Submitted:
26 September 2023
Posted:
28 September 2023
You are already at the latest version
Abstract
Keywords:
1. Introduction
2. Data
2.1. Properties of the source dataset
2.2. Dense test dataset
2.3. Moderately dense test dataset
3. ACMANT homogenization method
3.1. ACMANTv5.1
3.2. Version A52
- (i)
- The length of the overlapping periods in the use of relative time series for break detection is changed. The concept and practice of using overlapping relative time series are presented at section B6 and step 10.1 of the ACMANTv4 description [12].
- (ii)
- The creation of relative time series for break detection in the first homogenization cycle is modified. The applied modifications partly change the content of steps 9.1-9.3 of ACMANTv4. Note that in ACMANTv5, these steps are part of the combined time series comparison.
- (iii)
- In the gap filling steps of A52, the use of monthly data is preferred in several details of the procedure, even when daily data homogenization is performed. The earlier concept of always using daily data for gap filling in daily data homogenization was based on the fact that monthly values may have elevated uncertainty when some of their daily data are missing. However, tests proved (not shown) that the use of daily data in gap filling does not yield perceptible accuracy improvement of the final results, except in a few details of the procedure, which are presented here and still considered in A52. The motivation of these changes is that the reduction of using daily data in gap filling steps often significantly reduces the computational time consumption.
3.3. Version A53
- (iv)
- Generation of large networks: Identical with the network construction of the earlier method versions (see step 3.6 of the ACMANTv4 description).
- (v)
-
Generation of small networks:
- a)
- First, the best correlating 20 neighbor series are selected;
- b)
- When the first 20 neighbor series no cover sufficiently parts of the homogenized section of the candidate series, further neighbor series are selected when neighbor series s with index S > 0 can be found (Equation 9).
- (c)
- Use of small networks and large networks in A53: In most part of A53 the small network is used. Exceptions are the second step of the combined time series comparison, i.e. the break detection with composite reference series in the first homogenization cycle, and the preparatory steps for that break detection step.
3.4. Selection of method versions
4. Efficiency measures
- (i)
- RMSE of daily values:
- (ii)
- RMSE of annual values:
- (iii)
- Absolute value of linear trend bias (Trb) when trend slopes are denoted with α:
- (iv)
- The improvement of ACMANTv5 in comparison with the ACMANTv4 results is characterized by the Z index (Domonkos, 2021a).
5. Results
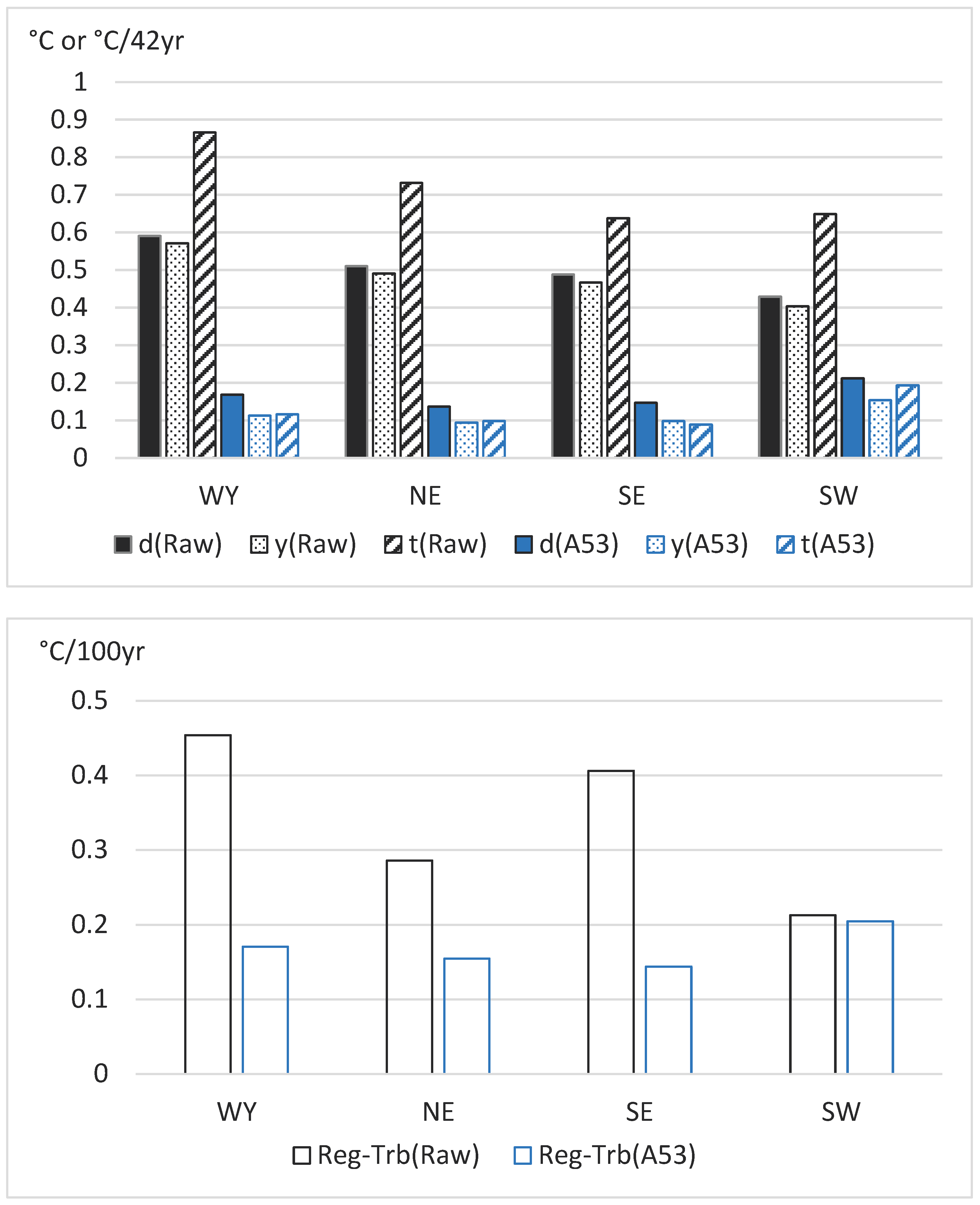
5.1. Results for the dense test dataset
5.2. Results for the moderately dense dataset

