Preprint
Article

This version is not peer-reviewed.

Genetic Alterations and Risk Factors for Recurrence in Patients with Non-Small Cell Lung Cancer Who Underwent Complete Surgical Resection

A peer-reviewed article of this preprint also exists.

Submitted:

03 November 2023

Posted:

06 November 2023

You are already at the latest version

Abstract
Definitive surgical resection is the preferred treatment for early-stage non-small-cell lung cancer (NSCLC). Research into genetic alterations, including epidermal growth factor receptor (EGFR) mutation, in early stage NSCLC remains insufficient. Here, we investigated the prevalence of genetic alterations in early-stage NSCLC and the association between EGFR mutation and recurrence after complete resection. Between January 2019 and December 2021, 659 patients with NSCLC who underwent curative surgical resection at a single regional cancer center were recruited. We compared the clinical and pathological data between the recurrence and non-recurrence groups. Multivariate logistic regression was used to predict the risk factors for recurrence. Among the 659 enrolled cases, the most common histology was adenocarcinoma (74.5%), followed by squamous cell carcinoma (21.7%). The prevalence of EGFR mutation was 43% (194/451). Among them, L858R point mutation and exon 19 deletion was 52.3% and 42%, respectively. ALK rearrangement was found at 5.7% (26/453), and ROS1 fusion was found at 1.6% (7/441). The recurrence rate of the entire population was 19.7%. In multivariate analysis, the presence of EGFR mutation, stage II or III (vs. stage I), and pathologic subtype (presence of solid type) were associated with recurrence. Among the recurred group, 86.5% of the patients with EGFR mutation experienced distant recurrence compared to only 66.7% of wild-type (p = 0.016), with no significant difference in median disease-free survival (p = 0.983). In conclusion, the prevalence of EGFR mutation, ALK rearrangement, and ROS1 fusion was 43.0%, 5.7%, and 1.6%, respectively in patients with early-stage NSCLC who underwent curative resection. Along with stage II/III and solid pathologic subtype, EGFR mutation was an independent risk factor for recurrence. In the recurrence group, the rate of distant metastasis was higher in patients with EGFR mutation than in those with wild-type.
Keywords: 
;  ;  

Introduction

In 2020, lung cancer was reported as the leading cause of death worldwide and the second most commonly diagnosed cancer.[1] Approximately 48% of lung cancer cases in the U.S. are diagnosed in the early stage.[2,3] Patients with early-stage lung cancer have a better 5-year survival rate compared to those with advanced stage (62.8% vs. 8.2%); therefore, it is crucial to diagnose lung cancer early to ensure the best chance of preventing recurrence.[4]
Definitive surgical resection is the preferred treatment for early stage non-small-cell lung cancer (NSCLC), followed by adjuvant chemotherapy if necessary, depending on the pathological stage.[5] A retrospective analysis revealed that patients with stage I NSCLC who underwent surgical resection had a 5-year survival rate ranging from 40% to 97%.[6] In the real world, it has been reported that 23% of patients with early stage NSCLC who underwent surgical resection experienced disease recurrence after 1 year. Furthermore, the 5-year disease-free survival (DFS) rate was 29.3%, which declined as the disease progressed.[7]
Epidermal growth factor receptor (EGFR) mutation is the most common driver mutation in advanced NSCLC in East Asia, with a prevalence of approximately 20%–64%.[8] In a large-scale data analysis conducted in China, the EGFR mutation rate in the early stage was 53.6%, which was comparable to the rate observed in the advanced stage (51.4%, p = 0.379). The proportion of EGFR mutations was higher in stage IA than in stages IIB and IIIA. Most EGFR mutations were exon 19 deletion (Ex19del) and exon 21 codon p.Leu858Arg (L858R).[9] However, studies on the prevalence of EGFR mutations in patients with early-stage NSCLC are limited. In a retrospective multi-center analysis, the DFS of patients with early stage NSCLC who had EGFR mutation was shorter than that of patients without EGFR mutation. In addition, the presence of EGFR mutation was significantly related to disease recurrence, along with lymphovascular invasion, intrapulmonary metastasis, and lymph node metastasis.[10] Another study showed that the presence of EGFR mutation was a risk factor for distant metastasis in early-stage lung cancer.[11] Many studies on EGFR tyrosine kinase inhibitors (EGFR-TKIs) as adjuvant therapy have been conducted to lower recurrence and improve prognosis in early-stage NSCLC.
Recently, compared to chemotherapy, adjuvant EGFR-TKIs have demonstrated improved DFS in patients with EGFR-mutated NSCLC.[12,13] Osimertinib, a third-generation EGFR-TKI, demonstrated a significant improvement in DFS compared to placebo in patients with stage IB–IIIA EGFR-mutated NSCLC who underwent complete resection.[14] According to the updated follow-up data of the ADAURA study, the 4-year DFS rate was 73% in the osimertinib group and 38% in the placebo group (overall hazard ratio [HR] for DFS: 0.23; 95% confidence interval [CI]: 0.18 to 0.30).[15] Based on these successful results, osimertinib is recommended as an adjuvant treatment for resected EGFR-mutant stage IB–IIIA NSCLC.[16,17]
In this study, we investigated the prevalence of genetic alteration in patients with early-stage NSCLC who underwent definitive surgery in a single center, as well as the association between EGFR mutation and recurrence after curative surgery.

Materials and Methods

2.Data Collection

We recruited 1,095 patients who underwent surgical resection at the Lung Cancer Center, Chonnam National University Hwasun Hospital (CNUHH) from January 1, 2019 to December 31, 2021 (Figure 1). First, 205 patients were excluded for the following reasons: 34 patients received the second operation after their first operation before 2019; two patients were diagnosed with benign disease; 101 patients underwent diagnostic surgical resection in stage IV or stage III, which was indicated for chemotherapy or concurrent chemoradiotherapy; one patient underwent an open and closure operation; one patient underwent their first operation at another hospital; 11 patients were diagnosed with small cell lung cancer; 24 patients did not undergo positron emission computed tomography (PET-CT), so distant metastasis was not evaluated; 13 patients were diagnosed with a disease other than lung cancer; 3 patients were diagnosed with double primary malignancy; and 15 patients received incomplete resection. We also excluded 227 patients who did not undergo mediastinal lymph node dissection. Among patients who underwent definitive surgical resection with mediastinal lymph node dissection, we excluded four patients who were diagnosed with stage 0.
We collected clinical and pathological data from 659 patients. The collected data included sex, age, smoking history, second-hand smoking, comorbidities, family history of lung cancer, Eastern Cooperative Oncology Group Performance Score (ECOG PS), parameters of pulmonary function test (PFT), serum carcinoembryonic antigen (CEA), serum pro-gastrin releasing peptide (proGRP), serum Cyfra21-1, histologic type, pathologic stage, initial therapy, operation type, approach type, tumor location, adjuvant therapy, recurrence state, date of recurrence, survival state, and date of last follow-up. The recurrence date was set the date on which the treatment for recurrence began.
In addition, we retrospectively collected pathological data from surgical tissues and tissues obtained from biopsies performed before surgery. From these specimens, we assessed the presence of visceral pleural invasion (VPI), lymphatic invasion, vascular invasion, and neural invasion, EGFR mutation, anaplastic lymphoma kinase (ALK) rearrangement, ROS proto-oncogene 1(ROS1) fusion, and programmed death-ligand 1 (PD-L1) expression.
This study was conducted in accordance with the Declaration of Helsinki (as revised in 2013). This study was approved by the Institutional Review Board of Chonnam National University Hwasun Hospital (CNUHH-2023-164). The requirement for patient consent was waived due to the retrospective nature of the study and the use of anonymized clinical data for analysis.

