Preprint
Article

This version is not peer-reviewed.

The Entropy of a Brownian Particle in a Thermal Bath Interacting Both with a Parabolic Potential

Submitted:

10 November 2023

Posted:

13 November 2023

You are already at the latest version

Abstract
In a recent article, the author derived a new generalized Langevin equation and its associated Fokker-Planck equation of a Brownian particle in a parabolic potential where the thermal bath, consisting of $N$ harmonic oscillators, interacts bilinearly with the external field. The time needed for the system to reach a steady state is longer than that for the classical version where such an interaction is off. We find that there is a marked effect of the field-bath interaction on the average heat and entropy production of the bath represented through strong oscillations in such properties. The new theory applied to the system should improve the physical description of previous works done with the classical approach.
Keywords: 
;  ;  

1. Introduction

Numerous applications of the classical generalized Langevin equation (CGLE) have been used to describe simple and complex systems. Most of the descriptions are based on Zwanzig’s model where the interaction of the external field affects only the particle dynamics. Thus, the fluctuation-dissipation theorem (FDT) is linear with the static friction coefficient of the bath fluid [1]. Nieuwenhuizen and Allahverdyan [2] worked out the CGLE in the configuration space including an extra term due to the interactions among the bath particles, and Jiménez and Velazco [3] replacing the colored noise by an Ornstein-Uhlenbeck process; the external force is time dependent. Paredes, Medina, and Colmenares [4] applied the CGLE in the whole phase space. However, afterward, Daldrop, Kowalik, and Netz [5] applied molecular dynamic simulations to a particle in a thermal bath interacting with a parabolic potential, finding the memory kernel and friction depending on the field frequency. In a previous author’s work [6] the description was modeled by deriving a new generalized version (NGLE) to include a specific field interaction with the bath. The FDT is Kubo’s type with the above frequency dependency. Acceptable results were obtained for the kernel and the friction function.
The present work aims to extend the description of the NGLE to the realm of thermodynamics. In this respect, the objective is to determine the entropy and its rate and compare them with the results obtained from the CGLE.
We begin with a resumé of the general equations already derived followed by an analysis of the results. The article ends with a general conclusion.

