Preprint
Review

This version is not peer-reviewed.

Some Aspects of a-(Acyloxy)alkyl Radicals in Organic Synthesis

A peer-reviewed article of this preprint also exists.

Submitted:

19 October 2023

Posted:

19 October 2023

You are already at the latest version

Abstract
The preparation and use of -(acyloxy)alkyl xanthates to generate and capture -(acyloxy)alkyl radicals is briefly reviewed. Their inter- and intramolecular additions to both activated and unactivated, electronically unbiased, alkenes, and to (hetero)aromatic rings, as well as their radical allylation and vinylation reactions are described. Application to the total synthesis of two 4-hydroxytetralone natural products is also presented.
Keywords: 
;  ;  ;  

1. Introduction

α-(Acyloxy)alkyl radicals of general structure 1 are key intermediates in the polymerization of vinyl esters 2, especially vinyl acetate (2, R = Me); however, their use in the synthesis of small molecules has remained underdeveloped. Perhaps the main impediment to produce and capture these radicals in a synthetically meaningful setting has been the relative inaccessibility and/or lability of precursors 5 (Scheme 1). α-(Acyloxy)alkyl chlorides (5, X = Cl) are easier to handle and purify than the bromides (X = Br) but are poorer radical precursors [1,2]. In most cases, such derivatives are prepared and used directly. Two types of transformations are pictured in Scheme 1. In the first, a classical Giese type addition of bromide 6 to acrylonitrile and ethyl acrylate to give adducts 7 and 8 respectively [3]. In the second, the radical from bromide 9 undergoes an addition-elimination onto alkenes 10 to give enol esters 11 and 12 [4]. Both studies relied on a stannane reagent to generate the desired radical intermediates.
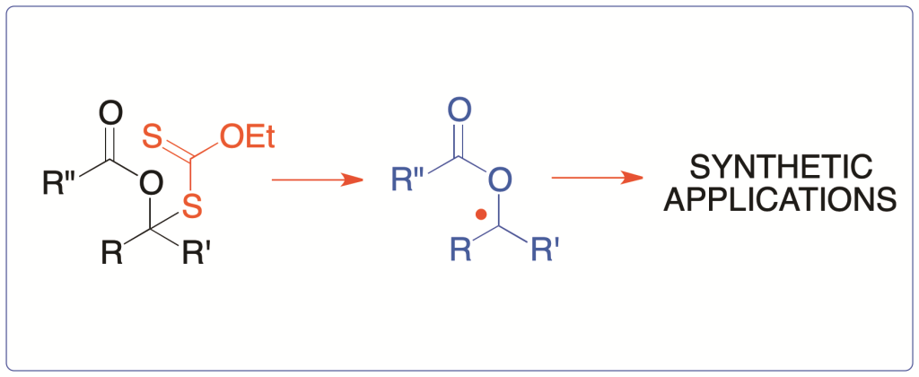
Another simple route to produce α-(acyloxy)alkyl radicals is by a radical addition to vinyl esters 2. However, while numerous instances of such additions have been reported, the resulting α-(acyloxy)alkyl radical intermediates were rarely used to create another carbon-carbon bond, with the obvious exception of oligomerizations and polymerizations. We have found that by switching to the corresponding xanthates 13, practically all the limitations discussed above could be lifted, resulting in an unusually powerful synthetic tool. The present short review will hopefully provide the reader with an idea of the scope of this chemistry.
The radical addition of xanthates 13 to alkenes 16 proceeds by the simplified mechanism outlined in Scheme 2 [5,6,7,8]. Thus, radical 1, generated in an initiation step, is rapidly captured by the starting xanthate to give adduct radical 14; however, this step is reversible and degenerate and does not consume radical 1, which now acquires enough lifetime to allow it to add even to electronically unbiased alkene 15. The resulting adduct 16 in turn is reversibly intercepted by starting xanthate 13 to provide addition product 18 by fragmentation of intermediate 17. This sequence regenerates starting radical 1 to propagate the chain. The new carbon-carbon and carbon-sulfur bonds created in this process are colored in red.
In addition to providing key radicals 1 and 16 with extended lifetime, highly stabilized and bulky species 14 and 17 act as reservoirs for these radicals and lower considerably their absolute concentration in the medium. The consequences are less complications from unwanted radical-radical interactions and a greater scope as regards poorly reactive alkene traps. The actual mechanistic picture is in fact much more sophisticated than is conveyed in Scheme 2 and the interested reader is directed to references 7 and 8 for a more extensive discussion. It is also worth mentioning that while the sequence in Scheme 2 shows the addition to an alkene, the extended lifetime of the intermediate radicals can often be exploited to overcome the slow kinetics of other radical transformations, such as fragmentations, unusual ring-closures, cyclisations and additions onto aromatic derivatives, inter- and intra-molecular hydrogen atom abstractions, etc.
From a practical standpoint, this manner of generating and capturing radicals offers many advantages. It uses cheap, readily available, and non-toxic starting materials and reagents; it is metal-free, and especially tin-free, even though certain metal complexes can be used as photoredox initiators; it tolerates numerous functional groups and solvents, including water, and can be performed at high concentrations and even without solvent; last, but not least, almost all types of carbon centered radicals, as well as nitrogen, oxygen, sulfur, phosphorus, and even stannyl radicals can be generated by this chemistry.

