Submitted:
13 October 2023
Posted:
16 October 2023
You are already at the latest version
Abstract
Keywords:
1. Introduction
2. The Outline for this Review is as follows
- Methodology for diffusion length measurements in-situ in Scanning Electron Microscope will be explained on the example of highly resistive p-Ga2O3.
- Methodology for electron beam probing of optical properties will be outlined using results for n-type Ga2O3, as an example.
- Impact of various radiation types on minority carrier transport and optical properties will be reviewed.
- Influence of SEM electron injection on minority carrier diffusion in Ga2O3 before and after exposure to radiation will be discussed.
- The root cause for the phenomenon of electron injection in Gallium Oxide and its impact on minority carrier transport will be explained.
- Application of the electron injection effect to photoresponse enhancement in Gallium Oxide-based heterostructures will be considered as an example.
- The main conclusions will be summarized.
2.1. Electron Beam-Induced Current Measurements of Minority Carrier Diffusion Length
2.2. Continuous and Time-Resolved Cathodoluminescence
3. Impact of Radiation and Electron Injection on Minority Carrier Recombination
3.1. Impact of Energetic Electron Bombardment on Minority Carrier Recombination
3.2. Non-Equilibrium Carrier Recombination in Beta Gallium Oxide Irradiated with Alpha Particles and Protons
3.3. Minority Carrier Transport and Radiation Impact in Undoped Highly Resistive Ga2O3
3.4. Electron Injection Impact of on Minority Carrier Diffusion and Optical Properties in Ga2O3
