Preprint
Article

This version is not peer-reviewed.

4-Hydroxynaphtho[1,8-de][1,2]oxazine in the Synthesis of 1,2,8-Trisubstituted Naphthalenes. Novel Isoxazole 2-oxide to Nitrile oxide Isomerization

A peer-reviewed version of this preprint was published in:
Molecules 2023, 29(1), 48. https://doi.org/10.3390/molecules29010048

Submitted:

08 November 2023

Posted:

09 November 2023

You are already at the latest version

Abstract
Naphtho[1,8-de][1,2]oxazin-4-ol and its acyl or benzyl derivatives ring open to various 2,8-dihydroxy-1-naphthonitriles, that undergo methylation, reduction, demethylation and debenzylation reactions, to afford the target compound (E)-2-hydroxy-8-methoxy-1-naphthaldehyde. The best overall yield of the latter was 28.7%. This compound was converted to its corresponding (E)-2-hydroxy-8-methoxy-1-naphthaldehyde ox-ime, which was oxidatively o-cyclized with phenyliodine(III) diacetate (PIDA) to 9-methoxynaphtho[1,2-d]isoxazole 2-oxide. The latter in deuterated DMSO, at room temperature, rearranged to its isomer to 2-hydroxy-8-methoxy(naphthalen-1-yl)nitrile oxide. The isomeriza-tion was detected by a time-course plot 1H NMR spectroscopy and further identified from its13C NMR and HRMS spectra. The nitrile oxide was stable in (non)deuterated DMSO for at least 18 hours. A 3,4-bis(2-hydroxy-8-methoxynaphthalen-1-yl)-1,2,5-oxadiazole 2-oxide as a dimeriza-tion product or an isocyanate as a rearrangement isomer were both ruled out, the former by the absence of the relevant molecular ion in its HRMS spectrum while the latter by 1,3-dipolar cy-cloaddition reactions with various dipolarophiles that gave substituted isoxazoles, thus con-firming the nitrile oxide structure.
Keywords: 
;  ;  ;  ;  ;  ;  ;  

1. Introduction

1,2-Oxazines and their benzo fused derivatives are embedded in many drugs and bioactive natural products. Their synthetic strategies, use as intermediates in synthesis and biological potential, have been comprehensively reported [1,2,3,4,5,6]. Analogues of 1,2-oxazine that are peri-annelated to naphthalene are much less abundant in the literature. The first naphtho [1,8-de][1,2]oxazine to be synthesized was 6,6’-diisopropyl-4,4′,5,5′-tetramethoxy-8,8’-dimethyl-9,9′-binaphtho [1,8-de][1,2]oxazine by cyclodehydration of 6,6′,7,7′-tetra-methoxygossypol dioxime [7]. Analogous reactions produced more derivatives [8,9]. Oxidation of 2-hydroxy-1-naphthaldehyde oxime with lead(IV) acetate (LTA) in THF provided 4-hydroxynaphtho [1,8-de][1,2]oxazine together with a spiro dimer [10,11]. Applying the same reaction conditions to (2-hydroxy-1-naphthyl)keto oximes gave the appropriate 3-alkyl-4-hydroxynaphtho [1,8-de][1,2]oxazines together with the corresponding 2-alkyl-1-hydroxybenzo[cd]indol-3(1H)-one side products, unlike (2-hydroxynaphthalen-1-yl)(phenyl)methanone oxime that gave solely 3-phenyl-4-hydroxynaphtho [1,8-de][1,2]oxazine [10,11]. A high yield of 4-hydroxynaphtho [1,8-de][1,2]oxazine was obtained from the oxidation of 2-hydroxy-1-naphthaldehyde oxime with phenyliodonium diacetate (PIDA) in t-BuOH [12]. Naphthalenediols have applications in dyes, medicines, catalysis and batteries [13]. For example, the naphthalenediol derivative with an alkylamide arm (Figure 1) is an inhibitor on cancer cell proliferation, in particular malignant melanoma, breast cancer, and leukemia [14]. The ortho-CH acetoxylation and peri-CH hydroxylation [15] as well as the ortho- and peri-CH methoxylation [16] of substituted 1-naphthaldehydes are important chemical processes for preparing useful intermediates in synthesis and applications. Isoxazole and isoxazoline are long known privileged core structures of the family of 5-membered aromatic N,O-heterocycles. They are commonly di- and trisubstituted derivatives, have shown a wide spectrum of applications in medicinal chemistry, some are marketed drugs, appear in organic materials, are used in agriculture and are versatile building blocks in organic synthesis. The synthesis, biological properties and applications of isoxazoles and isoxazolines have been extensively reviewed [17,18,19,20,21]. For example, the depicted 3,5-diarylisoxazole derivative (Figure 1) had shown excellent antimicrobial activity against all pathogenic strains [20].
All the synthetic methods leading to dialkyl 3-(naphthalen-1-yl)isoxazole-4,5-dicarboxylates work by the formation of a (naphthalene-1-yl)nitrile oxide in situ, followed by its 1,3-dipolar cycloaddition with the appropriate dialkyl acetylenedicarboxylate. The reactions differ by the generation of the nitrile oxide, such as the direct oxidation of 1-naphthaldehyde oximes by PIDA [22] and oxone® [23,24,25,26] or by chlorination of 1-naphthaldehyde oximes to N-hydroxy-1-naphthimidoyl chlorides with NCS and then dehydrochlorination [27]. 5-Aryl-3-(naphthalene-1- or 2-yl)isoxazoles have been prepared by oxidative aromatization of 5-aryl-4,5-dihydro-3-(naphthalene-1 or 2-yl)isoxazoles [28,29]. Similar 3,5-disubstituted isoxazoles have been synthesized by 1,3-dipolar cycloaddition of appropriate nitrile oxides and arylacetylenes [30,31,32]. There are only two published reports on the synthesis of ethyl 4,5-dihydro-3-(naphthalen-1- or 2-yl)isoxazole-5-carboxylates. The naphthalene-1-yl derivative was obtained via the (naphthalene-1-yl)nitrile oxide followed by 1,3-dipolar cycloaddition with ethyl acrylate [33]. Both naphthalen-1- and 2-yl derivatives have been synthesized by [2+2+1] cycloaddition reactions [34]. The first 5-aryl-4,5-dihydro-3-(naphthalene-1-yl)isoxazole to be synthesized was the 5-phenyl derivative from the reaction of 3-phenyl-2,3-dihydro-1H-benzo[f]chromen-1-one with hydroxylamine hydrochloride [35], followed by the 5-(4-chlorophenyl) derivative [36]. More recently two more of this type of derivatives have been synthesized [37,38]. A series of 3-(methyl or phenyl)benzo[d]isoxazole-2-oxide derivatives have been studied for their use as novel UV absorbers and photooxidation inhibitors of polystyrene, the most effective being 3-phenylbenzo[d]isoxazole 2-oxide (Figure 1) [39]. The first benzo[d]isoxazole-2-oxide derivatives were synthesized by Boulton and Tsoungas, using the oxidative cyclization of (2-hydroxy-1-phenyl)keto oximes with LTA or sodium hypochlorite [40,41,42]. The reaction has worked equally efficiently with sodium perborate [43], PIDA [44,45,46], HTIB [47] and NCS [48]. The parent C-3 unsubstituted benzo[d]isoxazole-2-oxide has so far not been isolated, a result of its susceptibility to ring opening or hydrolysis. The first naphtho [1,2-d]isoxazole 2-oxide was synthesized by Varvounis and co-workers, from the oxidative cyclization of 2-hydroxy-1-naphthaldehyde oxime with LTA. The reaction also produced 4-hydroxynaphtho [1,8-de][1,2]oxazine [10]. Naphtho [1,2-d]isoxazole 2-oxide, however, proved to be unstable since repeating the reaction it produced a spiro dimer instead. In line with sTable 3-alkyl benzo[d]isoxazole 2-oxides, oxidative cyclization of (E,Z)-1-(2-hydroxynaphthalen-1-yl)propan-1-one oxime produced 1-ethylnaphtho [1,2-d]isoxazole 2-oxide [49]. Oxidative cyclization of 1-(2-hydroxynaphthalen-1-yl)ethan-1-one oxime with NCS gave sTable 1-methylnaphtho [1,2-d]isoxazole 2-oxide [48]. Nitrile oxides are highly reactive, mostly non isolable structures, generated in situ from various precursors [50]. They, in turn, as ambiphilic dipoles with a low HOMO-LUMO energy difference [51], serve as precursors to diverse heterocycles, mainly 5-membered ones [52,53,54]. A relatively few substituted arylnitrile oxides, such as those bearing a bulky t-butyl or mesityl group, an alkoxy and/or a dimethyl acetal group, stable enough to be isolable, have been reported [55,56,57,58]. Moreover, several stable (naphthalen-1-yl)nitrile oxide derivatives have been found in the literature [32,55,59,60,61].
In our previous works we demonstrated that oxidation of (E)-2-hydroxy-1-naphthaldehyde oxime with LTA, a one-electron oxidant, gave rise to intermediate o-naphthoquinone nitrosomethides, which then underwent peri-cyclization and/or intermolecular cyclodimerization to naphtho [1,8-de][1,2]oxazine and (±)-spiro adduct dimer, respectively. Naphtho [1,2-d]isoxazole 2-oxide was also detected but proved unstable and not readily isolable (Scheme 1a) [10,49]. Later on we established that when (E)-2-hydroxy-1-naphthaldehyde oxime was oxidized with PIDA, a two-electron oxidant, in non-nucleophilic t-BuOH, oxidative peri-cyclization occurred exclusively and provided naphtho [1,8-de][1,2]oxazine in 80% yield [12] (Scheme 1b). More recently, (E)-2-hydroxy-1-naphthaldehyde oxime was oxidized by AgO in the presence of N-methyl morpholine N-oxide to afford the spiro adduct-dimer (see Scheme 1a) as the sole product. Under the same reaction conditions (E)-2-hydroxy-8-methoxy-1-naphthaldehyde oxime afforded 9-methoxynaphtho [1,2-d]isoxazole, instead of the corresponding spiro adduct-dimer [62] (Scheme 1c). The formation of the spiro adduct is sterically impeded by the peri OMe substituents.
Herein, we describe the oxidative o-cyclisation of (E)-2-hydroxy-8-methoxy-1-naphthaldehyde oxime with PIDA to 9-methoxynaphtho [1,2-d]isoxazole 2-oxide and the subsequent 1,3-dipolar cycloaddition in DMSO of its ring-opened intermediate 2-hydroxy-8-methoxy(naphthalen-1-yl)nitrile oxide with various dipolarophiles (Scheme 1d).