2. Basic equations

The system is a particle of mass M immersed in a bath of N harmonic oscillators held at temperature T where both subsystems interact with a parabolic potential V ( q ) = M ω 2 q 2 / 2 . The NGLE was derived in [6] and given by:
v ˙ ( t ) = Ω q 0 0 t d y v ( y ) Θ ω ( t y ) + R ω ( t ) ,
where the dot over a variable denotes its time derivative. Its solution reads,
v ( t ) = v 0 χ ( t ) Ω q 0 0 t d y χ ( y ) + φ v ( t ) ,
χ ( t ) = L 1 1 k + Θ ^ ω ( k ) ,
φ v ( t ) = 0 t d y χ ( t y ) R ω ( y ) , Ω = ω 2 { 1 γ 0 2 ω κ τ 2 ω 2 1 [ 3 κ
2 κ τ ω 1 + 2 π arctan ( κ τ ω ) ] } ,
where χ ( t ) is the susceptibility of the system, parameter τ is the Drude’s spectral density cutoff frequency of the bath harmonic oscillators, κ is the mass ratio of the tag particle to a single bath particle, γ 0 is the static friction coefficient, and { q 0 , Ω } are the initial position and the effective frequency felt by the particle, respectively. Function Θ ω ( t s ) = Γ ω ( t s ) + Ω where the memory kernel Γ ω ( t ) is a composite function involving cosine and sine integral functions of the complex field frequency H. It reads,
Γ ω ( t ) = γ 0 τ e t / τ 1 π sinh t τ Si H t τ + Si H + t τ + i π cosh t τ Ci i t τ
Ci i t τ Ci H t τ + Ci H + t τ ,
H ± = κ τ ω ± i .
The noise R ω ( t ) is Gaussian and colored with zero mean and a correlation obeying an FDT of Kubo’s type R ω ( t s ) R ω ( 0 ) = T Γ ω ( | t s | ) . The friction function γ ( ω ) is the integral of Γ ω ( t ) over the frequency ω . It is a function too large to display containing Si, Ci, Ei, and the natural log functions of different complex terms of the field frequency. From now on, the Boltzmann constant and M are set to 1.
We use the associated reduced position Fokker-Planck equation (FPE) for the probability density function associated with Eq. (2) instead of the bi-variate general one involving velocity and position. It was already obtained in [7] in a different context, reading,
P ( q , t ) t = J ( q , t ) q ,
J ( q , t ) = Φ ( t ) q 1 2 D ( t ) q P ( q , t ) ,
Φ ( t ) = d ln q ( t ) d t ,
D ( t ) = σ ˙ 2 ( t ) 2 σ 2 ( t ) Φ ( t ) ,
with a solution given by the Gaussian
P ( q , t | q 0 ) = 1 2 π σ 2 ( t ) exp ( q q ( t ) ) 2 2 σ 2 ( t ) ,
q ( t ) = q 0 1 Ω 0 t d y y χ ( t y ) , σ 2 ( t ) = 2 0 t d y 0 y d z φ v ( y ) φ v ( z )
+ T 0 t d y χ ( y ) 2 .
The steady-state P s s ( q , t ) is obtained from Eq. (8). It renders the Gaussian
P s s ( q , t ) = 1 π ζ ( t ) 1 e ζ ( t ) q 2 1 Erf i ζ ( t ) q ,
where ζ ( t ) = | Φ ( t ) / D ( t ) | .
According to [8,9,10], the mean heat Q ( t ) evolves with time as
d Q ( t ) d t = 0 t d q J ( q , y ) d E d q ,
where E = ( p 2 + ω 2 q 2 ) / 2 . After making the substitutions, we find
d Q ( t ) d t = ω 2 Φ ( t ) σ 2 ( t ) + q ( t ) 2 + 1 2 D ( t ) ,
The irreversible Gibbs entropy of the Brownian particle, equivalent to Shannon’s, and the entropy rate S ˙ ( t ) are
S ( t ) = d q P ( q , t ) ln P ( q , t ) ,
S ˙ ( t ) = d q P ˙ ( q , t ) ln P ( q , t ) .
In a system at equilibrium, the response function is the correlation of the fluctuations subjected to disturbances of the external field. The detailed balance relation is broken if it is out of equilibrium for stationary systems. Therefore, there is a continuous degradation of energy to the thermal reservoir. This behavior occurs along the trajectory, where the correlation of the fluctuations reduces to the conventional FDT if the velocity fluctuations are written in terms of the local mean velocity [11].
In the detailed balance restoration, Van den Broeck and Esposito [12] integrate by part S ˙ ( t ) giving two contributions compiling a non-adiabatic part S ˙ n a ( t ) due to the presence of driving, the external field, and an adiabatic one because of a non-equilibrium constrain, the temperature in our case. They, however, introduce the so-called excess S ˙ e x ( t ) representing the dissipation due to the presence of the reservoir. The latter is the systematic entropy generated by the bath degrees of freedom [13]. They propose then an equivalent entropy balance equation for the total entropy production as,
S ˙ t o t ( t ) = S ˙ n a ( t ) S ˙ e x ( t ) ,
S ˙ n a ( t ) = d q P ( q , t ) ln P ( q , t ) P s s ( q , t ) ,
S ˙ e x ( t ) = d q J ( q , t ) q P s s ( q , t ) .
Similar equations hold for the Zwanzig’s CGLE [14,15,16] replacing Ω by ω 2 and the memory kernel substituted by the well-known exponential decay Γ ( t ) = α γ 0 e α t obeying the original Kubo’s FDT R ( t s ) R ( 0 ) = T Γ ( | t s | ) [1].
We will compare the results obtained by the two versions of the generalized Langevin equations NGLE and CGLE.

