Submitted:
21 September 2023
Posted:
25 September 2023
You are already at the latest version
Abstract
Keywords:
1. Introduction
2. Study site and available data
2.1. The Sierra Nevada Mountain Range
- -
- Plot scale - The Refugio Poqueira experimental site (Figure 1 (c), yellow cross). This area was selected to understand the connection between backscatter signal and snow dynamics. It is located at 2500 m a.s.l. and has been highly monitored since 2004 focusing on the microscale effects on snow ablation in Mediterranean mountains. The experimental site is equipped with a complete weather station (Table 1).
- -
- Catchment scale - The Poqueira Alto catchment (Figure 1, (c)). This catchment was selected as a study site to connect wet snow dynamics with streamflow response. It is a small catchment (54.91 km2) corresponding to the headwaters of the Poqueira River. With a mean elevation of 2513 m a.s.l., its hydrological response is totally driven by the snow dynamics (Table 1).
2.2. Available Data
2.2.1. Meteorological information
| Variable | Refugio Poqueira (A1) | Poqueira Alto (A2) |
|---|---|---|
| Area | 30x30 (m2) | 54.9 (km2) |
| Average altitude (m a.s.l.) | 2500 | 2513 |
| T mean (°C) (max / mean / min) |
21.8 / 6.95 / -9.55 | 12.89 / 7.018 / 0.91 |
| Tdaily max (°C) (max / mean / min) |
24.522 / 9.375 / -6.36 | 17.61 / 10.54 / 3.86 |
| Tdaily min (°C) (max / mean / min) |
19.287 / 4.34/ -11.46 | 8.697 / 4.03 / 0.00 |
| Precipitation (mm) | 2016-2017: 704 2017-2018: 745 2018-2019: 587 |
2016-2017: 785 2017-2018: 937 2018-2019: 690 |
| Snowfall (mm) | 2016-2017: 394 2017-2018: 384 2018-2019: 244 |
2016-2017: 438 2017-2018: 544 2018-2019: 358 |
2.2.2. Proximal and remote sensing observations
2.2.3. Streamflow data
3. Methodology
3.1. Definition of snowpack wet snow dynamics
3.1.1. SAR Processing
3.1.2. Snow cover dynamics definition
3.1.3. Melting cycles definition
3.1.4. Identification of the relationship between snowpack melting and runoff onset
3.2. Wet snow - streamflow interaction
4. Results
4.1. Definition of snowpack wet snow dynamics
4.1.1. Local Scale: Backscatter signal understanding

- -
- Local Minimum Type I: the LM is found at the end of a well-developed snowpack. It is representative of long-lasting snow cycles, with a large amount of snow, resulting from a long accumulation phase, and it is associated with a very compact state of the snow with a high level of metamorphism. This LM is found in melting cycles described by depletion curve Type I in [3].
- -
- Local Minimum Type II: the LM is not unique in the snow cycle. It describes a quick melting period that is stopped by another snowfall or cold period that refreezes snow. This LM is found in melting cycles described by depletion curve Type II in [3].
- -
- Local Minimum Type III: the LM is unique withing the melting cycle, that is before and after this LM there is no snow. In addition, it takes place at the beginning of the snow season, when the energy exchange between the snowpack and the ground causes LWC to increase. This LM is found in melting cycles described by depletion curve Type III in [3].
- -
- Local Minimum Type IV: as in the previous case the LM is unique, that is before and after this LM there is no snow. However, in this case the minimum appears in sporadic snow cycles that occur during late winter or spring, always after the main melting cycle. The LM is connected to a melting trigger by an increase in the temperature and incoming flux of shortwave radiation. This LM is found in melting cycles described by depletion curve IV in [3].