2.Detection of EGFR Mutation

DNA was isolated from formalin-fixed paraffin-embedded (FFPE) tumor tissue using a Gene All Tissue DNA Purification Kit (General Biosystems, Seoul, Korea) according to the manufacturer’s protocol. The obtained DNA was eluted in 50 μL of elution buffer, and the concentration and purity of the extracted DNA were assessed by spectroscopy using a NanoDrop spectrophotometer (NanoDrop Technologies Inc., Wilmington, DE, USA). We then detected EGFR gene mutations by real-time polymerase chain reaction (PCR) using the PNA Clamp Mutation Detection Kit (Panagene Inc., Daejeon, Korea). All reactions were conducted in 20 μL volumes using template DNA, primer, PNA probe set, and fluorescence PCR master mix. Real-time PCR was performed using a DFX 96 (BioRad Laboratories Inc., Hercules, CA, USA). PCR cycling conditions were set as follows: a 5-min hold at 94℃ for 40 cycles, at 94℃ for 30 s, 70℃ for 20 s, 63℃ for 30 s, and 72℃ for 30 s. The pooled sensitivity and specificity of the PNA clamp methods were 93% and 100%, respectively.[18,19,20]

2.Detection of ALK Rearrangement

We used an ALK break-apart probe (Abbott Vysis ALK Break Apart FISH Probe Kit; Abbott Molecular, Abbott Park, IL, USA) to investigate ALK rearrangement in FFPE operative tissue. These probes have a dual-color system, which realizes the ALK breakpoint cluster with red and green signals. Detection of ALK rearrangement was performed according to the method reported in a previous study. In FFPE tissue with maintained ALK gene, the probes are visualized by the point of fusion of red and green signals. However, in FFPE tissue with a disrupted ALK locus, the red and green signals split and consequently showed a split pattern. We defined ALK-positive tissues as those in which more than 15% of cancer cells showed split or deleted split patterns.[21]

2.Detection of ROS1 Fusion

ROS1 fusion was detected by PCR using the ROS1 fusion gene detection kit (Amoy Diagnostics Co., Ltd, Xiamen, China). Total RNA isolated from FFPE tissue from each specimen was used to detect ROS1 fusion. Reverse transcription was performed using total RNAs and the conditions were as follows: 42℃ for 1 h; 95℃ for 5 min. The resulting complementary DNA (cDNA) solutions were used for multiplex qRT–PCR and the ROS1 fusion gene mRNA was detected by qRT–PCR. The PCR procedure was as follows: initial denaturation at 95℃ for 5 min, ensuring specificity at 95℃ for 25 s, 64℃ for 20 s, and 72℃ for 20 s, and data collection for 31 cycles of 93℃ for 25 s, 60℃ for 35 s, and 72℃ for 20 s. The fusion patterns were investigated according to a previous study.[22] Quantitative analysis was based on fusion fluorescence signals. Test responses that achieved a Ct value of less than 30 cycles were defined as ROS1 fusion positive.

2.Statistical Analysis

Overall survival (OS) was defined as the period from the date of operation to death, and DFS was defined as the period from the date of operation to recurrence. Genetic alterations were defined as cases in which preoperative or surgical tissue showed EGFR mutation, ALK rearrangement, or ROS1 fusion. If both preoperative and surgical tissues were available, PD-L1 expression was determined based on the surgical tissue using SP263 antibody. We defined the pathologic stage according to the 8th edition of the AJCC Cancer Staging Manual. The data cut-off date was July 12, 2023.
We compared the clinical and pathological backgrounds of patients with and without recurrence, and compared the genetic alterations between locoregional recurrence and distant recurrence in patients who experienced recurrence. We used the Mann–Whitney U test to analyze continuous variables and the chi-square test or Fisher’s exact test was used for categorical variables. To predict risk factors for recurrence after surgical resection, variables with a p-value < 0.25 in univariate logistic regression were analyzed using multivariate logistic regression. Kaplan–Meier analysis and Cox proportional hazard modeling were used to investigate the correlation between EGFR mutation and DFS or OS. All statistical analyses were performed using SPSS Statistics for Windows, version 27 (IBM Corp., Armonk, NY, USA). A p-value < 0.05 was considered statistically significant.

Results

3.Baseline Characteristics of the Overall Patients

We included 659 patients with NSCLC who underwent complete resection with lymph node dissection from January 2019 to December 2021 (Table 1). The majority of patients (87.6%) underwent lobectomy. Overall, 421 patients (63.9%) had stage I, 127 patients (19.3%) had stage II, 111 patients (16.8%) had stage III, and none had stage IIIC. Out of 451 patients, 194 (43%) had EGFR mutations, 26 out of 453 patients (5.7%) had ALK rearrangement, and 7 out of 441 patients (1.6%) had ROS1 fusion. Of the 479 patients, 295 (61.6%) had PD-L1 expression < 1%, 113 patients (23.6%) had PD-L1 expression 1%–49%, and 71 (14.8%) had PD-L1 expression ≥ 50%. The most commonly diagnosed histological type was adenocarcinoma (73.7%), followed by squamous cell carcinoma (22.2%). Overall, 243 patients (36.9%) received adjuvant therapy after surgical resection. Among them, 236 patients (97.1%) received platinum doublet chemotherapy, 1 patient (4.1%) received target therapy, and 6 patients (2.5%) received concurrent chemoradiotherapy.
One hundred and thirty patients (19.7%) experienced disease recurrence. We divided the patients into two groups: the non-recurred group and the recurred group. In the non-recurred group, 377 patients (71.3%) had stage I, 100 patients (18.9%) had stage II, and 52 patients (9.8%) had stage III disease. In the recurred group, 44 patients (33.8%) had stage I, 27 patients (20.8%) had stage II, and 59 patients (45.4%) had stage III disease (p < 0.001). The proportion of EGFR mutations was similar in the non-recurred and recurred groups (41.2% vs. 49.1%, p = 0.151). In both groups, most patients underwent lobectomy, with 87.1% in the non-recurrence group and 89.2% in the recurrence group.

3.Prevalence of Genetic Alterations

In patients with EGFR-mutated NSCLC, the majority had stage I (64.4% with stage I compared to 17% with stage II and 18.6% with stage III, p = 0.047). In patients with ALK-positive NSCLC, most patients had stages I or III (46.2% with stage I or III compared to 7.7% with stage II, p = 0.002). The same trend was observed in ROS1 fusion, although it did not reach statistical significance (42.9% with stage I or III compared to 14.3% with stage II, p = 0.283) (Figure 2a). Among the EGFR-mutant patients, the most frequently observed mutation was L858R, noted in 101 patients (52.3%), followed by Ex19del, observed in 79 patients (40.9%). Moreover, 2 patients (1.0%) had both L858R and Ex19del. Other rare mutations were noted in 11 patients (5.7%) (Table 2). The higher the expression of PD-L1, the higher the proportion of higher stage, but there was no statistical significance (p = 0.063) (Figure 2b).
According to the prevalence based on the day of surgery, only 42 patients (6.4%) were found to have genetic alterations before surgery. Preoperative biopsy sites were the primary lung mass (41 cases) or metastatic lymph node (1 case). EGFR mutations were found in 14 patients (33.3%) including 6 cases of L858R, 6 cases of Ex19del, 1 case of G719S, and 1 case of exon 20 insertion. There was one case each of ALK rearrangement and ROS1 fusion.