5.3. Z-index of accuracy improvement
6. Discussion
- (i)
- Homogenization methods are applied for several climate variables and for data observed under varied geographical conditions and by varied observation practices. Therefore, the found differences between homogenization efficiencies might be related to larger and more important absolute differences of climate characteristics than in case of the K2016 dataset.
- (ii)
7. Conclusions
- The found differences between ACMANTv5 accuracy and ACMANTv4 accuracy are generally small, and ACMANTv5 often gave slightly worse results than ACMANTv4.
- A reduction in network sizes reduced the RMSE and station specific trend errors of ACMANTv5, while it did not change significantly regional mean trend biases.
- Regional mean trend biases are particularly sensitive both to the simulated climate properties of the test dataset and to the fine details of the applied homogenization method. Therefore, further improvements need the creation and use of more high quality homogenous test datasets.
- The joint analysis of the results of this study and an earlier study indicates that the inclusion of combined time series comparison in ACMANT is likely favorable.
References
- Moberg, A.; Alexandersson, H. Homogenization of Swedish temperature data. Part II: Homogenized gridded air temperature compared with a subset of global gridded air temperature since 1861. Int. J. Climatol. 1997, 17, 35-54.
- Auer, I.; Böhm, R.; Jurkovic, A.; Orlik, A.; Potzmann, R.; Schöner, W.; Ungersböck, M.; Brunetti, M.; Nanni, T.; Maugeri, M.; Briffa, K.; Jones, P.; Efthymiadis, D.; Mestre, O.; Moisselin, J-M.; Begert, M.; Brazdil, R.; Bochnicek, O.; Cegnar, T.; Gajic-Capka, M.; Zaninovic, K.; Majstorovic, Z.; Szalai, S.; Szentimrey, T.; Mercalli, L. A new instrumental precipitation dataset for the Greater Alpine Region for the period 1800–2002. Int. J. Climatol. 2005, 25, 139–166. [CrossRef]
- Begert, M.; Schlegel, T.; Kirchhofer, W. Homogeneous temperature and precipitation series of Switzerland from 1864 to 2000. Int. J. Climatol. 2005, 25, 65-80. [CrossRef]
- Menne, M.J.; Williams, C.N.; Vose, R.S. The U.S. Historical Climatology Network Monthly Temperature Data, Version 2. Bull. Amer. Meteor. Soc. 2009, 90, 993–1008. [CrossRef]
- Haimberger, L.; Tavolato, C.; Sperka, S. Homogenization of the global radiosonde temperature dataset through combined comparison with reanalysis background series and neighboring stations. J. Clim. 2012, 25, 8108–8131. [CrossRef]
- Nguyen, K.N.; Quarello, A.; Bock, O.; Lebarbier, E. Sensitivity of change-point detection and trend estimates to GNSS IWV time series properties. Atmosphere 2021, 12(9), 1102. [CrossRef]
- Szentimrey, T. Multiple Analysis of Series for Homogenization (MASH). 1999. In eds. Szalai, S.; Szentimrey, T.; Szinell, Cs. Second Seminar for Homogenization of Surface Climatological Data. WMO WCDMP-41, 27-46, Geneva, Switzerland.