3.5. The Root Cause for the Phenomenon of Electron Injection in Gallium Oxide
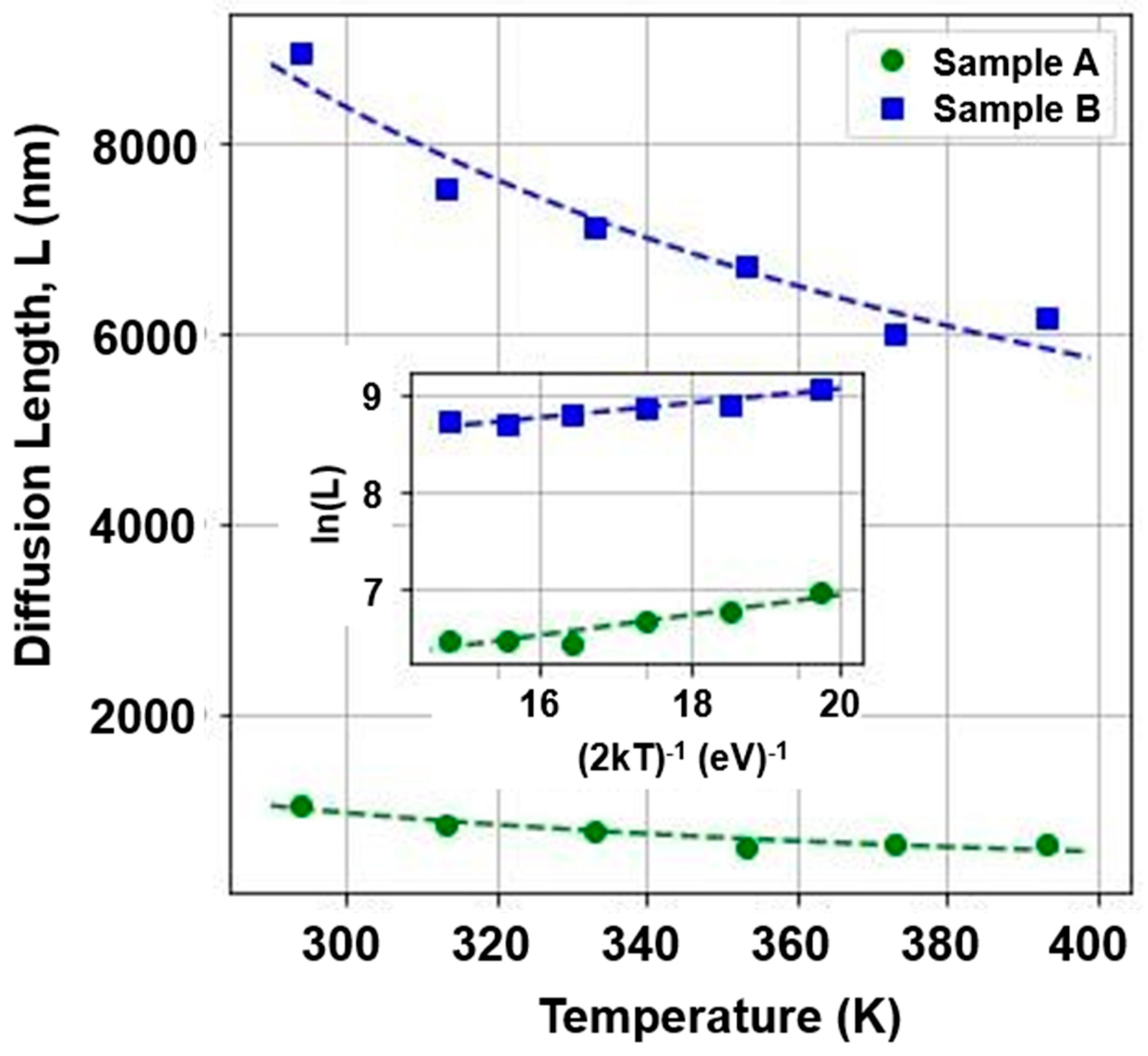
- Direct band-to-band recombination (cf. Figure 18, a, b) is not available in Ga2O3 due to the assumed presence of self-trapped holes. As a result, non-equilibrium electron, generated by an SEM beam, is trapped by VGa, acting as deep acceptors in Gallium Oxide (cf. Figure 18, c). A fairly large concentration (1018 cm−3) of VGa remains in the neutral state in the material, thus acting as a meta-stable electron trap. Capturing non-equilibrium electrons on VGa, prevents recombination of the non-equilibrium conduction band electrons through the trap levels (cf. Figure 18, d). This results in an increased lifetime and, consequently, to a larger L [L = (Dt)1/2, where D is the carrier diffusivity].
- VGa-levels, containing trapped electrons, become again available for recombination as these levels capture holes, meaning a transition, which is temperature dependent, of trapped electrons to the valence band (cf. Figure 18, e). The existence of the activation energy, which prevents near simultaneous hole capture by the negatively charged VGa, is noted. DEA,I, is experimentally estimated at 91 meV.
- With increasing hole capture on Gallium vacancies, the non-equilibrium electrons in the conduction band have more chances for recombination on the respective energetic levels. This leads to a reduced t and a slower rate for L increase at higher temperatures, as seen in Figure 14.
- Only neutral VGa-levels may trap non-equilibrium electrons. Therefore, electrical conductivity of the sample under test is not impacted.
