Submitted:
13 October 2023
Posted:
16 October 2023
You are already at the latest version
Abstract
Keywords:
1. Introduction
1.1. Contributions
1.2. Paper Outline
1.3. Notation
2. Massive MIMO System Model
2.1. Channel Model
2.2. MMSE Detection
3. Proposed Algorithm
3.1. GS Iterative Estimation
3.2. Initialization
3.3. CJ Joint Processing
| Algorithm 1. CJGS iterative algorithm |
| Input: y H B U |
| Initialization: |
| 1. |
| 2. |
| 3. |
| 4. |
| 5. |
| CJ joint processing: |
| 6. |
| 7. |
| 8. |
| 9. |
| GS iterative estimation: |
| For i=2 do |
| 10. |
| End |
| Output: |
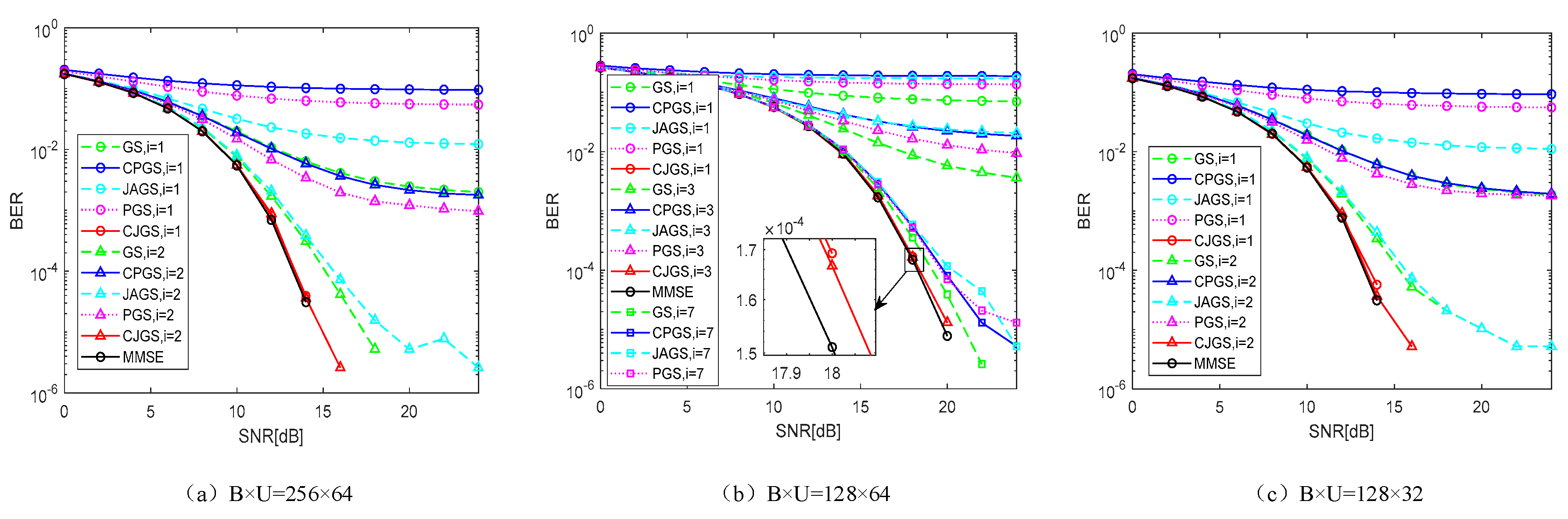
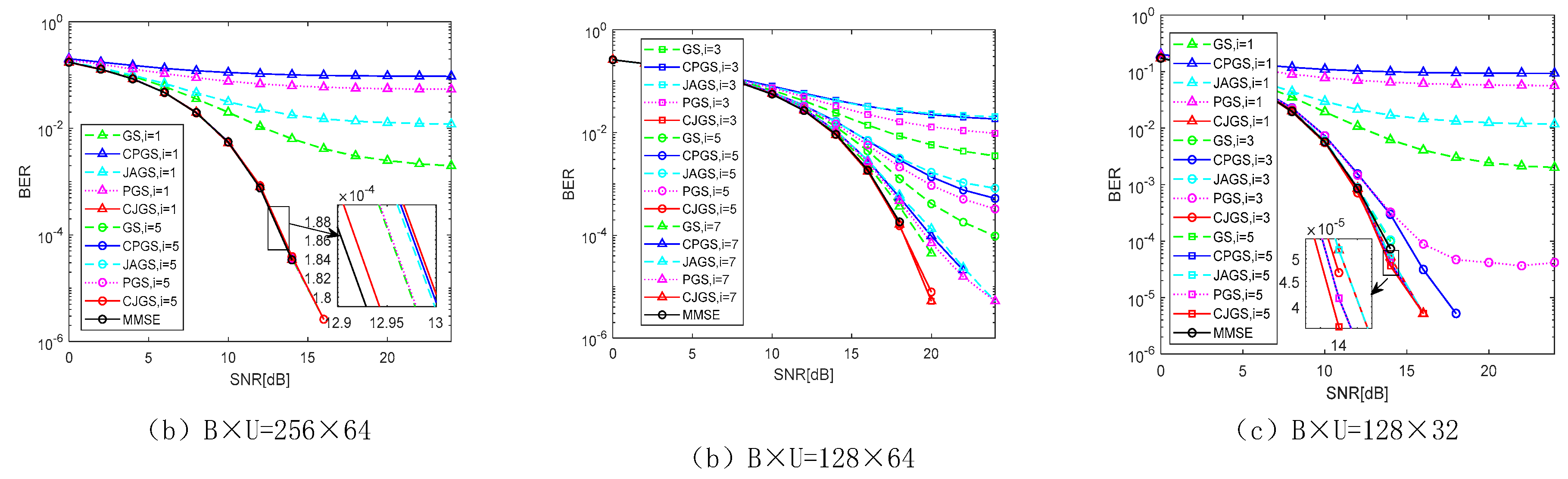
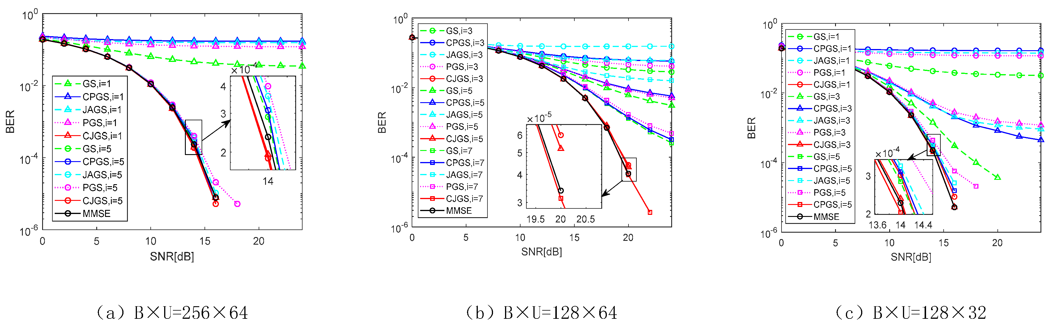
4. Simulation Results and Analysis
4.1. BER Performance
4.2. Complexity Analysis
5. Conclusion
Funding
References
- Kumar, A., Gupta, M. A review on activities of fifth generation mobile communication system. AEJ-Alexandria Engineering Journal, 2017, vol.57, no.2, p.1125-1135. [CrossRef]
- S. P, R.S. Miriyala, N. Matsa, et al. Capacity Evaluation of MIMO System: with and without Successive Interference Cancellation, In Proceedings of the 7th International Conference on Computing Methodologies and Communication (ICCMC). The Erode (India), 2023, p. 27-31. [CrossRef]
- Albreem, M.A., Salah, W., Kumar, A., et al. Low Complexity Linear Detectors for Massive MIMO: A Comparative Study. IEEE Access, 2021, vol. 9, p. 45740-45753. [CrossRef]
- Wang, Y.N., Xiao, Y., Dan, L.L, et al. On the BER Performance of Constant Envelope OFDM in Frequency Selective MIMO Channels with ML Detection. IEEE Wireless Communications Letters, 2023, p. 1. [CrossRef]
- Zhou, M., Li, J.M., Wan, A., et al. Rate analysis of ZF receiver for uplink cell-free massive MIMO systems with D2D communications. Physical Communication, 2023, vol.58, p. 102024. [CrossRef]
- Kalachikov, A.A., Shelkunov, N.S. Performance Evaluation of the Detection Algorithms for MIMO Spatial Multiplexing Based on Analytical Wireless MIMO Channel Models. In Proceedings of 2018 XIV International Scientific-Technical Conference on Actual Problems of Electronics Instrument Engineering (APEIE). The Novosibirsk (Russia), 2018, p. 180-183. [CrossRef]
