Submitted:
25 October 2023
Posted:
25 October 2023
You are already at the latest version
Abstract
Keywords:
1. Introduction
2. Materials and Methods
2.1. Materials
2.2. Apparatus
2.3. Methods
2.3.1. PVT Experiments
- Constant Composition Expansion experiments (CCE)
- 2.
- Differential Liberation experiments (DL)
- 3.
- Swelling Tests (ST)
2.3.2. Slim Tube Experiments
3. Numerical Simulation
3.1. Simulation for Slim Tube Experiments and 1-D CO2 Flooding
3.1.1. Simulation for Slim Tube Experiments
3.1.2. Simulation for 1-D CO2 Flooding
3.2. Simulation for 2-D CO2 Flooding with Quarter Five-Spot Well Pattern
3.3. Solution of Sweep Coefficient for CO2 Flooding
3.4. Main Controlling Factor Assessment of CO2 Flooding Based on Random Forest Algorithm
4. Discussion
4.1. PVT Fitting and Establishment of EOS Equation for Reservoir Fluid
4.2. Determination of Minimum Miscible Pressure Based on Slim Tube Experiment Simulation
4.3. Front Movement Rules of CO2 Flooding under Different Flooding Patterns
4.4. Front Movement Rules of CO2 Flooding under Different Flooding Patterns
4.4.1. Geological Parameters
- Permeability
- 2.
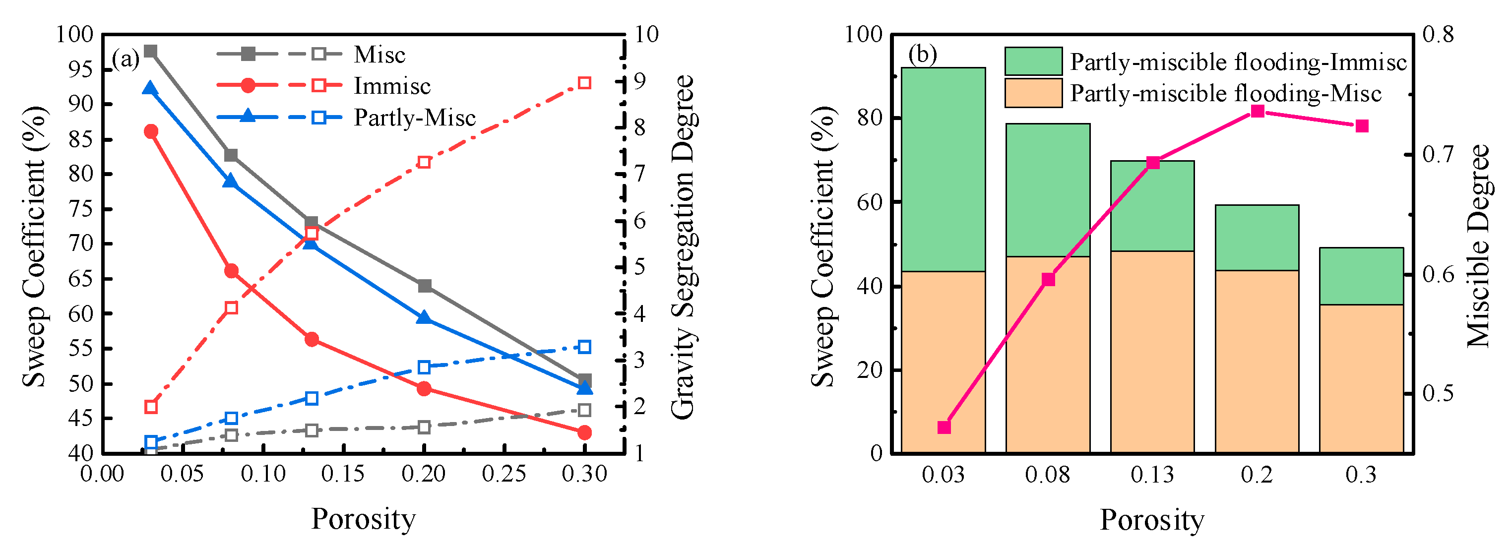
- Porosity
- 3.