3.6. Application of the Charge Injection Effect to Performance Control of Ga2O3-Based Photodetectors
4. Summary
Author Contributions
Funding
Data Availability Statement
Conflicts of Interest
References
- Pearton, S.J.; Yang, J.; Cary, P.H.; Ren, F.; Kim, J.; Tadjer, M.J.; Mastro, M.A. A review of Ga2O3 materials, processing, and devices. Appl. Phys. Rev. 2018, 5, 011301. [Google Scholar] [CrossRef]
- Baliga, B.J. Gallium nitride devices for power electronic applications. Semicond. Sci. Technol. 2013, 28, 074011. [Google Scholar] [CrossRef]
- Chernyak, L.; Osinsky, A.; Schulte, A. Minority carrier transport in GaN and related materials. Solid·State Electron. 2001, 45, 1687–1702. [Google Scholar] [CrossRef]
- Polyakov, A.Y.; Smirnov, N.B.; Shchemerov, I.V.; Pearton, S.J.; Ren, F.; Chernykh, A.V.; Kochkova, A.I. Electrical properties of bulk semi-insulating β-Ga2O3 (Fe). Appl. Phys. Lett. 2018, 113, 142102. [Google Scholar] [CrossRef]
- Gao, H.; Muralidharan, S.; Pronin, N.; Karim, M.R.; White, S.M.; Asel, T.; Foster, G.; Krishnamoorthy, S.; Rajan, S.; Cao, L.R.; et al. Optical signatures of deep level defects in Ga2O3. Appl. Phys. Lett. 2018, 112, 242102. [Google Scholar] [CrossRef]
- Yang, J.; Ren, F.; Pearton, S.J.; Yang, G.; Kim, J.; Kuramata, A. 1.5 MeV electron irradiation damage in β-Ga2O3 vertical rectifiers. J. Vac. Sci. Technol. B:Nanotechnol. Microelectron. 2017, 35, 4. [Google Scholar] [CrossRef]
- Mock, A.; Korlacki, R.; Briley, C.; Darakchieva, V.; Monemar, B.; Kumagai, Y.; Goto, K.; Higashiwaki, M.; Schubert, M. Band-to-band transitions, selection rules, effective mass, and excitonic contributions in monoclinic β−Ga2O3. Phys. Rev. B 2017, 96, 14. [Google Scholar] [CrossRef]
- Mastro, M.A.; Kuramata, A.; Calkins, J.; Kim, J.; Ren, F.; Pearton, S.J. Perspective—Opportunities and Future Directions for Ga2O3. ECS J. Solid State Sci. Technol. 2017, 6, P356–P359. [Google Scholar] [CrossRef]
- Stepanov, S.I.; Nikolaev, V.I.; Bougrov, V.E.; Romanov, A.E. Gallium Oxide: Properties and Applications - A Review. Rev. Adv. Mater. Sci. 2016, 44, 63–86. [Google Scholar]
- Chikoidze, E.; Fellous, A.; Perez-Tomas, A.; Sauthier, G.; Tchelidze, T.; Ton-That, C.; Huynh, T.T.; Phillips, M.; Russell, S.; Jennings, M.; et al. P-type β-gallium oxide: A new perspective for power and optoelectronic devices. Mater. Today Phys. 2017, 3, 118–126. [Google Scholar] [CrossRef]
- Chikoidze, E.; Sartel, C.; Mohamed, H.; Madaci, I.; Tchelidze, T.; Modreanu, M.; Vales-Castro, P.; Rubio, C.; Arnold, C.; Sallet, V.; et al. Enhancing the intrinsic p-type conductivity of the ultra-wide bandgap Ga2O3 semiconductor. J. Mater. Chem. C 2019, 7, 10231–10239. [Google Scholar] [CrossRef]
- Kananen, B.E.; Giles, N.C.; Halliburton, L.E.; Foundos, G.K.; Chang, K.B.; Stevens, K.T. Self-trapped holes in β-Ga2O3 crystals. J. Appl. Phys. 2017, 122, 6. [Google Scholar] [CrossRef]
- Varley, J.B.; Janotti, A.; Franchini, C.; Van de Walle, C.G. Role of self-trapping in luminescence and p-type conductivity of wide-band-gap oxides. Phys. Rev. B 2012, 85, 081109. [Google Scholar] [CrossRef]
- Yoshioka, S.; Hayashi, H.; Kuwabara, A.; Oba, F.; Matsunaga, K.; Tanaka, I. Structures and energetics of Ga2O3 polymorphs. J. Phys. Condens. Matter 2007, 19, 11. [Google Scholar] [CrossRef]
- He, H.; Orlando, R.; Blanco, M.A.; Pandey, R.; Amzallag, E.; Baraille, I.; Rérat, M. First-principles study of the structural, electronic, and optical properties of Ga2O3 in its monoclinic and hexagonal phases. Phys. Rev. B 2006, 74, 8. [Google Scholar] [CrossRef]
- He, H.; Blanco, M.A.; Pandey, R. Electronic and thermodynamic properties of β-Ga2O3. Appl. Phys. Lett. 2006, 88, 261904. [Google Scholar] [CrossRef]
- Furthmüller, J.; Bechstedt, F. Quasiparticle bands and spectra ofGa2O3polymorphs. Phys. Rev. B 2016, 93, 115204. [Google Scholar] [CrossRef]
- Chernyak, L.; Schulte, A. Method and System for Performance Improvement of Photodetectors and Solar Cells. 6,674,064, 2004.