2. Results & Discussion

Following up our previous observations about the instability of naphtho [1,2-d]isoxazole 2-oxide [49] (Scheme 1a) and the effect of OMe group at the C-8 position of (E)-2-hydroxy-1-naphthaldehyde oxime on its selective oxidation to 9-methoxynaphtho [1,2-d]isoxazole [62] (Scheme 1c) we became interested in investigating the outcome of a PIDA oxidation of (E)-2-hydroxy-8-methoxy-1-naphthaldehyde oxime, a reagent used successfully for the oxidative cyclization of 2-hydroxyaryl ketoximes into 3-arylbenzo[d]isoxazole 2-oxides [48]. The key structure in our recent work (Scheme 1c), 2-hydroxy-8-methoxy-1-naphthaldehyde (6) was prepared from 1-naphthaldehyde by o- and peri-methoxylation from Pd(OAc)2, K2S2O8 and 3-(trifluoromethyl)aniline in a closed vessel, that provided 2,8-dimethoxy-1-naphthaldehyde in 30% yield. The latter was selectively demethylated by AlCl3 to (6) in 15% yield [62]. The low overall yield (4.5%) of this reaction and the inconvenience of using a sealed vessel, steered us towards an alternative route to (6). The high yielding (80%) synthesis of naphtho [1,8-de][1,2]oxazin-4-ol (1) followed by its equally high yielding (80%) ring opening to 2,8-dihydroxy-1-naphthonitrile (Scheme 1b), provided attractive starting materials that we decided to use towards our target (6).
At the start of our investigation, we reacted (1) with TBSCl and imidazole in dry DMF at room temperature, reaction conditions used by Bencivenni and co-workers [63] to silylate 1,7-naphthalenediol. After the disappearance of the starting material spot and appearance of a new spot on TLC, the reaction was heated at 120 oC for a short period of time, according to the reaction conditions used in our previous report (Scheme 1b) [10]. The outcome was the expected ring-opened 2-TBS protected 1-naphthonitrile (2) and the unprotected 1-naphthonitrile (3), in 31% and 50% yields, respectively. Compound (3) obviously resulted from (2) by cleavage of its TBS-group. After separating by column chromatography, (2) was methylated using MeI and K2CO3 in dry acetone, reaction conditions used by Bencivenni and co-workers [63], to methylate the OH group and desilylate the OTBS group of 7-[(tert-butyldimethylsilyl)oxy]naphthalen-1-ol. Our reaction was over after 1 hour stirring at room temperature. Column chromatography furnished two compounds identified as selectively methylated nitrile (4) in a 43% yield and dimethylated nitrile (5) in an 18% yield. Nitrile (4) was then reduced to aldehyde (6) with DIBAL in toluene, reaction conditions used for the reduction of 6-(methylamino)-2-naphthonitrile to 6-(methylamino)-2-naphthaldehyde [64], at 0 oC and then room temperature, in our case. The overall yield of (6) from (1) by the four step route, as described in Scheme 2, was only 2.8%.
This low overall yield probably due to byproducts (3) and (5) and to the low yield of the last step, turned our attention to a four-step route to (6) from (1) (Scheme 3). Thus, according to an old published procedure [8] , (1) was acetylated with acetic anhydride to afford naphtho [1,8-de][1,2]oxazin-4-yl acetate (7) in 70% yield. Ring opening of (7) in DMF at 120 oC, reaction conditions used previously [10], afforded 1-naphthonitrile (8) in 72% yield. Next, we tried to methylate the OH group of (8), under various reaction conditions, without cleaving the acetyl protective group. Dimethyl sulphate with K2CO3, in dry acetone, was first used, according to an earlier report [65]. The two products obtained were separated by column chromatography to afford the 8-methoxy nitrile (9) and 8-acetoxy-1-acetoxy nitrile (10), in 10% and 50% yields, respectively. The origin of (10) may well have been accounted from an intermolecular acetylation between two molecules of (8), followed by methylation of the resulting 8-acetoxy-1-cyanonaphthalen-2-olate. The methylation outcome of (8) remained the same, under different conditions but with varying yields of (9) and (10). Therefore, methylation of (8) was first tried with MeI and K2CO3 in dry THF at room temperature, a second attempt was with 50 mg of (8), MeI, NaH and 5 mL dry THF at room temperature and a final one with 50 mg of (8), MeI, NaH but this time 50 mL dry THF at room temperature, that afforded (9) and (10), in 13% and 47%, 22% and 40%, and, 41% and 9%, respectively. It was interesting to note that the solvent effect in the last two attempts apparently favored (9) (41% yield) compared to (10) (9% yield). Moreover, the MeO group in (9) was properly placed for further deprotection and reduction to the target (6). Thus, reacting (9) with either DIBAL (1.2 M in toluene) in dry THF at −78 oC [64] or with PtO2 in an equal volume of HCO2H/H2O at 55−60 oC [66] , the deprotected nitrile (4) was obtained in in 36% and 45% yields, respectively. The reduction of (9) to (6) proved difficult, either under the standard DIBAL conditions (1.2 M in toluene) [64] or an attempted modification (initiating the reaction at 0 oC and allowing a long period at room temperature), it gave disappointingly a 15% yield and an overall 3.1% yield from (1) (Scheme 3), marginally higher than that of Scheme 2.
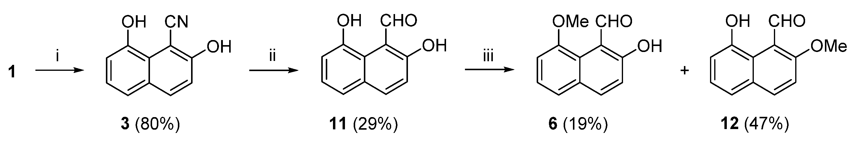
In the next attempt to synthesize (6) from (1) we planned the simpler three-step route shown in Scheme 4. We had wrongly anticipated that the 6-membered intramolecular hydrogen bond in 1-naphthaldehyde (11) between the CHO oxygen atom and the OH hydrogen atom, would be strong enough to survive in DMF and thus encourage selective methylation at the peri position. The synthetic route started from (1) with heating in DMF at 120 oC according to our published procedure [10]. Reduction of the CN group in (3) with calcium hypophosphite in the presence of base and nickel(II) acetate tetrahydrate led to a disappointing 29% yield of 1-naphthaldehyde (11). Using these reactants, Estelle Métay, Marc Lemaire and co-workers [67] reduced 1-naphthonitrile to 1-naphthaldehyde in 85% yield while aryl nitriles bearing OH groups are tolerant to these reaction conditions. In the last step, methylation of (11) took place in dry DMF and at room temperature in the presence of MeI and K2CO3 to afford, after column chromatography, the target compound (6) and side product (12) in 19% and 47% yields, respectively. These reaction conditions have been used to methylate 2-chloro-8-hydroxy-1-naphthaldehyde to 2-chloro-8-methoxy-1-naphthaldehyde, in very good yield [15]. The formation of product (12) implies that in a DMF solution of (11) there could exist an intramolecular pseudo hydrogen bond between the CHO group and the peri OH group, stronger than that between the CHO group and the ortho OH group. The outcome of this effort was a 4.4% overall yield of (6), more or less as in the route described in Scheme 3.
In the fourth attempt towards synthesizing (6) from (1), we planned to alkylate (3), reduce the resultant nitrile to the corresponding aldehyde and then selectively demethylate to produce the target compound (6) (Scheme 5). The synthetic route began by the dimethylation of (3) with MeI and Na2CO3, in aqueous acetone, under mild heating [63], that gave the dimethoxy nitrile (5) in a satisfying 78% yield. 1-Naphthonitrile (5) was reduced to the aldehyde (13) in moderate yield, by a modification of the standard conditions of DIBAL (1.2 M in toluene) [64], as described earlier. Aldehyde (13) was then subjected to, what we hoped to be, selective deprotection of the 2-OMe group to the target compound (6) in a useful yield. In the first selective demethylation attempt of (13) to (6), MgBr2.etherate and KI in MeCN were heated in a closed vessel, by applying a reported method [68]. The reaction, after column chromatography, gave (6) as the only product albeit in very low yield. The next demethylation attempt of (13) entailed the use of BBr3 in DCM at room temperature for 18 hours, which, after column chromatography, gave products (6), (12) and (11) in 8%, 7% and 59%, respectively. These reaction conditions have been used to demethylate 1,2-bis-(4-methoxyphenyl)propane to 1,2-bis-(4-hydroxy-phenyl)propane [69]. The selective demethylation was again repeated with BBr3 in DCM, only this time at room temperature for 1 hour and at −15 oC for 1 hour, respectively. In our third and fourth reaction trials on the selective demethylation of compound (13), BBr3 in DCM was used again but this time at room temperature for 1 hour and at −15 oC for 1 hour, respectively. The yields of products (6), (12) and (11) were obtained in 19%, 11% and 33%, and, 56%, 22% and 10% yields, respectively. The results are not clear-cut but we can assume that at low temperature, in compound (13), one of the lone pairs of the peri OMe group is intramolecularly engaged in a pseudo hydrogen bond with the CHO group, for most of the time. This H bonding interaction engages the peri OMe group, consequently allowing a relatively easier demethylation of its more available o-OMe counterpart. The moderate yields of the last two steps of this reaction sequence towards (6) diminished its value, despite an overall increase of the yield to 18.2%.
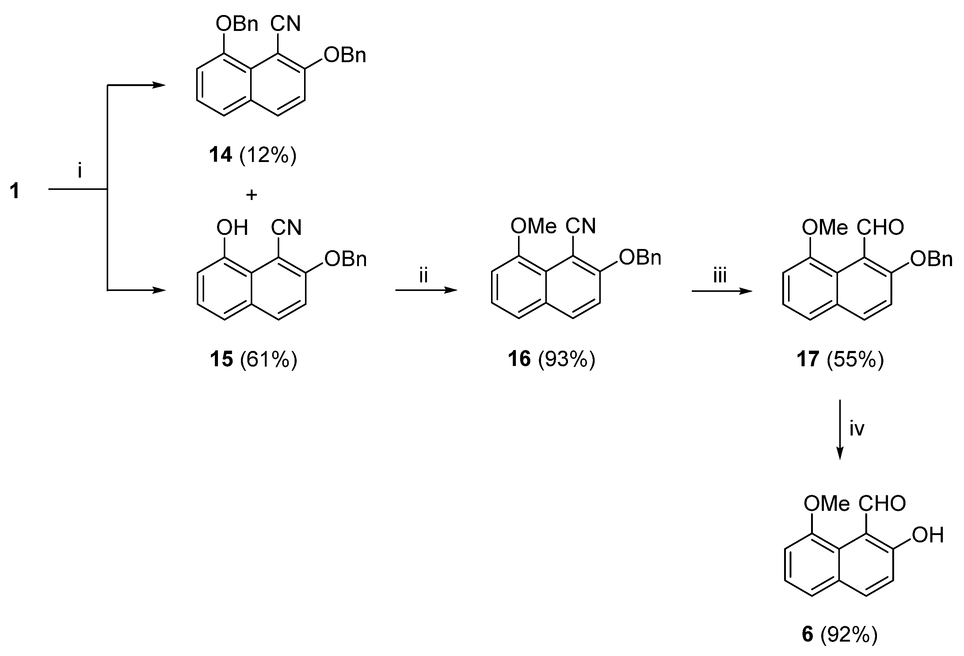
In the final attempt to synthesize (6) as efficiently as possible from (1), we decided to start with an O-benzylation of (1), and then ring open the resulting 4-(benzyloxy)naphtho [1,8-de][1,2]oxazine (by heating in DMF) to the targeted precursor 2-(benzyloxy)-8-hydroxy-1-naphthonitrile (15) (Scheme 6). Further, we envisaged methylation of the peri OH group, reduction of nitrile to aldehyde and debenzylation of the OBn group. For the benzylation step, we slightly modified the reaction conditions applied by Luo and Zheng and co-workers [70]. to convert 2-hydroxy-1-naphthaldehyde to 2-(benzyloxy)-1-naphthaldehyde. Starting from oxazine (1) we used benzyl bromide, instead of benzyl chloride, in the presence of K2CO3 and KI and stirred the reaction in acetone, at room temperature for 18 hours, instead of under reflux. TLC analysis showed two new spots and no starting material. Column chromatography separation and NMR analysis identified these two compounds as (14) and (15) in 12% and 61% yields, respectively. To our surprise, the intermediate 4-(benzyloxy)naphtho [1,8-de][1,2]oxazine was not detected. Apparently, the oxazine suffered ring opening in the presence of the base. Indeed, this result was experimentally verified by stirring (1) with K2CO3 and KI in acetone to find out that after 4 hours 2,8-dihydroxy-1-naphthonitrile was obtained as a single product. It may be argued that benzylation could take place either sequentially, first on (1) and then on ring-opened (14) to (15) or on the ring-opened (3). The higher yield of (15) points to the former process. In the second step of this reaction sequence, 2-(benzyloxy)-8-hydroxy-1-naphthonitrile (15) was subjected to methylation by MeI and K2CO3 in dry acetone under reflux [63] to afford the 8-OMe derivative (16) in excellent yield. Reduction of the nitrile group of (16) was accomplished by a modification of the standard conditions of DIBAL (1.2 M in toluene) [64] (see earlier comments) 1-naphthaldehyde (17) was, thus, obtained, in a moderate 55% yield. In the last step of this reaction sequence, debenzylation took place by H2 and Pd/C as catalyst, according to the procedure used for the deprotection of (R)-3-(4-(benzyloxy)-3-fluorophenyl)-5-(hydroxymethyl)oxazolidin-2-one to (R)-3-(3-fluoro-4-hydroxyphenyl)-5-(hydroxymethyl)-oxazolidin-2-one [71]. Catalytic hydrogenation has been used the first time for the deprotection of a 2-(benzyloxy)naphthalene. The yield of 1-naphthaldehyde (6) was excellent. The overall yield of target compound (6) from (1) by this four step route, as described in Scheme 6, was increased to 28.7%, 10.5% higher than the method of Scheme 5.
Having established a viable route from (1) to target compound (6), we moved forward to our next goal, that is the synthesis of oxime (18) and its reaction with PIDA. Aldehyde (6) was condensed with hydroxylamine hydrochloride in the presence of base in MeOH, first at 0 oC and then at room temperature, according to our article by Tzeli, Tsoungas and co-workers [62], to afford (E)-oxime (18) in 78% yield. The latter compound was then subjected to oxidation with PIDA in non-nucleophilic dry t-BuOH at room temperature, to afford isoxazole-2-oxide (19) in very good yield (Scheme 7). We propose that in the first step of the reaction, the oxygen atom of the oxime group acted as a nucleophile towards electrophilic iodine atom of PIDA and displaced acetate ion to form organoiodo complex A. The O−I bond was much weaker than the N−O bond and therefore spontaneous cleavage of the former bond lead to the formation of o-naphthoquinone nitrosomethide intermediate B. The latter underwent 6π-electrocyclization to the non-aromatic dipolar naphthoisoxazole-N-oxide C which aromatized to sTable 9-methoxynaphtho [1,2-d]isoxazole 2-oxide (19), in very good yield. The stability of (19) was apparently due to the intramolecular pseudo hydrogen bonding between the OMe peri substituent and the sp2 C−1 hydrogen atom, that impeded ring opening of the isoxazole ring. That could well serve as a rationale for the non-isolable naphtho [1,2-d]isoxazole 2-oxide, lacking this particular stabilizing factor (Scheme 1a) [49].
When we recorded the 1H NMR spectrum of isoxazole 2-oxide (19) in DMSO-d6, that took only a few minutes, we found that the peaks in the spectrum corresponded to the structure of this compound. Next day we set forth to record the 13C NMR spectrum of the compound. As the normal practice is, in these cases, we recorded again the 1H NMR spectrum of the sample before setting up the machine to record its 13C NMR spectrum overnight. To our surprise, the initial 1H NMR spectrum of isoxazole 2-oxide (19) was different from this spectrum which we found later that it was nitrile oxide (20) [see Supplementary Materials Figure S59 for superimposed and Figure S60 for stacked 1H NMR spectra of (19) and (20)]. This novel isomerization of (19) to (20) was also detected by 1H NMR spectroscopy that was measured by a time-course plot (see Supplementary Materials Figure S61). We recorded the 1H and 13C NMR spectra of 2-oxide (19) in CDCl3 and confirmed that the compound is stable in this solvent even after 16 hours. We stirred a sample of isoxazole 2-oxide (19) in DMSO-d6 and after 6 hours recorded the 1H and 13C NMR spectra. As with the previously recorded NMR spectra of nitrile oxide (20), in the 1H NMR spectrum in DMSO-d6, the OH proton at high field was not visible and there was a range of 7.90–7.02 ppm with a total of 5 protons belonging to the naphthalen-2-ol ring. The characteristic singlet of the methyl group was found at 3.92 ppm. The 13C NMR spectrum in DMSO-d6 showed 11 signals. According to Koyama, Takata and co-workers [72] quaternary signals of nitrile groups usually turn up under the residual DMSO signal so that for nitrile oxide (20) the total number of carbon atoms was 12, as expected. High-resolution mass spectrometry analysis confirmed the expected molecular ion at m/z = 216.0661 [M+H]+ (ESI) that took up a proton and was calculated for C12H10NO3 m/z = 216.0661. In the mass spectrum of this compound there was no peak at m/z = 431.1243 [M+H]+ corresponding to the dimerization of (20) to 3,4-bis(2-hydroxy-8-methoxynaphthalen-1-yl)-1,2,5-oxadiazole 2-oxide. At this point we did not know whether compound (20) was the isocyanate isomer of the nitrile oxide, namely, 1-isocyanato-8-methoxynaphthalen-2-ol. Confirmation that (20) was the nitrile oxide came from 1,3-dipolar cycloaddition reactions of in situ generated nitrile oxide (20) with various dipolarophiles, that produced substituted isoxazoles (Scheme 8). The reactions took place by dissolving isoxazole 2-oxide (19) in DMSO under an atmosphere of nitrogen, addition of the appropriate dipolarophile (DMAD, phenylacetylene, methyl acrylate or styrene) and stirring at room temperature for 18 hours. Substituted isoxazoles (21) to (24) were produced in 85%, 93%, 89% and 97% yields, respectively. It was suggested that when isoxazole 2-oxide (19) was dissolved in DMSO, solvated species D could have disrupted the intramolecular pseudo hydrogen bond between the MeO group and the C-1 hydrogen atom, allowing for the ring opening of the isoxazole ring to the nitrile oxide moiety (20) which then underwent 1,3-dipolar cycloaddition with the dipolarophiles (Scheme 8).