2. Synthesis of S-α-(acyloxy)alkyl xanthates

We have employed two methods to obtain S-α-(acyloxy)alkyl xanthates 13, but various other approaches can be envisaged. The most direct is by substitution of α-(acyloxy)alkyl halides 5 by a xanthate salt. The chlorides (5, X = Cl) are most common and are prepared from aldehydes and, but to a lesser extent, ketones by reaction with an acid chloride under catalysis by a Lewis acid, most commonly zinc chloride [1,2]. Xanthates made by this route are assembled in Scheme 3 [3,9,10,11,12] (note that the same numbers 3, 5, and 13 for the generic structures in Scheme 1, Scheme 2 and Scheme 3 are used are for both aldehydes and ketone derived compounds). Examples 24 and 25 are taken from a study by Lee and Kim (but no yields are given) [4]. Xanthates 27 and 28 were prepared by somewhat different routes. The former is derived from levulinic acid by treatment with neat thionyl chloride followed by reaction with potassium O-ethyl xanthate [9]. For the latter, the steps were in a way reversed. First commercial methyl hemiacetal of trifluoroacetaldehyde is treated with the xanthate salt and cold sulfuric acid and the resulting geminal xanthyl alcohol acetylated with acetic anhydride with catalysis by sulfuric acid [11,12].
This first method is limited to aldehydes and to ketones that can withstand the strongly acidic conditions needed to form the α-(acyloxy)alkyl halides 5. Xanthates 19-28 in Scheme 3 are thus relatively simple unfunctionalized derivatives. The second approach is by the radical addition of a xanthate to a vinyl ester, as shown in Scheme 4. This is an infinitely more powerful strategy because of the large number of available xanthates and the mild experimental conditions that accommodate many functional groups. Examples 31-59 assembled in Scheme 4 concern aliphatic and alicyclic derivatives (the literature reference where each compound is described is given in blue after the yield). The additions are simply accomplished by heating the xanthate and the vinyl ester in the solvent (most often EtOAc, 1,2-DCE, or cyclohexane) under an inert atmosphere at typically a 1 M concentration and adding the DLP portion-wise to initiate the process (DLP is di-lauroyl peroxide, also old under lauroyl peroxide, Laurox® or Luperox®). In Scheme 4 and in following schemes, wherever applicable, the diastereomeric ratio is approximately 1:1 unless otherwise indicated.
Ketones, protected or not, esters, nitriles, latent amines masked as phthalimides, phosphonates, nitriles, boronates, etc. can be present. α-Chloro- and α-dichloro-ketones 51 and 52 are particularly noteworthy in view of the sensitivity of these reactive motifs, especially the latter. In the case of di-xanthate 53, the xanthate next to the ketone (in green) can be used to accomplish a regioselective second radical addition to various alkenes, if so desired, without complications from the other xanthate (in blue). The radical derived from the “green” xanthate is stabilized by conjugation with the ketone and is easier to generate than the radical from the “blue” xanthate, which is the precursor of a less stabilized radical. This difference in relative stabilities is a powerful handle to control the order of additions. Indeed, this is how compound 54 was obtained, first by addition to allyl acetate (bonds colored in green) followed by the addition to vinyl acetate (bonds in red). Xanthates are unique in allowing a modular construction of densely functionalized complex structures by implementing multiple carbon-carbon bond forming processes.
Aromatic and heteroaromatic derivatives 62-81 of generic structure 61, with the exception of compound 78 which is not derived from a ketonyl xanthate, are presented in Scheme 5. As will be shown later in this review, many of these adducts were used to prepare tetralones and naphthalenes by using the xanthate group to accomplish a ring-closure onto the aromatic or heteroaromatic ring.
Most of the additions in Scheme 4 and Scheme 5 were performed on vinyl pivalate, in part because the yields are generally a somewhat higher than with vinyl acetate, presumably because unwanted oligomerization is slower and competes less with the desired mono-addition. Substituted alkenyl esters (60, R’≠ H) react sluggishly and the yields are significantly lower, as illustrated by adducts 74 and 80. A special case is that of vinylidene carbonate 82 (Scheme 6). It has a reasonable reactivity and leads to interesting, highly functional trans adducts 83 which can be converted into protected vicinal diols. Five examples are displayed in Scheme 5. In the case of adduct 87, the xanthate used to react with vinylidene carbonate 82 is itself derived by addition of O-ethyl-S-(1-cyano-1-methyl)propyl xanthate to vinyl phthalimide. The bond formed in this addition is colored in green.

3. Radical additions of S-α-(acyloxy)alkyl xanthates

The examples in the preceding Schemes give an idea of the range of functionalized structures of xanthates that can act as precursors for the corresponding α-(acyloxy)alkyl radicals. Their capture by an external alkene proceeds by the radical chain mechanism presented in Scheme 2. Implicit in this mechanistic manifold is the need for the starting radical 1 to be more stable than adduct radical 16 (neglecting for the moment polar factors), for otherwise the equilibrium between these two radicals, passing through intermediate 17, will favor the latter. The consequence is a significant unwanted oligomerization by further addition of adduct radical 16 to alkene 15. This untoward situation obtains in the case of the α-pivaloxymethyl xanthate 89 (Scheme 7) [21]. Its addition to allyl cyanide hardly produces any of the corresponding adduct 92 because primary radical 90 is not sufficiently stabilized by the pivaloxy group alone to make it more stable than adduct radical 91. The unfavorable equilibrium causes adduct radical 91 to accumulate leading to the predominant formation of oligomers (radical 93) and other side-products.
However, the difference in stability is slight and, once a substituent is introduced (i. e. 1, R’ ≠ H), the relative stabilities are reversed. The desired chain is now correctly propagated and furnishes the requisite addition products 18, as summarized by the generic equation at the top of Scheme 8. The reactions are carried out in the same manner as for the additions in Scheme 4, Scheme 5 and Scheme 6, namely by merely heating the xanthate and the alkene with portion-wise addition of the peroxide initiator. Examples 94-117 in Scheme 8 derive from the simpler xanthates in Scheme 3 (with the exception of cyclobutyl xanthate 26), which were obtained by chloroacetylation of aldehydes and ketones. Many of the synthetically most useful functional groups are tolerated on the alkene partner. The protected amines in examples 109 and 114, and the protected aldehyde and the free ketone in compounds 115 and 116 are especially noteworthy. Derivative 111 results from the addition-fragmentation of xanthate 29 to b-pinene.
Scheme 9 presents examples of additions of cyclobutyl xanthate 26 and xanthates bearing the cyclic carbonate motif found in Scheme 6. The alkene partners are similar to those in Scheme 8, with a few additional interesting ones, namely the presence of an epoxide in adduct 135, a 4-membered sulfone in adduct 136 and a (MIDA)boronate in adducts 137 and 141. The cyclic carbonate derivative 138 is in fact the result of three intermolecular additions with the creation of three new C—C bonds and one C—S bond (colored in green and red) and the modular combination of four different molecules. The xanthate was reductively removed to simplify the structure and spectral assignments. The yield given for sulfur-free product 139 is for the two steps which were telescoped. Incidentally, note that adduct 132 arises from addition of xanthate 26 to vinyl acetate and is thus also a precursor to an α-(acyloxy)alkyl radical. It could therefore in principle participate in a second radical addition if so desired. The moderate yield of adduct 132 is due to competing oligomerization.