- Lopatiuk-Tirpak, O.; Chernyak, L.; Xiu, F.X.; Liu, J.L.; Jang, S.; Ren, F.; Pearton, S.J.; Gartsman, K.; Feldman, Y.; Osinsky, A.; et al. Studies of minority carrier diffusion length increase in p-type ZnO:Sb. J. Appl. Phys. 2006, 100, 086101. [Google Scholar] [CrossRef]
- Chernyak, L.; Osinsky, A.; Nootz, G.; Schulte, A.; Jasinski, J.; Benamara, M.; Liliental-Weber, Z.; Look, D.C.; Molnar, R.J. Electron beam and optical depth profiling of quasibulk GaN. Appl. Phys. Lett. 2000, 77, 2695–2697. [Google Scholar] [CrossRef]
- Chernyak, L.; Nootz, G.; Osinsky, A. Enhancement of minority carrier transport in forward biased GaN p-n junction. Electron. Lett. 2001, 37, 922–923. [Google Scholar] [CrossRef]
- Chernyak, L.; Osinsky, A.; Fuflyigin, V.; Schubert, E.F. Electron beam-induced increase of electron diffusion length in p-type GaN and AlGaN/GaN superlattices. Appl. Phys. Lett. 2000, 77, 875–877. [Google Scholar] [CrossRef]
- Lopatiuk-Tirpak, O.; Chernyak, L.; Wang, Y.L.; Ren, F.; Pearton, S.J.; Gartsman, K.; Feldman, Y. Cathodoluminescence studies of carrier concentration dependence for the electron irradiation effects in p- GaN. Appl. Phys. Lett. 2007, 90, 3. [Google Scholar] [CrossRef]
- Lopatiuk-Tirpak, O.; Chernyak, L.; Mandalapu, L.J.; Yang, Z.; Liu, J.L.; Gartsman, K.; Feldman, Y.; Dashevsky, Z. Influence of electron injection on the photoresponse of ZnO homojunction diodes. Appl. Phys. Lett. 2006, 89, 142114. [Google Scholar] [CrossRef]
- Modak, S.; Chernyak, L.; Khodorov, S.; Lubomirsky, I.; Yang, J.; Ren, F.; Pearton, S.J. Impact of Electron Injection and Temperature on Minority Carrier Transport in Alpha-Irradiated ß-Ga2O3 Schottky Rectifiers. ECS J. Solid State Sci. Technol. 2019, 8, Q3050–Q3053. [Google Scholar] [CrossRef]
- Modak, S.; Lee, J.; Chernyak, L.; Yang, J.; Ren, F.; Pearton, S.J.; Khodorov, S.; Lubomirsky, I. Electron injection-induced effects in Si-doped β-Ga2O3. AIP Adv. 2019, 9, 015127. [Google Scholar] [CrossRef]
- Modak, S.; Schulte, A.; Sartel, C.; Sallet, V.; Dumont, Y.; Chikoidze, E.; Xia, X.; Ren, F.; Pearton, S.J.; Ruzin, A.; et al. Impact of radiation and electron trapping on minority carrier transport in p-Ga2O3. Appl. Phys. Lett. 2022, 120. [Google Scholar] [CrossRef]
- Chernyak, L.; Burdett, W.; Klimov, M.; Osinsky, A. Cathodoluminescence studies of the electron injection-induced effects in GaN. Appl. Phys. Lett. 2003, 82, 3680–3682. [Google Scholar] [CrossRef]
- Lopatiuk, O.; Burdett, W.; Chernyak, L.; Ip, K.P.; Heo, Y.W.; Norton, D.P.; Pearton, S.J.; Hertog, B.; Chow, P.P.; Osinsky, A. Minority carrier transport in p-type Zn0.9Mg0.1O doped with phosphorus. Appl. Phys. Lett. 2005, 86. [Google Scholar] [CrossRef]
- Lopatiuk, O.; Chernyak, L.; Osinsky, A.; Xie, J.Q. Lithium-related states as deep electron traps in ZnO. Appl. Phys. Lett. 2005, 87. [Google Scholar] [CrossRef]