3.Prognostic Factors Associated with Disease Recurrence

The median follow-up duration for all patients was 31.54 months (95% CI: 30.10–32.98). Death, hopeless discharge, or loss of follow-up occurred in 87 patients (13.2%), and the median DFS was 30.52 months (95% CI: 29.21–31.83). Recurrence after definitive surgery occurred in 130 patients (19.7%). Out of the 106 patients investigated for the presence of EGFR mutation among those with recurrence, 52 patients (49.1%) had EGFR mutation.
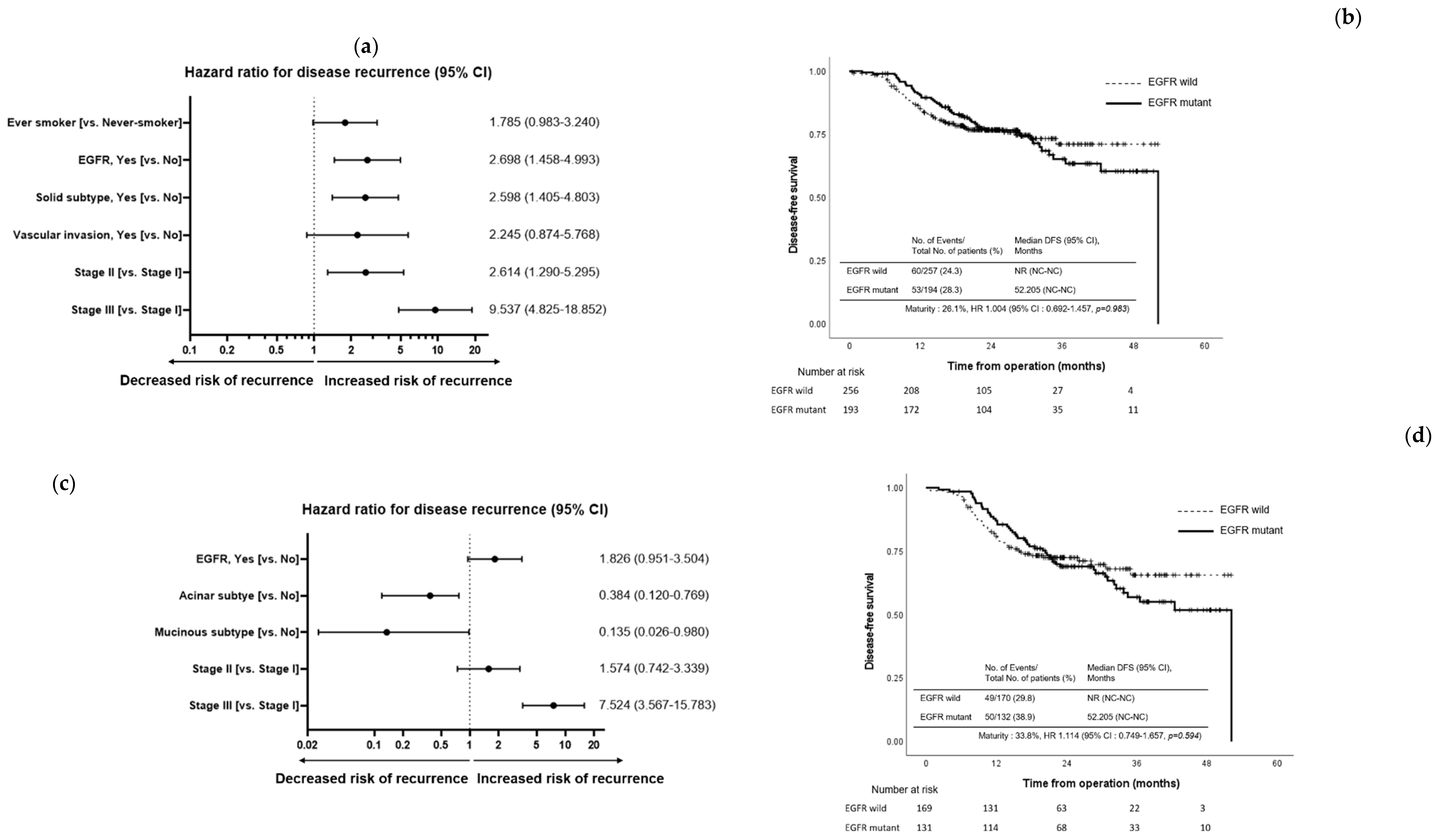
First, we analyzed the risk factors for recurrence after definitive surgery in all patients. In univariate analysis, being male (vs. female), ECOG PS of 1 (vs. PS 0), stage II or III (vs. stage I), presence of ALK rearrangement, VPI, lymphatic invasion, or vascular invasion, and pathologic subtype (presence of micropapillary type, lepidic type or solid type) were associated with disease recurrence. In multivariate analysis, stage II or III (vs. stage I), presence of EGFR mutation, and pathologic subtype (presence of solid type) were associated with disease recurrence (Figure 3a). However, there was no significant difference in DFS between the EGFR-wild-type group and the mutant group (Figure 3b).
In stage IB–IIIA, recurrence occurred in 109 patients (27.7%). In univariate analysis, stage III (vs. stage I), presence of EGFR mutation, ALK rearrangement, lymphatic or vascular invasion, and pathologic subtype (presence of micropapillary type, lepidic type, or solid type) were associated with recurrence. In multivariate analysis, stage III (vs. stage I) and pathologic subtype (presence of acinar type or mucinous type) were associated with recurrence (Figure 3c). However, there was no significant difference in DFS between the EGFR wild-type group and the mutant group (Figure 3d).