4. Further additions and applications of S-α-(acyloxy)alkyl xanthates

Access to convenient precursors to α-(acyloxy)alkyl radicals and the ability to accomplish intermolecular additions to both activated and non-activated alkenes opens numerous synthetic opportunities. The sequence in Scheme 10 was used in a formal synthesis of (±)-complicatic and hirsutic acids [41]. The acetaldehyde derived xanthate 143 reacts with diene 142 to give bicycle 144 by consecutive addition, cyclisation, and xanthate transfer. Reductive removal of the xanthate using Barton’s hypophosphorous method, saponification, and oxidation with pyridinium chlorochromate (PCC) removes most of the chiral centers and results in the formation of two epimers 145a and 145b in a 2:1 ratio in favor of the desired epimer. The use of the bulkier benzoate 143 instead of acetate analogue 19 is to alter the final epimeric ratio in the right direction. The intermediates in this sequence were not purified as they consisted of complex diastereomeric mixtures. Treatment of the major epimer with base induces a Robinson type annulation to give triquinane 146. This compound had been converted by Matsumoto and co-workers into both (±)-complicatic and hirsutic acids 147a and 147b in 4 and 5 steps respectively [42].
The generation of α-(acyloxy)alkyl radicals by reaction of xanthates with vinyl esters and their capture by an internal alkene represents a versatile route to polycyclic architecture. The transformations displayed in Scheme 11 showcase the formation of 5-, 6-, and 7-membered rings and the construction of various bicyclic structures related to terpenes. In the first, adduct 152 from the addition of xanthate 151 to vinyl pivalate was isolated and the 6-endo cyclisation leading to trans-hydrindanone 153 accomplished in a separate step [15]. In the second, trans-hydrindanone 156 was prepared from xanthate 154 by a 5-exo cyclisation of intermediate radical 155, without isolation of the intermediate adduct [15]. Trans-hydrindanes are subunits of most natural steroids. They are thermodynamically less stable than the corresponding cis-epimers and their synthesis is rarely trivial. The two routes underscore the flexibility and modularity provided by this chemistry of xanthates.
The third and fourth examples concern the formation of trans-perhydroazulenone 159 and cis-decalin 162 from xanthates 157 and 160 by 7-endo and 6-exo cyclisation of intermediate α-(acyloxy)alkyl radicals 158 and 161, respectively [15,43]. Many more structural variations can be envisaged and, moreover, the pivalate group can be considered a latent ketone, and this opens up numerous possibilities for introducing further complexity. The presence of the xanthate is a particularly useful handle for additional modifications, even though in most cases it was simply reductively removed.
The α-(acyloxy)alkyl radicals generated from the aromatic adducts pictured in Scheme 5 can undergo ring closures on the aromatic motif. Two applications of this variant are outlined in Scheme 12. In the first, adduct 163 to vinyl acetate can be converted into tetralone 166 by simply heating with stoichiometric amounts of peroxide [31]. Under these conditions, α-(acetoxy)alkyl radical 164 is recreated and, in the absence of a competing external trap (apart from the solvent), undergoes cyclisation into cyclohexadienyl radical 165. This step is reversible and entails temporary loss of aromaticity, which is restored by oxidation of radical 165 to the corresponding cation (not shown) by electron transfer to the peroxide and subsequent loss of a proton. In this particular case, the hydrogen bonding between the ketone and the ortho hydroxy group freezes the conformation in a geometry that is propitious for ring closure. Saponification of the pendant acetate furnishes (±)-shinanolone 167.
A similar cyclisation of xanthate 72 affords tetralone 168, which was converted into (±)-norparvulenone in three steps [31,32]. These two total syntheses are not only the shortest to these natural products, but they prompt two observations. The first is the possibility of accomplishing both the intermolecular addition to vinyl pivalate and the cyclisation in the presence of the free phenol. Phenols are well-known radical inhibitors [44], yet the xanthate chemistry proceeds normally. A partial explanation is that the hydrogen bonding slows down in fact the rate of the phenolic hydrogen abstraction [45], allowing the desired radical steps to take place. The second observation is the fact that the cyclisation onto the aromatic ring can be viewed as the equivalent of an intramolecular Friedel-Crafts reaction, but accomplished under much milder, neutral conditions. Indeed, the substrates in Scheme 12 would not survive typical Friedel-Crafts conditions. This radical cyclisation onto aromatics and heteroaromatics deserves a greater attention from synthetic chemists.
The ability to access 4-acyloxytetralones by radical addition of phenacyl xanthates to vinyl esters followed by ring closure onto the aromatic ring opens up another synthetic application, namely the synthesis of naphthalenes by acid-catalyzed elimination of the acyloxy group. This approach is illustrated by the examples in Scheme 13 [46,47,48]. The addition and cyclisation are performed in the same flask since both steps use DLP as both the initiator and stoichiometric oxidant. In this manner, the reaction of xanthate 170 with vinyl pivalate provides tetralone 171 and heating with acid induces aromatization into naphthol 172 [46]. Amino-protected 1,2-naphtholamine 175 was prepared similarly from xanthate 173 via tetralone 174 [46]. The addition-cyclization starting with xanthate 176 benefits from an intramolecular hydrogen bonding in the same manner as for the phenolic derivatives in Scheme 12 [47]. This allows the synthesis of N-acetyl aminonaphthol 178. Reduction of the ketone in intermediate 177 prior to treatment with acid furnishes N-acetylamino-naphthalene 179 [47]. Many reactions besides reduction can in fact be performed on the intermediate tetralones before the elimination of the relatively robust pivalate group. These include bromination, addition of various organometallics to the ketone, Wittig-type condensations, etc. This results in a considerable expansion of the scope, making this method one of the most versatile routes to naphthalenes. Many additional examples can be found in a recent review on the subject [48].
The same strategy can be used to build other polycyclic aromatic structures. Examples of various tetrahydroquinolines are deployed in Scheme 14 [34]. In these cases, too, the intermediate adducts were not isolated and the addition-cyclisation was accomplished simultaneously. The presence of the acetate and carbonate groups in the products opens numerous possibilities for further transformation and diversification. This is an important asset for compounds that could be of pharmaceutical interests (note the relationship to benzazepinones of derivatives 184, 186, and 187).
Radical addition-cyclisation can be accomplished on heteroaromatic derivatives (Scheme 15). Xanthate 188 is made by addition of S-2-chloro(pyridyl-5-methyl) xanthate to vinylidene carbonate (Scheme 6). Further treatment with DLP in the presence of trifluoroacetic acid cause ring closure into azaindane 189, albeit in poor yield [38]. The weak performance is almost certainly due to the strain in the product caused by the fusion of two relatively flat 5-membered rings. Similar cyclisations with adducts of open-chain alkenes proceed significantly more efficiently. The protonation of the pyridine ring by the trifluoroacetic acid enhances the cyclisation, in line with the early observations of Minisci.
