Submitted:
25 October 2023
Posted:
28 October 2023
Read the latest preprint version here
Abstract
Keywords:
Introduction
Schematic diagram of basic concepts
Materials and Methods

Data sources and experimental procedures

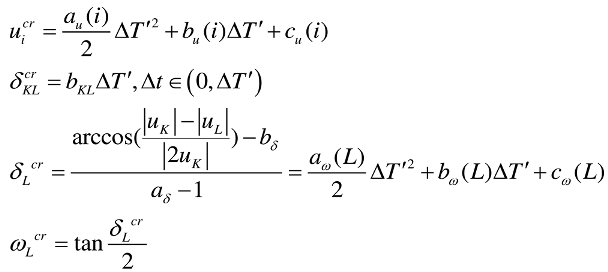
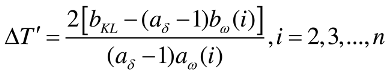
Derivation of the boundary equation
Fitting of operating points to trajectories
Operating point behaviour on the boundary
Result and discuss
Stability boundary
Disturbed trajectory and parameters
Spontaneous synchronisation and boundary
Conclusions
Data Availability Statement
Conflicts of Interest
Extended Figure 1. Stability boundary for generators

Extended Figure 2. Fitting results for generator perturbed trajectories of 12bus after a three-phase short circuit to ground fault

plane. The result of the fit is
. The adjusted R-squared value is 0.99997.
plane. The result of the fit is
, and the adjusted R-squared value is 0.97679.
plane. The result of the fit is
, and the adjusted R-squared value is 0.99519.
plane. The result of the fit is
, and the adjusted R-squared value is 0.99925.
plane. The result of the fit is
, and the adjusted R-squared value is 0.99973.Extended Figure 3. IEEE 39-BUS system, self-organizing behavior of generators near the boundary

Extended Figure 4. Stability boundary for meta-generators for IEEE 9-BUS system

Extended Figure 5. Fitting results for meta-generator perturbed trajectories of 4bus after a three-phase short circuit to ground fault

Extended Figure 6. Spontaneous synchronization behaviour of running points near the boundary

Extended Figure 7. IEEE 39bus system, Spontaneous synchronisation always occurs near the synchronisation stability boundary