- Reservoir thickness
- 4.
- Permeability Ratio
4.4.2. Injection-Production Parameters
- Well spacing
- 2.
- Gas injection rate
4.4.3. Crude Oil Viscosity
4.5. Analysis of the Main Controlling Factors of CO2 Flooding Sweep Coefficient Based on the Random Forest Algorithm
5. Conclusions
Author Contributions
Funding
Data Availability Statement
Acknowledgments
Conflicts of Interest
References
- Yue, P.; Zhang, R.; Sheng, J. J.; Yu, G.; Liu, F. Study on the Influential Factors of CO2 Storage in Low Permeability Reservoir. Energies 2022, 15(1), 344. [Google Scholar] [CrossRef]
- Tsopela, A.; Bere, A.; Dutko, M.; Kato, J.; Niranjan, S. C.; Jennette, B. G.; Hsu, S. Y.; Dasari, G. R. CO2 injection and storage in porous rocks: coupled geomechanical yielding below failure threshold and permeability evolution. Petroleum Geoscience 2022, (1), 28. [Google Scholar] [CrossRef]
- Haeri, F.; Myshakin, E. M.; Sanguinito, S.; Moore, J.; Crandall, D.; Gorecki, C. D.; Goodman, A. L. , Simulated CO2 storage efficiency factors for saline formations of various lithologies and depositional environments using new experimental relative permeability data. International Journal of Greenhouse Gas Control 2022. [Google Scholar] [CrossRef]
- Wei, J. W., Anlun, Experimental and simulation investigations of carbon storage associated with CO2 EOR in low-permeability reservoir. International Journal of Greenhouse Gas Control 2021, 104, (1). [CrossRef]
- Li, L.; Su, Y.; Sheng, J. J.; Hao, Y.; Wang, W.; Lv, Y.; Zhao, Q.; Wang, H., Experimental and Numerical Study on CO2 Sweep Volume during CO2 Huff-n-Puff EOR Process in Shale Oil Reservoirs. Energy & Fuels 2019, 33, (MAY), 4017-4032. [CrossRef]
- Wang, X.; Gu, Y., Oil Recovery and Permeability Reduction of a Tight Sandstone Reservoir in Immiscible and Miscible CO2 Flooding Processes. Industrial & Engineering Chemistry Research 2011, 50, (4), 2388-2399. [CrossRef]
- Bikkina, P.; Wan, J.; Kim, Y.; Kneafsey, T. J.; Tokunaga, T. K. Influence of wettability and permeability heterogeneity on miscible CO2 flooding efficiency. Fuel 2016, 166(FEB.15), 219–226. [Google Scholar] [CrossRef]
- Zargar, G.; Bagheripour, P.; Asoodeh, M.; Gholami, A. Oil-CO2 minimum miscible pressure (MMP) determination using a stimulated smart approach. The Canadian Journal of Chemical Engineering 2015, 93(10), 1730–1735. [Google Scholar] [CrossRef]
- Han, L.; Gu, Y., Optimization of Miscible CO2 Water-Alternating-Gas Injection in the Bakken Formation. Energy & Fuels 2014, 28, (nov.-dec.), 6811-6819. [CrossRef]
- Li, L.; Zhou, X.; Su, Y.; Xiao, P.; Chen, Z.; Zheng, J., Influence of Heterogeneity and Fracture Conductivity on Supercritical CO2 Miscible Flooding Enhancing Oil Recovery and Gas Channeling in Tight Oil Reservoirs. Energy & Fuels 2022. [CrossRef]