Starting with xanthate 189, addition-cyclisation with vinyl acetate and isopropenyl acetate furnish tricyclic indole derivatives 190 and 191, respectively, where a new 6-membered ring has been created [49]. The presence of a substituent on C–3 of the indole ring is necessary for an efficient cyclisation. The electron-withdrawing ester group in the present case, however, slows the rearomatization step through oxidation with the peroxide. It is therefore necessary to complete the aromatization by addition of manganese dioxide to the reaction mixture.
The cyclisation of adduct 81 to produce azepinone 194 is particularly interesting [35]. It is performed at the higher temperature of refluxing chlorobenzene (130 °C) in the presence of di-t-butyl peroxide (DTBP) and leads to the formation of a seven-membered ring. The ring closure of intermediate radical 192 proceeds with concomitant extrusion of a methylsulfonyl radical to give iminyl 193, which then tautomerizes to the desired product. This elimination restores the aromaticity of the pyridine ring and at the same time deprotects the nitrogen to give azepinone 194 with an unsubstituted nitrogen. The presence of a free site on the secondary lactam should allow the introduction of numerous groups and the building of libraries for biological testing. All the products in Scheme 15 are medicinally relevant.
Intermolecular addition to certain heteroaromatics is often possible with xanthates, and the addition of α-(acyloxy)alkyl radicals is no exception. This convergent Minisci-type approach can be quite powerful for the late-stage modification of biologically active substances and for the optimization of their pharmacological profile. This is illustrated by the transformations involving pyrazine substrates displayed in Scheme 16. Thus, the reaction of xanthates 58 and 59 with pyrazine 195 proceeds regioselectively to give compounds 196 and 197 [29]. The latter example is quite spectacular, as it would be exceedingly tedious to make by other chemistries. In the case of symmetrical pyrazine 198, successive reactions with xanthates 199 and 58 furnish unsymmetrical pyrazine 201 [29].
Examples of additions of cyclobutyl xanthate 26 to a variety of heteraromatics are also assembled in Scheme 16 [10]. The yields are variable, and basic heteroaromatics required activation by addition of camphorsulfonic acid; nevertheless, a collection of otherwise difficultly accessible series of compounds could be rapidly prepared for an eventual biological screening. Interestingly, adducts 210 and 211 derive from caffein and nicotine, respectively.
α-(Acyloxy)alkyl radicals can participate in different reaction modes, namely a variety of addition-fragmentation processes. The first transformation in Scheme 17 is an example involving a vinyl epoxide [50]. Thus, portion-wise addition of triethylborane to a stirring solution of xanthate 64 and the monoepoxide of butadiene in dichloromethane at room temperature and injection of small quantities of air results in the formation allylic alcohol 212 in good yield. It is interesting that, in the present case, one obtains a regioselectively protected diol: an unprotected allylic alcohol and a pivalate protected homoallylic alcohol.
This reaction is based on earlier studies by Brown [51] and Oshima [52] and proceeds by way of alkoxy radical 213, which is captured by the triethylborane to give borinate 214 and an ethyl radical that propagates the chain by attacking the starting xanthate. The borinate is hydrolyzed during workup. The same reaction starting from xanthate 86 furnishes allylic alcohol 215. The allylation of xanthates with vinyl epoxides mediated by triethylborane has a much broader scope than earlier work with other substrates such as iodides [52].
We discovered an even more powerful allylation method using allylic alcohols as the radical allylating agents. Normally, b-fragmentation of C–O bonds by homolysis is difficult because such bonds are strong and the alkoxy radical generated is a high energy species. This feature is very valuable for the modification of carbohydrates where C–O bonds are abundant. Epoxides constitute of course a notable exception, as the ring opening to give alkoxy radicals is exceedingly fast. b-Lactones also rapidly fragment [53]. In both cases, the driving force is the relief of the strain contained in such small rings. With unstrained acyloxy groups, the b-fragmentation is too slow to be synthetically useful. However, we found that with fluoropyridyloxy derivatives, the fragmentation is sufficiently accelerated that, in combination with the relatively long lifetime of radicals produced via xanthates, it becomes feasible, with far reaching consequences [54]. Two examples are shown in Scheme 17. In the first, xanthate 27 reacts with allyl fluoropyridyloxy derivative 216 by an addition-fragmentation sequence to give tetrasubstituted alkene 217 [55]. In the second, addition-fragmentation to vinyl (MIDA)boronate 218 furnishes compound 219 with a 4:1 stereoselectivity in favor of the less hindered Z-isomer [56].
The formation of tetrasubstituted alkenes, such as 217, is not easy to accomplish using classical reactions such as the Wittig condensation. The present approach provides a simple solution to this synthetic difficulty. It also allows the construction of functional alkenes which could then be further elaborated, through the powerful Suzuki coupling in the case of vinyl (MIDA)boronate 218. Other interesting examples are provided in Scheme 18. For instance, xanthate 220, itself made by addition of mesityl oxide derived xanthate to vinyl pivalate, reacts with fluoropyridyloxy derivative 221 leads to sulfone 222 with essentially total stereoselectivity [57]. Such vinylsulfones can be reductively desulfonylated with retention of configuration using sodium dithionite (the Julia method), thus opening a convenient access to Z-alkenes.
By placing an ethoxy group on the alkene partner, as in compound 223, then the addition-fragmentation of an α-(acyloxy)alkyl xanthate such as 58 leads to ethoxyvinyl adduct 224, which can be hydrolyzed with aqueous acid into ketone 225 [58]. Treatment with DBU then induces elimination of the acetate to give α,b-unsaturated ketone 226. Thus, both saturated and unsaturated ketones can be obtained by this approach. Two additional examples, 227 and 228, are shown at the bottom of Scheme 18.
A similar strategy was applied earlier by Lee and Kim using the more traditional allyl sulfone 229 as the allylating agent (Scheme 19) [4]. Its reaction with xanthate 25 leads to enol acetate 230 which, upon saponification gives directly enone 231. Enones 232 and 233 were prepared by the same procedure. This approach is efficient and should work equally with more elaborate xanthate precursors of α-(acyloxy)alkyl radicals. It suffers, however, from limitations in the structural diversity of the allylating agent. Allylsulfones substituted at the carbon bearing the sulfonyl group are prone to isomerization by a radical chain process, as indicated in the box in Scheme 19 [59].
Vinylation using vinyl sulfones is also possible. This variant is illustrated by the synthesis of a variety of trifluoromethyl enol carbonates 236-244 using readily available reagent 234 [60]. The reaction is conducted in refluxing chlorobenzene with di-t-butyl peroxide as the initiator. The ethylsulfonyl radical that is extruded in the fragmentation step loses sulfur dioxide to give an ethyl radical that propagates the chain. The adducts are latent enones that can be revealed by heating briefly in a microwave oven with lithium iodide in acetic acid. Two α,b-unsaturated trifluoromethylketones, 245 and 246, were also thus obtained.
Scheme 20. Addition-fragmentation of α-(acyloxy)alkyl radicals to vinylsulfones.
Scheme 20. Addition-fragmentation of α-(acyloxy)alkyl radicals to vinylsulfones.
Preprints 88180 sch020