3.Association between EGFR Mutation and Type of Recurrence

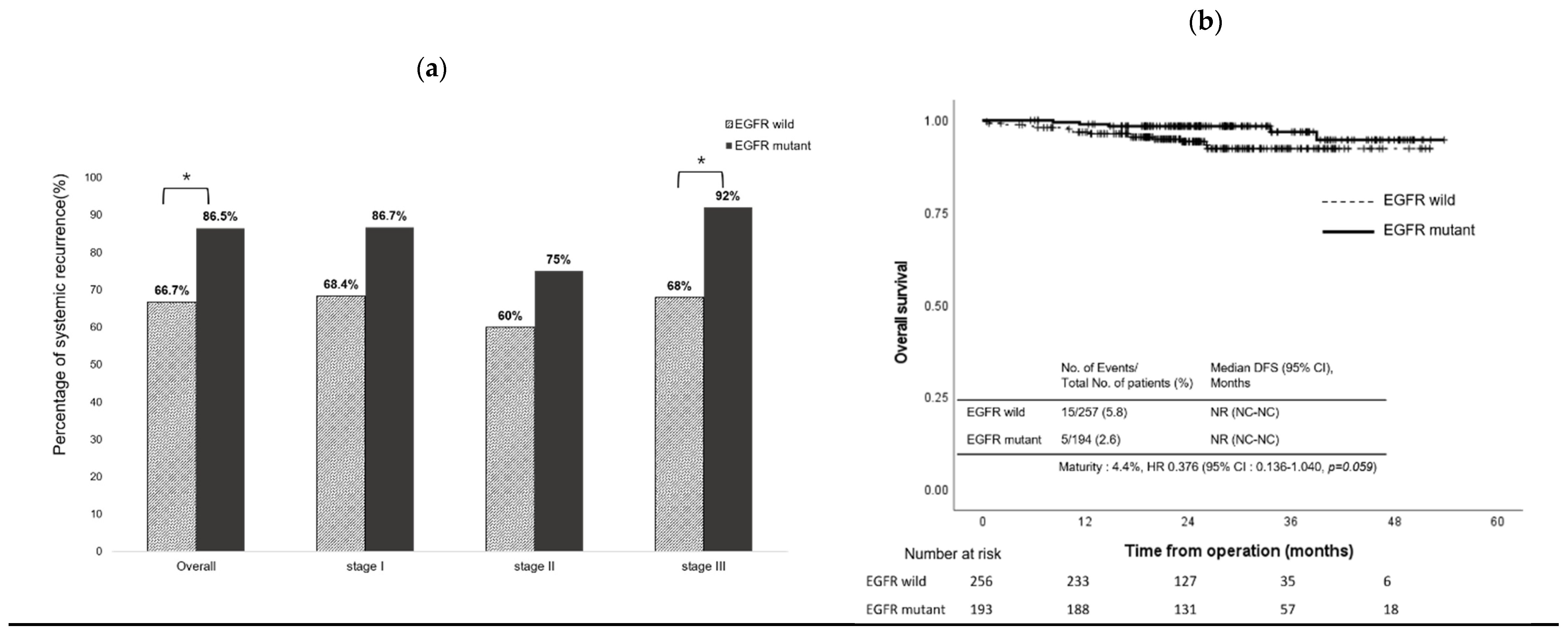
In patients who experienced recurrence, locoregional recurrence occurred in 37 patients (28.5%), whereas distant recurrence occurred in 93 patients (71.5%). The most commonly recurred extra-thoracic location was the bone (30 patients, 23.1%), followed by the central nervous system (CNS) (23 patients, 17.7%). The CNS was the most common recurrence location for patients with EGFR-mutated NSCLC, and the presence of EGFR mutation was a risk factor for CNS recurrence (Table 3). Among the overall patients, 86.5% of EGFR-mutant patients experienced distant recurrence, which was higher than the rate observed in EGFR-wild patients (66.7%, p = 0.016). Additionally, in patients with stage III disease, a higher proportion of those with EGFR mutations experienced distant recurrence compared to those without EGFR mutations (92% vs. 68%, p = 0.034). Moreover, there was no significant difference in distant recurrence between EGFR-mutant patients and EGFR-wild patients with stage I (86.7% vs. 68.4%, p = 0.257) and stage II (75.0% vs. 60.0%, p = 0.652) disease (Figure 4a). Although the proportion of distant metastases was higher in the EGFR-mutant group than in the wild group in the overall patients, there was no significant difference in OS (Figure 4b).

Discussion

In this study, we evaluated the prevalence of genetic alterations in patients with early-stage NSCLC and identified a prognostic factor for disease recurrence. EGFR mutation is more common in Asians than in Caucasians.[9,23] It has been noted that EGFR mutations occur in approximately 30%–50% of Asian patients with advanced NSCLC. The prevalence of EGFR mutation in early-stage NSCLC was found to be similar to that in advanced stage NSCLC according to a retrospective analysis published in China.[8,9] We found that approximately two-thirds of all patients were tested for genetic alterations, and about half of them had EGFR mutations. The prevalence of EGFR mutations in this study was consistent with that in previous studies.
Various prognostic factors have been found to be associated with disease recurrence in early-stage NSCLC after complete resection, including age, histologic pattern, lymphovascular invasion, invasive size, pathologic stage, and genetic alterations.[24,25,26,27] Recently, the significance of EGFR mutation as a prognostic factor for early-stage NSCLC has been reported. Saw, Stephanie P.L. et al. reported the association of EGFR mutation with recurrence in resected NSCLC, stage IA to IIIA. The 5-year OS was better, but the recurrence rate was higher in patients with EGFR-mutated NSCLC than in those with wild-type. However, the difference in DFS between EGFR-mutant and wild-type NSCLC was not statistically significant.[27] Nishii et al. reported that EGFR mutation was a poor prognostic marker in patients with NSCLC < 80 years who underwent complete resection.[28] In our study, we found that the presence of EGFR mutation, pathologic subtype (presence of solid type), and advanced stage were associated with recurrence in all patients. In addition, advanced stage and pathologic subtype (presence of acinar type or mucinous type) were associated with recurrence in patients with stage IB–IIIA disease. We have discovered that EGFR mutation could be an impactive factor in recurrence, which is consistent with the findings of previous studies.
Although the EGFR mutation did not impact DFS and OS in this study, it was associated with the type of metastasis. Among all patients, the proportion of distant recurrence was higher in the EGFR-mutant group than in the EGFR-wild group, and the same trend was observed in patients with stage III NSCLC. In addition, the presence of EGFR mutation was a risk factor for CNS recurrence, which represents a major concern after definitive surgery in early-stage NSCLC. Among sites of distant recurrence, the brain is the most common site.[29] Approximately half of patients who underwent definitive surgery for early-stage NSCLC received adjuvant therapy, and 41% of patients with EGFR-positive NSCLC received adjuvant therapy after definitive resection. In the real world, more than 95% of patients with EGFR-positive NSCLC who received adjuvant therapy received platinum-based chemotherapy.[7,30,31] The situation was similar in our center; however, platinum-based adjuvant chemotherapy has been shown to be ineffective in preventing CNS recurrence.[32]
With many efforts to reduce recurrence and improve survival in early-stage NSCLC, in recent years, a new generation of EGFR-TKIs has opened up a new era of adjuvant therapy after definitive surgery. Icotinib, a first-generation EGFR-TKI, improved DFS compared to chemotherapy in patients with stage II–IIIA NSCLC after resection.[12] Gefitinib, another first-generation EGFR-TKI, improved DFS in patients with completely resected stage II–IIIA EGFR-mutated NSCLC.[13] According to the recently updated results of the ADAURA study, adjuvant osimertinib in EGFR-mutated NSCLC after complete resection improved not only DFS but also 5-year OS in patients with stage IB–IIIA disease. As a result of the analysis by the stage, the 5-year OS was significantly different only in stage IIIA.[33] In result, it is important to gather more individualized information about patients. The prognosis varies depending on the genetic alteration and pathologic subtype, even within the same stage. It is crucial to select appropriate high-risk patients and determine adjuvant therapy to prevent recurrence in early-stage lung cancer and improve survival. Furthermore, some promising results of neoadjuvant targeted therapy are being reported.[34] Given the high rate of distant metastasis after resection in EGFR-mutated NSCLC and the benefit of EGFR-TKI on survival, it seems important to detect genetic alterations before surgery. In this study, it was only found in 6.4% of cases before surgery, but if the genetic alterations can be found with a more sensitive method such as liquid biopsy, the prognosis of lung cancer might be improved with neoadjuvant targeted therapy.
This study has several limitations that warrant discussion. First, this was a single-center retrospective study. Although the proportion of genetic alterations and prognosis of patients followed the same trend as that in previous studies, the characteristics of the patients in this study may not fully represent all Koreans or Asians. Second, analysis of genetic alteration was not performed in all patients. The presence of genetic alteration was mainly investigated in patients with adenocarcinoma, and in other types of NSCLC, including squamous cell carcinoma, the expression of PD-L1 was investigated. Third, other factors such as sex, age, and pathologic subtype were not adjusted when analyzing the association between metastatic organs and the presence of EGFR mutation.

Conclusions

In the present study, we showed that the prevalence of EGFR mutation, ALK rearrangement, and ROS1 fusion was 43.0%, 5.7%, and 1.6% in patients with NSCLC who underwent complete resection, respectively. EGFR mutation was an independent risk factor for recurrence along with stage II/III and solid pathologic subtype. Among patients with recurrent malignancy, the rate of distant metastasis was higher in patients with EGFR mutations than in patients without EGFR mutations, and EGFR mutations were associated with CNS recurrence. With regard to the promising results of EGFR-TKI as adjuvant therapy, it is advisable to identify the histological characteristics of patients with NSCLC who underwent curative surgery and actively consider adjuvant targeted therapy.