3. Materials and Methods

Organic solutions were concentrated by rotary evaporation at 40 °C under 15 Torr. Melting points were taken on a Büchi 510 apparatus and are uncorrected. 1H and 13C NMR spectra were measured in CDCl3 or DMSO-d6 on a 400 MHz Brüker Avance spectrometer. 1H chemical shifts are reported in ppm from an internal standard TMS, residual CHCl3 (7.26 ppm) or DMSO (2.50 ppm). 13C NMR chemical shifts are reported in ppm from an internal standard TMS, residual CHCl3 (77.00 ppm) or DMSO (39.43 ppm). High resolution ESI mass spectra were measured on a Thermo Fisher Scientific Orbitrap XL system. IR spectra were acquired on an Agilent Cary 630 FTIR spectrophotometer as solids and are reported in wave numbers (cm−1). Analytical thin layer chromatography (TLC) was performed with TLC plates (Merck 70-230 mesh silica gel). TLC visualization took place under a 254 nm UV light source. Purification of reaction products was generally done by flash column chromatography using Carlo Erba Reactifs-SDS silica gel 60. Solvents, reagents, and catalysts were used as received from the manufacturers (Acros, Aldrich, Alfa-Aesar, Fluka and Merck) except for DCM, EtOAc and hexane that were dried and purified according to recommended procedures.
Synthesis of 2-[(tert-butyldimethylsilyl)oxy]-8-hydroxy-1-naphthonitrile (2) and 2,8-dihydroxy-1-naphthonitrile (3)
To a solution of compound (1) (500 mg, 2.2 mmol, 1 equiv) in dry DMF (15 mL), under an atmosphere of N2, was added imidazole (374 mg, 5.5 mmol, 2.5 equiv) and TBSCl (398 mg, 2.64 mmol, 1.2 equiv) and the reaction was left stirring at room temperature for 2 h (TLC analysis had shown the absence of the starting material spot and the presence of a new spot). The reaction mixture was then heated at 120 oC for 0.5 h. TLC examination revealed the absence of the starting material spot and the presence of two new spots. To the cooled reaction mixture water (100 mL) was added and extracted with EtOAc (3 × 20 mL) and the combined organic extracts washed with brine (20 mL), dried over anhydrous Na2SO4, and concentrated in vacuum. The acquired crude residue was purified by flash column chromatography (25% EtOAc in hexane) to give title compounds (2) and (3).
Compound (2): (204 mg, 31%) as a yellow oil; Rf = 0.61 (25% EtOAc in hexane); 1H NMR (400 MHz, CDCl3) δ: a broad singlet corresponding to OH is not visible, 7.76 (d, J = 8.9 Hz, 1H), 7.26 (d, J = 8.2 Hz, 1H), 7.18 (t, J = 7.5 Hz, 1H), 7.00–6.90 (m, 2H), 1.01 (s, 9H), 0.25 (s, 6H); 13C NMR (100.6 MHz, CDCl3) δ: 159.85, 150.81, 134.82, 130.30, 125.70, 123.58, 120.95, 120.16, 118.59, 113.10, 95.08, 25.67, 18.33; IR (solid): 3161, 3060, 2955, 2922, 2855, 2215, 2118, 1729 cm−1; HRMS (ESI): m/z [M−H] calcd. for C17H21NO2Si: 298.1263, found: 298.1264.
Compound (3): (203 mg, 50%) as a yellow solid, m.p. = 166–167 oC (lit. [10], m.p. = 167–168 oC); Rf = 0.1 (20% ethyl acetate in hexane); 1H NMR (400 MHz, DMSO-d6) δ: 11.24 (s, 1H), 10.31 (s, 1H), 7.93 (d, J = 9.0 Hz, 1H), 7.32 (d, J = 7.9 Hz, 1H), 7.25–7.15 (m, 2H), 6.92 (dd, J = 7.6, 1.1 Hz, 1H) (in agreement with the 1H NMR data that were previously reported for this compound) [10] .
Synthesis of 2-hydroxy-8-methoxy-1-naphthonitrile (4) and 2,8-dimethoxy-1-naphthonitrile (5)
To a solution of compound (2) (100 mg, 0.334 mmol, 1 equiv) in dry acetone (10 mL), under an atmosphere of N2, was added oven-dried K2CO3 (50 mg, 0.367 mmol, 1.1 equiv) and MeI (70 mg, 0.501 mmol, 1.5 equiv) and the reaction was left stirring at room temperature for 1 h (TLC analysis had shown complete conversion of the starting material and the presence of two new spots). Water (20 mL) was added, reaction mixture extracted with EtOAc (3 × 10 mL) and the combined organic extracts were washed with brine (10 mL), dried over anhydrous Na2SO4, and concentrated under vacuum. The acquired crude residue was purified by flash column chromatography (11% EtOAc in hexane) to give title compounds (4) and (5).
Compound (4): (28.6 mg, 43%) as a yellow solid, m.p. = 172−174 oC; Rf = 0.09 (20% EtOAc in hexane); 1H NMR (400 MHz, CDCl3) δ: a broad singlet corresponding to OH is not visible, 7.90 (d, J = 9.0 Hz, 1H), 7.42–7.33 (m, 2H), 7.22 (d, J = 9.0 Hz, 1H), 6.97 (d, J = 7.3 Hz, 1H), 4.05 (s, 3H); 13C NMR (100.6 MHz, CDCl3) δ: 160.44, 153.86, 135.17, 129.76, 125.50, 123.62, 121.22, 117.51, 117.41, 107.86, 89.31, 55.88; IR (solid): 3072, 2920, 2848, 2216, 1705, 1600, 1513 cm−1; HRMS (ESI): m/z [M+Na]+ calcd. for C12H9NO3Na: 222.0531, found: 222.0528.
Compound (5): (12.8 mg, 18%) as a colorless amorphous solid (hexane), m.p. = 147−149 oC; Rf = 0.21 (20% EtOAc in hexane); 1H NMR (400 MHz, CDCl3) δ: 7.83 (d, J = 9.2 Hz, 1H), 7.25 (d, J = 8.2 Hz, 1H), 7.19 (t, J = 7.9 Hz, 1H), 7.13 (d, J = 9.3 Hz, 1H), 6.80 (dd, J = 7.5, 1.2 Hz, 1H), 3.93 (s, 3H), 3.89 (s, 3H); 13C NMR (100.6 MHz, CDCl3) δ: 162.94, 154.29, 134.80, 129.71, 125.23, 123.75, 121.06, 116.96, 112.37, 107.72, 92.62, 56.85, 55.82; IR (solid): 2921, 2848, 2218, 2091, 1915, 1826, 1593 cm−1; HRMS (ESI): m/z [M+H]+ calcd. for C13H12NO2: 214.0863, found: 214.0858.
Synthesis of 2-hydroxy-8-methoxy-1-naphthaldehyde (6)
To a stirred solution of (4) (200 mg, 1 mmol,) in dry toluene (10 mL), under an atmosphere of N2, at 0 oC, was added DIBAL (1.67 mL of a 1.2 M in toluene, 2 mmol) and the reaction mixture was left stirring for 0.5 h and then for 18 h at room temperature (TLC analysis had shown absence of starting material spot and presence of a new spot). The solvent was removed under reduced pressure, water (20 mL) was carefully added to the residue and the resulting mixture cooled to 0 oC followed by dropwise addition of 1 M aqueous HCl until pH = 1. The aqueous solution was extracted with EtOAc (3 × 10 mL), the combined organic extracts washed with brine (20 mL), dried over anhydrous Na2SO4 and concentrated under vacuum. The acquired crude residue was purified by flash column chromatography (17% EtOAc in hexane) to give the title compound (40 mg, 20%) as a yellow solid, m.p. = 66–69 oC (lit. [62], m.p. = 68–70 oC); Rf = 0.54 (20% ethyl acetate in hexane); 1H NMR (400 MHz, CDCl3) δ: 14.15 (s, 1H), 11.22 (s, 1H), 7.87 (d, J = 9.0 Hz, 1H), 7.38 (dd, J = 8.0, 1.3 Hz, 1H), 7.31 (t, J = 7.9 Hz, 1H), 7.10 (d, J = 9.0 Hz, 1H), 7.04 (dd, J = 7.8, 1.2 Hz, 1H), 3.99 (s, 3H) (in agreement with the 1H NMR data that were previously reported for this compound) [62].
Synthesis of Naphtho[1,8-de][1,2]oxazin-4-yl acetate (7)
A solution of compound (1) (500 mg, 2.7 mmol) in freshly distilled acetic anhydride (10 mL), under an atmosphere on N2, was stirred at room temperature for 18 h (TLC had shown absence of starting material spot and presence of one new spot). Ice water (30 mL) was added and the reaction mixture was stirred for 0.5 h at room temperature. The reaction mixture was then extracted with EtOAc (3 x 15 mL), the combined organic extracts were washed with brine (10 mL), dried over anhydrous Na2SO4 and concentrated under vacuum. The acquired crude residue was purified by flash column chromatography (17% EtOAc in hexane) to give the title compound (429 mg, 70%) as a brown oil; Rf = 0.05 (20% EtOAc in hexane); 1H NMR (400 MHz, DMSO-d6) δ: 8.71 (s, 1H), 7.99 (d, J = 9.1 Hz, 1H), 7.58–7.51 (m, 2H), 7.41 (d, J = 9.1 Hz, 1H), 7.06–6.97 (m, 1H), 2.33 (s, 3H); 13C NMR (100.6 MHz, DMSO-d6) δ: 169.25, 166.97, 151.25, 144.24, 140.41, 130.81, 128.31, 124.15, 119.87, 119.22, 107.86, 105.71, 20.71; IR (solid): 2924, 2682, 2217, 1926, 1749, 1510 cm−1; HRMS (ESI): m/z [M+Na]+ calcd. for C13H9NO3Na: 250.0480, found: 250.0477.
Synthesis of 1-cyano-8-hydroxynaphthalen-2-yl acetate (8)
A solution of compound (7) (400 mg, 2.16 mmol) in DMF (8 mL) was heated at 120 °C for 45 min. (TLC analysis had shown absence of starting material spot and presence of a new spot). Water (30 mL) was added and the reaction mixture was extracted with Et2O (3 × 15 mL). The combined organic extracts were dried (Na2SO4) and the solvent was removed under vacuum. The residue was purified by flash column chromatography (50% EtOAc in hexane) to give the title compound (267 mg, 72 %) as a brown solid; m.p. = 165–167 oC; Rf = 0.13 (20% ethyl acetate in hexane); 1H NMR (400 MHz, DMSO-d6) δ: 10.85 (s, 1H), 8.22 (d, J = 9.0 Hz, 1H), 7.55–7.42 (m, 3H), 7.07 (dd, J = 7.5, 1.3 Hz, 1H), 2.41 (s, 3H); 13C NMR (100.6 MHz, DMSO-d6) δ: 168.71, 153.79, 152.42, 134.84, 132.59, 127.94, 122.16, 121.74, 119.42 (2C), 115.41, 111.74, 98.99; IR (solid): 3338, 2921, 2855, 2229, 2070, 1906, 1753, 1583 cm−1; HRMS (ESI): m/z [M+Na]+ calcd. for C13H9NO3Na: 250.0480, found: 250.0471.
Procedure A for the Synthesis of 1-cyano-8-methoxynaphthalen-2-yl acetate (9) and 8-cyano-7-methoxynaphthalen-1-yl acetate (10)
To a solution of compound (8) (50 mg, 0.22 mmol, 1 equiv) in dry acetone (5 mL), under an atmosphere of N2, was added oven-dried K2CO3 (34 mg, 0.24 mmol, 1,1 equiv) and dimethyl sulfate (31 mg, 0.24 mmol, 1.1 equiv) and the reaction was left stirring for 24 h at room temperature. (TLC had shown complete conversion of the starting material and the presence of two new spots (visualized under a UV lamp). Water (20 mL) was added, the reaction mixture was extracted with EtOAc (3 × 10 mL) and the combined organic extracts were washed with brine (10 mL), dried over anhydrous Na2SO4, and concentrated in vacuo. The acquired crude residue was purified by flash column chromatography (20% EtOAc in hexane) to give the title compounds (9) and (10).
Compound (9): (5.3 mg, 10%) as a yellow solid, m.p. = 94−96 oC; Rf = 0.25 (20% EtOAc in hexane); 1H NMR (400 MHz, DMSO-d6) δ: 8.30 (d, J = 8.9 Hz, 1H), 7.66 (dd, J = 8.3, 1.2 Hz, 1H), 7.64–7.52 (m, 2H), 7.24 (dd, J = 7.8, 1.1 Hz, 1H), 4.00 (s, 3H), 2.42 (s, 3H); 13C NMR (100.6 MHz, DMSO-d6) δ: 168.64, 154.19, 153.83, 134.96, 132.20, 127.80, 122.83, 122.14, 121.08, 115.17, 108.49, 98.76, 55.95, 20.65; IR (solid): 2924, 2855, 2223, 1578 cm−1; HRMS (ESI): m/z [M+H]+ calcd. for C14H12NO3: 242.0812, found: 242.0813.
Compound (10): (26.5 mg, 50%) as a yellow solid, m.p. = 132−134 oC; Rf = 0.11 (20% EtOAc in hexane); 1H NMR (400 MHz, DMSO-d6) δ: 8.36 (d, J = 9.3 Hz, 1H), 7.95 (dd, J = 8.2, 1.3 Hz, 1H), 7.66 (d, J = 9.3 Hz, 1H), 7.54–7.50 (m, 1H), 7.43 (dd, J = 7.6, 1.2 Hz, 1H), 4.08 (s, 3H), 2.42 (s, 3H); 13C NMR (100.6 MHz, DMSO-d6) δ: 169.86, 163.70, 143.96, 136.24, 129.33, 127.36, 124.87 (2C), 122.97, 116.10, 113.69, 88.92, 57.09, 20.89; IR (solid): 2942, 2850, 2219, 2101, 1747, 1592 cm−1; HRMS (ESI): m/z [M+Na]+ calcd. for C14H11NO3Na: 264.0631, found: 264.0625.
