Submitted:
17 October 2023
Posted:
17 October 2023
Read the latest preprint version here
Abstract
Keywords:
Introduction
The Historical Context
Early Developments in Therapeutic Neurofeedback
Working Models
The Trauma Model
“PTSD [Post-Traumatic Stress Disorder] and Traumatic Brain Injury are the leading cause of sustained physical, neurological, cognitive, and behavioral deficits in military personnel and the civilian population.”Mingxiong Huang, PhD (Presentation at Combat Operational Stress Conference, 2010)
The Dysregulation Cascade
The Causal Chain
The Regulatory Hierarchy as Therapeutic Hierarchy
The Method
Cerebral Stability
Arousal Regulation
Autonomic Regulation
Affect Regulation
Executive Function
Left Parietal Heteromodal Cortex
Synchrony Training in the ILF Regime
The Frequency Domain
Extension of Training into the Infra-Low Frequency Domain
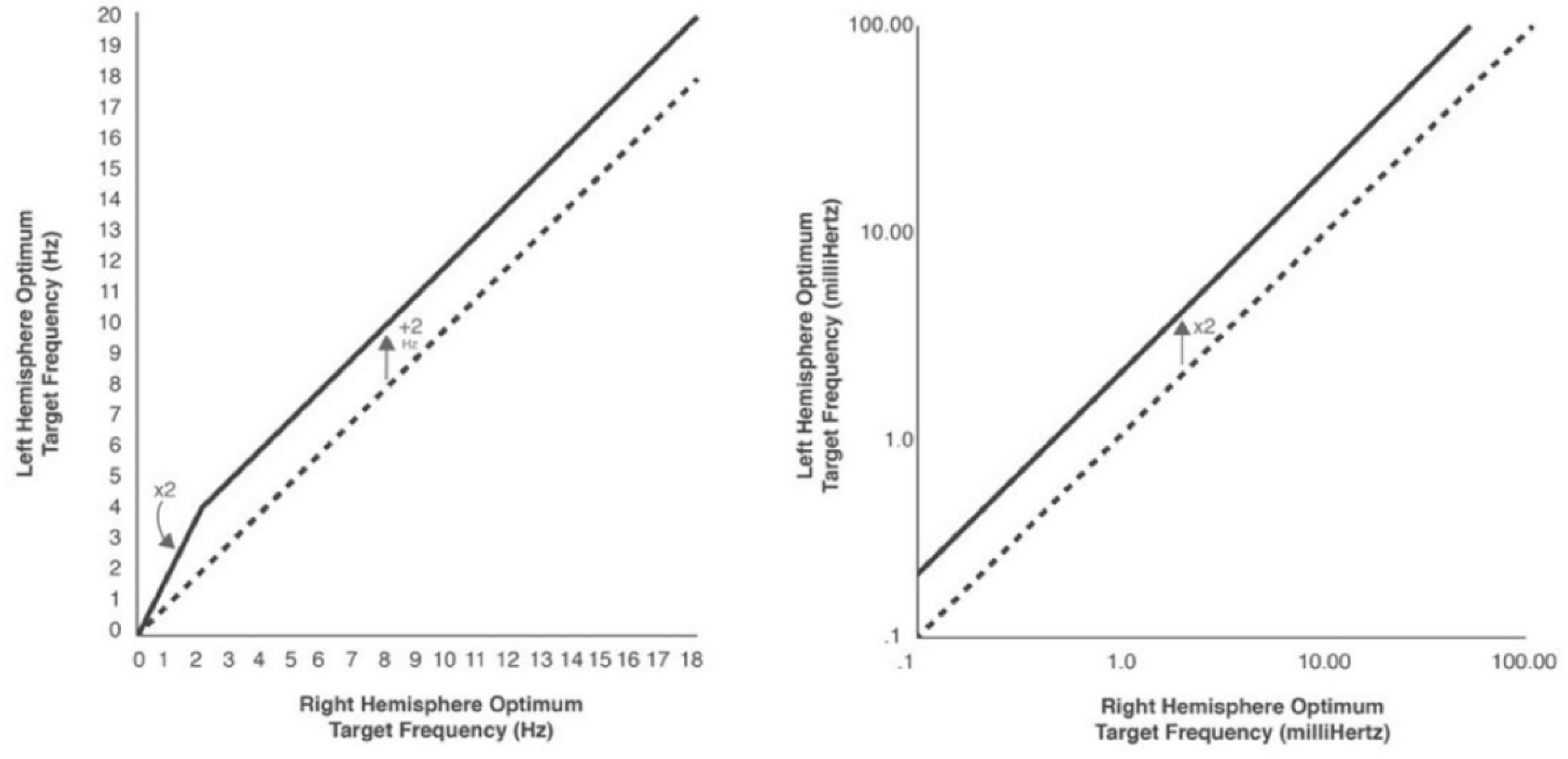
Optimal Response Frequency: A Resonance Phenomenon
The Frequency Rules
Mechanisms Implications
The Neurofeedback Therapist’s ‘Systems Perspective’ and its Foundations
Foundational Research
Results
Conclusion
Author Contributions
Funding
Institutional Review Board Statement
Informed Consent Statement
Data Availability Statement
Acknowledgments
Conflict of Interest
References
- Aladjalova, N.A. (1964). Slow Electrical Processes in the Brain. Elsevier.