- Lopatiuk-Tirpak, O.; Nootz, G.; Flitsiyan, E.; Chernyak, L.; Mandalapu, L.J.; Yang, Z.; Liu, J.L.; Gartsman, K.; Osinsky, A. Influence of electron injection on the temporal response of ZnO homojunction photodiodes. Appl. Phys. Lett. 2007, 91. [Google Scholar] [CrossRef]
- Chernyak, L.; Schulte, A.; Osinsky, A.; Graff, J.; Schubert, E.F. Influence of electron injection on performance of GaN photodetectors. Appl. Phys. Lett. 2002, 80, 926–928. [Google Scholar] [CrossRef]
- Lee, J.; Flitsiyan, E.; Chernyak, L.; Yang, J.; Ren, F.; Pearton, S.J.; Meyler, B.; Salzman, Y.J. Effect of 1.5 MeV electron irradiation on β-Ga2O3 carrier lifetime and diffusion length. Appl. Phys. Lett. 2018, 112, 5. [Google Scholar] [CrossRef]
- Modak, S.; Chernyak, L.; Schulte, A.; Xian, M.; Ren, F.; Pearton, S.J.; Lubomirsky, I.; Ruzin, A.; Kosolobov, S.S.; Drachev, V.P. Electron beam probing of non-equilibrium carrier dynamics in 18 MeV alpha particle- and 10 MeV proton-irradiated Si-doped β-Ga2O3 Schottky rectifiers. Appl. Phys. Lett. 2021, 118, 202105. [Google Scholar] [CrossRef]
- Modak, S.; Chernyak, L.; Khodorov, S.; Lubomirsky, I.; Ruzin, A.; Xian, M.; Ren, F.; Pearton, S.J. Effect of Electron Injection on Minority Carrier Transport in 10 MeV Proton Irradiated β-Ga2O3 Schottky Rectifiers. ECS J. Solid State Sci. Technol. 2020, 9, 045018. [Google Scholar] [CrossRef]
- Modak, S.; Chernyak, L.; Schulte, A.; Sartel, C.; Sallet, V.; Dumont, Y.; Chikoidze, E.; Xia, X.; Ren, F.; Pearton, S.J.; et al. Variable temperature probing of minority carrier transport and optical properties in p-Ga2O3. APL Mater. 2022, 10, 031106. [Google Scholar] [CrossRef]
- Dimitriadis, C.A. Determination of bulk diffusion length in thin semiconductor layers by SEM-EBIC. J. Phys. D: Appl. Phys. 1981, 14, 2269–2274. [Google Scholar] [CrossRef]
- Chernyak, L.; Osinsky, A.; Temkin, H.; Yang, J.W.; Chen, Q.; Asif Khan, M. Electron beam induced current measurements of minority carrier diffusion length in gallium nitride. Appl. Phys. Lett. 1996, 69, 2531–2533. [Google Scholar] [CrossRef]
- Yakimov, E.B.; Polyakov, A.Y.; Smirnov, N.B.; Shchemerov, I.V.; Yang, J.; Ren, F.; Yang, G.; Kim, J.; Pearton, S.J. Diffusion length of non-equilibrium minority charge carriers in β-Ga2O3 measured by electron beam induced current. J. Appl. Phys. 2018, 123. [Google Scholar] [CrossRef]
- Ma, N.; Tanen, N.; Verma, A.; Guo, Z.; Luo, T.; Xing, H.; Jena, D. Intrinsic electron mobility limits in β-Ga2O3. Appl. Phys. Lett. 2016, 109, 212101. [Google Scholar] [CrossRef]
- Polyakov, A.Y.; Lee, I.-H.; Smirnov, N.B.; Yakimov, E.B.; Shchemerov, I.V.; Chernykh, A.V.; Kochkova, A.I.; Vasilev, A.A.; Ren, F.; Carey, P.H.; et al. Hydrogen plasma treatment of β-Ga2O3: Changes in electrical properties and deep trap spectra. Appl. Phys. Lett. 2019, 115, 032101. [Google Scholar] [CrossRef]