Procedure B for the Synthesis of Compounds (9) and (10)
To a solution of compound (8) (50 mg, 0.22 mmol, 1 equiv) in dry THF (5 mL), under an atmosphere of nitrogen, was added oven-dried K2CO3 (34 mg, 0.24 mmol, 1.1 equiv) and MeI (34 mg, 0.24 mmol, 1.1 equiv) and the reaction mixture was left stirring for 18 h at room temperature (TLC had shown complete conversion of the starting material and the presence of two new spots). Water (20 mL) was added and the reaction mixture was extracted with EtOAc (3 × 10 mL) and the combined organic extracts were washed with brine (10 mL), dried over anhydrous Na2SO4, and concentrated under reduced pressure. The acquired crude residue was purified by flash column chromatography (20% EtOAc in hexane) to give compounds (9) and (10).
Compound (9): (6.9 mg, 13%) as a yellow solid, m.p. = 94−96 oC; Rf = 0.25 (20% EtOAc in hexane); (the 1H NMR data were in agreement with those reported in Procedure A for this compound).
Compound (10): (25 mg, 50%) as a yellow solid, m.p. = 132−134 oC; Rf = 0.11 (20% EtOAc in hexane); (the 1H NMR data were in agreement with those reported in Procedure A for this compound).
Procedure C for the Synthesis of Compounds (9) and (10)
To a solution of compound (8) (50 mg, 0.22 mmol, 1 equiv) in dry THF (5 mL), under an atmosphere of N2, was added NaH (5.8 mg, 0.24 mmol, 1.1 equiv) and MeI (34 mg, 0.24 mmol, 1.1 equiv) and the reaction mixture was left stirring for 18 h at room temperature (TLC analysis showed the absence of starting material and presence of two new spots). Water (20 mL) was added to the reaction mixture and then extracted with EtOAc (3 × 10 mL). The combined organic extracts were washed with brine (10 mL), dried over anhydrous Na2SO4 and removed under reduced pressure. The acquired crude residue was purified by flash column chromatography (20% EtOAc in hexane) to give title compounds (9) and (10).
Compound (9): (11.7 mg, 22%) as a yellow solid, m.p. = 94−96 oC; Rf = 0.25 (20% EtOAc in hexane); (the 1H NMR data were in agreement with those reported in Procedure A for this compound).
Compound (10): (21 mg, 40%) as a yellow solid, m.p. = 132−134 oC; Rf = 0.11 (20% EtOAc in hexane); (the 1H NMR data were in agreement with those reported in Procedure A for this compound).
Procedure D for the Synthesis of Compounds (9) and (10)
To a solution of compound (8) (50 mg, 0.22 mmol, 1 equiv) in dry THF (50 mL), under an atmosphere of N2, was added NaH (5.8 mg, 0.24 mmol, 1.1 equiv) and MeI (34 mg, 0.24 mmol, 1.1 equiv) and the reaction was left stirring for 18 h at room temperature (TLC analysis had shown the absence of the starting material spot and the presence of two new spots). Water (20 mL) was added to the reaction mixture, extracted with EtOAc (3 × 10 mL) and the combined organic extracts washed with brine (10 mL), dried over anhydrous Na2SO4 and evaporated under vacuum. The acquired crude residue was purified by flash column chromatography (20% EtOAc in hexane) to give products (9) and (10).
Compound (9): (21.8 mg, 41%) as a yellow solid, m.p. = 94−96 oC; Rf = 0.25 (20% EtOAc in hexane); (the 1H NMR data were in agreement with those reported in Procedure A for this compound).
Compound (10): (4.8 mg, 9%) as a yellow solid, m.p. = 132−134 oC; Rf = 0.11 (20% EtOAc in hexane); (the 1H NMR data were in agreement with those reported in Procedure A for this compound).
Attempted Reduction of 1-cyano-8-methoxynaphthalen-2-yl acetate (9) with DIBAL
To solution of compound (9) (50mg, 0.27 mmol, 1 equiv) in dry THF, under an atmosphere of N2, that was cooled to −78 oC, DIBAL (0.86 mL, of a 1.2 M in toluene, 0.864 mmol, 3.2 equiv) was added dropwise and the reaction mixture was left stirring at that temperature for 0.5 h and then for 1 h at room temperature (TLC analysis had shown the absence of the starting material spot and the presence of one new spot). A saturated aq. solution of NH4Cl (5 mL) was added dropwise, followed by 1 N HCl aq. (25 mL) and EtOAc (25 mL) and the reaction mixture was left stirring for 1 h. The organic phase was separated and the aqueous phase was extracted with EtOAc (3 × 10 mL), the combined organic phases were washed with brine (20 mL), dried over anhydrous Na2SO4 and evaporated under vacuum. The acquired crude residue was purified by flash column chromatography (20% EtOAc in hexane) to give 2-hydroxy-8-methoxy-1-naphthonitrile (4) (23 mg, 36%) as a yellow solid, m.p. = 172−174 oC; Rf = 0.09 (20% EtOAc in hexane); [the 1H NMR data were in agreement with those reported for this compound synthesized from compound (2) (Scheme 2)].
Attempted Reduction of 1-cyano-8-methoxynaphthalen-2-yl acetate (9) with PtO2
Compound (9) (30 mg, 0.16 mmol, 1 equiv) was dissolved in a stirred 1/1 solution of HCOOH/H2O (4 mL), under an atmosphere of N2. PtO2 (3.6mg, 0.016 mmol, 0.1 equiv) was added and the reaction mixture was heated at 55 oC for 2 h (TLC analysis had shown the absence of the starting material spot and the presence of one new spot). The cooled reaction mixture was filtered through celite, water (10 mL) was added to the filtrate and the aqueous solution was extracted with EtOAc (3 × 10 mL). The combined organic phases were washed with brine (20 mL), dried over anhydrous Na2SO4 and evaporated under vacuum. The acquired crude residue was purified by flash column chromatography (20% EtOAc in hexane) to give 2-hydroxy-8-methoxy-1-naphthonitrile (4) (29 mg, 45%) as a yellow solid, m.p. = 172−174 oC; Rf = 0.09 (20% EtOAc in hexane) [the 1H NMR data were in agreement with those reported for this compound synthesized from compound (2) (Scheme 2)].
Synthesis of 2-hydroxy-8-methoxy-1-naphthaldehyde (6)
To a solution of compound (9) (250 mg, 1 mmol) in dry toluene (10 mL) at 0 oC, under an atmosphere of N2, was added DIBAL (1.67 mL of a 1.2 M in toluene, 2 mmol) and the reaction mixture was stirred for 0.5 h and then left stirring for 18 h at room temperature. Upon completion of the reaction (TLC examination), the solvent was removed under vacuum and water (20 mL) was carefully added to the residue. The resulting mixture was cooled to 0 oC, followed by the dropwise addition of 1 M HCl aq. until pH = 1. The aqueous solution was extracted with EtOAc (3 × 10 mL) and the combined organic extracts were washed with brine (20 mL), dried over anhydrous Na2SO4 and the solvent removed under vacuum. The acquired crude residue was purified by flash column chromatography (17% EtOAc in hexane) to give the title compound (31.5 mg, 15%) as a yellow solid, m.p. = 67–69 oC (lit. [62], m.p. = 68–70 oC); Rf = 0.54 (20% ethyl acetate in hexane); (the 1H NMR data were in agreement with those reported for this compound synthesized from (4) (Scheme 2) and with those previously reported) [62].
Synthesis of 2,8-dihydroxy-1-naphthonitrile (3)
A solution of compound (1) (500 mg, 2.7 mmol) in dry DMF (15 mL) was heated at 120 oC for 0.5 h (TLC analysis had shown the absence of starting material and the presence of one new spot), the reaction was left to cool to room temperature, then water (100 mL) was added. The reaction mixture was extracted with EtOAc (3 × 20 mL) and the combined organic extracts were washed with brine (20 mL), dried over anhydrous Na2SO4, and concentrated under vacuum. The acquired crude residue was purified by flash column chromatography (25% EtOAc in hexane) to give the title compound as a yellow solid (400 mg, 80%), m.p. = 166–167 oC (lit. [10], m.p. = 167–168 oC); Rf = 0.1 (20% ethyl acetate in hexane); 1H NMR (400 MHz, DMSO-d6) δ: 11.24 (s, 1H), 10.31 (s, 1H), 7.93 (d, J = 9.0 Hz, 1H), 7.32 (d, J = 7.9 Hz, 1H), 7.25–7.15 (m, 2H), 6.92 (dd, J = 7.6, 1.1 Hz, 1H) (in agreement with the 1H NMR data that were previously reported for this compound) [10].
Synthesis of 2,8-dihydroxy-1-naphthaldehyde (11)
A closed vessel with a magnetic stir bar was charged with Ni(OAc)2·4H2O (20 mg, 0.11 mmol, 0.2 equiv), followed by water (1 mL) and the mixture was stirred at room temperature for a few minutes. Ca(H2PO2)2 (90 mg, 0.54 mmol, 1 equiv) was then added, followed by Ca(OAc)2.H2O (40 mg, 0.22 mmol, 0.4 equiv), compound (3) (100 mg, 0.54 mmol, 1 equiv) and EtOH (1 mL). The reaction mixture was heated at 100 oC for 24 h. Upon completion (TLC analysis) the reaction was left to cool to room temperature and water (10 mL) was added. The reaction mixture was then extracted with EtOAc (3 × 10 mL) and the combined organic extracts were washed with brine (10 mL), dried over anhydrous Na2SO4, and concentrated under vacuum. The acquired crude residue was purified by flash column chromatography (17% EtOAc in hexane) to give the title compound (29 mg, 29%) as a yellow solid, m.p. = 194–196 oC (lit. [14], m.p. = 195–197 oC); Rf = 0.51 (33% EtOAc in hexane); 1H NMR (400 MHz, CDCl3) δ: a broad singlet corresponding to OH is not visible, 11.33 (s, 1H), 7.92 (d, J = 9.1 Hz, 1H), 7.42 (d, J = 7.9 Hz, 1H), 7.23 (d, J = 7.7 Hz, 1H), 7.14 (d, J = 9.0 Hz, 1H), 6.98 (d, J = 7.4 Hz, 1H) (in agreement with the 1H NMR data that was previously reported for this compound [14].
Synthesis of 2-hydroxy-8-methoxy-1-naphthaldehyde (6) and 8-hydroxy-2-methoxy-1-naphthaldehyde (12)
To a solution of (11) (25 mg, 0.133 mmol, 1 equiv) in dry DMF (5 mL), under an atmosphere of N2, oven-dried K2CO3 (19 mg, 0.134 mmol, 1.05 equiv) was added, followed by MeI (19 mg, 0.134 mmol, 1.05 equiv) and the reaction was stirred at room temperature for 2 h (TLC had shown the absence of the starting material and the presence of two new spots). Water (50 mL) was added, the reaction mixture was extracted with EtOAc (3 × 20 mL) and the combined organic extracts were washed with brine (20 mL), dried over anhydrous Na2SO4, and concentrated under vacuum. The acquired crude residue was purified by flash column chromatography (11% EtOAc in hexane) to give the title products (6) and (12).
Compound (6): (5.1 mg, 19%) as a yellow solid, m.p. = 67–68 oC (lit. [62], m.p. = 68–70 oC); Rf = 0.54 (20% ethyl acetate in hexane); (the 1H NMR data were in agreement with those reported for this compound synthesized from (4) (Scheme 2) and with those previously reported) [62].
Compound (12): (12.5 mg, 47%) as a yellow solid, m.p. = 110-112 oC); Rf = 0.28 (20% ethyl acetate in hexane); 1H NMR (400 MHz, CDCl3) δ: 12.00 (s, 1H), 10.59 (s, 1H), 8.12 (d, J = 9.3 Hz, 1H), 7.35 (d, J = 7.7 Hz, 1H), 7.29–7.26 (m, 1H), 7.22 (d, J = 9.2 Hz, 1H), 7.14 (dd, J = 7.6, 1.4 Hz, 1H), 4.08 (s, 3H) (in agreement with the 1H NMR data that were previously reported for this compound) [15].