Author Contributions

Conceptualization, H.K.P. and I.-J.O.; methodology, H.K.P., Y.-D.C. and I.-J.O.; software, H.K.P., Y.-D.C. and I.-J.O.; validation, H.K.P., Y.-D.C., J.-S.Y. and I.-J.O.; formal analysis, H.K.P. and I.-J.O.; investigation, H.K.P., Y.-D.C., J.-S.Y., S.-Y.S., K.-J.N., H.-J.O., Y.-C.K. and I.-J.O.; resources, H.K.P., J.-S.Y., S.-Y.S., K.-J.N., J.-Y.Y., C.-S.Y., H.-J.O., Y.-C.K. and I.-J.O.; data curation, H.K.P., Y.-D.C., K.-J.N. and I.-J.O.; writing—original draft preparation, H.K.P. and I.-J.O.; writing—review and editing, H.K.P., Y.-D.C., K.-J.N. and I.-J.O.; visualization, H.K.P., Y.-D.C. and I.-J.O.; supervision, Y.-D.C., J.-S.Y., S.-Y.S., K.-J.N., H.-J.O., Y.-C.K. and I.-J.O.; project administration, H.K.P. and I.-J.O.; funding acquisition, H.K.P. All authors have read and agreed to the published version of the manuscript.

Funding

This study was supported by a grant (HCRI 23 016) Chonnam National University Hwasun Hospital Institute for Biomedical Science.

Acknowledgments

The biospecimens and data used for this study were provided by the Biobank of Chonnam National University Hwasun Hospital, a member of the Korea Biobank Network.

Conflicts of Interest

The authors declare that they have no conflict of interest.