- Polyakov, A.Y.; Smirnov, N.B.; Shchemerov, I.V.; Yakimov, E.B.; Pearton, S.J.; Fares, C.; Yang, J.; Ren, F.; Kim, J.; Lagov, P.B.; et al. Defects responsible for charge carrier removal and correlation with deep level introduction in irradiated β-Ga2O3. Appl. Phys. Lett. 2018, 113, 092102. [Google Scholar] [CrossRef]
- Adnan, M.M.R.; Verma, D.; Xia, Z.; Kalarickal, N.K.; Rajan, S.; Myers, R.C. Spectral Measurement of the Breakdown Limit of β−Ga2O3 and Tunnel Ionization of Self-Trapped Excitons and Holes. Phys. Rev. Appl. 2021, 16, 034011. [Google Scholar] [CrossRef]
- Chi, Z.; Sartel, C.; Zheng, Y.; Modak, S.; Chernyak, L.; Schaefer, C.M.; Padilla, J.; Santiso, J.; Ruzin, A.; Goncalves, A.-M.; et al. Native defect association in beta-Ga2O3 enables room-temperature p-type conductivity. arXiv 2023, arXiv:2306.01115. [Google Scholar]
- Modak, S.; Chernyak, L.; Xian, M.H.; Ren, F.; Pearton, S.J.; Khodorov, S.; Lubomirsky, I.; Ruzin, A.; Dashevsky, Z. Impact of electron injection on carrier transport and recombination in unintentionally doped GaN. J. Appl. Phys. 2020, 128, 085702. [Google Scholar] [CrossRef]
- Leamy, H.J. Charge collection scanning electron microscopy. J. Appl. Phys. 1982, 53, R51–R80. [Google Scholar] [CrossRef]
- Ahn, S.; Lin, Y.-H.; Ren, F.; Oh, S.; Jung, Y.; Yang, G.; Kim, J.; Mastro, M.A.; Hite, J.K.; Eddy, C.R.; et al. Effect of 5 MeV proton irradiation damage on performance of β-Ga2O3 photodetectors. J. Vac. Sci. Technol. B:Nanotechnol. Microelectron. 2016, 34, 5. [Google Scholar] [CrossRef]
- Armstrong, A.M.; Crawford, M.H.; Jayawardena, A.; Ahyi, A.; Dhar, S. Role of self-trapped holes in the photoconductive gain of β-gallium oxide Schottky diodes. J. Appl. Phys. 2016, 119, 103102. [Google Scholar] [CrossRef]
- Yamaoka, S.; Nakayama, M. Evidence for formation of self-trapped excitons in a β-Ga2O3 single crystal. physica status solidi (c) 2016, 13, 93–96. [Google Scholar] [CrossRef]
- Yamaoka, S.; Furukawa, Y.; Nakayama, M. Initial process of photoluminescence dynamics of self-trapped excitons in a β−Ga2O3 single crystal. Phys. Rev. B 2017, 95, 094304. [Google Scholar] [CrossRef]
- Yamaoka, S.; Mikuni, Y.; Nakayama, M. Photoluminescence polarization characteristics of self-trapped excitons in an undoped β-Ga2O3 single crystal. Journal of Physics: Conference Series 2019, 1220, 012030. [Google Scholar] [CrossRef]
- Frodason, Y.K.; Johansen, K.M.; Vines, L.; Varley, J.B. Self-trapped hole and impurity-related broad luminescence in β-Ga2O3. J. Appl. Phys. 2020, 127, 075701. [Google Scholar] [CrossRef]
- Marcinkevičius, S.; Speck, J.S. Ultrafast dynamics of hole self-localization in β-Ga2O3. Appl. Phys. Lett. 2020, 116, 132101. [Google Scholar] [CrossRef]
- Binet, L.; Gourier, D. Origin of the blue luminescence of β-Ga2O3. J. Phys. Chem. Solid 1998, 59, 1241–1248. [Google Scholar] [CrossRef]