- Bagdasaryan, J. and Le Van Quyen, M. (2013). Experiencing your brain: Neurofeedback as a new bridge between neuroscience and phenomenology. Frontiers in Human Neuroscience, 7 (680), 1-10. [CrossRef]
- Barnea, A., Rassis, A., Raz, A., Othmer, S., Zaidel, E. (2004). Effects of Neurofeedback on Hemispheric Attention Networks, Brain and Cognition, (November 2004). [CrossRef]
- Bazzana F, Finzi S, Di Fini G, Veglia F (2022). Infra-Low Frequency Neurofeedback: A systematic mixed studies review. Front. Hum. Neurosci. 16:920659. [CrossRef]
- Beggs, J.M. and Plenz, D. (2003) Neuronal avalanches in neocortical circuits. J Neurosci, 23(35):11167-77. [CrossRef]
- Benioudakis, E.S., Kountzaki, S., Batzou, K., Markogiannaki, K., Seliniotaki, T., Darakis, E., Saridaki, M., Vergoti, A., and Nestoros, J.N. (2016). Can Neurofeedback Decrease Anxiety and Fear in Cancer Patients, Postepy Psychiatrii i Neurologii 25(1), 59-65. [CrossRef]
- Birbaumer, N., Elbert, T., Canavan, A.G.M., Rockstroh, B. (1990) Slow Potentials of the Cerebral Cortex and Behavior, Physiological Reviews, 70(1), 1-41. [CrossRef]
- Birbaumer, N. (1999). Slow cortical potentials: Plasticity, operant control, and behavioral effects. The Neuroscientist, 5, 74–78. [CrossRef]
- Brown, B.B. (1974). New Mind, New Body: Bio-Feedback: New Directions for the Mind, Harper and Row, New York.