References
- Motter, A.E.; Myers, S.A.; Anghel, M.; Nishikawa, T. Spontaneous synchrony in power-grid networks. Nat. Phys. 2013, 9, 191–197. [Google Scholar] [CrossRef]
- Yu, Y.; Liu, Y.; Qin, C.; Yang, T. Theory and Method of Power System Integrated Security Region Irrelevant to Operation States: An Introduction. Engineering 2020, 6, 754–777. [Google Scholar] [CrossRef]
- Yang, P.; Liu, F.; Wei, W.; Wang, Z. Approaching the Transient Stability Boundary of a Power System: Theory and Applications. IEEE Trans. Autom. Sci. Eng. 2022, 1–12. [Google Scholar] [CrossRef]
- Molnar, F.; Nishikawa, T.; Motter, A.E. Asymmetry underlies stability in power grids. Nat. Commun. 2021, 12, 1–9. [Google Scholar] [CrossRef] [PubMed]
- Martínez, I.; Messina, A.R.; Vittal, V. Normal form analysis of complex system models: A structure-preserving approach. IEEE Trans. Power Syst. 2007, 22, 1908–1915. [Google Scholar] [CrossRef]
- Bhui, P.; Senroy, N. Real-Time Prediction and Control of Transient Stability Using Transient Energy Function. IEEE Trans. Power Syst. 2017, 32, 923–934. [Google Scholar] [CrossRef]
- Zhu, L.; Hill, D.J. Synchronization of Kuramoto Oscillators: A Regional Stability Framework. IEEE Trans. Automat. Contr. 2020, 65, 5070–5082. [Google Scholar] [CrossRef]
- Koronovskii, A. A., Moskalenko, O. I. & Hramov, A. E. synchronization in complex networks. Tech. Phys. Lett. 2012, 38, 924–927.
- Casals, M. R. Knowing power grids and understanding complexity science. Int. J. Crit. Infrastructures 2015, 11, 4. [Google Scholar] [CrossRef]
- Gurrala, G.; Dimitrovski, A.; Pannala, S.; Simunovic, S.; Starke, M. Parareal in Time for Fast Power System Dynamic Simulations. IEEE Trans. Power Syst. 2016, 31, 1820–1830. [Google Scholar] [CrossRef]
- Gurrala, G. Large Multi-Machine Power System Simulations Using Multi-Stage Adomian Decomposition. IEEE Trans. Power Syst. 2017, 32, 3594–3606. [Google Scholar] [CrossRef]
- Wang, B.; Fang, B.; Wang, Y.; Liu, H.; Liu, Y. Power System Transient Stability Assessment Based on Big Data and the Core Vector Machine. IEEE Trans. Smart Grid 2016, 7, 2561–2570. [Google Scholar] [CrossRef]
- Al-Ammar, E.A.; El-Kady, M.A. Application of operating security regions in power systems. IEEE PES Transm. Distrib. Conf. Expo. Smart Solut. a Chang. World 2010. [Google Scholar] [CrossRef]
- Kundur, P. Definition and classification of power system stability. IEEE Trans. Power Syst. 2004, 19, 1387–1401. [Google Scholar]
- Student Member, B.B.; Senior Member, G.A. On the nature of unstable equilibrium points in power systems. IEEE Trans. Power Syst. 1993, 8, 738–745. [Google Scholar]
- Chiang, H.D.; Wu, F.F.; Varaiya, P.P. A BCU Method for Direct Analysis of Power System Transient Stability. IEEE Trans. Power Syst. 1994, 9, 1194–1208. [Google Scholar] [CrossRef]
- Shubhanga, K.N.; Kulkarni, A.M. Application of Structure Preserving Energy Margin Sensitivity to Determime the Effectiveness of Shunt and Serles FACTS Devices. IEEE Power Eng. Rev. 2002, 22, 57. [Google Scholar] [CrossRef]
- Al Marhoon, H.H.; Leevongwat, I.; Rastgoufard, P. A fast search algorithm for Critical Clearing Time for power systems transient stability analysis. 2014 Clemson Univ. Power Syst. Conf. PSC 2014, 2014. [Google Scholar] [CrossRef]
- Rimorov, D.; Wang, X.; Kamwa, I.; Joos, G. An approach to constructing analytical energy function for synchronous generator models with subtransient dynamics. IEEE Trans. Power Syst. 2018, 33, 5958–5967. [Google Scholar] [CrossRef]
- Dörfler, F.; Chertkov, M.; Bullo, F. Synchronization in complex oscillator networks and smart grids. Proc. Natl. Acad. Sci. U. S. A. 2013, 110, 2005–2010. [Google Scholar] [CrossRef]
- Cuadra, L.; Salcedo-Sanz, S.; Del Ser, J.; Jiménez-Fernández, S.; Geem, Z.W. A critical review of robustness in power grids using complex networks concepts. Energies 2015, 8, 9211–9265. [Google Scholar] [CrossRef]
- Zhou, J. Large-Scale Power System Robust Stability Analysis Based on Value Set Approach. IEEE Trans. Power Syst. 2017, 32, 4012–4023. [Google Scholar] [CrossRef]
- Ajala, O.; Dominguez-Garcia, A.; Sauer, P.; Liberzon, D. A Second-Order Synchronous Machine Model for Multi-swing Stability Analysis. 51st North Am. Power Symp. NAPS 2019, 2019. [Google Scholar] [CrossRef]
- Karatekin, C.Z.; Uçak, C. Sensitivity analysis based on transmission line susceptances for congestion management. Electr. Power Syst. Res. 2008, 78, 1485–1493. [Google Scholar] [CrossRef]