- Blasse, G.; Bril, A. Some observations on the luminescence of b-Ga2O3. J. Phys. Chem. Solids 1970, 31, 707–711. [Google Scholar] [CrossRef]
- Oishi, T.; Koga, Y.; Harada, K.; Kasu, M. High-mobility β-Ga2O3($\bar{2}01$) single crystals grown by edge-defined film-fed growth method and their Schottky barrier diodes with Ni contact. Applied Physics Express 2015, 8, 3. [Google Scholar] [CrossRef]
- Irmscher, K.; Galazka, Z.; Pietsch, M.; Uecker, R.; Fornari, R. Electrical properties of β-Ga2O3 single crystals grown by the Czochralski method. J. Appl. Phys. 2011, 110, 7. [Google Scholar] [CrossRef]
- Lee, J.; Flitsiyan, E.; Chernyak, L.; Ahn, S.; Ren, F.; Yuna, L.; Pearton, S.J.; Kim, J.; Meyler, B.; Salzman, J. Optical Signature of the Electron Injection in Ga2O3. ECS J. Solid State Sci. Technol. 2016, 6, Q3049–Q3051. [Google Scholar] [CrossRef]
- Modak, S.; Chernyak, L.; Schulte, A.; Xian, M.; Ren, F.; Pearton, S.J.; Ruzin, A.; Kosolobov, S.S.; Drachev, V.P. Temperature dependence of cathodoluminescence emission in irradiated Si-doped β-Ga2O3. AIP Adv. 2021, 11, 125014. [Google Scholar] [CrossRef]
- Yu, P.; Cardona, M. Fundamentals of Semiconductors; Springer Berlin Heidelberg: 2010. [CrossRef]
- Yang, J.; Ren, F.; Khanna, R.; Bevlin, K.; Geerpuram, D.; Tung, L.-C.; Lin, J.; Jiang, H.; Lee, J.; Flitsiyan, E.; et al. Annealing of dry etch damage in metallized and bare (-201) Ga2O3. J. Vac. Sci. Technol. B:Nanotechnol. Microelectron. 2017, 35, 5. [Google Scholar] [CrossRef]
- Yang, J.; Fares, C.; Guan, Y.; Ren, F.; Pearton, S.J.; Bae, J.; Kim, J.; Kuramata, A. Eighteen mega-electron-volt alpha-particle damage in homoepitaxial β-Ga2O3 Schottky rectifiers. J. Vac. Sci. Technol. B 2018, 36, 031205. [Google Scholar] [CrossRef]
- Yang, J.; Chen, Z.; Ren, F.; Pearton, S.J.; Yang, G.; Kim, J.; Lee, J.; Flitsiyan, E.; Chernyak, L.; Kuramata, A. 10 MeV proton damage in β-Ga2O3 Schottky rectifiers. J. Vac. Sci. Technol. B:Nanotechnol. Microelectron. 2018, 36. [Google Scholar] [CrossRef]
- Eckstein, M.; Habermeier, H.U. Numerical Analysis of the Temperature Dependence of Ebic and Cl Contrasts. Le Journal de Physique IV 1991, 1, C6. [Google Scholar] [CrossRef]
- Modak, S.; Chernyak, L.; Lubomirsky, I.; Khodorov, S. Continuous and Time-Resolved Cathodoluminescence Studies of Electron Injection Induced Effects in Gallium Nitride. Proceedings of Advanced Technologies for Security Applications, Dordrecht; 2020. [Google Scholar]
- Lin, Y.; Flitsyian, E.; Chernyak, L.; Malinauskas, T.; Aleksiejunas, R.; Jarasiunas, K.; Lim, W.; Pearton, S.J.; Gartsman, K. Optical and electron beam studies of carrier transport in quasibulk GaN. Appl. Phys. Lett. 2009, 95, 092101. [Google Scholar] [CrossRef]