- Brown, D.W., Anda, R.F., Tiemeier, H., Felitti, V.J., & Edwards, V.J., Croft, J.B. Giles, W.H. (2009). Adverse Childhood Experiences and the Risk of Premature Mortality, Am. J. Preventive Med. 37(5), 389-396. [CrossRef]
- Buckner, R.L., Andrews-Hanna, J.R., Schacter, D.L. (2008). The brain's default network: Anatomy, function, and relevance to disease. Ann N Y Acad Sci. 1124(1), 1-38. [CrossRef]
- Buzsáki, G. and Watson, B.O. (2012). Brain rhythms and neural syntax: Implications for efficient coding of cognitive content and neuropsychiatric disease. Dialogues in Clinical Neuroscience, 14(4): 345-367. [CrossRef]
- Carlson, J., and Ross, G. W. (2021). Neurofeedback impact on chronic headache, sleep, and attention disorders experienced by veterans with mild traumatic brain injury: A pilot study. Biofeedback 49, 2–9. [CrossRef]
- Chiron, C., Jambaque, I., Nabbout, R., Lounes, R., Syrota, A., & Duklac, O. (1997). The right brain hemisphere is dominant in human infants. Brain, 120, 1057-1065. [CrossRef]
- Daneshvar, D.H., Nair, E.S., Baucom, Z.H. et al. (2023). Leveraging football accelerometer data to quantify associations between repetitive head impacts and chronic traumatic encephalopathy in males. Nat Commun 14, 3470 (2023). [CrossRef]
- Dobrushina, O. R., Vlasova, R. M., Rumshiskaya, A. D., Litvinova, L. D., Mershina, E. A., Sinitsyn, V. E.; et al. (2020b). Modulation of Intrinsic Brain Connectivity by Implicit Electroencephalographic Neurofeedback. Frontiers in Human Neuroscience 14. [CrossRef]
- Egner, T. and Gruzelier, J.H. (2001). Learned self-regulation of EEG frequency components affects attention and event-related brain potentials in humans. Neuroreport 12(18): 4155-4159. [CrossRef]
- Egner, T., Sterman, M.B. (2006). Neurofeedback treatment of epilepsy: From basic rationale to practical application, Expert Rev. Neurotherapeutics 6(2), 247-257. [CrossRef]
- Evans J.R. and Turner R., editors (2017). Rhythmic Stimulation Procedures in Neuromodulation, Elsevier, London.
- Felitti VJ, Anda RJ, Nordenberg D, Williamson DF, Spitz AM, Edwards V, Marks JS (1998) Relationship of childhood abuse and household dysfunction to many of the leading causes of death in adults. The adverse childhood experiences (ACE) study. Am J Prevent Med 14:245-58. [CrossRef]
- Feynman, R.P. (1972). The Feynman Lectures on Physics, Vol. 1, Addison Wesley.
- Internet-accessible: https://www.feynmanlectures.caltech.edu/I_23.html (accessed 12/27/22).
- Fisher, S.F. (2014). Neurofeedback in the Treatment of Developmental Trauma: Calming the Fear-Driven Brain, WW Norton, New York.
- Fleischman M (2022). Documenting the Impact of ILF Neurofeedback on Underserved Populations with Complex Clinical Presentations. Front. Hum. Neurosci. 16:921491. [CrossRef]
- Freeman, W.J. (2006). Definitions of state variables and state space for brain-computer interfaces, Cognitive Neurodynamics 1(1): 3-14. [CrossRef]
- Friston, K.J. (2010). The free-energy principle: A unified brain theory? Nat. Rev. Neurosci., 11, pp. 127-138. [CrossRef]
- Fuchs, T., Birbaumer, N., Lutzenberger, W., Gruzelier, J.H. and Kaiser, J. (2003) Neurofeedback treatment for attention-deficit/hyperactivity disorder in children: A comparison with methylphenidate. Appl. Pychophysiol. Biofeedback, 28: 1–12. [CrossRef]
- Gao, W., Alcauter, S., Smith, J.K., Gilmore, J.H., Lin, W. (2014) Development of human brain cortical network architecture during infancy. Brain Structure and Function, pp. 1-14. [CrossRef]
- Gerge, A. (2020). A multifaceted case-vignette integrating neurofeedback and EMDR in the treatment of complex PTSD. European Journal of Trauma & Dissociation, 4(3), 100157. [CrossRef]
- Gevirtz, R. (2013). The promise of heart rate variability biofeedback: Evidence-based applications. Biofeedback 41, 110–120. [CrossRef]
- Gollo, L.L., Zalesky, A., Hutchinson, R.M., van den Heuvel, M., Breakspear, M. (2015). Dwelling quietly in the rich club: Brain network determinants of slow cortical fluctuations. Phil. Trans. R. Soc. B 370:20140165. [CrossRef]
- Green, E., and Green, A. (1977) Beyond Biofeedback, Delacorte Press/Seymour Lawrence.
