40.78 | |||
| Nd | 42.01 | 42.74 | 26.51 | 43.54 | 46.29 | 25.20 | 22.21 | 19.32 | |||
| Sm | 8.63 | 9.23 | 6.20 | 8.73 | 9.76 | 5.89 | 5.76 | 4.98 | |||
| Eu | 2.72 | 2.95 | 2.08 | 2.78 | 3.09 | 1.99 | 1.91 | 1.66 | |||
| Gd | 4.71 | 5.16 | 3.84 | 5.12 | 5.39 | 3.55 | 3.54 | 3.16 | |||
| Tb | 1.06 | 1.23 | 0.95 | 1.07 | 1.26 | 0.90 | 0.90 | 0.79 | |||
| Yb | 1.13 | 1.63 | 1.57 | 1.09 | 1.56 | 1.45 | 1.68 | 1.45 | |||
| Lu | 0.13 | 0.22 | 0.21 | 0.12 | 0.19 | 0.20 | 0.30 | 0.18 | |||
| Location | Banta area | Niugang area | Shaoji area | Suxiang area | |||||||
| Sample | AB3 | AL1 | AL2 | AL3 | AH1 | AH2 | AS1 | ||||
| Rock type | TB | TB | TB | TB | AB | AB | TB | ||||
| Ba(ppm) | 371 | 996 | 778 | 845 | 538 | 493 | 914 | ||||
| Co | 49 | 42 | 32 | 38 | 42 | 46 | 38 | ||||
| Cr | 329 | 237 | 211 | 202 | 154 | 153 | 279 | ||||
| Cs | 0.15 | 0.25 | 0.21 | 0.24 | 0.78 | 0.65 | 0.15 | ||||
| Cu | 64 | 62 | 66 | 68 | 44 | 45 | 61 | ||||
| Ga | 10.6 | 16.4 | 14.2 | 14.8 | 12.6 | 14.0 | 15.6 | ||||
| Hf | 3.9 | 3.9 | 3.8 | 4.0 | 6.0 | 6.6 | 4.9 | ||||
| Li | 5.4 | 8.6 | 7.1 | 7.6 | 8.5 | 9.7 | 9.4 | ||||
| Nb | 27.7 | 38.7 | 34.6 | 35.6 | 84.1 | 91.6 | 41.0 | ||||
| Ni | 220 | 97 | 92 | 94 | 128 | 128 | 121 | ||||
| Pb | 2.8 | 6.6 | 4.7 | 5.2 | 3.1 | 3.7 | 6.2 | ||||
| Rb | 19.1 | 35.5 | 31.4 | 32.5 | 43.5 | 66.2 | 33.6 | ||||
| Sc | 23.4 | 20.9 | 20.4 | 20.4 | 15.3 | 14.9 | 19.4 | ||||
| Sr | 375 | 282 | 397 | 346 | 795 | 717 | 316 | ||||
| Ta | 1.64 | 2.20 | 1.83 | 1.97 | 5.26 | 4.82 | 1.97 | ||||
| Th | 2.42 | 3.87 | 3.29 | 3.45 | 6.50 | 5.95 | 4.15 | ||||
| U | 0.72 | 0.75 | 0.63 | 0.70 | 1.77 | 1.80 | 1.06 | ||||
| V | 197 | 187 | 175 | 178 | 226 | 252 | 174 | ||||
| Y | 23.2 | 27.1 | 25.7 | 26.10 | 26.7 | 26.20 | 26.0 | ||||
| Zn | 102 | 100 | 198 | 100 | 144 | 129 | 102 | ||||
| Zr | 180 | 177 | 202 | 201 | 322 | 267 | 179 | ||||
| La | 19.99 | 46.37 | 38.79 | 40.53 | 49.76 | 47.13 | 43.49 | ||||
| Ce | 41.10 | 88.78 | 73.27 | 79.57 | 92.54 | 93.64 | 72.96 | ||||
| Nd | 20.45 | 39.91 | 32.88 | 35.01 | 43.30 | 44.15 | 39.38 | ||||
| Sm | 5.15 | 8.30 | 7.06 | 7.31 | 9.30 | 10.03 | 8.32 | ||||
| Eu | 1.76 | 2.55 | 2.17 | 2.30 | 3.02 | 2.94 | 2.64 | ||||
| Gd | 3.35 | 4.80 | 4.16 | 4.33 | 5.05 | 8.69 | 7.18 | ||||
| Tb | 0.82 | 1.08 | 0.95 | 0.97 | 1.20 | 1.20 | 1.07 | ||||