| Type I | Type II | Type III | Type IV |
|---|---|---|---|
| LM4 2016-2017 | LM1, LM2, LM3, LM5, 2016-2017 | LM1 2017-2018 | LM6 2016-2017 |
| LM4 2017-2018 | LM2, LM3 2017-2018 | LM1, LM4 2018-2019 | LM7 2018-2019 |
| LM3, LM6 2018-2019 | LM2, LM6 2018-2019 |
4.1.2. Catchment Scale: Melting Runoff Onset Maps
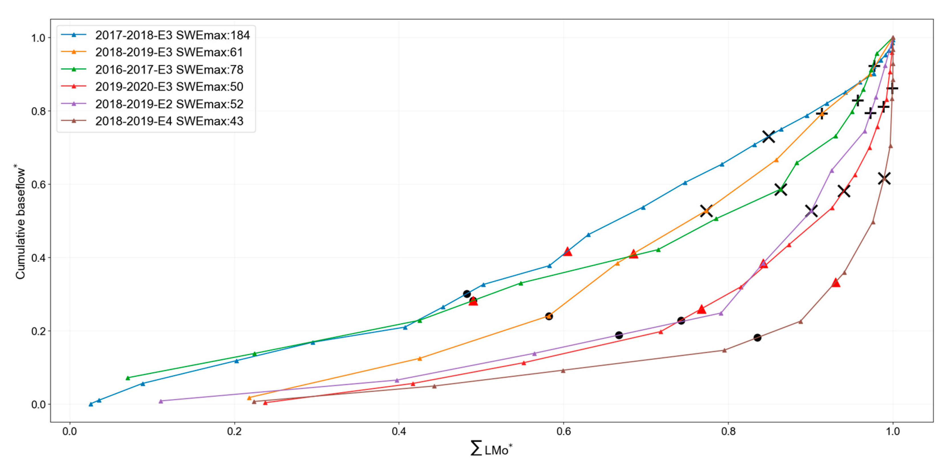
4.2. Wet Snow and Streamflow Interaction
- -
- Part 1 is represented by a linear an almost horizontal function. Here, there is a high increase in the number of wet snow pixels with almost no change in baseflow response. Hence, this part reflects the delay observed between the beginning of the melting period and the actual response in the river.
- -
- Part 2 can be represented by a power function. In this case, there is an increasing pattern in both variables, which means that both processes, the melting and the baseflow response were occurring at the same time.
- -
- Part 3 follows again a linear function, but in this case, with a vertical pattern. Therefore, the behavior here is the opposite than in Part 1, that is, we observe an increase in baseflow with limited contribution of wet snow pixels. Then, this part represents the time when almost no contribution from wet snow is happening but baseflow is still contributing to the streamflow.
5. Discussion
6. Conclusions
- Regarding methodology for wet-snow dynamics identification, S-1 SAR imagery was able not only to capture the final spring melting but also all melting cycles that commonly appear throughout the year in these types of environments. The general change detection approach used in other regions to identify wet snow was successfully adapted to be applied in semiarid mountains. The main changes carried out were the selection of an average S-1 SAR image from all images during the previous summer, and the definition of a wet snow threshold of -3.00 dB.
- Regarding backscattering understanding, the analysis at the local scale allows us to define four different type of melting runoff onsets triggering the melting. Each of them was associated to a specific type of melting cycle which was also connected to specific snowpack characteristics (e.g., snowpack depth, duration of the accumulation phase before the melting cycle, time of the year).
- At the catchment scale, a new approach was proposed for defined melting cycles throughout the year by using just S-1 SAR imagery. Using that, distributed melting runoff onset maps were obtained to better understand the spatiotemporal evolution of melting dynamics.
- Regarding the connection between snowmelt dynamics and streamflow, a common piecewise function, composed by three parts, was found to explain it. The shape of this curve was directly connected to the maximum SWE achieved during the snow cycle. The higher the SWE the more linear this relation was. This linear relationship for long-lasting melting cycles was used to find a mean delay between the melting onset and streamflow peak of about 21 days.