3. Discussion of numerical results

Because the external potential is time-independent, no work is produced. The interchange of heat between the particles and the bath is needed for the whole system to be kept isothermal and steady.
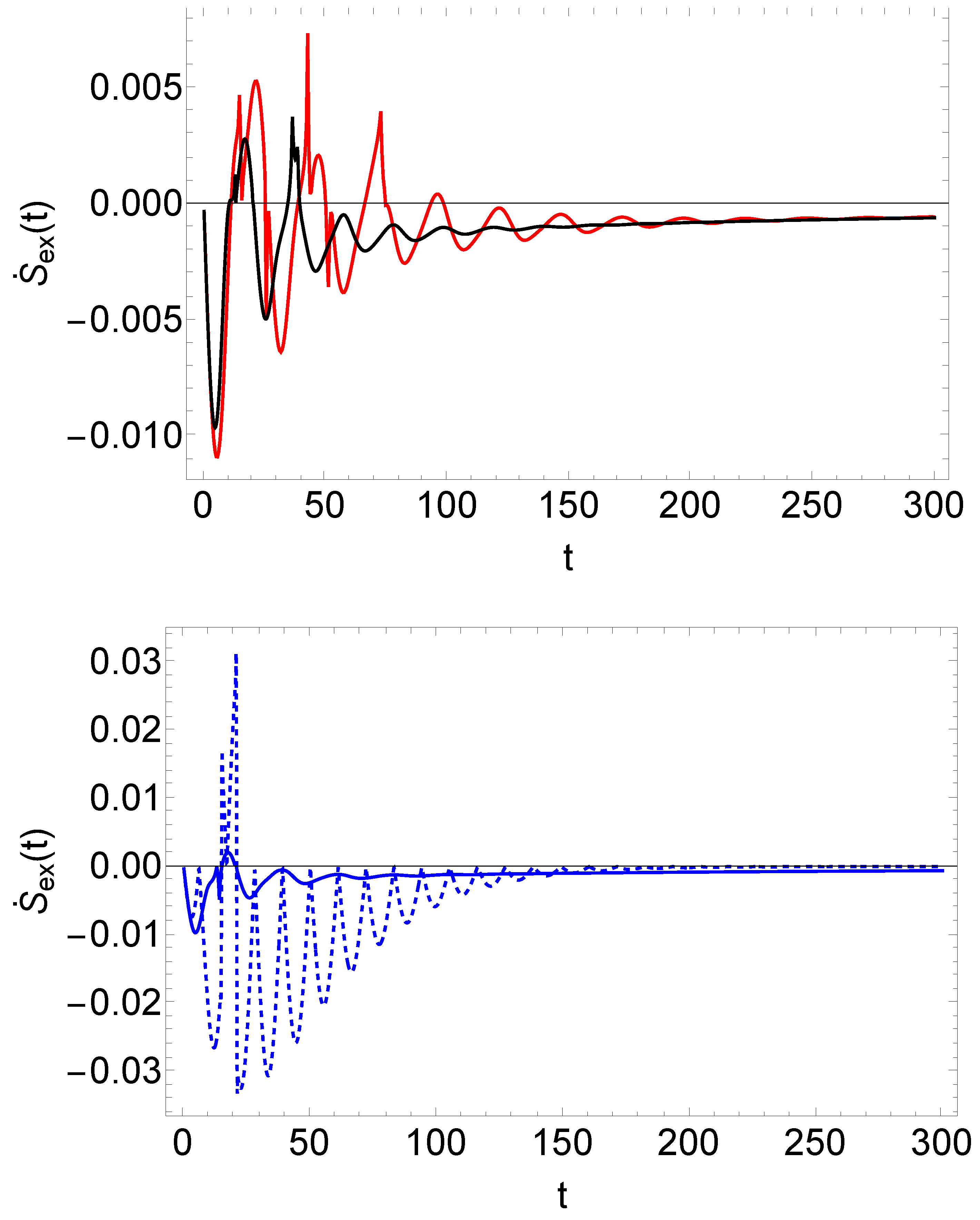
All calculations [17] were made for the parameter set of Ref. [6], namely, { γ 0 , κ , q 0 } = { 1 , 2 , 0.1 } . We choose ω = 0.0045 representing the approximated midpoint between the branches of γ ( ω ) displayed in Fig. 3 of [6]. Black curves identify the set { T , τ } = { 1 , 12 } while the red ones are for T = 10 and an arbitrary τ = 20 . Blue curves designate the NGLE at a frequency as low as ω = 0.0001 and { T , τ } = { 1 , 12 } . The procedure to compare NGLE with the CGLE must suit the memory kernel, Eq. (6), to the new initial conditions of the system. Noticing from Fig 3 of [6] that at very low ω the frequency-dependent friction is equal to its static value γ 0 , we evaluate Γ ω ( t ) at such a frequency which can be fitted as α γ 0 exp ( α t ) . It gives α = 0.083 which together with the substitution Ω = ω 2 and { γ 0 , T } = { 1 , 1 } defines fully the CGLE. They are displayed as dashed blue plots.
The numerical calculations then require first the determination of the memory kernel given by Eq. (6). Before the calculation, it is smoothed to suppress the spurious data at log times [6] to find next the susceptibility χ ( t ) through the inversion of Eq. (3). Using a method designed by Fox for the CGLE [18], the noise correlation φ v ( t ) φ v ( s ) becomes analytical which for our problem renders
φ v ( t ) φ v ( s ) = T [ χ ( t s ) χ ( t ) χ ( s ) Ω 0 t d s 1 χ ( s 1 ) 0 s d s 2 χ ( s 2 ) ] ,
Once these quantities are calculated then the standard deviation σ 2 ( t ) and q ( t ) follow and all functions are fully specified.
The effect of the external field is to heat the tagged and reservoir particles in different proportions, so on average, some heat is absorbed by the tagged particles to keep a steady temperature. Figure 1 displays this effect as the mean heat. The dissipation of the average heat in the system increases to keep it isothermal; it is smaller for T = 1 (black curve). Curves for NGLE at low ω ( { T , τ } = { 1 , 12 } , blue) and the CGLE (dashed blue) have significantly low magnitude and are almost identical, which is not a surprise because both descriptions are for the same static friction coefficient. Oscillations increase with the temperature.
Figure 2 shows the entropy of the whole system, where a smoothed behavior for t 50 appears, which is also an indication of reaching a steady state. It is positive because the system is isolated. The omission of the physical field-bath interaction (blue) overestimates the total entropy by a little compared to NGLE (black). The difference is irrelevant but will become significant in discussing the entropy production. All curves display a small oscillation at the beginning. Previous works have found that when the interaction field-bath is off, and a classical underdamped Markovian Langevin describes the dynamics, S ( t ) monotonically increases and saturates to a constant value instead [19]. The same behavior occurs with a single oscillation at the beginning when the bath particle interactions are included [2]
The processes responsible for the appearance of the initial oscillations might be due to the heat bath. One approximate way to explain it is by calculating the entropy production as we will show next.
The entropy production rate S ˙ n a ( t ) due to the field is depicted in Figure 3. It is positive as should be [12]. All curves collapse to a single plot to indicate that no matter the parameters defining the system, the field effects seem to generate almost the same rate of entropy production. Any minor difference disappears because of the scale. It goes to zero as the PDF relaxes to the uniform equilibrium distribution. This production rate doesn’t provide information about the oscillations appearing in S ( t ) .
However, the monotonic behavior of S ˙ n a ( t ) changes dramatically by examining S ˙ e x ( t ) , that is, the net effect of the heat transfer by/from the bath. Figure 4 displays this property where the oscillations appear. They are due to the irreversible heat transfer process, which tends to vanish as time evolves. An increasing steady heat flux from the reservoir, different from zero, is kept in the system to ensure the system’s steady state.
Because of the low magnitude of S ˙ e x ( t ) , the major contribution to S ˙ t o t ( t ) comes from S ˙ n a ( t ) . The entropy production obtained from Eq. (18) (not shown) is just S ˙ t o t ( t ) complying with the second law.
Unlike the simple system of a Brownian motion on a circle worked in [12] where the adiabatic and non-adiabatic contributions are positively satisfying Jensen inequality [20], S ˙ e x ( t ) is not a convex function as required by Jensen [21] but an oscillating one. There is no contradiction with the second law because the definition (21) involves two separate interacting subsystems where the bath is not isolated, delivering heat to the particles to be returned afterward [22]. What is important is that S ˙ t o t ( t ) > 0 agrees with the second law and mathematically is a convex function obeying Jensen’s inequality.