- Guo, Y.; Liu, F.; Qiu, J.; Xu, Z.; Bao, B. Microscopic transport and phase behaviors of CO2 injection in heterogeneous formations using microfluidics. Energy 2022, 256. [Google Scholar] [CrossRef]
- Alhosani, A.; Lin, Q.; Scanziani, A.; Andrews, E.; Blunt, M. J. Pore-scale characterization of carbon dioxide storage at immiscible and near-miscible conditions in altered-wettability reservoir rocks. International Journal of Greenhouse Gas Control 2021, 105, 103232. [Google Scholar] [CrossRef]
- Zhao, X.; Liao, X., Evaluation Method of CO2 Sequestration and Enhanced Oil Recovery in an Oil Reservoir, as Applied to the Changqing Oilfields, China. Energy & Fuels 2012, 26, (8), 5350–5354. [CrossRef]
- Xiaolong, C.; Yiqiang, L.; Xiang, T.; Huan, Q.; Xuebing, S.; Jianghao, L. Effect of gravity segregation on CO2 flooding under various pressure conditions: Application to CO2 sequestration and oil production. Energy 2021, 226. [Google Scholar] [CrossRef]
- Al Hinai, N. M.; Saeedi, A.; Wood, C. D.; Myers, M.; Valdez, R.; Sooud, A. K.; Sari, A., Experimental Evaluations of Polymeric Solubility and Thickeners for Supercritical CO2 at High Temperatures for Enhanced Oil Recovery. Energy & Fuels 2018, 32, (2), 1600-1611. [CrossRef]
- Sun, X.; Long, Y.; Bai, B.; Wei, M.; Suresh, S., Evaluation and Plugging Performance of Carbon Dioxide-Resistant Particle Gels for Conformance Control. SPE Journal 2020, (04). [CrossRef]
- Li, Z.; Su, Y.; Li, L.; Hao, Y.; Wang, W.; Meng, Y.; Zhao, A. Evaluation of CO2 storage of water alternating gas flooding using experimental and numerical simulation methods. Fuel 2022, 311, 122489. [Google Scholar] [CrossRef]
- Alsumaiti, A. M.; Hashmet, M. R.; Alameri, W. S.; Antodarkwah, E., Laboratory Study of CO2 Foam Flooding in High Temperature, High Salinity Carbonate Reservoirs Using Co-injection Technique. 2018. [CrossRef]
- Song, Y.; Yang, W.; Wang, D.; Yang, M.; Jiang, L.; Liu, Y.; Zhao, Y.; Dou, B.; Wang, Z. Magnetic resonance imaging analysis on the in-situ mixing zone of CO2 miscible displacement flows in porous media. Journal of Applied Physics 2014, 115(24), 401–410. [Google Scholar] [CrossRef]
- Wang, H.; Tian, L.; Chai, X.; Wang, J.; Zhang, K. Effect of pore structure on recovery of CO2 miscible flooding efficiency in low permeability reservoirs. Journal of Petroleum Science and Engineering 2021. [Google Scholar] [CrossRef]
- Chen, M.; Cheng, L.; Cao, R.; Lyu, C.; Rao, X., Carbon dioxide transport in radial miscible flooding in consideration of rate-controlled adsorption. Arabian Journal of Geosciences 2020, 13, (1). [CrossRef]
- Coats, K. H.; Smith, B. D. Dead-End Pore Volume and Dispersion in Porous Media. Society of Petroleum Engineers Journal 1964, 4(1), 73–84. [Google Scholar] [CrossRef]
- Brattekås, B.; Haugen, M. , Explicit tracking of CO2-flow at the core scale using micro-Positron Emission Tomography (μPET). Journal of Natural Gas Science and Engineering 2020, 77, 103268. [Google Scholar] [CrossRef]
