Submitted:
11 October 2023
Posted:
16 October 2023
You are already at the latest version
Abstract
Keywords:
1. Introduction
2. Fault fracture zone model
2.1. Establishment of Fault Fracture Zone Model
2.2. Model parameter selection



3. Analysis of synchronous grouting results in fault fracture zones
3.1. Analysis of settlement and deformation of surrounding rock
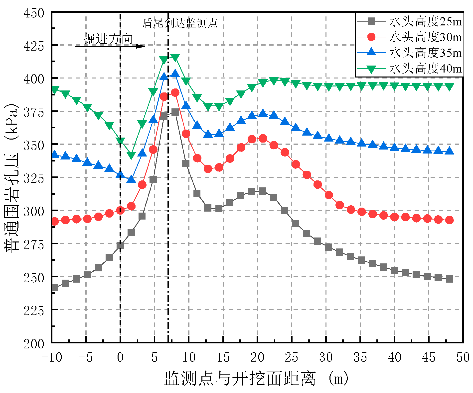
3.2. Analysis of changes in pore water pressure
4. Analysis of synchronous grouting parameters
4.1. Grouting pressure
4.2. Grouting volume
4.3. Water cover height



5. On site monitoring of soil and water pressure
5.1. Monitoring layout
5.2. Analysis of monitoring results



6. Conclusions
Supplementary Materials
Author Contributions
Funding
Data Availability Statement
Acknowledgments
Conflicts of Interest
References
- Song Tiantian, Zhou Shunhua, Xu Runze. The mechanism of synchronous grouting at the tail of shield tunnel and the determination of grouting parameters Journal of Underground Space and Engineering, 2008: 130-133.
- Ye Fei, Mao Jiahua, Ji Ming, et al. Research status and development trend of grouting behind shield tunnel walls Tunnel Construction, 2015, 35: 739-752.
- Zhang N, Shen J S, Zhou A, et al. Tunneling induced geohazards in mylonitic rock faults with rich groundwater: A case study in Guangzhou. Tunnelling & Underground Space Technology, 2017, 74(APR.): 262-272. [CrossRef]
- Huang L, Ma J, Lei M, et al. Soil-water inrush induced shield tunnel lining damage and its stabilization: A case study. Tunnelling and underground space technology, 2020, 97(Mar.): 103290.1-103290.15. [CrossRef]
- Ye Fei, Zhu Hehua, He Chuan. Analysis of the diffusion mode of grouting behind the shield tunnel wall and the pressure on the segment Geotechnical Mechanics, 2009,30 (05): 1307-1312.
- Baiyun, Dai Zhiren, Zhang Shasha, et al. Research on the Pressure Diffusion Mode of Synchronous Grouting in Shield Tunnels China Railway Science, 2011, 32:38-45.
- Hu Changming, Guo Jianxia, Mei Yuan, et al. The influencing factors and diffusion mechanism of synchronous grouting slurry pressure in shield tunneling Journal of Xi'an University of Architecture and Technology (Natural Science Edition), 2020, 52: 617-625.
- Ye Fei, Guo Huawei, Duan Zhijun, et al. Research on the disturbance dynamics of synchronous grouting construction in deep buried shield tunnels Journal of Geotechnical Engineering, 2019,41 (05): 855-863.
- Zhang Weijie. Research on the mechanism and application of grouting reinforcement in the fractured zone of water rich faults in tunnel engineering [D] Shandong University, 2014.
- Li Pan. Research on Mechanical Behavior of Tunnel Construction in Fault Fractured Zone Sections [D] Chang'an University, 2013.
- Jiang Kehan, Liu Bang, Qin Kunyuan, et al. Research on Optimization of Excavation Parameters for Slurry Shield Tunneling in Fault Fractured Zones Transportation Science and Engineering, 36 (3): 43-49.
- Zhao K, Janutolo M, Barla G, et al. 3D simulation of TBM excavation in brittle rock associated with fault zones: The Brenner Exploratory Tunnel case. Engineering Geology, 2014, 181: 93-111. [CrossRef]
- Wan defeated, Zhu Daiyun, Xia Yongxu. Numerical simulation study on the influence of grouting behind the shield tunnel wall on surface settlement Journal of Hebei University of Technology, 2011, 40: 110-113.
- Yu Liangbin. Study on the changes in seepage field and formation deformation caused by synchronous grouting at the tail of a large diameter shield tunnel [D] South China University of Technology, 2018.
- Faulkner D R, Lewis A C, Rutter E H. On the internal structure and mechanics of large strike-slip fault zones: field observations of the Carboneras fault in southeastern Spain. Tectonophysics, 2003, 367(3): 235-251. [CrossRef]
- Bezuijen A, Talmon A M, Kaalberg F J, et al. Field measurements of grout pressures during tunnelling of the sophia rail tunnel. Journal of the Japanese Geotechnical Society, 2008, 44(1): 39-48. [CrossRef]
- Zhang Dongmei, Ran Longzhou, Yan Jingya. The influence of water leakage under grouting on tunnel and ground settlement Journal of Tongji University (Natural Science Edition), 2017, 45:497-503.
- Yu Wensheng. The Mechanism and Engineering Application of Splitting Grouting Diffusion in Tunnel Muddy Filling Fault Fracture Zone [D] Changsha University of Technology, 2015.
- Li Peng. Research on the Mechanical Mechanism and Control Method of the Whole Process of Mud Fault Splitting Grouting [D] Shandong University, 2017.
- Zhang Shasha, Dai Zhiren, Baiyun. Model experimental study on the pressure distribution law of synchronous grouting slurry in shield tunnel 2015,36 (05): 43-53.
- Xu Yang. Stability Analysis of Surrounding Rock in Fault Fractured Zone during Construction of Qingdao Metro [D] Qingdao University of Technology, 2017.



































| Cutter disc excavation diameter | Outer diameter of pipe segment | Inner diameter of pipe segment | Tail gap of shield |
|---|---|---|---|
| 8.65m | 8.3m | 7.5m | 0.35m |
| Rock and soil mass | C(kPa) | γ(kN/m3) | Elastic modulus(MPa) | Poisson's ratio | Permeability coefficient(cm/s) | |
|---|---|---|---|---|---|---|
| Ordinary surrounding rock | 1000 | 40 | 24 | 6140 | 0.24 | 1.1×10-6 |
| Induced crack zone | 500 | 33 | 22.8 | 3200 | 0.27 | 6.4×10-5 |
| Sliding crushing zone | 200 | 25 | 21 | 800 | 0.35 | 1.3×10-7 |
| Title | Time | Thickness(mm) | γ(kN/m3) | Poisson's ratio | Elastic modulus(MPa) |
|---|---|---|---|---|---|
| TBM | —— | 175 | 76 | 0.2 | 200×103 |
| Segment | —— | 400 | 25 | 0.2 | 2880 |
| Grout | <24h | 175 | 24 | 0.34 | 4.8 |
| 24~48h | 175 | 24 | 0.34 | 4.8 | |
| >48h | 175 | 24 | 0.2 | 10.8 |
Disclaimer/Publisher’s Note: The statements, opinions and data contained in all publications are solely those of the individual author(s) and contributor(s) and not of MDPI and/or the editor(s). MDPI and/or the editor(s) disclaim responsibility for any injury to people or property resulting from any ideas, methods, instructions or products referred to in the content. |
© 2024 by the authors. Licensee MDPI, Basel, Switzerland. This article is an open access article distributed under the terms and conditions of the Creative Commons Attribution (CC BY) license (https://creativecommons.org/licenses/by/4.0/).