- Grin-Yatsenko, V., Othmer, S., Ponomarev, V.A., Evdokimov, S., Konoplev, Y., and Kropotov, J. D. (2018). Infra-Low Frequency Neurofeedback in Depression: Three case studies. NeuroRegulation 5, 30–42. [CrossRef]
- Grin-Yatsenko, V.A., Kara, O., Evdolimov, S.A., Gregory, M., Othmer, S., Kropotov, J.D. (2020), Infra-Low Frequency Neurofeedback Modulates Infra-Slow Oscillations of Brain Potentials: A Controlled Study, J Biomed Eng Res 4(104): 1-10. [CrossRef]
- Grin-Yatsenko, V.A., Ponomarev, V.A., Kropotov, J. D. (2023). Changes of the Infra-Slow EEG Fluctuations of the Brain Potentials under Influence of Infra-Low Frequency Neurofeedback, Journal of Evolutionary Biochemistry and Physiology, 59(3), pp. 831–840. [CrossRef]
- Gruzelier J, Hardman E, Wild J, et al (1999). Learned control of interhemispheric slow potential negativity in schizophrenia. International Journal of Psychophysiology 1999;34:341-8. [CrossRef]
- Gruzelier, J.H., Egner, T. (2005). Critical validation studies of neurofeedback, Child Adolesc Psychiatric Clin N Am 14, 83-104. [CrossRef]
- Gruzelier, J.H., Foks, M., Steffert, T., Chen, M.J.-L, Ros. T (2014). Beneficial outcome from EEG-neurofeedback on creative music performance, attention and well-being in school children, Biological Psychology, 95: 86-95. [CrossRef]
- He, B.J., Zempel, J.M., Snyder, A.Z., and Raichle, M.E. (2010). The temporal structures and functional significance of scale-free brain activity, Neuron, 66(3): 353–369. [CrossRef]
- Herrera-Escobar, J.P. and Schneider, J.C., (2022). From Survival to Survivorship—Framing Traumatic Injury as a Chronic Condition, N Enlg J Med 387: 581-583. [CrossRef]
- Hook, E.B., editor (2002) Prematurity in Scientific Discovery: On Resistance and Neglect, U. California Press.
- Jensen, M. P., Grierson, C., Tracy-Smith, V., Bacigalupi, S. C., & Othmer, S. (2007). Neurofeedback treatment for pain associated with complex regional pain syndrome type I. Journal of Neurotherapy, 11(1), 45-53. [CrossRef]
- Kaiser, D.A. and Othmer, S. (1997) Efficacy of SMR-Beta Neurofeedback on Attentional Processes, Biofeedback and Self-Regulation (4):299-312. [CrossRef]
- Kaiser, D.A., Othmer, S. (2000). Effect of Neurofeedback on Variables of Attention in a Large Multi-Center Trial, Journal of Neurotherapy, 4(1), (2000), pp.5-15. [CrossRef]
- Kirk HW (2015, 2020). Restoring the Brain, Neurofeedback as an Integrative Approach to Health. Taylor and Francis, Boca Raton FL.
- Kirk HW and Dahl MG (2022) Infra Low Frequency Neurofeedback Training for Trauma Recovery: A Case Report. Front. Hum. Neurosci. 16:905823. [CrossRef]
- Kitzbichler, M.G., Smith, M.L., Christiansen, S.R., et al (2009) Broadband Criticality of Human Brain Network Synchronization. PLOS Comput Biol, 5(3):e1000314. [CrossRef]
- Kivimäki M, Batty GD, Pentti J, Shipley MJ, Sipilä PN, Nybert SJ, Suominen SB, Oksanen T, Stenholm S, Virtanen M, Marmot MG, Singh-Manoux A., Brunner EJ , Lindbohm JV, Ferrie JE, Vahtera J (2020). Association between socioeconomic status and the development of mental and physical health conditions in adulthood: A multi-cohort study. The Lancet Public Health 5(3) E140-E149. [CrossRef]
- Kotchoubey B, Strehl U, Uhlmann C, et al (2001). Modification of slow cortical potentials in patients with refractory epilepsy: A controlled outcome study. Epilepsia 42:406-16. [CrossRef]
- Lantz D and Sterman MB (1988). Neuropsychological assessment of subjects with uncontrolled epilepsy: Effects of EEG biofeedback training. Epilepsia 29(2), 163-171. [CrossRef]
- Leark, R. A., Dupuy, M.S., Greenberg, L.M., Corman, C.L. and Kindschi, C.L. (2007). TOVA: Test of Variables of Attention, Professional Guide. Los Alamitos, CA: Universal Attention Disorders Inc.