5. Concluding remarks

The addition of xanthates to vinyl esters already represents a powerful synthetic tool [61]. For instance, adducts from α-ketonyl xanthates are convenient precursors for pyrroles and thiophenes [13,14]. The ability to use these adducts as precursors of α-(acyloxy)alkyl radicals in a second inter- or intra-molecular addition allows a rapid increase in complexity and opens further synthetic opportunities through subsequent ionic transformations. Some examples are assembled in Scheme 21. These also include cases where the starting xanthate was prepared directly from an aldehyde or a ketone. Thus, reductive removal of the xanthate from adduct 109 and unmasking of the amine causes spontaneous ring closure to give eight-membered lactam 248 [9]. Adducts 250 and 252 from the addition of xanthates 249 and 27 to allylcyanide undergo base induced b-elimination of both the xanthate and the pivalate groups upon exposure to DBU to afford dienenitriles 251 and 253, respectively. Finally, heating adducts 100 and 101 with concentrated HCl in refluxing ethanol gives rise to unsaturated lactones 255 and 257 via lactones 254 and 256 from which the xanthate is eliminated in a slower step. It is worth pointing out the much greater stability of a xanthate to acidic condition as compared to an ester.
The foregoing examples give an idea of the synthetic possibilities of α-(acyloxy)alkyl radicals 1 generated from their xanthate precursors 13. This path to ester protected carbinols is complementary to ionic routes, which rely heavily on the addition of organometallic nucleophiles to aldehydes and ketones. In view of the mild nucleophilic character of α-(acyloxy)alkyl radicals 1, the present approach represents in a sense an “umpolung” of aldehydes and ketones since these are normally the electrophilic or acceptor partner in ionic additions. However, α-(acyloxy)alkyl radicals 1 exhibit a broader reactivity because they are able to add to electrophilic partners with complementary polarity and to unactivated, electronically unbiased alkenes. This is made possible by the increased lifetime provided by the xanthate to the various active radicals and the lowering of their absolute concentration in the medium, which limits unwanted radical-radical interactions and indirectly favors the desired addition to the alkene despite the relatively slow rates. Another enormous advantage is the tolerance for polar functional group which usually require protection in ionic or organometallic settings. This is nicely encapsulated by the success of reactions leading to compounds 197 and 244 and involving heavily functionalized steroid 59, itself prepared by addition of the xanthate precursor to vinyl pivalate. Such compounds would be exceedingly hard to make by other chemistries

Acknowledgments

We are greatly indebted to our co-workers, whose names appear in the references, and who made this chemistry possible by their dedication, skill, and enthusiasm. We also thank the following organisations and companies who have provided financial support over the years: Ecole Polytechnique, CNRS, DGA, MNRT, ANR, CONACyT, the EEC, the Ministerio de Educación, Cultura y Deporte (Spain), the Fondation Alfred Kastler, The China Research Council, Aventis (now Sanofi), Rhodia (now Solvay), Bayer S. A. S., L’Oréal, Laboratoires Servier, and Syngenta.

Conflicts of Interest

The authors declare no conflict of interest.