- Deng, Q., Liang, X., Wang, X., et al. Fast Converging Iterative Precoding for Massive MIMO Systems: An Accelerated Weighted Neumann Series-Steepest Descent Approach. IEEE Access, 2020, vol. 8, p. 50244-50255. [CrossRef]
- Wei, Y., Zhao, M.M., Hong, M., et al. Learned Conjugate Gradient Descent Network for Massive MIMO Detection. IEEE Transactions on Signal Processing,2020, vol. 68, p. 6336-6349. [CrossRef]
- Liu, X., Zhang, Z., Wang, X., et al. A Low Complexity High Performance Weighted Neumann Series-based Massive MIMO Detection. In Proceedings of 28th Wireless and Optical Communications Conference (WOCC), The Beijing (China), 2019, p. 1-5. [CrossRef]
- Lee, Y. Decision-aided Jacobi iteration for signal detection in massive MIMO systems. Electronic Letter, 2017, vol 53, no. 23, p. 1552-1554. [CrossRef]
- Xu, Y.H., Wang, J. Signal Detection Algorithm Based on SOR Algorithm in Massive MIMO System. In Proceedings of 14th IEEE International Conference on Signal Processing (ICSP), The Beijing (China), 2018, p. 662-667. [CrossRef]
- Gao, X., Dai, L., Yuen, C., et al. Low-Complexity MMSE Signal Detection Based on Richardson Method for Large-Scale MIMO Systems. In Proceedings of 2014 IEEE 80th Vehicular Technology Conference (VTC2014-Fall), The Vancouver (Canada), 2014, p. 1-5. [CrossRef]
- Shahabuddin, S., Hautala, I., Juntti, M., et al. ADMM-Based Infinity-Norm Detection for Massive MIMO: Algorithm and VLSI Architecture. IEEE Transactions on Very Large Scale Integration (VLSI) Systems, 2021, vol. 29, no. 4, p. 747-759. [CrossRef]
- Park, S. Kalman Combining Based Iterative Detection and Decoding for MIMO Systems with Hybrid ARQ. IEEE Transactions on Vehicular Technology, 2023, vol.72, no.2, p. 2040-2050. [CrossRef]
- Dong, Y.Y., Zhang Z.Y., Chen, L., et al. A low-complexity precoding method based on the steepest descent algorithm for downlink massive MIMO systems. In Proceedings of IEEE/CIC International Conference on Communications in China (ICCC), The Beijing (China), 2018, p. 17-21. [CrossRef]
- Kumar, A., Gour, N., Sharma, H., et al. Hybrid detection techniques for 5G and B5G M-MIMO system. Alexandria Engineering Journal, 2023, vol.75, p. 429-437. [CrossRef]