References

  1. Sung, H.; Ferlay, J.; Siegel, R.L.; Laversanne, M.; Soerjomataram, I.; Jemal, A.; Bray, F. Global cancer statistics 2020: GLOBOCAN estimates of incidence and mortality worldwide for 36 cancers in 185 countries. CA Cancer J Clin 2021, 71, 209–249. [Google Scholar] [CrossRef] [PubMed]
  2. Blandin Knight, S.; Crosbie, P.A.; Balata, H.; Chudziak, J.; Hussell, T.; Dive, C. Progress and prospects of early detection in lung cancer. Open Biol. 2017, 7, 170070. [Google Scholar] [CrossRef] [PubMed]
  3. Siegel, R.L.; Miller, K.D.; Wagle, N.S.; Jemal, A. Cancer statistics. CA Cancer J Clin 2023, 73, 17–48. [Google Scholar] [CrossRef] [PubMed]
  4. SEER*Explorer: An interactive website for SEER cancer statistics. Available online: https://seer.cancer.gov/statistics-network/explorer/ (accessed on 27 October 2023).
  5. Lim, J.U. Update on Adjuvant Treatment in Resectable Non-Small Cell Lung Cancer and Potential Biomarkers Predicting Postoperative Relapse. Tuberc Respir Dis (Seoul) 2023, 86, 14–22. [Google Scholar] [CrossRef]
  6. Blasberg, J.D.; Pass, H.I.; Donington, J.S. Sublobar resection: a movement from the Lung Cancer Study Group. J Thorac Oncol 2010, 5, 1583–1593. [Google Scholar] [CrossRef] [PubMed]
  7. West, H.; Hu, X.; Zhang, S.; Song, Y.; Chirovsky, D.; Gao, C.; Lerner, A.; Jiang, A.; Signorovitch, J.; Samkari, A. Treatment Patterns and Outcomes in Resected Early-stage Non-small Cell Lung Cancer: An Analysis of the SEER-Medicare Data. Clin Lung Cancer 2023, 24, 260–268. [Google Scholar] [CrossRef] [PubMed]
  8. Shi, Y.; Au, J.S.; Thongprasert, S.; Srinivasan, S.; Tsai, C.M.; Khoa, M.T.; Heeroma, K.; Itoh, Y.; Cornelio, G.; Yang, P.C. A prospective, molecular epidemiology study of EGFR mutations in Asian patients with advanced non-small-cell lung cancer of adenocarcinoma histology (PIONEER). J Thorac Oncol 2014, 9, 154–162. [Google Scholar] [CrossRef]
  9. Pi, C.; Xu, C.R.; Zhang, M.F.; Peng, X.X.; Wei, X.W.; Gao, X.; Yan, H.H.; Zhou, Q. EGFR mutations in early-stage and advanced-stage lung adenocarcinoma: Analysis based on large-scale data from China. Thorac Cancer 2018, 9, 814–819. [Google Scholar] [CrossRef] [PubMed]
  10. Ito, M.; Miyata, Y.; Tsutani, Y.; Ito, H.; Nakayama, H.; Imai, K.; Ikeda, N.; Okada, M. Positive EGFR mutation status is a risk of recurrence in pN0-1 lung adenocarcinoma when combined with pathological stage and histological subtype: A retrospective multi-center analysis. Lung Cancer 2020, 141, 107–113. [Google Scholar] [CrossRef]
  11. Galvez, C.; Jacob, S.; Finkelman, B.S.; Zhao, J.; Tegtmeyer, K.; Chae, Y.K.; Mohindra, N.; Salgia, R.; Jovanovic, B.; Behdad, A.; et al. The role of EGFR mutations in predicting recurrence in early and locally advanced lung adenocarcinoma following definitive therapy. Oncotarget 2020, 11, 1953–1960. [Google Scholar] [CrossRef]
  12. He, J.; Su, C.; Liang, W.; Xu, S.; Wu, L.; Fu, X.; Zhang, X.; Ge, D.; Chen, Q.; Mao, W.; et al. Icotinib versus chemotherapy as adjuvant treatment for stage II-IIIA EGFR-mutant non-small-cell lung cancer (EVIDENCE): a randomised, open-label, phase 3 trial. Lancet Respir Med 2021, 9, 1021–1029. [Google Scholar] [CrossRef] [PubMed]
  13. Zhong, W.Z.; Wang, Q.; Mao, W.M.; Xu, S.T.; Wu, L.; Shen, Y.; Liu, Y.Y.; Chen, C.; Cheng, Y.; Xu, L.; et al. Gefitinib versus vinorelbine plus cisplatin as adjuvant treatment for stage II-IIIA (N1-N2) EGFR-mutant NSCLC (ADJUVANT/CTONG1104): a randomised, open-label, phase 3 study. Lancet Oncol 2018, 19, 139–148. [Google Scholar] [CrossRef] [PubMed]
  14. Wu, Y.L.; Tsuboi, M.; He, J.; John, T.; Grohe, C.; Majem, M.; Goldman, J.W.; Laktionov, K.; Kim, S.W.; Kato, T.; et al. Osimertinib in Resected EGFR-Mutated Non-Small-Cell Lung Cancer. N Engl J Med 2020, 383, 1711–1723. [Google Scholar] [CrossRef] [PubMed]
  15. Herbst, R.S.; Wu, Y.L.; John, T.; Grohe, C.; Majem, M.; Wang, J.; Kato, T.; Goldman, J.W.; Laktionov, K.; Kim, S.W.; et al. Adjuvant Osimertinib for Resected EGFR-Mutated Stage IB-IIIA Non-Small-Cell Lung Cancer: Updated Results From the Phase III Randomized ADAURA Trial. J Clin Oncol 2023, 41, 1830–1840. [Google Scholar] [CrossRef] [PubMed]
  16. Pisters, K.; Kris, M.G.; Gaspar, L.E.; Ismaila, N. Adjuvant Systemic Therapy and Adjuvant Radiation Therapy for Stage I-IIIA Completely Resected Non-Small-Cell Lung Cancer: ASCO Guideline Rapid Recommendation Update. J Clin Oncol 2022, 40, 1127–1129. [Google Scholar] [CrossRef] [PubMed]
  17. Remon, J.; Soria, J.C.; Peters, S. Early and locally advanced non-small-cell lung cancer: an update of the ESMO Clinical Practice Guidelines focusing on diagnosis, staging, systemic and local therapy. Ann Oncol 2021, 32, 1637–1642. [Google Scholar] [CrossRef] [PubMed]
  18. Park, H.Y.; Oh, H.J.; Kim, K.H.; Kim, T.O.; Park, C.K.; Shin, H.J.; Lim, J.H.; Kwon, Y.S.; Oh, I.J.; Kim, Y.I.; et al. Quantification of epidermal growth factor receptor (EGFR) mutation may be a predictor of EGFR-tyrosine kinase inhibitor treatment response. Thorac Cancer 2016, 7, 639–647. [Google Scholar] [CrossRef] [PubMed]
  19. Yoon, S.H.; Choi, Y.D.; Oh, I.J.; Kim, K.S.; Choi, H.; Chang, J.; Shin, H.J.; Park, C.K.; Kim, Y.C. Peptide Nucleic Acid Clamping Versus Direct Sequencing for the Detection of EGFR Gene Mutation in Patients with Non-small Cell Lung Cancer. Cancer Res Treat 2015, 47, 661–669. [Google Scholar] [CrossRef] [PubMed]
  20. Song, J.U.; Lee, J. Peptide Nucleic Acid Clamping and Direct Sequencing in the Detection of Oncogenic Alterations in Lung Cancer: Systematic Review and Meta-Analysis. Yonsei Med J 2018, 59, 211–218. [Google Scholar] [CrossRef]
  21. Martin, V.; Bernasconi, B.; Merlo, E.; Balzarini, P.; Vermi, W.; Riva, A.; Chiaravalli, A.M.; Frattini, M.; Sahnane, N.; Facchetti, F.; et al. ALK testing in lung adenocarcinoma: technical aspects to improve FISH evaluation in daily practice. J Thorac Oncol 2015, 10, 595–602. [Google Scholar] [CrossRef]
  22. Shan, L.; Lian, F.; Guo, L.; Qiu, T.; Ling, Y.; Ying, J.; Lin, D. Detection of ROS1 gene rearrangement in lung adenocarcinoma: comparison of IHC, FISH and real-time RT-PCR. PLoS One 2015, 10, e0120422. [Google Scholar] [CrossRef] [PubMed]
  23. Skov, B.G.; Høgdall, E.; Clementsen, P.; Krasnik, M.; Larsen, K.R.; Sørensen, J.B.; Skov, T.; Mellemgaard, A. The prevalence of EGFR mutations in non-small cell lung cancer in an unselected Caucasian population. APMIS 2015, 123, 108–115. [Google Scholar] [CrossRef] [PubMed]
  24. Shimizu, R.; Kinoshita, T.; Sasaki, N.; Uematsu, M.; Sugita, Y.; Shima, T.; Harada, M.; Hishima, T.; Horio, H. Clinicopathological Factors Related to Recurrence Patterns of Resected Non-Small Cell Lung Cancer. J Clin Med 2020, 9, 2473. [Google Scholar] [CrossRef] [PubMed]