- Lehmann, D., Ozaki, H., & Pal, I. (1987). EEG alpha map series: Brain micro-states by space-oriented adaptive segmentation. Electroencephalography and Clinical Neurophysiology, 67(3), 271–288. [CrossRef]
- Lehmann, D., Pascual-Marqui, R.D., Milz, P., Kochi, K., Faber, P., Yoshimura, M., Kinoshita, T. (2014). The resting microstate networks (RMN): Cortical distributions, dynamics, and frequency specific information flow. Available from: http://arxiv.org/abs/1411.1949. [CrossRef]
- Legarda, S. B., McMahon, D., Othmer, S., & Othmer, S. (2011). Clinical neurofeedback: Case studies, proposed mechanism, and implications for pediatric neurology practice. Journal of Child Neurology, 26(8), 1045-1051. [CrossRef]
- Leth-Steensen, C., Elbaz, Z.K., and Douglas, V.I. (2000). Mean response times, variability, and skew in the responding of ADHD children: A response time distributional approach, Acta Psychologica, 104, 167-190. [CrossRef]
- Lipton, M. L., Kim, N., Zimmerman, M. E., Kim, M., Stewart, W. F., Branch, C. A., & Lipton, R. B. (2013). Soccer heading is associated with white matter microstructural and cognitive abnormalities. Radiology, 268(3), 850–857. [CrossRef]
- Lubar J. F., Shabsin, H. S., Natelson, S. E., Holder, G. S., Woodson, S. F., Pamplin, W. E., & Krulikowski, D. I. (1981). EEG operant conditioning in intractable epileptics. Archives of Neurology, 38, 700-704. [CrossRef]
- Lubar, J. F. (1997). Neocortical Dynamics: Implications for Understanding the Role of Neurofeedback and Related Techniques for the Enhancement of Attention. Applied Psychophysiology and Biofeedback, 22(2), 111-126. [CrossRef]
- Margulies, D.S., Ghosh, S.S., Goulas, A., Falkiewicz, M., Huntenburg, J.M., Langs, G., Bezgin, G., Eickhoff, S.B., Castellanos, F.X., Petrides, M., Jefferies, E., & Smallwood, J. (2016). Situating the default-mode network along a principal gradient of macroscale cortical organization. Proceedings of the National Academy of Sciences, 113 (44) 12574-12579. [CrossRef]
- Menon, V. (2011). Large-scale brain network and psychopathology: A unifying triple network model. Trends Cogn Sci, 10:483-506. [CrossRef]
- Monto, S., Palva, S., Voipio, J., Palva J.M. (2008). Very Slow EEG Fluctuations Predict the Dynamics of Stimulus Detection and Oscillation Amplitudes in Humans, J. Neuroscience, 28(33): 8268-8272. [CrossRef]
- Othmer, S., Othmer, S.F., and Kaiser, D.A. (1999a). EEG Biofeedback: Training for AD/HD and Related Disruptive Behavior Disorders, In Understanding, Diagnosing, and Treating AD/HD in Children and Adolescents, An Integrative Approach, James A. Incorvaia, Bonnie S. Mark-Goldstein, and Donald Tessmer, editors, Aronson Press, Northvale, NJ, pp.235-296.