- Chang, M.X., Su, S.L. Complexity-reduced maximum-likelihood hybrid detection for MIMO systems. IET Communications, 2023, vol. 17, no.7, p. 829-841. [CrossRef]
- Albreem, M.A.M., El-Saleh, A.A., Juntti, M. Linear Massive MIMO Uplink Detector Based on Joint Jacobi and Gauss-Seidel Methods. In Proceedings of 2020 16th International Conference on the Design of Reliable Communication Networks DRCN. The Milan (Italy), 2020, p. 1-4. [CrossRef]
- Wu, Z., Ge, L., You, X., et al. Efficient near-MMSE detector for large-scale MIMO systems. In Proceedings of 2017 IEEE International Workshop on Signal Processing Systems (SiPS), The Lorient (France), 2017, p. 1-6. [CrossRef]
- Ahmad, M., Zhang, X., Khoso, I.A., et al. High-Precision Iterative Preconditioned Gauss–Seidel Detection Algorithm for Massive MIMO Systems. Electronics, 2022, vol.11, no.22, p.3806. [CrossRef]
- Shahabuddin, S., Juntti, M., Studer, C. ADMM-based infinity norm detection for large MU-MIMO: Algorithm and VLSI architecture. In Proceedings of 2017 IEEE International Symposium on Circuits and Systems (ISCAS), 2017, p. 1-4. [CrossRef]
- KHOSO, A.I., ZHANG, X.F., SHAIKH, H. A., et al. Improved Gauss–Seidel detector for large-scale MIMO systems. IET Commun,2022, vol. 16, no.4, p. 291–302. [CrossRef]
- Zhou, J., Hu, J., Chen, J., et al. Biased MMSE soft-output detection based on conjugate gradient in massive MIMO. In Proceedings of IEEE 11th International Conference on ASIC (ASICON), The Chengdu (China), 2015, p. 1-4. [CrossRef]
- Chataut, R., Akl, R., Dey, U.K. Massive MIMO Uplink Signal Detector for 5G and Beyond Networks. In Proceedings of the IEEE Texas Symposium on Wireless and Microwave Circuits and Systems (WMCS), The Waco (USA), 2022, p. 1-7. [CrossRef]
- Mi, S.C., Zhang, J.Y., Fan, F.j., et al. Low complexity detection algorithms based on ADMIN for massive MIMO. China Communications. [CrossRef]
- Chinnusami, M., Ravikumar, C., Priya, S., et al. Low Complexity Signal Detection for Massive MIMO in B5G Uplink System. IEEE Access, 2023, p.1-11. [CrossRef]
- Chataut, R., Akl R., Dey, U. K., et al. SSOR Preconditioned Gauss-Seidel Detection and Its Hardware Architecture for 5G and Beyond Massive MIMO Networks. Electronics, 2021, vol.10. no. 5. p.578. [CrossRef]