- Caussinus, H.; Mestre, O. Detection and correction of artificial shifts in climate series. JR Stat. Soc. Ser. C Appl. Stat. 2004, 53, 405–425. http://doi.org/10.1111/j.1467-9876.2004.05155.x.
- Menne, M.J.; Williams Jr, C.N. Homogenization of temperature series via pairwise comparisons. J. Clim. 2009, 22, 1700–1717. [CrossRef]
- Mestre, O.; Domonkos, P.; Picard, F.; Auer, I.; Robin, S.; Lebarbier, E.; Böhm, R.; Aguilar, E.; Guijarro, J.; Vertacnik, G.; Klancar, M.; Dubuisson, B.; Štěpánek, P. HOMER: homogenization software in R – methods and applications. Időjárás 2013, 117, 47-67.
- Guijarro, J.A. Homogenization of climatic series with Climatol. 2018. http://www.climatol.eu/homog_climatol-en.pdf. (accessed: 25-09-2023).
- Domonkos, P. ACMANTv4: Scientific content and operation of the software. 2020, 71pp. https://github.com/dpeterfree/ACMANT/blob/ACMANTv4.4/ACMANTv4_description.pdf (accessed: 25-09-2023).
- Killick, R.E. Benchmarking the Performance of Homogenisation Algorithms on Daily Temperature Data. 2016, PhD thesis, University of Exeter, UK. https://ore.exeter.ac.uk/repository/handle/10871/23095.
- Chimani, B.; Venema, V.; Lexer, A.; Andre, K.; Auer, I.; Nemec, J. Inter-comparison of methods to homogenize daily relative humidity. Int. J. Climatol. 2018, 38, 3106–3122. http:/doi.org/10.1002/joc.5488.
- Guijarro, J.A. Recommended homogenization techniques based on benchmarking results. WP-3 report of INDECIS project. 2019. http://www.indecis.eu/docs/Deliverables/Deliverable_3.2.b.pdf (accessed: 25-09-2023).
- Domonkos, P.; Guijarro, J.A.; Venema, V.; Brunet, M.; Sigró, J. Efficiency of time series homogenization: method comparison with 12 monthly temperature test datasets. J. Clim. 2021, 34, 2877-2891. [CrossRef]
- Guijarro, J.A.; López, J.A.; Aguilar, E.; Domonkos, P.; Venema, V.K.C.; Sigró, J.; Brunet, M. Homogenization of monthly series of temperature and precipitation: Benchmarking results of the MULTITEST project. Int. J. Climatol, 2023, 43, 3994-4012. [CrossRef]
- Domonkos, P. Combination of using pairwise comparisons and composite reference series: a new approach in the homogenization of climatic time series with ACMANT. Atmosphere 2021, 12(9), 1134. https:// doi.org/10.3390/atmos12091134.
- Joelsson, L.M.T.; Sturm, C.; Södling, J.; Engström, E.; Kjellström, E. Automation and evaluation of the interactive homogenization tool HOMER. Int. J. Climatol. 2022, 42(5), 2861–2880. [CrossRef]
- Szentimrey, T. Development of new version MASHv4.01 for homogenization of standard deviation. 2023. In: 11th Seminar for Homogenization and Quality Control in Climatological Databases, 9-11 May 2023, Budapest, Hungary. https://www.met.hu/en/omsz/rendezvenyek/.
- Venema, V.; Mestre, O.; Aguilar, E.; Auer, I.; Guijarro, J.A.; Domonkos, P.; Vertacnik, G.; Szentimrey, T.; Štěpánek, P.; Zahradníček, P.; Viarre, J.; Müller-Westermeier, G.; Lakatos, M.; Williams, C.N.; Menne, M.; Lindau, R.; Rasol, D.; Rustemeier, E.; Kolokythas, K.; Marinova, T.; Andresen, L.; Acquaotta, F.; Fratianni, S.; Cheval, S.; Klancar, M.; Brunetti, M.; Gruber, C., Duran, M.P.; Likso, T.; Esteban, P.; Brandsma, T. Benchmarking monthly homogenization algorithms. Clim. Past 2012, 8, 89-115. [CrossRef]
- Compo, G.P.; Whitaker, J.S.; Sardeshmukh, P.D.; Matsui, N.; Allan, R.J.; Yin, X.; Gleason Jr., B.E.; Vose, R.S.; Rutledge, G.; Bessemoulin, P.; Brönnimann, S.; Brunet, M.; Crouthame, R.I.; Grant, A.N.; Groisman, P.Y.; Jones, P.D.; Kruk, M.C.; Kruger, A.C.; Marshall, G.J.; Maugeri, M.; Mok, H.Y.; Nordli, O.; Ross, T.F.; Trigo, R.M.; Wang, X.L.; Woodruff, S.D.; J.Worleyu, S. The twentieth century reanalysis project. Q. J. Roy. Meteor. Soc. 2011, 137, 1–28. [CrossRef]
- Domonkos, P.; Tóth, R.; Nyitrai, L. Climate observations: Data quality control and time series homogenization. 2022, Elsevier, 302pp. https://www.elsevier.com/books/climate-observations/domonkos/978-0-323-90487-2.