- Godlewski, M.; Lusakowska, E.; Goldys, E.M.; Phillips, M.R.; Bottcher, T.; Figge, S.; Hommel, D.; Prystawko, P.; Leszcynski, M.; Grzegory, I.; et al. Diffusion length of carriers and excitons in GaN-influence of epilayer microstructure. Appl. Surf. Sci 2004, 223, 294–302. [Google Scholar] [CrossRef]
- Cojocaru, L.N. Defect-annealing in neutron-damaged β-Ga2O3. Radiat. EIT. 2006, 21, 157–160. [Google Scholar] [CrossRef]
- Polyakov, A.Y.; Smirnov, N.B.; Shchemerov, I.V.; Yakimov, E.B.; Yang, J.; Ren, F.; Yang, G.; Kim, J.; Kuramata, A.; Pearton, S.J. Point defect induced degradation of electrical properties of Ga2O3 by 10 MeV proton damage. Appl. Phys. Lett. 2018, 112, 032107. [Google Scholar] [CrossRef]
- Kim, J.; Pearton, S.J.; Fares, C.; Yang, J.; Ren, F.; Kim, S.; Polyakov, A.Y. Radiation damage effects in Ga2O3 materials and devices. J. Mater. Chem. C 2019, 7, 10–24. [Google Scholar] [CrossRef]
- Pearton, S.J.; Aitkaliyeva, A.; Xian, M.; Ren, F.; Khachatrian, A.; Ildefonso, A.; Islam, Z.; Jafar Rasel, M.A.; Haque, A.; Polyakov, A.Y.; et al. Review—Radiation Damage in Wide and Ultra-Wide Bandgap Semiconductors. ECS J. Solid State Sci. Technol. 2021, 10, 055008. [Google Scholar] [CrossRef]
- Yakimov, E.B.; Polyakov, A.Y.; Shchemerov, I.V.; Smirnov, N.B.; Vasilev, A.A.; Vergeles, P.S.; Yakimov, E.E.; Chernykh, A.V.; Ren, F.; Pearton, S.J. Experimental estimation of electron–hole pair creation energy in β-Ga2O3. Appl. Phys. Lett. 2021, 118, 202106. [Google Scholar] [CrossRef]
- Karjalainen, A.; Weiser, P.M.; Makkonen, I.; Reinertsen, V.M.; Vines, L.; Tuomisto, F. Interplay of vacancies, hydrogen, and electrical compensation in irradiated and annealed n-type β-Ga2O3. J. Appl. Phys. 2021, 129, 165702. [Google Scholar] [CrossRef]
- Ledra, M.; Tabet, N. Monte Carlo simulation of the EBIC collection efficiency of a Schottky nanocontact. Superlattices and Microstructures 2009, 45, 444–450. [Google Scholar] [CrossRef]
- Yakimov, E.B.; Borisov, S.S.; Zaitsev, S.I. EBIC measurements of small diffusion length in semiconductor structures. Semiconductors 2007, 41, 411–413. [Google Scholar] [CrossRef]
- Donolato, C. Modeling the Ebic Measurements of Diffusion Lengths and the Recombination Contrast at Extended Defects. J. phys., Colloq. 1989, 50, C6. [Google Scholar] [CrossRef]




















Disclaimer/Publisher’s Note: The statements, opinions and data contained in all publications are solely those of the individual author(s) and contributor(s) and not of MDPI and/or the editor(s). MDPI and/or the editor(s) disclaim responsibility for any injury to people or property resulting from any ideas, methods, instructions or products referred to in the content. |
© 2023 by the authors. Licensee MDPI, Basel, Switzerland. This article is an open access article distributed under the terms and conditions of the Creative Commons Attribution (CC BY) license (http://creativecommons.org/licenses/by/4.0/).