- Wang, S.; Jiang, L.; Cheng, Z.; Liu, Y.; Song, Y., Experimental study on the CO2-decane displacement front behavior in high permeability sand evaluated by magnetic resonance imaging. Energy 2021, 217, (119433). [CrossRef]
- Duraid, A. B.; Ali, S.; Quan, X.; Myers, M. B.; Cameron, W. Influence of Permeability Heterogeneity on Miscible CO2 Flooding Efficiency in Sandstone Reservoirs: An Experimental Investigation. Transport in Porous Media 2018, 125, 341–356. [Google Scholar] [CrossRef]
- Lewis, E.; Dao, E.; Mohanty, K. K. Sweep coefficient of Miscible Floods in a High-Pressure Quarter Five-Spot Model. SPE Journal 2006. [Google Scholar] [CrossRef]
- Hao, Y.; Li, J.; Kong, C.; Guo, Y.; Lv, G.; Chen, Z.; Wei, X., Migration behavior of CO2-crude oil miscible zone. Petroleum Science and Technology 2021, 39, (21-22), 959-971. [CrossRef]
- Li, J.; Cui, C.; Wu, Z.; Wang, Z.; Wang, Z.; Yang, H. Study on the migration law of CO2 miscible flooding front and the quantitative identification and characterization of gas channeling. Journal of Petroleum Science and Engineering 2022, 218, 110970. [Google Scholar] [CrossRef]
- Li, N.; Tian, J.; Ren, Z. The research on spread rule of CO2 miscible region in low permeability reservoir. Well Testing 2014. [Google Scholar] [CrossRef]
- Al-Abri, A.; Sidiq, H.; Amin, R., Mobility ratio, relative permeability and sweep coefficient of supercritical CO2 and methane injection to enhance natural gas and condensate recovery: Coreflooding experimentation. Journal of Natural Gas Science & Engineering 2012, 9, (none), 166-171. [CrossRef]
- Perrin, J. C.; Benson, S. An Experimental Study on the Influence of Sub-Core Scale Heterogeneities on CO2 Distribution in Reservoir Rocks. Transport in Porous Media 2010, 82(1), 93–109. [Google Scholar] [CrossRef]
- Lu, Y.; Liu, R.; Wang, K.; Tang, Y.; Cao, Y., A study on the fuzzy evaluation system of carbon dioxide flooding technology. Energy Science & Engineering 2021. [CrossRef]
- Bai, S.; Song, K. P.; Yang, E. L., Optimization of water alternating gas injection parameters of CO2 flooding based on orthogonal experimental design. Special Oil & Gas Reservoirs 2011. [CrossRef]
- Chenglong, L., Gas Channeling Influencing Factors and Patterns of CO2-flooding in Ultra-Low Permeability Oil Reservoir. Special Oil & Gas Reservoirs 2018. [CrossRef]
- Cui, C.; Yan, D.; Yao, T.; Wang, J.; Zhang, C.; Wu, Z., Prediction method of migration law and gas channeling time of CO2 flooding front: A case study of Gao 89-1 Block in Shengli Oilfield. Petroleum Reservoir Evaluation and Development 2022, 12, (05), 741-747+763. [CrossRef]
- Sinha, U.; Dindoruk, B.; Soliman, M. Y. In Prediction of CO2 Minimum Miscibility Pressure MMP Using Machine Learning Techniques, SPE-Improved Oil Recovery Conference, 2020, 2020; 2020.

