References

  1. Neuenschwander, M.; Bigler, P.; Christen, K.; Iseli, R.; Kyburz, R.; Mohle, H. ‘Chloracylierung und Bromacylierung von Carbonylverbindungen: Eine in Vergessenheit geratene Carbonylreaktion. I. Präparative Anwendungsbreite’. Helv. Chim. Acta 1978, 61, 2047–2058. [Google Scholar] [CrossRef]
  2. Chou, T.-S.; Knochel, P. A General Preparation of Highly Functionalized Zinc and Copper Organometallics at the a-Position to an Oxygen. J. Org. Chem. 1990, 55, 4791–4793. [Google Scholar] [CrossRef]
  3. Giese, B.; Damm, W.; Dickhaut, J.; Wetterich, F.; Sun, S.; Curran, D.P. Cram’s Rule for Radical Reactions. Tetrahedron Lett. 1991, 32, 6097–6100. [Google Scholar] [CrossRef]
  4. Lee J., Y.; Kim, S. Tin-free Radical Allylation of a-Acetoxy Alkyl Xanthates. Routes to Homoallyl Alcohols and a,b-Unsaturated Ketones. Bull. Korean Chem. Soc. 2006, 27, 189–190. [Google Scholar]
  5. Quiclet-Sire, B.; Zard, S.Z. Fun with Radicals: Some New Perspectives for Organic Synthesis. Pure & Appl. Chem. 2011, 83, 519–551. [Google Scholar]
  6. Quiclet-Sire, B.; Zard, S.Z. On the Strategic Impact of the Degenerative Transfer of Xanthates on Synthetic Planning. Isr. J. Chem. 2017, 57, 202–217. [Google Scholar] [CrossRef]
  7. Zard, S.Z. Radical Alliances: Solutions and Opportunities for Organic Synthesis. Helv. Chim. Acta 2019, 102, e1900134. [Google Scholar] [CrossRef]
  8. Zard, S.Z. Discovery of the RAFT/MADIX Process. Mechanistic Insights and Polymer Chemistry Implications. Macromolecules 2020, 53, 8144–8159. [Google Scholar] [CrossRef]
  9. Bagal, S.K.; Tournier, L.; Zard, S.Z. Radicals from Aldehydes. A Convergent Access to Dienes and Unsaturated δ-Lactones. Synlett 2006, 1485–1490. [Google Scholar]
  10. Revil-Baudard, V.L.; Zard, S.Z. A Practical Route to Cyclobutanols and to Fluorocyclobutanes. Helv. Chim. Acta 2021, 104, e2100106. [Google Scholar] [CrossRef]
  11. Tournier, L.; Zard, S.Z. A Direct Approach to α-Hydroxy- and α-Chloro-Trifluoromethyl Derivatives. Tetrahedron Lett. 2005, 46, 455–459. [Google Scholar] [CrossRef]
  12. Salomon, P.; Kosnik, W.; Zard, S.Z. A Convergent, Modular Access to α-Chloro-Trifluoromethyl Derivatives and to 1,1-Difluoroalkenes. Tetrahedron 2015, 71, 7144–7153. [Google Scholar] [CrossRef]
  13. Quiclet-Sire, B.; Quintero, L.; Sanchez-Jimenez, G.; Zard, S.Z. A New Practical Variant of the Paal-Knorr Synthesis of Pyrroles. Synlett 2003, 75–78. [Google Scholar]
  14. Jullien, H.; Quiclet-Sire, B.; Tétart, T.; Zard, S.Z. Convergent Routes to Thiophenes. Org. Lett. 2014, 16, 302–305. [Google Scholar] [CrossRef]
  15. Bieszczad, B.; Chen, X.; Zard, S.Z. An Ionic-Radical Approach to Vicinally Functionalized Cyclopentanones and Cyclohexanones. Org. Lett. 2022, 24, 9370–9374. [Google Scholar] [CrossRef]
  16. Binot, G.; Quiclet-Sire, B.; Saleh, T.; Zard, S.Z. A Convergent Construction of Quaternary Centres and Polycyclic Structures. Synlett 2003, 382–386. [Google Scholar]
  17. Binot, G.; Zard, S.Z. Intermolecular Additions of Cyclobutanone Derived Radicals. A Convergent, Highly Efficient Access to Polycyclic Cyclobutane Containing Structures. Tetrahedron Lett. 2003, 44, 7703–7706. [Google Scholar] [CrossRef]
  18. Gagosz, F.; Zard, S.Z. A Direct Approach to α-Trifluoromethylamines. Org. Lett. 2003, 5, 2655–2657. [Google Scholar] [CrossRef]
  19. Qin, L.; Zard, S.Z. A Radical Based Route to 2-(Trifluoromethyl)-1,3,4-oxadiazoles and to Trifluoromethyl-Substituted Polycyclic 1,2,4-Triazoles and Dihydrofuran. Org. Lett. 2015, 17, 1577–1580. [Google Scholar] [CrossRef]
  20. Chen, X.; Zard, S.Z. A Convergent Route to β-Amino Acids and to β-Heteroarylethylamines: An Unexpected Vinylation Reaction. Org. Lett. 2020, 22, 3628–3632. [Google Scholar] [CrossRef]
  21. Quiclet-Sire, B.; Zard, S.Z. A Radical Aminomethylation of Alkenes. Org. Lett. 2008, 10, 3279–3282. [Google Scholar] [CrossRef]
  22. Heinrich, M.; Zard, S.Z. The Generation and Intermolecular Capture of Cyclopropylacyl Radicals. Org. Lett. 2004, 6, 4969–4972. [Google Scholar] [CrossRef] [PubMed]
  23. Bergeot, O.; Corsi, C.; El Qacemi, M.; Zard, S.Z. S-(3-Chloro-2-oxo-propyl)-O-ethyl Xanthate: A Linchpin Radical Coupling Agent for the Synthesis of Heterocyclic and Polycyclic Compounds. Org. Biomol. Chem. 2006, 4, 278–290. [Google Scholar] [CrossRef] [PubMed]
  24. Anthore, L.; Li, S.; White, L.V.; Zard, S.Z. A Radical Solution to the Alkylation of the Highly Base-Sensitive 1,1-Dichloroacetone. Application to the Synthesis of Z-alkenoates and E, E-dienoates. Org. Lett. 2015, 17, 5320–5323. [Google Scholar] [CrossRef]
  25. Anthore-Dalion, L.; Liu, Q.; Zard, S.Z. A Radical Bidirectional Fragment Coupling Route to Unsymmetrical Ketones. J. Am. Chem. Soc. 2016, 138, 8404–8407. [Google Scholar] [CrossRef] [PubMed]
  26. Mougin, C.; Sançon, J.; Zard, S.Z. A Practical Route to Substituted Pyrazines, Quinoxalines, and an Unusual Synthesis of Benzimidazoles. Heterocycles 2007, 74, 211–218. [Google Scholar]
  27. Corbet, M.; de Greef, M.; Zard, S.Z. A Highly Conjunctive β-Keto Phosphonate: Application to the Synthesis of Pyridine Alkaloids Xestamines C, E, and H. Org. Lett. 2008, 10, 253–256. [Google Scholar] [CrossRef]
  28. Qiao, H.; Michalland, J.; Huang, Q.; Zard, S.Z. A Versatile Route to Acyl (MIDA)boronates. Chem. Eur. J. 2023, 29, e202302235. [Google Scholar] [CrossRef]
  29. Huang, Q.; Qin, L.; Zard, S.Z. Xanthate Mediated Intermolecular Alkylation of Pyrazines. Tetrahedron 2018, 74, 5804–5817. [Google Scholar] [CrossRef]