| Yb | 1.61 | 1.76 | 1.47 | 1.53 | 1.28 | 1.25 | 1.78 | ||||
| Lu | 0.26 | 0.23 | 0.21 | 0.20 | 0.20 | 0.15 | 0.22 | ||||
| Sample No. | Location | Rock type | 87Sr/86Sr | 143Nd/144Nd |
|---|---|---|---|---|
| 1AJSN-1 | Nushan | Alkali basalt | 0.70345 | 0.512964 |
| 1AJSN-2 | Jiashan | Tholeiite basalt | 0.70437 | 0.512615 |
| 1AHFD-2 | Dashushan | Alkali basalt | 0.70465 | 0.512803 |
| 1ADTF-4 | Dangtu | Alkali basalt | 0.70466 | 0.512748 |
| 2AB3 | Banta | Tholeiite basalt | 0.704523 | 0.512556 |
| 2AG4 | Jiashan | Tholeiite basalt | 0.706053 | 0.512340 |
| 2AL2 | Niugang | Tholeiite basalt | 0.705484 | 0.511967 |
| 2AM2 | Nushan | Alkali basalt | 0.703290 | 0.512957 |
| 2AN2 | Luozhuang | Tholeiite basalt | 0.704188 | 0.512679 |
| 3NS-1 | Nushan | Alkali basalt | 0.703215 | 0.512981 |
| Sample No. | Location | Rock type | Ma |
|---|---|---|---|
| 1AJS-3 | Jiashan Mingguang | Tholeiite basalt | 65.02 |
| 1AJS-5 | Jiashan Mingguang | Tholeiite basalt | 54.79 |
| 1ADTF-4 | Dangtu | Alkali basalt | 53.18 |
| 1AHFD-2 | Dashushan | Alkali basalt | 36.19 |
| 1AJSD-1 | Jiashan Dahengshan | Tholeiite basalt | 37.58 |
| 1AJSQ-1 | Jiashan Qingmingshan | Olivine Tholeiite | 16.52 |
| 1AJSQ-2 | Jiashan Qing-mingshan | Olivine Tholeiite | 15.41 |
| 1AJSN-1 | Nushan | Alkali basalt | 0.726 |
| 1AJSN-2 | Nushan | Alkali basalt | 0.530 |
| 1AJSN-3 | Nushan | Alkali basalt | 0.567 |
| 40Ar-39Ar | |||
| 2AG4 | Jiashan | Tholeiite basalt | 31.1±0.5 |
| 2AB3 | Banta | Tholeiite basalt | 18.59±0.18 |
| 2AL2 | Niugang | Tholeiite basalt | 14.42±0.48 |
| 2AS1 | Luozhuang | Tholeiite basalt | 6.90±0.15 |
| 2AM2 | Nushan | Alkali basalt | 0.56±0.25 |
Disclaimer/Publisher’s Note: The statements, opinions and data contained in all publications are solely those of the individual author(s) and contributor(s) and not of MDPI and/or the editor(s). MDPI and/or the editor(s) disclaim responsibility for any injury to people or property resulting from any ideas, methods, instructions or products referred to in the content. |
© 2023 by the authors. Licensee MDPI, Basel, Switzerland. This article is an open access article distributed under the terms and conditions of the Creative Commons Attribution (CC BY) license (http://creativecommons.org/licenses/by/4.0/).