| Comp. | mol. (%) | Comp. | mol. (%) | Comp. | mol. (%) | Comp. | mol. (%) |
|---|---|---|---|---|---|---|---|
| CO2 | 0.153 | C7 | 3.835 | C17 | 2.249 | C27 | 1.062 |
| N2 | 2.818 | C8 | 5.131 | C18 | 1.999 | C28 | 1.024 |
| C1 | 16.193 | C9 | 4.225 | C19 | 1.921 | C29 | 0.936 |
| C2 | 3.938 | C10 | 3.897 | C20 | 1.764 | C30 | 0.905 |
| C3 | 3.224 | C11 | 3.36 | C21 | 1.604 | C31 | 0.7 |
| IC4 | 1.675 | C12 | 3.256 | C22 | 1.554 | C32 | 0.716 |
| NC4 | 2.978 | C13 | 3.271 | C23 | 1.431 | C33 | 0.548 |
| IC5 | 0.904 | C14 | 2.697 | C24 | 1.385 | C34 | 0.532 |
| NC5 | 2.594 | C15 | 2.746 | C25 | 1.232 | C35 | 0.476 |
| C6 | 2.431 | C16 | 2.208 | C26 | 1.153 | C36+ | 5.275 |
| Parameters | Values |
|---|---|
| Number of grids | 50×1×1 |
| Grid size | 32cm×5.8mm×5.8mm |
| Porosity/% | 0.33 |
| Permeability/mD | 1000 |
| Injection pressure constraints/MPa | 35.0 |
| Gas injection rate/(PV/d) | 0.1 |
| Parameters | Values |
|---|---|
| Number of grids | 300×1×1 |
| Grid size | 1m×1m×1m |
| Porosity/% | 0.13 |
| Temperature/°C | 97.3 |
| Permeability/mD | 4.5 |
| Initial formation pressure/MPa | 16.0 (Immiscible flooding) |
| 22.0 (Partly-miscible flooding) | |
| 26.0 (Miscible flooding) | |
| Gas injection rate/(m3/d) | 0.00195 |
| Well bottom pressure constraint/MPa | 40.0 (upper limit) |
| 10.0 (lower limit) |
| Parameters | Values |
|---|---|
| Number of grids | 25×25×5 |
| Grid size | 8m×8m×0.6m |
| Porosity/% | 0.13 |
| Temperature/°C | 97.3 |
| Permeability/mD | 4.5 |
| Initial formation pressure/MPa | 16.0 (Immiscible flooding) |
| 22.0 (Partly-miscible flooding) | |
| 26.0 (Miscible flooding) | |
| Gas injection rate/(m3/d) | 261.61 |
| Well bottom pressure constraint/MPa | 40.0 (upper limit) |
| 10.0 (lower limit) |
| Parameters | Minimum Value | Maximum Value | Unit |
|---|---|---|---|
| Permeability | 0.5 | 100 | mD |
| Porosity | 0.05 | 0.2 | / |
| Reservoir Thickness | 3.0 | 30.0 | m |
| Permeability Ratio | 1.1 | 100 | / |
| Well Spacing | 50 | 300 | M |
| Injection Rate | 0.1 | 2.0 | m2/d (RC) |
| Oil Viscosity | 0.74 | 33.52 | mPa·s |
| Components | mol. (%) | Pc (atm) | Tc (K) | Mw(g/mol) | Vc (m3/kmol) |
|---|---|---|---|---|---|
| CO2 | 0.153 | 72.80 | 304.20 | 44.01 | 0.0940 |
| N2 | 2.818 | 33.50 | 126.20 | 27.99 | 0.0898 |
| C1 | 16.193 | 45.40 | 190.60 | 16.05 | 0.0990 |
| C2 | 3.938 | 48.20 | 305.40 | 30.09 | 0.1480 |
| C3+C4 | 7.877 | 39.02 | 406.11 | 52.38 | 0.2371 |
| C5+C6 | 5.929 | 31.51 | 486.50 | 76.99 | 0.3335 |
| C7-C16 | 31.58 | 19.82 | 624.24 | 148.05 | 0.5701 |
| C17-C26 | 15.87 | 13.63 | 653.87 | 289.86 | 1.2768 |
| C27-C39 | 9.478 | 11.76 | 878.05 | 444.69 | 1.8926 |
| C40+ | 6.164 | 10.60 | 989.31 | 716.21 | 3.2964 |
Disclaimer/Publisher’s Note: The statements, opinions and data contained in all publications are solely those of the individual author(s) and contributor(s) and not of MDPI and/or the editor(s). MDPI and/or the editor(s) disclaim responsibility for any injury to people or property resulting from any ideas, methods, instructions or products referred to in the content. |
© 2023 by the authors. Licensee MDPI, Basel, Switzerland. This article is an open access article distributed under the terms and conditions of the Creative Commons Attribution (CC BY) license (http://creativecommons.org/licenses/by/4.0/).