  30. Cordero-Vargas, A.; Quiclet-Sire, B.; Zard, S.Z. A Practical Method for the Preparation of Substituted Benzazepines: Application to the Synthesis of Tolvaptan. Bioorg. Med. Chem. 2006, 14, 6165–6173. [Google Scholar] [CrossRef]
  31. Petit, L.; Zard, S.Z. A Radical-Based Approach to Hydroxytetralones from Unprotected Phenols. Chem. Commun. 2010, 46, 5148–5150. [Google Scholar] [CrossRef] [PubMed]
  32. Cordero Vargas, A.; Quiclet-Sire, B.; Zard, S.Z. Total Synthesis of 10-Norparvulenone and of O-Methylasparvenone Using a Xanthate-Mediated Free Radical Addition-Cyclisation Sequence. Org. Lett. 2003, 5, 3717–3719. [Google Scholar] [CrossRef] [PubMed]
  33. Quiclet-Sire, B.; Sanchez-Jimenez, G.; Zard, S.Z. A New, Unexpected Synthesis of 1,3-Dithietanones. Chem. Commun. 2003, 1408–1409. [Google Scholar] [CrossRef] [PubMed]
  34. Lebreux, F.; Quiclet-Sire, B.; Zard, S.Z. Radical Arylaminomethylation of Unactivated Alkenes. Org. Lett. 2009, 11, 2844–2847. [Google Scholar] [CrossRef] [PubMed]
  35. Dorokhov, V.S.; Zard, S.Z. Modular Approach to Pyridoazepinones. Org. Lett. 2021, 23, 2164–2168. [Google Scholar] [CrossRef]
  36. Quiclet-Sire, B.; Revol, G.; Zard, S.Z. Functional Primary Amines and Diamines from α-Aminoacids. A Concise Route to Substituted 2-Aminotetralins. Org. Lett. 2009, 11, 3554–3557. [Google Scholar] [CrossRef]
  37. Quiclet-Sire, B.; Revol, G.; Zard, S.Z. A Convergent, Modular Approach to Complex Amines. Tetrahedron 2010, 66, 6656–6666. [Google Scholar] [CrossRef]
  38. Huang, Q.; Zard, S.Z. A Modular Route to Azaindanes. Org. Lett. 2017, 19, 3895–3898. [Google Scholar] [CrossRef] [PubMed]
  39. Quiclet-Sire, B.; Yanagisawa, Y.; Zard, S.Z. A Direct, Versatile Route to Functionalized Trialkoxysilanes. Chem. Commun. 2014, 50, 2324–2326. [Google Scholar] [CrossRef]
  40. Quiclet-Sire, B.; Zard, S.Z. Radical Instability in Aid of Efficiency. A Powerful Route to Highly Functional MIDA Boronates. J. Am. Chem. Soc. 2015, 137, 6762–6765. [Google Scholar] [CrossRef] [PubMed]
  41. Fuchs, C.; Revol, G.; Zard, S.Z. A Short Formal Total Synthesis of (±)-Hirsutic Acid. Can. J. Chem. 2012, 90, 927–931. [Google Scholar]
  42. Hashimoto, H.; Tsuzuki, K.; Sakan, F.; Shirahama, H.; Matsumoto, T. Total synthesis of dl-hirsutic acid. Tetrahedron Lett. 1974, 15, 3745–3748. [Google Scholar] [CrossRef]
  43. Heng, R.; Zard, S.Z. A flexible, Unified Approach to Polycyclic Structures. Org. Biomol. Chem. 2011, 9, 3396–3404. [Google Scholar] [CrossRef] [PubMed]
  44. Ingold, K.U.; Pratt, D.A. Advances in Radical-Trapping Antioxidant Chemistry in the 21st Century: A Kinetics and Mechanisms Perspective. Chem. Rev. 2014, 114, 9022–9046. [Google Scholar] [CrossRef] [PubMed]
  45. Avila, D.V.; Ingold, K.U.; Lusztyk, J.; Green, W.H.; Procopio, D.R. Dramatic Solvent Effects on the Absolute Rate Constants for Abstraction of the Hydroxylic Hydrogen Atom from tert-Butyl Hydroperoxide and Phenol by the Cumyloxyl Radical. The Role of Hydrogen Bonding. J. Am. Chem. Soc. 1995, 117, 2929–2930. [Google Scholar] [CrossRef]
  46. Cordero-Vargas, A.; Pérez-Martin, I.; Quiclet-Sire, B.; Zard, S.Z. Synthesis of Substituted Naphthalenes from α-Tetralones Generated by a Xanthate Radical Addition-Cyclisation Sequence. Org. Biomol. Chem. 2004, 2, 3018–3025. [Google Scholar] [CrossRef] [PubMed]
  47. Tran, N.D.M.; Zard, S.Z. Convergent Routes to Substituted Naphthylamides. Org. Biomol. Chem. 2014, 12, 3251–3264. [Google Scholar] [CrossRef] [PubMed]
  48. Quiclet-Sire, B.; Zard, S.Z. The Xanthate Route to Tetralones, Tetralins, and Naphthalenes. A Brief Account. Org. Biomol. Chem. 2023, 21, 910–924. [Google Scholar] [CrossRef] [PubMed]
  49. Biéchy, A.; Zard, S.Z. A Flexible, Convergent Approach to Polycyclic Indole Structures: Formal Synthesis of (±)-Mersicarpine. Org. Lett. 2009, 11, 2800–2803. [Google Scholar] [CrossRef]
  50. Charrier, N.; Gravestock, D.; Zard, S.Z. Radical Additions of Xanthates to Vinyl Epoxides and Related derivatives: A Powerful Tool for the Modular Creation of Quaternary Centres. Angew. Chem. Int. Ed. Eng. 2006, 45, 6520–6523. [Google Scholar] [CrossRef]
  51. Suzuki, A.; Miyaura, N.; Itoh, M.; Brown, H.C.; Holland, G.W.; Negishi, E.-I. New four-carbon-atom homologation involving the free-radical chain reaction of 1,3-butadiene monoxide with organoboranes. Synthesis of 4-alkyl-2-buten-1-ols from olefins via hydroboration. J. Am. Chem. Soc. 1971, 93, 2792–2793. [Google Scholar]
  52. Ichinose, Y.; Oshima, K.; Utimoto, K. Et3B-Induced Radical Reaction of 1,3-Diene Monoxide with C6F13I, PhSH, or Ph3GeH. Chem. Lett. 1988, 17, 1437–1440. [Google Scholar] [CrossRef]
  53. Crich, D.; Mo, X.-S. Free Radical Chemistry of β-Lactones. Arrhenius Parameters for the Decarboxylative Cleavage and Ring Expansion of 2-Oxetanon-4-ylcarbinyl Radicals. Facilitation of Chain Propagation by Catalytic Benzeneselenol. J. Am. Chem. Soc. 1998, 120, 8298–8304. [Google Scholar] [CrossRef]
  54. Debien, L.; Quiclet-Sire, B.; Zard, S.Z. Allylic Alcohols: Ideal Radical Allylating Agents? Acc. Chem. Res. 2015, 48, 1237–1253. [Google Scholar] [CrossRef] [PubMed]
  55. Charrier, N.; Quiclet-Sire, B.; Zard, S.Z. Allylic Alcohols as Radical Allylating Agents. An Overall Olefination of Aldehydes and Ketones. J. Am. Chem. Soc. 2008, 130, 8898–8899. [Google Scholar] [CrossRef] [PubMed]
  56. Michalland, J.; Zard, S.Z. A Convergent, Stereoselective Route to Trisubstituted Alkenyl Boronates. Org. Lett. 2021, 23, 8018–8022. [Google Scholar] [CrossRef]