4. Conclusion

Since the results obtained from the NGLE, Eq. (1), acceptably describe the MD calculations of Daldrop, Kowalitz, and Netz [5] for the same system, should be taken into consideration to observe the effect of the field-bath interaction in the already calculation of other properties as free energies and work with time-dependent external protocols. These should include, to cite a few, the previous works on the classical Langevin equation in the versions with an exponential memory kernel [3,4] and both Markovians, overdamped [23,24] and inertial [25].
The effect of the field-bath interaction when the kernel is an exponential decay is just NGLE determined at minimal frequencies. It allows a direct comparison with the CGLE [3,4].
The published works in the Markovian regime use a time-dependent parabolic field of the kind V ( q , t ) = ω 2 ( q λ ( t ) ) 2 / 2 where λ ( t ) is an external protocol of free choice. However, the objective is the determination of the optimal driving, which optimizes the mechanical work done by/on the particle for the initial conditions set. To derive it, the Euler-Lagrange formalism [26] is applied to the function defining the mechanical work. The corresponding equation when the interaction field-bath is on requires making the substitution Θ ω ( | t s | ) = γ 0 δ ( t s ) + Ω in Eq. (1) to get a similar equation, which after rearrangement is,
v ˙ ( t ) = Ω q ( t ) λ ( t ) γ 0 v ( t ) + ξ ( t ) ,
ξ ( t s ) ξ ( 0 ) = T δ ( t s ) ,
Therefore, the corresponding Markovian system described by Eq. (24) can be compared with the cited works [23,24,25].
Unlike the previous versions where the interaction field bath is off, the protocol, work, entropy, and the FPE now depend on the characteristics of the bath through the effective frequency Ω , which in turn is itself a function of the field frequency ω .

Acknowledgments

The author thanks Dr. Oscar Paredes-Altuve for helpful discussions.