- Prohom, M.; Domonkos, P.; Cunillera, J.; Barrera-Escoda, A.; Busto, M.; Herrero-Anaya, M.; Aparicio, A.; Reynés, J. CADTEP: A new daily quality-controlled and homogenized climate database for Catalonia (1950–2021). Int. J. Climatol. 2023, 43, 4771-4789. [CrossRef]
- Lindau, R.; Venema, V. On the reduction of trend errors by the ANOVA joint correction scheme used in homogenization of climate station records. Int. J. Climatol. 2018, 38, 5255–5271. http://doi.org/10.1002/joc.5728.
- Domonkos, P. Manual of ACMANTv5. 2021. https://github.com/dpeterfree/ACMANT/tree/ACMANTv5_documents (accessed: 25-09-2023).
- Domonkos, P. Automatic homogenization of time series: How to use metadata? Atmosphere 2022, 13(9), 1379. [CrossRef]
- Domonkos, P.; Coll, J. Time series homogenisation of large observational datasets: The impact of the number of partner series on the efficiency. Clim. Res. 2017, 74, 31-42. [CrossRef]
- Williams, C.N.; Menne, M.J.; Thorne, P. Benchmarking the performance of pairwise homogenization of surface temperatures in the United States. J. Geophys. Res. 2012, 117, D05116. [CrossRef]
- Trewin, B. A daily homogenized temperature data set for Australia. Int. J. Climatol. 2013, 33, 1510–1529. [CrossRef]



| Data section | Number of series |
Number of detected breaks in homogeneous data | |
| PHA | ACMANTv5 | ||
| WY1 | 75 | 4 | 7 (0.15) |
| WY2 | 158 | 5 | 11 (0.12) |
| WY3 | 158 | 16 | 9 (0.18) |
| WY4 | 75 | 3 | 12 (0.61) |
| SE1 | 153 | 13 | 53 (0.09) |
| SE2 | 210 | 9 | 58 (0.10) |
| SE3 | 210 | 15 | 69 (0.10) |
| NE1 | 146 | 11 | 4 (0.09) |
| NE2 | 207 | 9 | 11 (0.09) |
| NE3 | 207 | 11 | 5 (0.06) |
| SW1 | 151 | 50 | 77 (0.16) |
| SW2 | 222 | 28 | 131 (0.15) |
| SW3 | 222 | 31 | 100 (0.18) |
| c’ | c+ | c’ | c+ | c’ | c+ | |||
|---|---|---|---|---|---|---|---|---|
| 1 | –2.50 | 3.50 | 4 | 0.31 | 0.69 | 7 | 2.44 | –1.44 |
| 2 | –1.30 | 2.30 | 5 | 1.00 | 0.00 | 8 | 3.30 | –2.30 |
| 3 | –0.44 | 1.440 | 6 | 1.69 | –0.69 | 9 | 4.50 | –3.50 |
| Z (%) | |||||
| RMSE-d | RMSE-y | Trb | Reg-Trb | ||
| Dense dataset | A52 | 2.1 | 3.7 | 2.2 | 7.4 |
| A53 | –0.4 | –0.6 | –1.5 | 1.0 | |
| Moderately dense dataset |
A52 | 4.3 | 5.7 | 7.9 | 18.2 |
| A53 | –1.5 | –2.3 | –3.0 | 18.4 | |
Disclaimer/Publisher’s Note: The statements, opinions and data contained in all publications are solely those of the individual author(s) and contributor(s) and not of MDPI and/or the editor(s). MDPI and/or the editor(s) disclaim responsibility for any injury to people or property resulting from any ideas, methods, instructions or products referred to in the content. |
© 2023 by the authors. Licensee MDPI, Basel, Switzerland. This article is an open access article distributed under the terms and conditions of the Creative Commons Attribution (CC BY) license (http://creativecommons.org/licenses/by/4.0/).