- Othmer, S., Othmer, S.F., and Kaiser, D.A. (1999b). EEG Biofeedback: An Emerging Model for Its Global Efficacy, In Introduction to Quantitative EEG and Neurofeedback, James R. Evans and Andrew Abarbanel, editors, Academic Press, San Diego, pp. 243-310.
- Othmer, S., Othmer, S. (2006). Efficacy of neurofeedback for pain management. In: Boswell M, Cole BE, eds. Weiner’s Pain Management: A Practical Guide for Clinicians. 7th ed. CRC Press; 719-739.
- Othmer, S.F. and Othmer, S. (2007) Interhemispheric EEG Training: Clinical Experience and Conceptual Models, Chapter 5 in Handbook of Neurofeedback, Dynamics and Clinical Applications, James R. Evans, Ed., The Haworth Medical Press, New York, p.109-136.
- Othmer, S. (2009). Neuromodulation Technologies: An Attempt at Classification, Chapter 1 in Introduction to QEEG and Neurofeedback: Advanced Theory and Applications (Second Edition), Thomas Budzynski, T., Evans, J.R., and Andrew Abarbanel, A., Eds, Elsevier, pp. 3-26.
- Othmer, S., & Othmer, S. F. (2009). Post-Traumatic Stress Disorder – The Neurofeedback Remedy. Biofeedback, 37(1), 24–31. [CrossRef]
- Othmer, S., Othmer, S., Legarda, S., (2011). Clinical Neurofeedback: Training Brain Behavior, Treatment Strategies - Pediatric Neurology and Psychiatry, 2(1):67-73.
- Othmer, S., Othmer S.F., Kaiser, D.A., and Putman, J. (2013). Endogenous Neuromodulation at Infra-Low Frequencies, Seminars in Pediatric Neurology, 20(4): 246-260 (2013). [CrossRef]
- Othmer, S. and Othmer, S.F. (2016). Infra-Low-Frequency Neurofeedback for Optimum Performance. Biofeedback, 44, 81-89. [CrossRef]
- Othmer, S. and Othmer, S.F (2017). Development of the Othmer Method of Neurofeedback (PDF). Available from: https://www.researchgate.net/publication/317868978_Development_of_the_Othmer_Method_of_Neurofeedback [accessed Dec 26 2022].
- Othmer, S.F. (2019). Protocol Guide for Neurofeedback Clinicians, 7th Edition (2019), EEG Info, Los Angeles.
- Plenz D, and Niebur E (2014). Criticality in Neural Systems, Wiley-VCH, Weinheim, Germany.
- Porges, S.W. (2011). The Polyvagal Theory; Neurophysiological Foundations of Emotions, Attachment, Communication, and Self-Regulation, WW Norton, New York.
- Putman, J.A., Othmer, S.F., Othmer, S., and Pollock, V.E. (2005), TOVA Results Following Inter-Hemispheric Bipolar Training, Journal of Neurotherapy, 9(1), 27-36 (2005). [CrossRef]
- Quirk, D. A. (1995). Composite biofeedback conditioning and dangerous offenders: III. Journal of Neurotherapy. 1 (2), 44-54. [CrossRef]
- Rai, D., Kosidou, K., Lundberg, M., et al (2011). J. Epidemiological Health. [CrossRef]
- Rockstroh, B., Elbert, T., Birbaumer, N., Wolf, P., Duchting-Roth, A., Reker, M.; et al. (1993). Cortical self-regulation in patients with epilepsies. Epilepsy Research, 14, 63–72. [CrossRef]
- Rockstroh B, Elbert T, Canavan AG, Lutzenberger W, Birbaumer N. 1989. Slow Cortical Potentials and Behavior, Second ed. Baltimore: Urban & Schwarzenberg.
- Ros, T., Munneke, M.A.M., Ruge, D., Gruzelier, J.H., Rothwell, J.C. (2010) Endogenous control of waking brain rhythms induces neuroplasticity in humans, European Journal of Neuroscience, 31 (4), 770-778. [CrossRef]
- Ros, T., Moseley, M.J., Bloom, P.A., Benjamin, L., Parkinson, L.A., Gruzelier, J. H. (2009). Optimizing surgical skills with EEG neurofeedback, BMC Neuroscience, 10:87.