Synthesis of 2,8-dimethoxy-1-naphthonitrile (5)
To a stirred solution of compound (3) (300 mg, 1.62 mmol, 1 equiv) in acetone (10 mL), was added MeI (460 mg, 3.28 mmol, 2.02 equiv) followed by Na2CO3 (175 mg, 1.65 mmol, 1.02 equiv) and H2O (2 mL). The reaction mixture was gently heated for 3 h during which time TLC analysis had shown complete conversion of the starting material and the presence of one new spot. The solvents were removed under reduced pressure and the oily residue was triturated with hexane to give the title compound (270 mg, 78%) as a colorless solid (hexane), m.p. = 147–149 oC; Rf = 0.21 (20% ethyl acetate in hexane); [the 1H NMR data were in agreement with those reported for this compound synthesized from compound (2) (Scheme 2)].
Synthesis of 2,8-dimethoxy-1-naphthaldehyde (13)
To a stirred solution of compound (5) (210 mg, 1 mmol) in dry toluene (10 mL) at 0 oC, under an atmosphere of N2, was added DIBAL (1.67 mL of a 1.2 M in toluene, 2 mmol) and the reaction mixture stirred for 0.5 hours and then left stirring at room temperature for 18 h. Upon completion of the reaction (TLC analysis) the solvent was removed under reduced pressure, cold water (20 mL) was carefully added to the residue and the resulting mixture was cooled to 0 oC, followed by the dropwise addition of 1 M HCl aq. until pH = 1. The aqueous solution was extracted with EtOAc (3 × 10 mL) and the combined organic extracts were washed with brine (20 mL), dried over anhydrous Na2SO4 and concentrated under vacuum. The acquired crude residue was purified by flash column chromatography (17% EtOAc in hexane) to give the title compound as a light brown oil (112 mg, 52%), Rf = 0.37 (20% ethyl acetate in hexane); 1H NMR (400 MHz, CDCl3) δ: 10.75 (s, 1H), 7.85 (d, J = 9.1 Hz, 1H), 7.40 (dd, J = 8.2, 1.0 Hz, 1H), 7.34–7.25 (m, 2H), 6.86 (dd, J = 7.6, 1.0 Hz, 1H), 3.93 (s, 3H), 3.92 (s, 3H) (in agreement with the 1H NMR data that were previously reported for this compound) [16].
Procedure F for the Synthesis of 2-hydroxy-8-methoxy-1-naphthaldehyde (6), 8-hydroxy-2-methoxy-1-naphthaldehyde (12) and 2,8-dihydroxy-1-naphthaldehyde (11)
To an oven-dried closed vessel with a magnetic stirrer bar, under an atmosphere of N2, was added compound (13) (50 mg, 0.231 mmol, 1 equiv), MgBr2 diethyl etherate (119 mg, 0.462 mmol, 2 equiv), KI (76.5 mg, 0.642 mmol, 2 equiv) and MeCN (10 mL). The vessel was sealed and then heated with stirring at 150 oC for 2 h. TLC analysis of the cooled reaction mixture showed the absence of the starting material and the presence of three new spots, one intense and two very faint (visualized under a UV lamp). The solvent was removed under vacuum, cooled water (20 mL) was carefully added to the residue and the resulting cooled mixture was acidified by adding dropwise 1 M HCl aq. to pH = 1. The aqueous mixture was extracted with EtOAc (3 × 10 mL), the combined organic extracts washed with brine (10 mL), dried over anhydrous Na2SO4 and concentrated under reduced pressure. The acquired crude residue was purified by flash column chromatography (11% EtOAc in hexane) to give title compound (6) (4.6 mg, 10%) as a yellow solid, m.p. = 67–69 oC (lit. [62], m.p. = 68–70 oC); Rf = 0.54 (20% EtOAc in hexane); (the 1H NMR data were in agreement with those reported for this compound synthesized from compound (4) (Scheme 2) and with those previously reported) [62].
Procedure G for the Synthesis of 2-hydroxy-8-methoxy-1-naphthaldehyde (6), 8-hydroxy-2-methoxy-1-naphthaldehyde (12) and 2,8-dihydroxy-1-naphthaldehyde (11)
A solution of compound (13) (50 mg, 0.231 mmol, 1 equiv) in dry DCM (10 mL), over an atmosphere of N2, was cooled to 0 oC and then BBr3 (690 μL of a 1 M solution in DCM, 0.693 mmol, 3 equiv) was added dropwise. The reaction was left stirring at room temperature for 18 h (TLC analysis had shown complete conversion of the starting material and the presence of three new spots) and then cooled to 0 oC, quenched slowly with cold water (30 mL) and extracted with DCM (3 × 50 mL). The combined organic extracts were washed with brine (20 mL), dried over anhydrous Na2SO4 and concentrated reduced pressure. The acquired crude residue was purified by flash column chromatography (11% EtOAc in hexane) to give title compounds (6), (12) and (11).
Compound (6): (3.7 mg, 8%) as a yellow solid, m.p. = 67–68 oC (lit. [62], m.p. = 68–70 oC); Rf = 0.54 (20% EtOAc in hexane); (the 1H NMR data were in agreement with those reported for this compound synthesized from (4) (Scheme 4) and with those previously reported) [62].
Compound (12): (3.2 mg, 7%) as a yellow solid, m.p. = 110-112 oC); Rf = 0.28 (20% ethyl acetate in hexane); 1H NMR (400 MHz, CDCl3) δ: 12.00 (s, 1H), 10.59 (s, 1H), 8.12 (d, J = 9.3 Hz, 1H), 7.35 (d, J = 7.7 Hz, 1H), 7.29–7.26 (m, 1H), 7.22 (d, J = 9.2 Hz, 1H), 7.14 (dd, J = 7.6, 1.4 Hz, 1H), 4.08 (s, 3H) (in agreement with the 1H NMR data that were previously reported for this compound) [73].
Compound (11): (25.6 mg, 59%) as a yellow solid, m.p. = 194–196 oC (lit. [14], m.p. = 195–197 oC); Rf = 0.51 (33% EtOAc in hexane); (the 1H NMR data were in agreement with those reported for this compound synthesized from compound (3) and with those previously reported) [14].
Procedure H for the Synthesis of 2-hydroxy-8-methoxy-1-naphthaldehyde (6), 8-hydroxy-2-methoxy-1-naphthaldehyde (12) and 2,8-dihydroxy-1-naphthaldehyde (11)
A solution of compound (13) (50 mg, 0.231 mmol, 1 equiv) in dry DCM (10 mL), over an atmosphere of N2, was cooled to 0 oC and then BBr3 (230 μL of a 1M solution in DCM, 0.231 mmol, 1 equiv) was added dropwise and the reaction was left stirring at room temperature for 1 h. TLC analysis had shown complete conversion of the starting material and the presence of three new spots (visualized under a UV lamp). The reaction mixture was cooled to 0 oC, quenched slowly with cold water (30 mL), extracted with DCM (3 × 20 mL), the combined organic extracts washed with brine (20 mL), dried over anhydrous Na2SO4 and concentrated under vacuum. The acquired crude residue was purified by flash column chromatography (11% EtOAc in hexane) to give title compounds (6), (12) and (11).
Compound (6): (3.7 mg, 19%) as a yellow solid, m.p. = 67–68 oC (lit. [62], m.p. = 68–70 oC); Rf = 0.54 (20% EtOAc in hexane); (the 1H NMR data were in agreement with those reported for this compound synthesized from (4) and with those previously reported) [62].
Compound (12): (5 mg, 11%) as a yellow solid, m.p. = 110-112 oC; Rf = 0.28 (20% ethyl acetate in hexane); (the 1H NMR data were in agreement with those reported for this compound synthesized from compound (13) (Scheme 5) and with those previously reported) [15].
Compound (11): (14.3 mg, 33%) as a yellow solid, m.p. = 194–196 oC (lit. [14], m.p. = 195–197 oC); Rf = 0.51 (33% EtOAc in hexane); (the 1H NMR data were in agreement with those reported for this compound synthesized from compound (3) (Scheme 4) and with those previously reported) [14].
Procedure I for the Synthesis of 2-hydroxy-8-methoxy-1-naphthaldehyde (6), 8-hydroxy-2-methoxy-1-naphthaldehyde (12) and 2,8-dihydroxy-1-naphthaldehyde (11)
A solution of A solution of compound (13) (50 mg, 0.231 mmol, 1 equiv) in dry DCM (10 mL), over an atmosphere of N2, was cooled to −15 oC and then BBr3 (230 μL of a 1 M solution in DCM, 0.231 mmol, 1 equiv) was added dropwise over a period of 10 min. The reaction was allowed to slowly reach room temperature and was left stirring for 1 h after which TLC analysis had shown complete conversion of the starting material and the presence of three new spots (visualized under a UV lamp). The reaction mixture was cooled to 0 oC, quenched slowly with cold water (30 mL) and extracted with DCM (3 × 20 mL). The combined organic extracts were washed with brine (20 mL), dried over anhydrous Na2SO4 and concentrated under reduced pressure. The acquired crude residue was purified by flash column chromatography (11% EtOAc in hexane) to give title compounds (6), (12) and (11).
Compound (6): (25.9 mg, 56%) as a yellow solid, m.p. = 67–68 oC (lit. [62], m.p. = 68–70 oC); Rf = 0.54 (20% EtOAc in hexane); (the 1H NMR data were in agreement with those reported for this compound synthesized from (4) and with those previously reported) [62].
Compound (12): (10 mg, 22%) as a yellow solid, m.p. = 110-112 oC); Rf = 0.28 (20% ethyl acetate in hexane); (the 1H NMR data were in agreement with those reported for this compound synthesized from compound (13) (Scheme 5) and with those previously reported) [15].
Compound (11): (4.3 mg, 10%) as a yellow solid, m.p. = 194–196 oC (lit. [14], m.p. = 195–197 oC); Rf = 0.51 (33% EtOAc in hexane); (the 1H NMR data were in agreement with those reported for this compound synthesized from compound (3) (Scheme 4) and with those previously reported) [14].
Procedure J for the Synthesis of 2,8-bis(benzyloxy)-1-naphthonitrile (14) and 2-(benzyloxy)-8-hydroxy-1-naphthonitrile (15)
To a stirred solution of compound (1) (500 mg, 2.7 mmol, 1 equiv) in dry acetone (20 mL), under an atmosphere of N2, was added benzyl bromide (462 mg, 2.7 mmol, 1 equiv), oven-dried K2CO3 (391 mg, 2.83 mmol, 1.05 equiv) and KI (89 mg, 0.54 mmol, 0.2 equiv). The reaction was left stirring at room temperature for 18 h, after which TLC analysis indicated the absence of the starting material and the presence of two new spots. The solvent was removed under vacuum, the residue was dissolved in EtOAc (30 mL) and washed with water (3 × 10 mL). The organic extract was dried over anhydrous Na2SO4 and concentrated under reduced pressure. The acquired crude residue was purified by flash column chromatography (20% EtOAc in hexane) to give the title compounds (14) and (15).
Compound (14): (118 mg, 12%) as an orange oil; Rf = 0.38 (20% EtOAc in hexane); 1H NMR (400 MHz, CDCl3) δ: 7.90 (d, J = 9.1 Hz, 1H), 7.65–7.60 (m, 2H), 7.58–7.51 (m, 2H), 7.48–7.24 (m, 9H), 6.99 (d, J = 7.6 Hz, 1H), 5.39 (d, J = 3.6 Hz, 4H); 13C NMR (100.6 MHz, CDCl3) δ: 162.11, 153.05, 136.39, 136.06, 134.61, 130.02, 128.83 (2C), 128.61 (2C), 128.22, 128.07, 127.84 (2C), 127.02 (2C), 125.34, 125.28, 121.32, 116.78, 114.08, 109.59, 93.78, 71.32, 71.11.; IR (solid): 3067, 3027, 2922, 2887, 2214, 2094, 1737, 1677, 1591 cm−1; HRMS (ESI): m/z [M+H]+ calcd. for C25H20NO2: 366.1489, found: 366.1485.