References

  1. R. Kubo, Rep. Prog. Phys. 29, 255 (1966). [CrossRef]
  2. Th. M. Nieuwenhuizen and A. E. Allahverdyan, Phys. Rev. E 66, 036102 (2002). [CrossRef]
  3. J. I. Jiménez-Aquino and R. M. Velasco, Entropy 16, 1917 (2014). [CrossRef]
  4. O. Paredes-Altuve, E. Medina, and P. J. Colmenares, Phys. Rev. E 94, 062111 (2016). [CrossRef]
  5. J. O. Daldrop, B. G. Kowalik, and R. R. Netz, Phys. Rev. X 7, 041065 (2017). [CrossRef]
  6. P. J. Colmenares, Phys. Rev. E 108, 014115 (2023). [CrossRef]
  7. Colmenares, Phys. Rev. E 97, 052126 (2018), There is a misprint in Eq. (12), ξ(t) must be φv(t).
  8. K. Sekimoto, Stochastic Energetics., Lecture Notes in Physics 799. (Springer, Heidelberg. Germany, 2010).
  9. U. Seifert, Phys. Rev. Letts. 95, 040602 (2005). [CrossRef]
  10. U. Seifert, Rep. Prog. Phys. 75, 126001 (2012). [CrossRef]
  11. T. Speck and U. Seifert, Europhys. Lett. 74, 391 (2006). [CrossRef]
  12. C. Van den Broeck and M. Esposito, Phys. Rev. E 82, 011144 (2010). [CrossRef]
  13. Y. Oono and M. Paniconi, Prog. Theor. Phys. Suppl 130, 29 (1998). [CrossRef]
  14. R. Zwanzig, J. Stat. Phys. 9, 251 (1973).
  15. P. Hänggi, in Stochastic Dynamics, Lecture Notes in Physics, Vol. 484, edited by L. Schimansky-Geier and T. Pöschel (Springer-Verlag, Berlin Heidelberg, 1997).
  16. R. Zwanzig, Nonequilibrium Statistical Mechanics (Oxford University Press, New York. USA, 2001).
  17. Wolfram Research, Inc., Mathematica v13.1.0.0 computer package was used for the algebraic, numerical and graphics manipulations (2022).
  18. R. F. Fox, Phys. Rep. 48, 179 (1978). [CrossRef]
  19. M. A. Taye, Phys. Rev. E 101, 012131 (2020). [CrossRef]
  20. M. Esposito and C. V. den Broeck, Phys. Rev. Letts. 104, 090601 (2010). [CrossRef]
  21. P. D. Gujrati, Phys. Lett. A 384, 126460 (2020). [CrossRef]
  22. I. Prigogine, Introduction to Thermodynamics of Irreversible Processes, 3rd ed. (Interscience Publishers, New York. USA, 1967).
  23. T. Schmiedl and U. Seifert, Phys. Rev. Letts. 98, 108301 (2007). [CrossRef]
  24. D. Abreu and U. Seifert, Europhys. Lett. 94, 10001 (2011). [CrossRef]
  25. P. J. Colmenares and O. Paredes-Altuve, Phys. Rev. E 104, 034115 (2021). [CrossRef]
  26. P. H. Morse and H. Feshbach, Methods of Theoretical Physics, Vol. I (McGraw Hill, New York. USA, 1953).
Figure 1. Mean heat. See text for details.
Figure 1. Mean heat. See text for details.
Preprints 90221 g001
Figure 2. Entropy of tag particles as a function of t.
Figure 2. Entropy of tag particles as a function of t.
Preprints 90221 g002
Figure 3. Non-adiabatic entropy production as a function of t.
Figure 3. Non-adiabatic entropy production as a function of t.
Preprints 90221 g003
Figure 4. Systematic entropy rate of the reservoir as a function of t.
Figure 4. Systematic entropy rate of the reservoir as a function of t.
Preprints 90221 g004
Disclaimer/Publisher’s Note: The statements, opinions and data contained in all publications are solely those of the individual author(s) and contributor(s) and not of MDPI and/or the editor(s). MDPI and/or the editor(s) disclaim responsibility for any injury to people or property resulting from any ideas, methods, instructions or products referred to in the content.
Copyright: This open access article is published under a Creative Commons CC BY 4.0 license, which permit the free download, distribution, and reuse, provided that the author and preprint are cited in any reuse.
Prerpints.org logo

Preprints.org is a free preprint server supported by MDPI in Basel, Switzerland.

Subscribe

Disclaimer

Terms of Use

Privacy Policy

Privacy Settings

© 2026 MDPI (Basel, Switzerland) unless otherwise stated