- Ross, J.A. and Van Bockstaele, E.J. (2021) The Locus Coeruleus- Norepinephrine System in Stress and Arousal: Unraveling Historical, Current, and Future Perspectives. Front. Psychiatry 11:601519. [CrossRef]
- Schore, A.N. (1997). Early organization of the nonlinear right brain and development of a predisposition to psychiatric disorders. Development and Psychopathology, 9 (1997), 595–631. [CrossRef]
- Schneider, F., Rockstroh, B., Heimann, H., et al (1992): Self-regulation of slow cortical potentials in psychiatric patients: Schizophrenia. Biofeedback & Self-Regulation 17:277-92. [CrossRef]
- Scott, W.C., Kaiser, D.A., Othmer, S., and Sideroff, S.I. (2005). Effects of an EEG Biofeedback Protocol on a Mixed Substance Abusing Population, American Journal of Drug and Alcohol Abuse, 31(3), 455-469. [CrossRef]
- Sihn, D., and Kim S-P. (2022). Brain Infraslow Activity Correlates with Arousal Levels, Front. Neurosci., 16:765585. [CrossRef]
- Siniatchkin, M., Hierundar, A., Kropp, P., Kuhnert, R., Gerber,W. D., & Stephani, U. (2000). Self-regulation of slow cortical potentials in children with migraine: An exploratory study. Applied Psychophysiology & Biofeedback, 25, 13–32. [CrossRef]
- Sitaram, R., Ros, T., Stoeckel, L., Haller, S., Scharnowski, F., Lewis-Peacock, J.; et al. (2017). Closed-loop brain training: The science of neurofeedback. Nature Reviews Neuroscience 18, 86– 100. [CrossRef]
- Spreyermann, R. (2022). Infra Low Frequency Neurofeedback for PTSD: A Therapist's Perspective . Front. Hum. Neurosci. 16:893830. [CrossRef]
- Sterling, P. (2012). Allostasis: A model of predictive regulation. Physiology and Behavior, 106, 5-15. [CrossRef]
- Sterman, M.B., Howe, R.C., and MacDonald, L.R. (1970). Facilitation of spindle-burst sleep by conditioning of electroencephalographic activity while awake. Science, 167: 1146-1148. [CrossRef]
- Sterman, M.B. (1976). Effects of Brain Surgery and EEG Operant Conditioning on Seizure Latency following Monomethylhydrazine Intoxication of the Cat. Experimental Neurology, 50, 757-765. [CrossRef]
- Sterman ,M.B. (2000). Basic concepts and clinical findings in the treatment of seizure disorders with operant conditioning. Clin. Electroenceph. 31(1), 45-55. [CrossRef]
- Sterman, M.B., Egner, T. (2006). Foundation and Practice of Neurofeedback for the Treatment of Epilepsy, Applied Psychophysiology and Biofeedback, 31(1), 21-35. [CrossRef]
- Sterman, M.B. and Friar, L. (1972). Suppression of seizures in an epileptic following sensorimotor EEG feedback training. Electroencephalogr. Clin Neurophysiol. 33(1), 89-95. [CrossRef]
- Strehl, U., Leins, U., Goth, G., Klinger, Ch., Hinterberger, Th., & Birbaumer, N. (2006). Self-regulation of slow cortical potentials—A new treatment for children with ADHD. Pediatrics, 118, 1530–1540. [CrossRef]
- Strehl, U. (2009) Slow Cortical Potentials Neurofeedback, Journal of Neurotherapy: 13(2): 117-126. [CrossRef]
- Tansey, M. A. (1984). EEG sensorimotor rhythm biofeedback training: Some effects on the neurological precursors of learning disabilities. International J of Psychophys 3, 85-99. [CrossRef]
- Teicher, M. H. & Samson, J. A. (2013) Childhood maltreatment and psychopathology: A case for ecophenotypic variants as clinically and neurobiologically distinct subtypes. Am. J. Psychiatry 170, 1114–1133 (2013). [CrossRef]
- Teicher, M. H., Anderson, C. M., Ohashi, K. & Polcari, A. (2014). Childhood maltreatment: Altered network centrality of cingulate, precuneus, temporal pole and insula. Biol. Psychiatry 76, 297–305. [CrossRef]
- Teicher, M.H. Samson, J.A., Anderson, Carl M., Ohashi, K. (2016). The effects of childhood maltreatment on brain structure, function, and connectivity. Nature Reviews/Neuroscience 17, 652-666.