Compound (15): (450 mg, 61%) as a colorless solid, m.p. = 136–138 oC; Rf = 0.49 (20% ethyl acetate in hexane); 1H NMR (400 MHz, CDCl3) δ: 7.85–7.77 (m, 2H), 7.59 (d, J = 8.8 Hz, 1H), 7.44 (d, J = 8.8 Hz, 1H), 7.33–7.25 (m, 6H), 5.46 (s, 2H); 13C NMR (100.6 MHz, CDCl3) δ: 156.03, 139.59, 135.71, 131.33, 129.68, 129.25 (2C), 128.10, 127.01, 126.31 (2C), 124.92, 124.43, 123.94, 120.35, 120.21, 110.81, 47.79; IR (solid): 3052, 2920, 2845, 2216, 2117, 1886, 1752 cm−1; HRMS (ESI): m/z [M+H]+ calcd. for C18H14NO2: 276.1019, found: 216.1018.
Synthesis of 2-(benzyloxy)-8-methoxy-1-naphthonitrile (16)
Prepared according to the experimental procedure for the synthesis of (5) from (3) Scheme 5. Used as starting material compound (15) (400 mg, 5 mmol, 1 equiv), MeI (724 mg, 5.1 mmol, 1.02 equiv) Na2CO3 (540 mg, 5.1 mmol, 1.02 equiv), acetone (15 mL) and H2O (3 mL), that gave the title compound (384 mg, 93%) as a yellow solid, m.p. = 100–103 oC; Rf = 0.32 (20% EtOAc in hexane); 1H NMR (400 MHz, CDCl3) δ: 7.89 (d, J = 9.1 Hz, 1H), 7.55–7.48 (m, 2H), 7.42–7.30 (m, 5H), 7.26–7.24 (m, 1H), 6.94 (dd, J = 7.1, 1.7 Hz, 1H), 5.40 (s, 2H), 4.04 (s, 3H); 13C NMR (100.6 MHz, CDCl3) δ: 161.96, 154.32, 136.08, 134.55, 129.87, 128.84 (2C), 128.23, 127.02 (2C), 125.39, 125.15, 121.02, 116.80, 114.15, 107.71, 93.69, 71.32, 55.82; IR (solid): 2919, 2844, 2212, 2101, 1737, 1595 cm−1; HRMS (ESI): m/z [M+H]+ calcd. for C19H16NO2: 290.1176, found: 290.1177.
Synthesis of 2-(benzyloxy)-8-methoxy-1-naphthaldehyde (17)
Prepared according to the experimental procedure for the synthesis of compound (13) from (5) Scheme 5. Used as starting material compound (16) (100 mg, 0.34 mmol, 1 equiv), DIBAL (580 μL of a 1.2 M in toluene, 0.68 mmol, 2 equiv) and dry toluene (10 mL), that gave the title compound (55.6 mg, 55%) as a yellow oil; Rf = 0.46 (20% EtOAc in hexane); 1H NMR (400 MHz, CDCl3) δ: 10.76 (s, 1H), 7.81 (d, J = 9.0 Hz, 1H), 7.46–7.27 (m, 8H), 6.86 (dd, J = 7.7, 1.1 Hz, 1H), 5.23 (s, 2H), 3.94 (s, 3H); 13C NMR (100.6 MHz, CDCl3) δ: 194.98, 155.01, 153.70, 136.89, 131.66, 130.49, 128.73 (2C), 128.10, 127.41 (2C), 124.80, 124.06, 123.44, 121.09, 116.39, 106.62, 72.30, 56.05; IR (solid): 2924, 2843, 2210, 1711, 1596 cm−1; HRMS (ESI): m/z [M+H]+ calcd. for C19H17O3: 293.1172, found: 293.1168.
Synthesis of 2-hydroxy-8-methoxy-1-naphthaldehyde (6)
To a stirred solution of compound (17) (20 mg, 0.099 mmol) in anhydrous MeOH (5 mL), under an atmosphere of N2, 5% Pd/C (1 mg, 5%) was added and the reaction was purged with H2. Stirring at room temperature was continued for 18 h (TLC analysis showed complete conversion of the starting material and the presence of a new spot. The reaction mixture was filtered and the solvent removed under vacuum. To the remaining residue EtOAc (20 mL) was added and then washed with brine (10 mL). The organic layer was dried over anhydrous Na2SO4 and concentrated under reduced pressure. The acquired crude product was purified by flash column chromatography (20% EtOAc in hexane) to give the title compound (18 mg, 92%) as a yellow solid, m.p. = 67–69 oC (lit. [62], m.p. = 68–70 oC); Rf = 0.54 (20% ethyl acetate in hexane); (the 1H NMR data were in agreement with those reported for this compound synthesized from compound (4) (Scheme 2) and with those previously reported) [62].
Synthesis of (E)-2-hydroxy-8-methoxy-1-naphthaldehyde oxime (18)
To a stirred solution of compound (6) (200 mg, 0.99 mmol, 1 equiv) in MeOH (20 mL), NH2OH.HCl (76.4 mg, 0.0011 mmol, 1.1 equiv) was added, and the resulting mixture was cooled to 0 oC, followed by the dropwise addition of an aqueous saturated Na2CO3 solution until pH = 8. The reaction mixture was left stirring at room temperature for 1 h. TLC analysis had shown the absence of the starting material and the presence of a new spot on the baseline. The solution was cooled to 0 oC, followed by the dropwise addition of MeCO2H until pH = 5. The solvent was evaporated under vacuum, water (25 mL) was added to the residue and the mixture was extracted with EtOAc (3 × 10 mL). The combined organic extracts were washed with brine (10 mL), dried over anhydrous Na2SO4 and concentrated under reduced pressure. The acquired light yellow solid was purified by flash column chromatography (20% EtOAc in hexane) to give the title compound (164 mg, 78 %) as a yellow solid, m.p. = 142–143 °C (lit. [62], m.p. = 141–143 oC); Rf = 0.32 (20% EtOAc in hexane); 1H NMR (400 MHz, DMSO-d6) δ: 12.06 (s, 1H), 11.45 (s, 1H), 9.65 (s, 1H), 7.83 (d, J = 9.0 Hz, 1H), 7.46 (d, J = 6.8 Hz, 1H), 7.29 (t, J = 7.9 Hz, 1H), 7.18 (d, J = 8.9 Hz, 1H), 7.08 (d, J = 7.9 Hz, 1H), 3.94 (s, 3H) (in agreement with the 1H NMR data that were previously reported for this compound) [62].
Synthesis of 9-methoxynaphtho [1,2-d]isoxazole 2-oxide (19)
To a stirred solution of (E)-oxime (18) (150 mg, 0.70 mmol, 1 equiv) in dry t-BuOH (15 mL), under an atmosphere of N2, PIDA (450 mg, 1.40 mmol, 2 equiv) was added, and the resulting mixture was stirred at room temperature for 0.5 h. TLC analysis had shown the absence of the starting material and the presence of a new spot. Water (15 mL) was added followed by dropwise addition of 5% NaHCO3 aq. solution until pH = 7−8. The solvents were evaporated under vacuum and to the residue water (20 mL) was added and the resulting mixture was extracted with EtOAc (3 × 10 mL). The combined organic extracts were washed with brine (10 mL), dried over anhydrous Na2SO4 and concentrated under reduced pressure. The acquired residue was purified by flash column chromatography (17% EtOAc in hexane) to give the title compound (120 mg, 81 %) as a yellow solid, m.p. = 91–93 oC; Rf = 0.44 (20% EtOAc in hexane); 1H NMR (400 MHz, CDCl3) δ: 8.10 (s, 1H), 7.89 (d, J = 8.9 Hz, 1H), 7.52 (d, J = 8.1 Hz, 1H), 7.47 (t, J = 7.9 Hz, 1H), 7.36 (d, J = 9.0 Hz, 1H), 7.02 (d, J = 7.6 Hz, 1H), 4.07 (s, 3H); 13C NMR (100.6 MHz, CDCl3) δ: 155.15, 149.72, 131.86, 129.33, 126.12, 121.23, 117.39, 112.25, 111.30, 108.43, 106.61, 55.79; IR (solid) 3098, 2919, 2840, 2365, 2209, 2107, 1743, 1568 cm−1; HRMS (ESI): m/z [M+H]+ calcd. for C12H10NO3: 216.0661, found: 216.0664.
In Situ Generation of 2-hydroxy-8-methoxy(naphthalen-1-yl)nitrile oxide (20)
A solution of isoxazole 2-oxide (19) (5 mg, 0.023 mmol) in dry DMSO-d6 (0.5 mL), under an atmosphere of N2, was stirred at room temperature for 6 h. TLC analysis revealed the absence of the starting material and the presence of a new spot. The solution was transferred to an NMR tube and the 1H and 13C NMR spectra of the new compound were recorded. Rf = 0.2 (20% EtOAc in hexane); 1H NMR (400 MHz, DMSO-d6) δ: 11.29 (s, 1H), 7.92 (d, J = 9.0 Hz, 1H), 7.46 (dd, J = 8.2, 1.0 Hz, 1H), 7.39 – 7.20 (m, 2H), 7.07 (dd, J = 7.8, 1.0 Hz, 1H), 3.98 (s, 3H).; 13C NMR (100.6 MHz, DMSO-d6) δ: 161.86, 153.80, 133.31, 129.39, 124.90, 124.85, 121.69, 117.97, 108.13, 89.16, 56.89.; HRMS (ESI): m/z [M+H]+ calcd. for C12H10NO3: 216.0661, found: 216.0661.
Procedure K for the Synthesis of Dimethyl 3-(2-hydroxy-8-methoxynaphthalen-1-yl)isoxazole-4,5-dicarboxylate (21), 8-methoxy-1-(5-phenylisoxazol-3-yl)naphthalen-2-ol (22), methyl 3-(2-hydroxy-8-methoxynaphthalen-1-yl)-4,5-dihydroisoxazole-5-carboxylate (23) and 8-methoxy-1-(5-phenyl-4,5-dihydroisoxazol-3-yl)naphthalen-2-ol (24)
To a solution of 2-oxide (19) (5 mg, 0.023 mmol, 1 equiv) in dry DMSO (1.5 mL), under an atmosphere of N2, was added DMAD, phenylacetylene, methyl acrylate or styrene (0.069 mmol, 3 equiv) and the resulting mixture was stirred in room temperature for 18 h. TLC analysis had shown the absence of the starting material and the presence of a new spot (visualized under a UV lamp). The reaction was quenched with water (15 mL) and the resulting mixture was extracted with EtOAc (3 × 10 mL). The combined organic extracts were washed with brine (10 mL), dried over anhydrous Na2SO4 and concentrated under vacuum. The acquired residue was purified by flash column chromatography (17% EtOAc in hexane) to give the title compounds (21), (22), (23) and (24).
Compound (21): (7 mg, 85%) as a yellow solid, m.p. = 149−151 oC; Rf = 0.09 (20% EtOAc in hexane); 1H NMR (400 MHz, CDCl3) δ: a singlet corresponding to OH is not visible, 7.83 (d, J = 8.9 Hz, 1H), 7.41 (d, J = 8.1 Hz, 1H), 7.32–7.21 (m, 1H), 6.79 (d, J = 7.7 Hz, 1H), 4.05 (s, 3H), 3.62 (s, 3H), 3.38 (s, 3H); 13C NMR (100.6 MHz, CDCl3) δ: 162.22, 160.46, 159.17, 157.22, 154.43, 153.44, 132.89, 130.44, 124.20, 124.02, 121.53, 118.75, 118.29, 106.58, 103.82, 55.28, 53.63, 52.24; IR (solid) 3352, 2922, 2848, 2364, 2119, 1717, 1613, 1520 cm−1; HRMS (ESI): m/z [M+H]+ calcd. for C18H16NO7: 358.0921, found: 358.0916.
Compound (22): (6.2 mg, 93%) as a colorless solid, m.p. = 108−110 oC; Rf = 0.49 (20% EtOAc in hexane); 1H NMR (400 MHz, CDCl3) δ: 8.61 (s, 1H), 7.88–7.79 (m, 3H), 7.55–7.41 (m, 4H), 7.37–7.29 (m, 2H), 6.90 (d, J = 7.6 Hz, 1H), 6.55 (s, 1H), 3.72 (s, 3H); 13C NMR (100.6 MHz, CDCl3) δ: 168.01, 167.26, 154.77, 153.98, 132.36, 130.87, 130.38, 129.24 (2C), 127.69, 125.99 (2C), 124.09, 123.55, 121.63, 118.84, 107.62, 105.24, 103.92, 55.28; IR (solid) 3205, 2919, 2845, 2363, 2123, 1732, 1606 cm−1; HRMS (ESI): m/z [M+H]+ calcd. for C20H16NO3: 318.1125, found: 318.1125.
Compound (23): (6.2 mg, 89%) as a yellow solid, m.p. = 118−120 oC; Rf = 0.06 (20% EtOAc in hexane); 1H NMR (400 MHz, CDCl3) δ: a singlet corresponding to OH is not visible, 7.76 (d, J = 8.9 Hz, 1H), 7.40 (d, J = 8.0 Hz, 1H), 7.29 (t, J = 7.9 Hz, 1H), 7.22 (d, J = 8.9 Hz, 1H), 6.90 (d, J = 7.8 Hz, 1H), 5.20 (t, J = 8.6 Hz, 1H), 3.88 (s, 3H), 3.86 (s, 3H), 3.58 (d, J = 8.6 Hz, 2H); 13C NMR (100.6 MHz, CDCl3) δ: 171.38, 158.64, 154.38, 153.34, 132.27, 130.65, 124.30, 124.11, 121.69, 118.73, 108.01, 104.68, 56.29, 52.95, 45.17; IR (solid) 3173, 2928, 2848, 2364, 2122, 1899, 1736, 1607, 1516 cm−1; HRMS (ESI): m/z [M+H]+ calcd. for C16H16NO5: 302.1023, found: 302.1028.
Compound (24): (7.1 mg, 97%) as a colorless solid, m.p. = 205−207 oC; Rf = 0.34 (20% EtOAc in hexane); 1H NMR (400 MHz, CDCl3) δ: 8.31 (s, 1H), 7.67 (d, J = 8.9 Hz, 1H), 7.41 (d, J = 7.5 Hz, 2H), 7.36 (t, J = 7.5 Hz, 2H), 7.30 (t, J = 7.8 Hz, 2H), 7.23–7.14 (m, 2H), 6.73 (d, J = 7.7 Hz, 1H), 5.73 (dd, J = 10.4, 7.4 Hz, 1H), 3.54 (dd, J = 16.3, 10.3 Hz, 1H), 3.37–3.29 (m, 4H); 13C NMR (100.6 MHz, CDCl3) δ 159.05, 154.30, 153.37, 140.97, 131.97, 130.56, 128.74 (2C), 128.02, 125.77 (2C), 124.03, 123.93, 121.37, 118.53, 107.33, 105.34, 81.42, 55.20, 49.03; IR (solid) 3135, 2922, 2848, 2363, 2110, 1917, 1754, 1605, 1514 cm−1; HRMS (ESI): m/z [M+H]+ calcd. for C20H18NO3: 320.1281, found: 320.1279.