- Mei, S.; Ni, Y.; Wang, G.; Wu, S. A study of self-organized criticality of power system under cascading failures based on AC-OPF with voltage stability margin. IEEE Trans. Power Syst. 2008, 23, 1719–1726. [Google Scholar]
- Dobson, I.; Carreras, B.; Lynch, V.; Newman, D. An initial model for complex dynamics in electric power system blackouts. Proc. Hawaii Int. Conf. Syst. Sci. 2001, 51. [Google Scholar] [CrossRef]
- Ding, L.; Gonzalez-Longatt, F.M.; Wall, P.; Terzija, V. Two-step spectral clustering controlled islanding algorithm. IEEE Trans. Power Syst. 2013, 28, 75–84. [Google Scholar] [CrossRef]
- Znidi, F.; Davarikia, H.; Rathore, H. Power Systems Transient Stability Indices: Hierarchical Clustering Based Detection of Coherent Groups Of Generators. 2021.
- Kuramoto, Y.; Battogtokh, D. Coexistence of Coherence and Incoherence in Nonlocally Coupled Phase Oscillators. Physics (College. Park. Md). 2002, 4, 380–385. [Google Scholar]
- Martens, E.A.; Thutupalli, S.; Fourrière, A.; Hallatschek, O. Chimera states in mechanical oscillator networks. Proc. Natl. Acad. Sci. USA 2013, 110, 10563–10567. [Google Scholar] [CrossRef]
- Panaggio, M.J.; Abrams, D.M. Chimera states: Coexistence of coherence and incoherence in networks of coupled oscillators. Nonlinearity 2015, 28, R67–R87. [Google Scholar] [CrossRef]
- Amirthalingam, K.M.; Ramachandran, R.P. Improvement of transient stability of power system using solid state circuit breaker. Am. J. Appl. Sci. 2013, 10, 563–569. [Google Scholar] [CrossRef]
- Liu, X.; Shahidehpour, M.; Cao, Y.; Li, Z.; Tian, W. Risk assessment in extreme events considering the reliability of protection systems. IEEE Trans. Smart Grid 2015, 6, 1073–1081. [Google Scholar] [CrossRef]
- Huang, R. Learning and Fast Adaptation for Grid Emergency Control via Deep Meta Reinforcement Learning. IEEE Trans. Power Syst. 2022, 37, 4168–4178. [Google Scholar] [CrossRef]
- Guo, M.; Xu, D.; Liu, L. Design of Cooperative Output Regulators for Heterogeneous Uncertain Nonlinear Multiagent Systems. IEEE Trans. Cybern. 2022, 52, 5174–5183. [Google Scholar] [CrossRef] [PubMed]
- Roberts LG, W.; Champneys, A.R.; Bell KR, W.; Di Bernardo, M. Analytical Approximations of Critical Clearing Time for Parametric Analysis of Power System Transient Stability. IEEE J. Emerg. Sel. Top. Circuits Syst. 2015, 5, 465–476. [Google Scholar] [CrossRef]
- Owusu-Mireku, R.; Chiang, H.D.; Hin, M. A Dynamic Theory-Based Method for Computing Unstable Equilibrium Points of Power Systems. IEEE Trans. Power Syst. 2020, 35, 1946–1955. [Google Scholar] [CrossRef]
- Sajadi, A.; Kenyon, R.W.; Hodge, B.M. Synchronization in electric power networks with inherent heterogeneity up to 100% inverter-based renewable generation. Nat. Commun. 2022, 13, 1–12. [Google Scholar]
- Sun, M.; et al. On-line power system inertia calculation using wide area measurements. Int. J. Electr. Power Energy Syst. 2019, 109, 325–331. [Google Scholar] [CrossRef]
- Zhang, Y.; Bank, J.; Muljadi, E.; Wan, Y.H.; Corbus, D. Angle instability detection in power systems with high-wind penetration using synchrophasor measurements. IEEE J. Emerg. Sel. Top. Power Electron. 2013, 1, 306–314. [Google Scholar] [CrossRef]
- Dörfler, F.; Bullo, F. Synchronization in complex networks of phase oscillators: A survey. Automatica 2014, 50, 1539–1564. [Google Scholar] [CrossRef]
- Chen, G. Searching for Best Network Topologies with Optimal Synchronizability: A Brief Review. IEEE/CAA J. Autom. Sin. 2022, 9, 573–577. [Google Scholar] [CrossRef]
- Li, X.; Wei, W.; Zheng, Z. Promoting synchrony of power grids by restructuring network topologies. Chaos An Interdiscip. J. Nonlinear Sci. 2023, 33, 63149. [Google Scholar] [CrossRef] [PubMed]
- Zhang, Y.; Motter, A.E. Symmetry-Independent Stability Analysis of Synchronization Patterns. SIAM Rev. 2020, 62, 817–836. [Google Scholar] [CrossRef]


Disclaimer/Publisher’s Note: The statements, opinions and data contained in all publications are solely those of the individual author(s) and contributor(s) and not of MDPI and/or the editor(s). MDPI and/or the editor(s) disclaim responsibility for any injury to people or property resulting from any ideas, methods, instructions or products referred to in the content. |
© 2023 by the authors. Licensee MDPI, Basel, Switzerland. This article is an open access article distributed under the terms and conditions of the Creative Commons Attribution (CC BY) license (http://creativecommons.org/licenses/by/4.0/).