- Thibault, R. T., Lifshitz, M., & Raz, A. (2018). The climate of neurofeedback: Scientific rigour and the perils of ideology. Brain, 141(2), e11–e11. [CrossRef]
- Ulrich, G. (2020). Ipsative Trend Assessment (ITA), An EEG-based Approach for Semi-quantitative Evaluation of Disease Courses, unpublished monograph.
- Van der Kolk, B. (1994) The Body Keeps the Score: Memory and the Evolving Psychobiology of Posttraumatic Stress, Harvard Review of Psychiatry, 1:5, 253-265. [CrossRef]
- Walker, J.E. (2011). QEEG-Guided Neurofeedback for Recurrent Migraine Headaches, Clin EEG and Neuroscience, 42(1), 59-61. [CrossRef]
- Webb, R.T., Pedersen, C.B., Mok, P.L.H. (2016) Adverse Outcomes to Early Middle Age Linked with Childhood Residential Mobility. Am. J. Prev. Med., 51(3), 291-300. [CrossRef]
- Winkeler A, Markus Winkeler M, Hartmut Imgart H (2022). Infra-Low Frequency Neurofeedback in the treatment of patients with chronic eating disorder and comorbid post-traumatic stress disorder . Front. Hum. Neurosci. 16:890682. [CrossRef]
- World Health Organization (2022). ICD 11 for Mortality and Morbidity Statistics: 6B41 Complex posttraumatic stress disorder. Available online at: http://id.who.int/icd/entity/585833559 (accessed August, 2022).
- Wyrwicka, W., and Sterman, M.B. (1968). Instrumental conditioning of sensorimotor EEG spindles in the waking cat. Physiol. Behav. 3: 703-707. [CrossRef]
- Yu, J, Patel, R.A., Haynie, DL, Vidal-Ribas, P., Govender, T., Sundaram, R., and Gilman, S.E. (2022), Adverse Childhood Experiences and premature mortality through mid-adulthood: A five-decade prospective study, Lancet, published online: https://www.thelancet.com/action/showPdf?pii=S2667-193X%2822%2900166-1. [CrossRef]











| Age Range | Category | Pre- | Post | Delta |
| 6-9 years, inclusive | Impulse control | 6 | 10 | 4.0 |
| Inattention | 6.2 | 8.5 | 2.3 | |
| Mean reaction time | 7.3 | 8.0 | 0.7 | |
| Variability in reaction time | 6.6 | 7.6 | 1.0 | |
| 10-19 years, inclusive | Impulse control | 9.0 | 17.0 | 8.0 |
| Inattention | 10.3 | 13.8 | 3.5 | |
| Mean reaction time | 12.1 | 12.6 | 0.5 | |
| Variability in reaction time | 10.4 | 11.8 | 1.4 |
Disclaimer/Publisher’s Note: The statements, opinions and data contained in all publications are solely those of the individual author(s) and contributor(s) and not of MDPI and/or the editor(s). MDPI and/or the editor(s) disclaim responsibility for any injury to people or property resulting from any ideas, methods, instructions or products referred to in the content. |
© 2023 by the authors. Licensee MDPI, Basel, Switzerland. This article is an open access article distributed under the terms and conditions of the Creative Commons Attribution (CC BY) license (http://creativecommons.org/licenses/by/4.0/).