  57. Braun, M.-G.; Quiclet-Sire, B.; Zard, S.Z. A Highly Stereoselective, Modular Route to (E)-Vinylsulfones and to (Z)- and (E)-Alkenes. J. Am. Chem. Soc. 2011, 133, 15954–15957. [Google Scholar] [CrossRef] [PubMed]
  58. Debien, L.; Quiclet-Sire, B.; Zard, S.Z. A Modular Approach to Saturated and α, β-Unsaturated Ketones. Org. Lett. 2011, 13, 5676–5679. [Google Scholar] [CrossRef] [PubMed]
  59. Charrier, N.; Zard, S.Z. Radical Allylation with α-Branched Allyl Sulfones. Angew. Chem. Int. Ed. 2008, 47, 9443–9446. [Google Scholar] [CrossRef]
  60. Anthore, L.; Zard, S.Z. A Convergent Radical Based Route to Trifluoromethyl Ketones and to α, β–Unsaturated Trifluoromethyl Ketones. Org. Lett. 2015, 17, 3058–3061. [Google Scholar] [CrossRef]
  61. Quiclet-Sire, B.; Zard, S.Z. Xanthates and Vinyl Esters, a Remarkably Powerful Alliance. Heterocycles 2019, 99, 742–765. [Google Scholar]
Scheme 1. α-(Acyloxy)alkyl radicals and early examples of additions.
Scheme 1. α-(Acyloxy)alkyl radicals and early examples of additions.
Preprints 88180 sch001
Scheme 2. Mechanism of addition of α-(acyloxy)alkyl xanthates to alkenes.
Scheme 2. Mechanism of addition of α-(acyloxy)alkyl xanthates to alkenes.
Preprints 88180 sch002
Scheme 3. Synthesis of α-(acyloxy)alkyl xanthates from aldehydes and ketones.
Scheme 3. Synthesis of α-(acyloxy)alkyl xanthates from aldehydes and ketones.
Preprints 88180 sch003
Scheme 4. Synthesis of aliphatic and alicyclic α-(acyloxy)alkyl xanthates by radical addition to vinyl esters. Xa = -SC(=S)OEt; Piv = pivalate; Bz = benzoate; PhthN = phthalimido.
Scheme 4. Synthesis of aliphatic and alicyclic α-(acyloxy)alkyl xanthates by radical addition to vinyl esters. Xa = -SC(=S)OEt; Piv = pivalate; Bz = benzoate; PhthN = phthalimido.
Preprints 88180 sch004
Scheme 5. Synthesis of (hetero)aromatic α-(acyloxy)alkyl xanthates by radical addition to vinyl esters.
Scheme 5. Synthesis of (hetero)aromatic α-(acyloxy)alkyl xanthates by radical addition to vinyl esters.
Preprints 88180 sch005
Scheme 6. Synthesis of α-(acyloxy)alkyl xanthates by radical addition to vinylidene carbonate.
Scheme 6. Synthesis of α-(acyloxy)alkyl xanthates by radical addition to vinylidene carbonate.
Preprints 88180 sch006
Scheme 7. Failed addition of a primary α-(acyloxy)alkyl xanthate due to unfavorable relative stabilities of the intermediate radicals.
Scheme 7. Failed addition of a primary α-(acyloxy)alkyl xanthate due to unfavorable relative stabilities of the intermediate radicals.
Preprints 88180 sch007
Scheme 8. Addition of α-(acyloxy)alkyl xanthates to various alkenes.
Scheme 8. Addition of α-(acyloxy)alkyl xanthates to various alkenes.
Preprints 88180 sch008
Scheme 9. Further examples of addition of α-(acyloxy)alkyl xanthates to various alkenes.
Scheme 9. Further examples of addition of α-(acyloxy)alkyl xanthates to various alkenes.
Preprints 88180 sch009
Scheme 10. A formal total synthesis of (±)-complicatic and hirsutic acids.
Scheme 10. A formal total synthesis of (±)-complicatic and hirsutic acids.
Preprints 88180 sch010
Scheme 11. Bicyclic structures by generation and ring-closure of α-(acyloxy)alkyl radicals.
Scheme 11. Bicyclic structures by generation and ring-closure of α-(acyloxy)alkyl radicals.
Preprints 88180 sch011
Scheme 12. Total synthesis of 4-hydroxytetralone natural products.
Scheme 12. Total synthesis of 4-hydroxytetralone natural products.
Preprints 88180 sch012
Scheme 13. A convergent route to naphthalenes.
Scheme 13. A convergent route to naphthalenes.
Preprints 88180 sch013
Scheme 14. Further additions to vinyl esters and cyclisations onto aromatics.
Scheme 14. Further additions to vinyl esters and cyclisations onto aromatics.
Preprints 88180 sch014
Scheme 15. Additions to vinyl esters and cyclisations onto heteroaromatics.
Scheme 15. Additions to vinyl esters and cyclisations onto heteroaromatics.
Preprints 88180 sch015
Scheme 16. Intermolecular additions of α-(acyloxy)alkyl radicals onto heteroaromatics. .
Scheme 16. Intermolecular additions of α-(acyloxy)alkyl radicals onto heteroaromatics. .
Preprints 88180 sch016
Scheme 17. Addition-fragmentation involving α-(acyloxy)alkyl radicals.
Scheme 17. Addition-fragmentation involving α-(acyloxy)alkyl radicals.
Preprints 88180 sch017
Scheme 18. Further examples of addition-fragmentation of α-(acyloxy)alkyl radicals.
Scheme 18. Further examples of addition-fragmentation of α-(acyloxy)alkyl radicals.
Preprints 88180 sch018
Scheme 19. Addition-fragmentation of to allylsulfones α-(acyloxy)alkyl radicals.
Scheme 19. Addition-fragmentation of to allylsulfones α-(acyloxy)alkyl radicals.
Preprints 88180 sch019
Scheme 21. Examples of further transformations of adducts of α-(acyloxy)alkyl radicals.
Scheme 21. Examples of further transformations of adducts of α-(acyloxy)alkyl radicals.
Preprints 88180 sch021
Disclaimer/Publisher’s Note: The statements, opinions and data contained in all publications are solely those of the individual author(s) and contributor(s) and not of MDPI and/or the editor(s). MDPI and/or the editor(s) disclaim responsibility for any injury to people or property resulting from any ideas, methods, instructions or products referred to in the content.
Copyright: This open access article is published under a Creative Commons CC BY 4.0 license, which permit the free download, distribution, and reuse, provided that the author and preprint are cited in any reuse.
Prerpints.org logo

Preprints.org is a free preprint server supported by MDPI in Basel, Switzerland.

Subscribe

Disclaimer

Terms of Use

Privacy Policy

Privacy Settings

© 2026 MDPI (Basel, Switzerland) unless otherwise stated