  25. Ujiie, H.; Kadota, K.; Chaft, J.E.; Buitrago, D.; Sima, C.S.; Lee, M.-C.; Huang, J.; Travis, W.D.; Rizk, N.P.; Rudin, C.M.; et al. Solid Predominant Histologic Subtype in Resected Stage I Lung Adenocarcinoma Is an Independent Predictor of Early, Extrathoracic, Multisite Recurrence and of Poor Postrecurrence Survival. J of Clin Oncol 2015, 33, 2877–2884. [Google Scholar] [CrossRef]
  26. Shah, A.; Apple, J.; Belli, A.J.; Barcellos, A.; Hansen, E.; Fernandes, L.L.; Zettler, C.M.; Wang, C.K. Real-world study of disease-free survival & patient characteristics associated with disease-free survival in early-stage non-small cell lung cancer: A retrospective observational study. Cancer Treat Res Commun 2023, 36, 100742. [Google Scholar]
  27. Saw, S.P.L.; Zhou, S.; Chen, J.; Lai, G.; Ang, M.K.; Chua, K.; Kanesvaran, R.; Ng, Q.S.; Jain, A.; Tan, W.L.; et al. Association of Clinicopathologic and Molecular Tumor Features With Recurrence in Resected Early-Stage Epidermal Growth Factor Receptor-Positive Non-Small Cell Lung Cancer. JAMA Netw Open 2021, 4, e2131892. [Google Scholar] [CrossRef]
  28. Nishii, T.; Yokose, T.; Miyagi, Y.; Daigo, Y.; Ito, H.; Isaka, T.; Imai, K.; Murakami, S.; Kondo, T.; Saito, H.; et al. Clinicopathological features and EGFR gene mutation status in elderly patients with resected non-small-cell lung cancer. BMC Cancer 2014, 14, 610. [Google Scholar] [CrossRef]
  29. Saw, S.P.L.; Zhou, S.; Chen, J.; Lai, G.; Ang, M.-K.; Chua, K.; Kanesvaran, R.; Ng, Q.S.; Jain, A.; Tan, W.L.; et al. Association of Clinicopathologic and Molecular Tumor Features With Recurrence in Resected Early-Stage Epidermal Growth Factor Receptor–Positive Non–Small Cell Lung Cancer. JAMA Network Open 2021, 4, e2131892. [Google Scholar] [CrossRef] [PubMed]
  30. Chouaid, C.; Danson, S.; Andreas, S.; Siakpere, O.; Benjamin, L.; Ehness, R.; Dramard-Goasdoue, M.H.; Barth, J.; Hoffmann, H.; Potter, V.; et al. Adjuvant treatment patterns and outcomes in patients with stage IB-IIIA non-small cell lung cancer in France, Germany, and the United Kingdom based on the LuCaBIS burden of illness study. Lung Cancer 2018, 124, 310–316. [Google Scholar] [CrossRef]
  31. Sara Kuruvilla, M.; Liu, G.; Syed, I.; Gwadry-Sridhar, F.; Sheffield, B.S.; Sachdeva, R.; Pencz, A.; Zhan, L.; Hueniken, K.; Patel, D.; et al. EGFR mutation prevalence, real-world treatment patterns, and outcomes among patients with resected, early-stage, non-small cell lung cancer in Canada. Lung Cancer 2022, 173, 58–66. [Google Scholar] [CrossRef]
  32. Rotolo, F.; Dunant, A.; Le Chevalier, T.; Pignon, J.P.; Arriagada, R. Adjuvant cisplatin-based chemotherapy in nonsmall-cell lung cancer: new insights into the effect on failure type via a multistate approach. Ann Oncol 2014, 25, 2162–2166. [Google Scholar] [CrossRef] [PubMed]
  33. Tsuboi, M.; Herbst, R.S.; John, T.; Kato, T.; Majem, M.; Grohé, C.; Wang, J.; Goldman, J.W.; Lu, S.; Su, W.-C.; et al. Overall Survival with Osimertinib in Resected EGFR-Mutated NSCLC. N Engl J Med 2023, 389, 137–147. [Google Scholar] [CrossRef] [PubMed]
  34. Lee, J.M.; McNamee, C.J.; Toloza, E.; Negrao, M.V.; Lin, J.; Shum, E.; Cummings, A.L.; Kris, M.G.; Sepesi, B.; Bara, I.; et al. Neoadjuvant Targeted Therapy in Resectable NSCLC: Current and Future Perspectives. J Thorac Oncol 2023, 18, 1458–1477. [Google Scholar] [CrossRef] [PubMed]
Figure 1. Flow chart of patient enrollment. *O & C: open and closure, MLND: mediastinal lymph node dissection.
Figure 1. Flow chart of patient enrollment. *O & C: open and closure, MLND: mediastinal lymph node dissection.
Preprints 89633 g001
Figure 2. Proportion of genetic alteration. (a) The bar graph showed the percentage of genetic alteration by stage in the overall patients. Among patients with EGFR-mutation, the majority had stage I. In patients with ALK-positive, the majority had stage I and III. (b) The bar graph showed that the higher expression the PD-L1 expression, the higher the proportion of high stage, but it was not statistically significant (p = 0.063). *p < 0.05, **p < 0.01, ***p < 0.EGFR, epidermal growth factor receptor, ALK, anaplastic lymphoma kinase; PD-L1, programmed death-ligand 1.
Figure 2. Proportion of genetic alteration. (a) The bar graph showed the percentage of genetic alteration by stage in the overall patients. Among patients with EGFR-mutation, the majority had stage I. In patients with ALK-positive, the majority had stage I and III. (b) The bar graph showed that the higher expression the PD-L1 expression, the higher the proportion of high stage, but it was not statistically significant (p = 0.063). *p < 0.05, **p < 0.01, ***p < 0.EGFR, epidermal growth factor receptor, ALK, anaplastic lymphoma kinase; PD-L1, programmed death-ligand 1.
Preprints 89633 g002
Figure 3. Risk factor for disease recurrence (a) Forest plots for risk factors of disease recurrence in overall patients. (b) Kaplan–Meier survival curve for DFS according to presence of EGFR mutation in overall patients. (c) Forest plots for risk factors of disease recurrence in stage IB–IIIA. (d) Kaplan–Meier survival curve for DFS according to the presence of EGFR mutation in stage IB–IIIA. NR, not reached; NC, not checked; HR, hazard ratio; CI, confidence interval; DFS, disease-free survival; EGFR, epidermal growth factor receptor.
Figure 3. Risk factor for disease recurrence (a) Forest plots for risk factors of disease recurrence in overall patients. (b) Kaplan–Meier survival curve for DFS according to presence of EGFR mutation in overall patients. (c) Forest plots for risk factors of disease recurrence in stage IB–IIIA. (d) Kaplan–Meier survival curve for DFS according to the presence of EGFR mutation in stage IB–IIIA. NR, not reached; NC, not checked; HR, hazard ratio; CI, confidence interval; DFS, disease-free survival; EGFR, epidermal growth factor receptor.
Preprints 89633 g003
Figure 4. Type of recurrence and overall survival (a) Bar graph showing the proportion of distant metastasis among overall patients (p = 0.016), stage I (p = 0.257), stage II (p = 0.652), and stage III (p = 0.034). (b) Kaplan–Meier survival curve for OS according to the presence of EGFR mutation among the overall patients. NR, not reached; NC, not checked; HR, hazard ratio; CI, confidence interval; OS, overall survival; EGFR, epidermal growth factor receptor.
Figure 4. Type of recurrence and overall survival (a) Bar graph showing the proportion of distant metastasis among overall patients (p = 0.016), stage I (p = 0.257), stage II (p = 0.652), and stage III (p = 0.034). (b) Kaplan–Meier survival curve for OS according to the presence of EGFR mutation among the overall patients. NR, not reached; NC, not checked; HR, hazard ratio; CI, confidence interval; OS, overall survival; EGFR, epidermal growth factor receptor.
Preprints 89633 g004
Table 1. Baseline characteristics.
Table 1. Baseline characteristics.
Characteristic Total
(N=659)
Non-recurrence
(N=529)
Recurrence (N=130) p-value
Age 65.86 [65.14-66.57] 65.61 [64.82-66.41] 66.86 [65.22-68.50] 0.126