- Wang, Z., Xu, W., Xia, Y., et al. A New Randomized Iterative Detection Algorithm for Uplink Large-scale MIMO Systems. IEEE Transactions on Communications, 2023, p.1. [CrossRef]
- G. Blanchard and R. Loubere, High-order conservative remapping with a posteriori MOOD stabilization on polygonal meshes, 2015, Available from: http://www.emn.fr/z-info/choco-solver/ [last accessed May 2011].
- R. Boggs, J. Bozman, and R. Perry, Reducing downtime and business loss: adressing business risk with effective technology, Tech. Report Technical report 91-18, InternationalData Corporation (IDC), Sernageomin, 2002.
- S. Elbaum, A. G. Malishevsky, and G. Rothermel, Test case prioritization: A family of empirical studies, IEEE Trans. Softw. Eng. 28 (Feb. 2002), no. 2, 159–182.
- G. Rothermel, A safe efficient regression test selection technique, ACM Trans. Soft. Eng. Methodology 6 (1997), no. 2, 173–210. MR 2000f:91046.
- G. Rothermel, M. J. Harrold, C. W. Hirt, A. A. Amsden, and J. L. Cook, A safe efficient regression test selection technique, ACM Trans. Soft. Eng. Methodology 6 (1998), no. 2, 173–210.
- A. Schulz and G. Doblhammer, Aktueller und Zukünftiger Krankenbestand von Demenz in Deutschland auf Basis der Outinedaten der AOK. (Current and future number of people suffering from dementia in Germany based on routine data from the AOK.), Versorgungs-Report (Piscataway, NJ, USA) (C. Gnster, J. Klose, and N. Schmacke, eds.), IEEE Press, 2012, pp. 161–175.
- S. Yoo and M. Harman, Pareto efficient multi-objective test case selection, (Proceedings Of The 2007 International Symposium On Software Testing And Analysis, London, UK), 2007, pp. 140–150.








Disclaimer/Publisher’s Note: The statements, opinions and data contained in all publications are solely those of the individual author(s) and contributor(s) and not of MDPI and/or the editor(s). MDPI and/or the editor(s) disclaim responsibility for any injury to people or property resulting from any ideas, methods, instructions or products referred to in the content. |
© 2024 by the authors. Licensee MDPI, Basel, Switzerland. This article is an open access article distributed under the terms and conditions of the Creative Commons Attribution (CC BY) license (https://creativecommons.org/licenses/by/4.0/).