4. Conclusions

In conclusion, we have developed a fairly efficient four step synthesis of (E)-2-hydroxy-8-methoxy-1-naphthaldehyde from naphtho [1,8-de][1,2]oxazin-4-ol with an overall yield of 28.7%. The former compound was converted to (E)-2-hydroxy-8-methoxy-1-naphthaldehyde oxime which was oxidized with PIDA to 9-methoxynaphtho [1,2-d]isoxazole 2-oxide. The stability of this compound was attributed to the 9-OMe substituent. The 2-oxide isomerized to 2-hydroxy-8-methoxy(naphthalen-1-yl)nitrile oxide in DMSO, at ambient temperature, a novel transformation so far. The isomerization was detected by 1H NMR spectroscopy measured by a time-course plot. The existence of a nitrile oxide and not its isocyanate isomer was confirmed by 1,3-dipolar cycloaddition reactions with various dipolarophiles, that produced substituted isoxazoles. The nitrile oxide did not form a furoxan dimer.

Supplementary Materials

The following supporting information can be downloaded at: www.mdpi.com/xxx/s1, Figures S1, 5, 6, 10, 14, 15, 19, 23, 27, 31, 32, 33, 34, 38, 42, 46, 50, 51, 55, 56, 62, 66, 70, 74 - 1H NMR spectra of the compounds 2, 3, 4, 5, 6, 7, 8, 9, 10, 11, 12, 13, 14, 15, 16, 17, 18, 19, 20, 21, 22, 23, 24; Figures S2, 7, 11, 16, 20, 24, 28, 35, 39, 43, 47, 52, 57, 63, 67, 71, 75 – 13C NMR spectra of the compounds 2, 4, 5, 7, 8, 9, 10, 14, 15, 16, 17, 19, 20, 21, 22, 23, 24; Figures S3, 8, 12, 17, 21, 25, 29, 36, 40, 44, 48, 53, 58, 64, 68, 72, 76 – HRMS spectra of the compounds 2, 4, 5, 7, 8, 9, 10, 14, 15, 16, 17, 19, 20, 21, 22, 23, 24; Figures S4, 9, 13, 18, 22, 26, 30, 37, 41, 45, 49, 54, 65, 69, 73, 77 – IR spectra of the compounds 2, 4, 5, 7, 8, 9, 10, 14, 15, 16, 17, 19, 20, 21, 22, 23, 24; Figure S59 - 1H NMR spectra of the compounds 20 and 19 stacked; Figure S60 - 1H NMR spectra of the compounds 20 and 19 superimposed; Figure S61 - 1H NMR spectra of the time-course experiment of the ring opening of compound 19 to compound 20.

Author Contributions

Conceptualization, G.V. and P.G.T.; methodology, I.E.G.; investigation, I.E.G.; writing—original draft preparation, G.V. and P.G.T.; writing—review and editing, G.V. and P.G.T. All authors have read and agreed to the published version of the manuscript.

Funding

This research received no external funding.

Institutional Review Board Statement

Not applicable.

Data Availability Statement

Not applicable.

Acknowledgments

We appreciate the use of NMR and mass spectrometry facilities funded by the Network of Research Supporting Laboratories of the University of Ioannina and thank Vasiliki I. Boti for providing high-resolution mass spectra.

Conflicts of Interest

The authors declare no conflict of interest.

Sample Availability

Samples of all the synthesized compounds are available from the authors.