Sex 0.039
Female 260 (39.5) 219 (41.4) 41 (31.5)
Male 399 (60.5) 310 (58.6) 89 (68.5)
Smoking 0.054
Never smoker 327 (49.6) 272 (51.4) 55 (42.3)
Current smoker 153 (23.2) 124 (23.4) 29 (22.3)
Ex-smoker 179 (27.2) 133 (25.2) 46 (35.4)
Second-hand smoking 21 (3.2) 17 (3.2) 4 (3.1) >0.999
Comorbidity
HTN 264 (40.1) 209 (39.5) 55 (42.3) 0.560
DM 147 (22.3) 112 (21.2) 35 (26.9) 0.158
Coronary disease 51 (7.7) 37 (7.0) 14 (10.8) 0.149
Vascular disease 2 (0.3) 1 (0.2) 1 (0.8) 0.353
Liver disease
History of pulmonary tuberculosis 33 (5.0) 26 (4.9) 7 (5.4) 0.826
ILD 14 (2.1) 8 (1.5) 6 (4.6) 0.040
COPD 78 (11.) 60 (11.3) 18 (13.8) 0.428
Other malignancy 103 (15.6) 80 (15.1) 23 (17.7) 0.470
Family history 8 (1.2) 8 (1.5) 0 (0.0) 0.223
ECOG PS score 0.007
0 500 (75.9) 414 (78.3) 86 (66.2)
1 155 (23.5) 113 (21.4) 42 (32.3)
2 4 (0.6) 2 (0.3 2 (1.5)
Pulmonary function (N=650)
FEV1, L 2.41 [2.37-2.45] 2.42 [2.36-2.47] 2.39 [2.30-2.47] 0.825
FVC, L 3.25 [3.14-3.36] 3.26 [3.12-3.39] 3.23 [3.11-3.36] 0.611
DLCO, mL/mmHg/min 17.97 [17.29-18.66] 17.65 [17.27-18.03] 19.29 [16.20-22.37] 0.779
DLCO, % 94.16 [90.54-97.78] 93.18 [89.57-96.78] 98.13 [86.99-109.26] 0.608
Serum CEA (N=229) 5.87 [4.39-7.35] 5.59 [4.08-7.10] 6.69 [2.79-10.58] 0.001
Serum proGRP (N=229) 49.79 [45.15-54.42] 50.19 [44.11-56.27] 48.58 [44.60-52.57] 0.137
Serum Cyfra21-1 (N=229) 3.50 [2.66-4.34] 3.45 [2.43-4.47] 3.63 [2.16-5.11] 0.009
Histology 0.243
Adenocarcinoma 491 (74.5) 394 (74.5) 97 (74.6)
Squamous cell carcinoma 143 (21.7) 118 (22.3) 25 (19.2)
Other non-small cell carcinoma 25 (3.8) 17 (3.2) 8 (6.2)
Histologic subtype (N=477)
Acinar type 335 (70.2) 275 (57.7) 60 (12.6) 0.084
Papillary type 310 (65.0) 242 (50.7) 68 (14.3) 0.060
Micropapillary type 92 (19.3) 59 (12.4) 33 (6.9) <0.001
Lepidic type 136 (28.5) 126 (26.4) 10 (2.1) <0.001
Solid type 112 (23.5) 68 (14.3) 44 (9.2) <0.001
Cribriform type 5 (1.0) 4 (0.8) 1 (0.2) 0.668
Mucinous type 36 (7.5) 33 (6.9) 3 (0.6) 0.050
Others 10 (2.1) 9 (1.9) 1 (0.2) 0.695
Pathologic stage (TNM 8th) <0.001
Stage I 421 (63.9) 377 (71.3) 44 (33.8)
Stage II 127 (19.3) 100 (18.9) 27 (20.8)
Stage III 111 (16.8) 52 (9.8) 59 (45.4)
Driver mutation
EGFR (n=451) 194 (43.0) 142 (31.5) 52 (11.5) 0.151
ALK (n=453) 26 (5.7) 15 (3.3) 11 (2.4) 0.016
ROS1 (n=441) 7 (1.6) 4 (1.0) 3 (0.7) 0.204
PD-L1 (SP263) (n=479) 0.734
TPS <1% 295 (61.6) 221 (46.1) 74 (15.4)
TPS ≥1%, <50% 113 (23.6) 87 (18.2) 26 (5.4)
TPS ≥50% 71 (14.8) 51 (10.7) 20 (4.2)
Initial therapy 0.121
Operation 645 (97.8) 520 (98.3) 125 (96.1)
Chemotherapy 5 (0.8) 4 (0.8) 1 (0.8)
Radiotherapy 1 (0.2) 0 (0.0) 1 (0.8)
Concurrent chemoradiotherapy 8 (1.2) 5 (0.9) 3 (2.3)
Operation type 0.954
Wedge resection 13 (2.0) 10 (1.9) 3 (2.3)
Segmentectomy 37 (5.6) 31 (5.9) 6 (4.6)
Lobectomy 577 (87.6) 461 (87.1) 116 (89.2)
Bilobectomy 26 (3.9) 22 (4.2) 4 (3.1)
Pneumonectomy 6 (0.9) 5 (0.9) 1 (0.8)
Approach <0.001
VATS 502 (76.2) 423 (80.0) 79 (60.8)
Non-VATS 157 (23.8) 106 (20.0) 51 (39.2)
Tumor location 0.879
Right upper lobe 160 (24.3) 129 (24.4) 31 (23.8)
Right middle lobe 48 (7.3) 37 (7.0) 11 (8.5)
Right lower lobe 152 (23.0) 123 (23.3) 29 (22.3)
Left upper lobe 164 (24.9) 129 (24.4) 35 (26.9)
Left lower lobe 131 (19.9) 107 (20.2) 24 (18.5)
Other 4 (0.6) 4 (0.7) 0 (0.0)
Visceral pleural invasion (N=658) 0.013
Yes 140 (21.3) 102 (19.3) 38 (29.2)
No 518 (78.7) 426 (80.7) 92 (70.8)
Lymphatic invasion (N=658) <0.001
Yes 91 (13.8) 49 (7.4) 42 (6.4)
No 567 (86.2) 479 (72.8) 88 (13.4)
Vascular invasion (N=658) <0.001
Yes 46 (7.0) 24 (3.7) 22 (3.3)
No 612 (93.0) 504 (76.6) 108 (16.4)
Neural invasion (N=658) <0.001
Yes 16 (2.4) 6 (1.0) 10 (1.5)
No 642 (97.6) 522 (79.3) 120 (18.2)
Adjuvant therapy (N=243) 0.117
Platinum base chemotherapy 236 (97.1) 162 (98.2) 74 (94.9)
Target therapy 1 (0.4) 1 (0.6) 0 (0.0)
Concurrent chemoradiotherapy 6 (2.5) 2 (1.2) 4 (5.1)
Survival <0.001
Alive 572 (86.8) 479 (90.5) 93 (71.5)
Death 27 (4.1) 10 (1.9) 17 (13.1)
Censored 60 (9.1) 40 (7.6) 20 (15.4)
ILD, interstitial lung disease; COPD, chronic obstructive pulmonary disease; ECOG PS score, Eastern Cooperative Oncology Group Performance Score; CEA, carcinoembryonic antigen; proGRP, pro-gastrin releasing peptide; EGFR, epidermal growth factor receptor; ALK, anaplastic lymphoma kinase; ROS1, ROS proto-oncogene 1; PD-L1, programmed death-ligand 1; TPS, tumor proportion score; VATS, Video-Assisted Thoracic Surgery. *p-value by chi-square test, Fisher’s exact test, or Mann-Whitney U test, as appropriately.
Table 2. Prevalence of EGFR subtypes.
Table 2. Prevalence of EGFR subtypes.
EGFR Mutations Total (N=193) Non-recurred
(N=142)
Recurred
(N=51)
p-value
L858R 101 (52.4) 75 (52.8) 26 (50.9) 0.896
L858R only 97 (50.3) 72 (50.7) 25 (49.0)
L858R + T790M 4 (2.1) 3 (2.1) 1 (1.9)
Ex19del 79 (40.9) 58 (40.8) 21 (41.2)
Ex19del only 76 (39.4) 56 (39.4) 20 (39.2)
Ex19del + T790M 2 (1.0) 1 (0.7) 1 (2.0)
Ex19del + G719C 1 (0.5) 1 (0.7) 0
L858R + Ex19del 2 (1.0) 1 (0.7) 1 (2.0)
Others* 11 (5.7) 8 (5.6) 3 (5.9)
* Others include 7 patients with E20ins (6 patients in non-recurred group and 1 patient in recurred group), 2 patients with L861Q (1 patient in recurred group and 1 patient in recurred group), 1 patient with G719C in non-recurred group, and 1 patient with G719S in recurred group. L858R, exon 21 codon p.Leu858Arg; T790M, Thr790Met; Ex19del, exon 19 deletion; G719C, exon 18 p.Gly719Cys; E20ins, exon 20 insertions; L861Q, exon 21 L861Q.
Table 3. Prevalence of recurred location.
Table 3. Prevalence of recurred location.
EGFR status Wild (n=54) Mutant (n=52) Unknown (n=51) HR [95% CI]
Lung or Regional lymph node 34 (63.0) 26 (50.0) 17 (70.8) 0.588 [0.271-1.277]
Central nervous system 5 (9.3) 14 (26.9) 4 (16.7) 3.611 [1.195-10.907]
Bone 17 (31.5) 12 (23.1) 1 (4.2) 0.653 [0.275-1.549]
Extrathoracic visceral pleura 4 (7.4) 2 (3.8) 1 (4.2) 0.500 [0.088-2.855]
Pleura 8 (14.8) 14 (26.9) 1 (4.2) 2.118 [0.804-5.583]
Peritoneum 1 (1.9) 2 (3.8) 0 (0.0) 2.121 [0.186-24.114]
Head and neck 1 (1.9) 0 (0.0) 0 (0.0)
Others 5 (9.3) 3 (5.8) 3 (12.5) 0.600 [0.136-2.649]
Disclaimer/Publisher’s Note: The statements, opinions and data contained in all publications are solely those of the individual author(s) and contributor(s) and not of MDPI and/or the editor(s). MDPI and/or the editor(s) disclaim responsibility for any injury to people or property resulting from any ideas, methods, instructions or products referred to in the content.
Copyright: This open access article is published under a Creative Commons CC BY 4.0 license, which permit the free download, distribution, and reuse, provided that the author and preprint are cited in any reuse.
Prerpints.org logo

Preprints.org is a free preprint server supported by MDPI in Basel, Switzerland.

Subscribe

Disclaimer

Terms of Use

Privacy Policy

Privacy Settings

© 2026 MDPI (Basel, Switzerland) unless otherwise stated