References

  1. Majireck, M.M.; Bennett, J.M. in Comprehensive Heterocyclic Chemistry IV, Elsevier, 2021, pp. 283–415.
  2. Chada, R.R.; Kajare, R.C.; Bhandari, M.C.; Mohammed, S.Z.; Khatravath, M.; Warudikar, K.; Punna, N. Org Biomol Chem 2021, 19, 809–821.
  3. Somu, C.; Mohan, C.D.; Ambekar, S.; Dukanya; Rangappa, S.; Baburajeev, C.P.; Sukhorukov, A.; Mishra, S.; Shanmugam, M.K.; Chinnathambi, A.; Alahmadi, T.A.; Alharbi, S.A.; Basappa; Rangappa, K.S.; Reports, B. 2020, 25. [CrossRef]
  4. Gaonkar, S.L.; Nagaraj, V.U.; Nayak, S. Mini Rev Org Chem 2018, 16, 43–58.
  5. Tsoungas, P.G. Heterocycles 2002, 57, 915.
  6. Tsoungas, P.G. ; Heterocycles 2002, 57, 1149.
  7. Adams, R.; Geissman, T.A. J Am Chem Soc 1938, 60, 2166–2170.
  8. Adams, R.; Burney, D.E. J Am Chem Soc 1941, 63, 1103–1107.
  9. Royer, R.E.; Deck, L.M.; Campos, N.M.; Hunsaker, L.A.; Jagt, D.L.V. J Med Chem 1986, 29, 1799–1801.
  10. Supsana, P.; Tsoungas, P.G.; Varvounis, G.; Lett, T. 2000, 41, 1845–1847.
  11. Supsana, P.; Tsoungas, P.G.; Aubry, A.; Skoulika, S.; Varvounis, G. ; Tetrahedron 2001, 57, 3445–3453.
  12. Dolka, C.; Van Hecke, K.; Van Meervelt, L.; Tsoungas, P.G.; Van Der Eycken, E.V.; Varvounis, G.; Lett, O. 2009, 11, 2964–2967.
  13. Bin, L.; Xue, W.; Shuang, J.; Tianyong, Z.; Jingyi, Y.; Jingchao, W.; Xiao, S.; Xiaoyuan, M. Chemical Industry and Engineering Progress 2019, 38, 1903–1912.
  14. Hügle, M.; Lucas, X.; Ostrovskyi, D.; Regenass, P.; Gerhardt, S.; Einsle, O.; Hau, M.; Jung, M.; Breit, B.; Günther, S.; Wohlwend, D.; Chemie, A. 2017, 129, 12650–12654.
  15. Jiang, J.; Yuan, D.; Ma, C.; Song, W.; Lin, Y.; Hu, L.; Zhang, Y.; Lett, O. 2021, 23, 279–284.
  16. Li, F.; Zhou, Y.; Yang, H.; Wang, Z.; Yu, Q.; Zhang, F.L.; Lett, O. 2019, 21, 3692–3695.
  17. Cordero, F.M.; Giomi, D.; Machetti, F. in Comprehensive Heterocyclic Chemistry IV, Elsevier, 2022, pp. 308–434.
  18. Duc, D.X.; Dung, V.C. Curr Org Chem 2021, 25, 2938–2989.
  19. Das, S.; Chanda, K.; Adv, R.S. 2021, 11, 32680–32705.
  20. Zhu, J.; Mo, J.; Lin, H.Z.; Chen, Y.; Sun, H.P. Bioorg Med Chem 2018, 26, 3065–3075.
  21. Pairas, G.N.; Perperopoulou, F.; Tsoungas, P.G.; Varvounis, G. ; ChemMedChem 2017, 12, 408–419.
  22. Singhal, A.; Parumala, S.K.R.; Sharma, A.; Peddinti, R.K.; Lett, T. 2016, 57, 719–722.
  23. Imai, T.; Togo, H. European J Org Chem 2018, 2018, 1377–1383.
  24. Kobayashi, E.; Togo, H. ; Tetrahedron 2018, 74, 4226–4235.
  25. Kobayashi, E.; Togo, H. ; Synthesis (Stuttg) 2019, 51, 3723–3735.
  26. Nakano, R.; Togo, H. ; Tetrahedron 2020, 76, 131255.
  27. Kamath, P.; Jadhav, V.; Lal, M. ; Synlett 2021, 32, 1146–1150.
  28. Azarifar, D.; Maleki, B.; Mohammadi, K. ; Heterocycles 2007, 71, 683.
  29. Azarifar, D.; Khosravi, K.; Veisi, R.A. ; Arkivoc 2010, 2010, 178–184.
  30. Koyama, Y.; Matsumura, T.; Yui, T.; Ishitani, O.; Takata, T.; Lett, O. 2013, 15, 4686–4689.
  31. Abdukader, A.; Sun, Y.; Zhang, Z.; Liu, C.; Commun, C. 2018, 105, 43–47.
  32. Carloni, L.E.; Mohnani, S.; Bonifazi, D. European J Org Chem 2019, 2019, 7322–7334.
  33. Pramanik, N.; Sarkar, S.; Roy, D.; Debnath, S.; Ghosh, S.; Khamarui, S.; Maiti, D.K.; Adv, R.S. 2015, 5, 101959–101964.
  34. Ma, L.; Jin, F.; Cheng, X.; Tao, S.; Jiang, G.; Li, X.; Yang, J.; Bao, X.; Wan, X.; Sci, C. 2021, 12, 9823–9830.
  35. Athappan, P.R.; Shanti, P.; Natarajan, C. Indian J Chem 1995, 34A, 648–651.
  36. Sharma, S.; Pathak, L.V.N.; Sharma, A. Indian Journal of Heterocyclic Chemistry 2010, 19, 337–340.
  37. Huang, H.; Li, F.; Xu, Z.; Cai, J.; Ji, X.; Deng, G.J. Adv Synth Catal 2017, 359, 3102–3107.
  38. Wang, C.Y.; Wang, C.Y.; Teng, F.; Li, Y.; Li, J.H.; Li, J.H.; Li, J.H.; Lett, O. 2020, 22, 4250–4254.
  39. Kociolek, M.G.; Casbohm, J.S. J Phys Org Chem 2013, 26, 863–867.
  40. Boulton, A.J.; Tsoungas, P.G. J Chem Soc Chem Commun 1980, 421.
  41. Boulton, A.J. Bulletin des Sociétés Chimiques Belges 1981, 90, 645–650.
  42. Boulton, A.J.; Tsoungas, P.G.; Tsiamis, C. J Chem Soc Perkin 1 1986, 1665.
  43. Jadhav, V.K.; Deshmukh, A.P.; Wadagaonkar, P.P.; Salunkhe, M.M.; Commun, S. 2000, 30, 1521–1527.
  44. Gardikis, Y.; Tsoungas, P.G.; Potamitis, C.; Zervou, M.; Cordopatis, P. ; Heterocycles 2011, 83, 1077–1091.
  45. Kociolek, M.G.; Hoermann, O.; Commun, S. 2012, 42, 2632–2638.
  46. Kociolek, M.G.; Casbohm, J.S. J Phys Org Chem 2013, 26, 863–867.
  47. Raihan, M.J.; Kavala, V.; Habib, P.M.; Guan, Q.Z.; Kuo, C.W.; Yao, C.F. Journal of Organic Chemistry 2011, 76, 424–434.
  48. Kociolek, M.G.; Hoermann, O.; Commun, S. 2012, 42, 2632–2638.
  49. Supsana, P.; Tsoungas, P.G.; Aubry, A.; Skoulika, S.; Varvounis, G. ; Tetrahedron 2001, 57, 3445–3453.
  50. Feuer, H.; Ed. ; Oxides, N.; Nitrones, and Nitronates in Organic Synthesis, Wiley, 2007.
  51. Padwa, A.; Pearson, W.H.; Eds. , Synthetic Applications of 1,3-Dipolar Cycloaddition Chemistry Toward Heterocycles and Natural Products, Wiley, 2002. Padwa, A.; Pearson, W.H. (Eds.).
  52. Fershtat, L.L.; Teslenko, F.E. ; Synthesis (Stuttg) 2021, 53, 3673–3682.
  53. De Angelis, L.; Crawford, A.M.; Su, Y.-L.; Wherritt, D.; Arman, H.; Doyle, M.P.; Lett, O. 2021, 23, 925–929.
  54. Roscales, S.; Plumet, J. Org Biomol Chem 2018, 16, 8446–8461.
  55. Takikawa, H.; Sato, S.; Seki, R.; Suzuki, K.; Lett, C. 2017, 46, 998–1000.
  56. Molteni, G.; Del Buttero, P. ; Tetrahedron 2011, 67, 7343–7347.
  57. Faita, G.; Mella, M.; Mortoni, A.; Paio, A.; Quadrelli, P.; Seneci, P. European J Org Chem 2002, 2002, 1175–1183.
  58. Groundwater, P.W.; Nyerges, M.; Fejes, I.; Hibbs, D.E.; Bendell, D.; Anderson, R.J.; McKillop, A.; Sharif, T.; Zhang, W. ; Arkivoc 2000, 2000, 684–697.
  59. Grundmann, C.; Richter, R. Journal of Organic Chemistry 1968, 33, 476–478.
  60. Koyama, Y.; Miura, K.; Cheawchan, S.; Seo, A.; Takata, T.; Communications, C. 2012, 48, 10304–10306.
  61. Cheawchan, S.; Koyama, Y.; Uchida, S.; Takata, T.; Polymer (Guildf) 2013, 54, 4501–4510.
  62. Tzeli, D.; Gerontitis, I.E.; Petsalakis, I.D.; Tsoungas, P.G.; Varvounis, G.; Chempluschem 2022, 87. [CrossRef]
  63. Di Iorio, N.; Filippini, G.; Mazzanti, A.; Righi, P.; Bencivenni, G.; Lett, O. 2017, 19, 6692–6695.
  64. Hwan, M.K.; Byeong, H.J.; Hyon, J.Y.; Myoung, J.A.; Mun, S.S.; Jin, H.H.; Lee, K.J.; Chul, H.K.; Joo, T.; Hong, S.C.; Bong, R.C. J Am Chem Soc 2008, 130, 4246–4247.
  65. Saadati, F.; Meftah-Booshehri, H. ; Synlett 2013, 24, 1702–1706.
  66. Xi, F.; Kamal, F.; Schenerman, M.A.; Lett, T. 2002, 43, 1395–1396.
  67. Mouselmani, R.; Hachem, A.; Alaaeddine, A.; Métay, E.; Lemaire, M. Org Biomol Chem 2018, 16, 6600–6605.
  68. Balmond, E.I.; Tautges, B.K.; Faulkner, A.L.; Or, V.W.; Hodur, B.M.; Shaw, J.T.; Louie, A.Y. Journal of Organic Chemistry 2016, 81, 8744–8758.
  69. Waibel, M.; De Angelis, M.; Stossi, F.; Kieser, K.J.; Carlson, K.E.; Katzenellenbogen, B.S.; Katzenellenbogen, J.A. Eur J Med Chem 2009, 44, 3412–3424.
  70. Ye, Y.; Zhang, B.; Mao, R.; Zhang, C.; Wang, Y.; Xing, J.; Liu, Y.C.; Luo, X.; Ding, H.; Yang, Y.; Zhou, B.; Jiang, H.; Chen, K.; Luo, C.; Zheng, M. Org Biomol Chem 2017, 15, 3648–3661.
  71. Liu, L.; Shao, L.; Li, J.; Cui, H.; Li, B.; Zhou, X.; Lv, P.; Zhang, J.; Molecules 2019, 24. [CrossRef]
  72. Koyama, Y.; Lee, Y.G.; Kuroki, S.; Takata, T.; Lett, T. 2015, 56, 7038–7042.
  73. Jiang, J.; Yuan, D.; Ma, C.; Song, W.; Lin, Y.; Hu, L.; Zhang, Y.; Lett, O. 2021, 23, 279–284.
Figure 1. Bioactive and UV absorbing molecules bearing 1-substituted 2,8-dihydroxynaphthalene, 3,5-diarylisoxazole and benzo[d]isoxazole moieties.
Figure 1. Bioactive and UV absorbing molecules bearing 1-substituted 2,8-dihydroxynaphthalene, 3,5-diarylisoxazole and benzo[d]isoxazole moieties.
Preprints 89972 g001
Scheme 1. Oxidation of (E)-2-hydroxy (or -8-methoxy)-1-naphthaldehyde oximes. Ring opening of 9-methoxynaphtho [1,2-d]isoxazole 2-oxide in DMSO to the corresponding nitrile oxide and interception with dipolarophiles to afford isoxazole derivatives.
Scheme 1. Oxidation of (E)-2-hydroxy (or -8-methoxy)-1-naphthaldehyde oximes. Ring opening of 9-methoxynaphtho [1,2-d]isoxazole 2-oxide in DMSO to the corresponding nitrile oxide and interception with dipolarophiles to afford isoxazole derivatives.
Preprints 89972 sch001
Scheme 2. Synthesis of 2-hydroxy-8-methoxy-1-naphthaldehyde (6) via silylation/ring opening/methylation/reduction. Reagents and conditions: (i) TBSCl, imidazole, dry DMF, N2, r.t., 2 h then 120 oC, 1 h; (ii) MeI, K2CO3, dry acetone, N2, r.t., 1 h; (iii) DIBAL (1.2 M in toluene), dry toluene, N2, 0 oC, 0.5 h, r.t., 18 h.
Scheme 2. Synthesis of 2-hydroxy-8-methoxy-1-naphthaldehyde (6) via silylation/ring opening/methylation/reduction. Reagents and conditions: (i) TBSCl, imidazole, dry DMF, N2, r.t., 2 h then 120 oC, 1 h; (ii) MeI, K2CO3, dry acetone, N2, r.t., 1 h; (iii) DIBAL (1.2 M in toluene), dry toluene, N2, 0 oC, 0.5 h, r.t., 18 h.
Preprints 89972 sch002
Scheme 3. Synthesis of 2-hydroxy-8-methoxy-1-naphthaldehyde (6) via acylation/ring opening/methylation/reduction. Reagents and conditions: (i) acetic anhydride, N2, r.t., 18 h; (ii) dry DMF, 120 oC, N2, 0.5 h; (iii) K2CO3, (MeO)2SO2, dry acetone, N2, r.t., 24 h; (iv) MeI, K2CO3, dry THF, N2, r.t., 18 h; (v) MeI, NaH, dry THF (5 mL), N2, r.t., 2 h; (vi) MeI, NaH, dry THF, (50 mL), N2, r.t., 2 h; (vii) DIBAL (1.2 M in toluene), dry THF, NH4Cl, 1 M HCl aq., −78 oC, 1 h; (viii) PtO2, HCO2H/H2O, 55−60 oC, 2 h; (ix) DIBAL (1.2 M in toluene), dry toluene, 0 oC, 0.5 h, r.t., 18 h.
Scheme 3. Synthesis of 2-hydroxy-8-methoxy-1-naphthaldehyde (6) via acylation/ring opening/methylation/reduction. Reagents and conditions: (i) acetic anhydride, N2, r.t., 18 h; (ii) dry DMF, 120 oC, N2, 0.5 h; (iii) K2CO3, (MeO)2SO2, dry acetone, N2, r.t., 24 h; (iv) MeI, K2CO3, dry THF, N2, r.t., 18 h; (v) MeI, NaH, dry THF (5 mL), N2, r.t., 2 h; (vi) MeI, NaH, dry THF, (50 mL), N2, r.t., 2 h; (vii) DIBAL (1.2 M in toluene), dry THF, NH4Cl, 1 M HCl aq., −78 oC, 1 h; (viii) PtO2, HCO2H/H2O, 55−60 oC, 2 h; (ix) DIBAL (1.2 M in toluene), dry toluene, 0 oC, 0.5 h, r.t., 18 h.
Preprints 89972 sch003
Scheme 4. Synthesis of 2-hydroxy-8-methoxy-1-naphthaldehyde (6) via ring opening/reduction/methylation. Reagents and conditions: (i) dry DMF, 120 oC, N2, 0.5 h; (ii) Ca(H2PO2)2, Ni(OAc)2·4H2O, Ca(OAc)2·H2O, EtOH, r.t., 24 h; (iii) MeI, K2CO3, dry DMF, r.t., 2 h.
Scheme 4. Synthesis of 2-hydroxy-8-methoxy-1-naphthaldehyde (6) via ring opening/reduction/methylation. Reagents and conditions: (i) dry DMF, 120 oC, N2, 0.5 h; (ii) Ca(H2PO2)2, Ni(OAc)2·4H2O, Ca(OAc)2·H2O, EtOH, r.t., 24 h; (iii) MeI, K2CO3, dry DMF, r.t., 2 h.
Preprints 89972 sch004
Scheme 5. Synthesis of 2-hydroxy-8-methoxy-1-naphthaldehyde (6) via methylation/reduction/demethylation. Reagents and conditions: (i) MeI, Na2CO3, H2O, acetone, reflux, 3 h; (ii) DIBAL (1.2 M in toluene), dry toluene, 0 oC, 0.5 h, r.t., 18 h.; (iii) MgBr2.etherate, KI, MeCN, closed vessel, 150 oC, 2 h; (iv) BBr3 (1 M in DCM), dry DCM, N2, 0 oC, then r.t., 18 h; (v) BBr3 (1 M in DCM), dry DCM, 0 oC, then r.t., 1 h; (vi) BBr3 (1 M in DCM), dry DCM, −15 oC, 1 h.
Scheme 5. Synthesis of 2-hydroxy-8-methoxy-1-naphthaldehyde (6) via methylation/reduction/demethylation. Reagents and conditions: (i) MeI, Na2CO3, H2O, acetone, reflux, 3 h; (ii) DIBAL (1.2 M in toluene), dry toluene, 0 oC, 0.5 h, r.t., 18 h.; (iii) MgBr2.etherate, KI, MeCN, closed vessel, 150 oC, 2 h; (iv) BBr3 (1 M in DCM), dry DCM, N2, 0 oC, then r.t., 18 h; (v) BBr3 (1 M in DCM), dry DCM, 0 oC, then r.t., 1 h; (vi) BBr3 (1 M in DCM), dry DCM, −15 oC, 1 h.
Preprints 89972 sch005
Scheme 6. Synthesis of 2-hydroxy-8-methoxy-1-naphthaldehyde (6) via benzylation/ring opening/methylation/reduction/debenzylation. Reagents and conditions: (i) BnBr, K2CO3, KI, dry acetone, r.t., 18 h; (ii) MeI, K2CO3, dry acetone, N2, reflux, 3 h; (iii) DIBAL (1.2 M in toluene), dry toluene, 0 oC, 0.5 h, r.t., 18 h; (iv) 5% Pd/C, H2, MeOH, r.t., 12 h.
Scheme 6. Synthesis of 2-hydroxy-8-methoxy-1-naphthaldehyde (6) via benzylation/ring opening/methylation/reduction/debenzylation. Reagents and conditions: (i) BnBr, K2CO3, KI, dry acetone, r.t., 18 h; (ii) MeI, K2CO3, dry acetone, N2, reflux, 3 h; (iii) DIBAL (1.2 M in toluene), dry toluene, 0 oC, 0.5 h, r.t., 18 h; (iv) 5% Pd/C, H2, MeOH, r.t., 12 h.
Preprints 89972 sch006
Scheme 7. Synthesis of (E)-2-hydroxy-8-methoxy-1-naphthaldehyde oxime (18) and proposed reaction mechanism for the synthesis of 9-methoxynaphtho [1,2-d]isoxazole 2-oxide (19). Reagents and conditions: (i) NH2OH.HCl, Na2CO3, MeOH, 0 oC, r.t., 1 h; (ii) PIDA, dry t-BuOH, N2, r.t., 0.5 h.
Scheme 7. Synthesis of (E)-2-hydroxy-8-methoxy-1-naphthaldehyde oxime (18) and proposed reaction mechanism for the synthesis of 9-methoxynaphtho [1,2-d]isoxazole 2-oxide (19). Reagents and conditions: (i) NH2OH.HCl, Na2CO3, MeOH, 0 oC, r.t., 1 h; (ii) PIDA, dry t-BuOH, N2, r.t., 0.5 h.
Preprints 89972 sch007
Scheme 8. Synthesis of substituted isoxazoles (21) to (24). Reagents and conditions: (i) dry DMSO-d6, N2, r.t.; (ii) DMAD, 18 h; (iii) phenylacetylene, 18 h; (iv) methyl acrylate, 18 h; (v) styrene, 18 h.
Scheme 8. Synthesis of substituted isoxazoles (21) to (24). Reagents and conditions: (i) dry DMSO-d6, N2, r.t.; (ii) DMAD, 18 h; (iii) phenylacetylene, 18 h; (iv) methyl acrylate, 18 h; (v) styrene, 18 h.
Preprints 89972 sch008
Disclaimer/Publisher’s Note: The statements, opinions and data contained in all publications are solely those of the individual author(s) and contributor(s) and not of MDPI and/or the editor(s). MDPI and/or the editor(s) disclaim responsibility for any injury to people or property resulting from any ideas, methods, instructions or products referred to in the content.
Copyright: This open access article is published under a Creative Commons CC BY 4.0 license, which permit the free download, distribution, and reuse, provided that the author and preprint are cited in any reuse.
Prerpints.org logo

Preprints.org is a free preprint server supported by MDPI in Basel, Switzerland.

Subscribe

Disclaimer

Terms of Use

Privacy Policy

Privacy Settings

© 2026 MDPI (Basel, Switzerland) unless otherwise stated