Acknowlegments
Conflicts of Interest
Appendix A. Sensitivity Analysis





References
- Allan, R.P.; Barlow, M.; Byrne, M.P.; Cherchi, A.; Douville, H.; Fowler, H.J.; Gan, T.Y.; Pendergrass, A.G.; Rosenfeld, D.; Swann, A.L.S.; et al. Advances in Understanding Large-Scale Responses of the Water Cycle to Climate Change. Ann. N. Y. Acad. Sci. 2020, 1472. [Google Scholar] [CrossRef]
- Polo, M.J.; Pimentel, R.; Gascoin, S.; Notarnicola, C. Mountain Hydrology in the Mediterranean Region. Water Resour. Mediterr. Reg. 2020, 51–75. [Google Scholar] [CrossRef]
- Pimentel, R.; Herrero, J.; Polo, M.J. Subgrid Parameterization of Snow Distribution at a Mediterranean Site Using Terrestrial Photography. Hydrol. Earth Syst. Sci. 2017, 21, 805–820. [Google Scholar] [CrossRef]
- Pimentel, R.; Herrero, J.; Polo, M. Quantifying Snow Cover Distribution in Semiarid Regions Combining Satellite and Terrestrial Imagery. Remote Sens. 2017, 9, 995. [Google Scholar] [CrossRef]
- Fayad, A.; Gascoin, S.; Faour, G.; Fanise, P.; Drapeau, L.; Somma, J.; Fadel, A.; Al Bitar, A.; Escadafal, R. Snow Observations in Mount Lebanon (2011-2016). Earth Syst. Sci. Data 2017, 9. [Google Scholar] [CrossRef]
- Herrero, J.; Polo, M.J. Evaposublimation from the Snow in the Mediterranean Mountains of Sierra Nevada (Spain). Cryosph. 2016, 10, 2981–2998. [Google Scholar] [CrossRef]
- Thakur, P.K.; Garg, V.; Nikam, B.R.; Singh, S.; Chouksey, A.; Dhote, P.R.; Aggarwal, S.P.; Chauhan, P.; Kumar, A.S. SNOW COVER AND GLACIER DYNAMICS STUDY USING C-AND L-BAND SAR DATASETS IN PARTS OF NORTH WEST HIMALAYA. Int. Arch. Photogramm. Remote Sens. Spat. Inf. Sci. 2018, XLII–5, 375–382. [CrossRef]
- Contreras, E.; Herrero, J.; Crochemore, L.; Aguilar, C.; Polo, M.J. Seasonal Climate Forecast Skill Assessment for the Management of Water Resources in a Run of River Hydropower System in the Poqueira River (Southern Spain). Water (Switzerland) 2020, 12. [Google Scholar] [CrossRef]
- Gray, D.; McKay, G. The Handbook of Snow: Principles, Processes, Management & Use; 1981.
- DeWalle, D.R.; Rango, A. Principles of Snow Hydrology; Cambridge University Press, 2008; ISBN 9780521823623.
- House, A. Corrigendum to: Physical Hydrology By S. Lawrence Dingman [Hydrological Sciences Journal, (2015), 643]. Hydrol. Sci. J. 2015, 60.
- Elder, K.; Dozier, J.; Michaelsen, J. Snow Accumulation and Distribution in an Alpine Watershed. Water Resour. Res. 1991, 27. [Google Scholar] [CrossRef]
- Egli, L.; Jonas, T.; Meister, R. Comparison of Different Automatic Methods for Estimating Snow Water Equivalent. Cold Reg. Sci. Technol. 2009, 57. [Google Scholar] [CrossRef]
- Domine, F. Physical Properties of Snow. In Proceedings of the Encyclopedia of Earth Sciences Series; 2011; Vol. Part 3.
- Colbeck, S.C. An Overview of Seasonal Snow Metamorphism. Rev. Geophys. 1982, 20. [Google Scholar] [CrossRef]
- Kinar, N.J.; Pomeroy, J.W. Measurement of the Physical Properties of the Snowpack. Rev. Geophys. 2015, 53. [Google Scholar] [CrossRef]
- Pirazzini, R.; Leppänen, L.; Picard, G.; Lopez-Moreno, J.I.; Marty, C.; Macelloni, G.; Kontu, A.; von Lerber, A.; Tanis, C.M.; Schneebeli, M.; et al. European In-Situ Snow Measurements: Practices and Purposes. Sensors (Switzerland) 2018, 18. [Google Scholar] [CrossRef]
- Helbig, N.; Schirmer, M.; Magnusson, J.; Mäder, F.; Van Herwijnen, A.; Quéno, L.; Bühler, Y.; Deems, J.S.; Gascoin, S. A Seasonal Algorithm of the Snow-Covered Area Fraction for Mountainous Terrain. Cryosphere 2021, 15. [Google Scholar] [CrossRef]
- Riggs, G.; Hall, D. MODIS Snow Products Collection 6 User Guide. Natl. Snow Ice Data Cent. Distrib. Act. Arch. Cent. 2016.
- Bair, E.H.; Rittger, K.; Skiles, S.M.K.; Dozier, J. An Examination of Snow Albedo Estimates From MODIS and Their Impact on Snow Water Equivalent Reconstruction. Water Resour. Res. 2019, 55. [Google Scholar] [CrossRef]
- Pimentel, R.; Aguilar, C.; Herrero, J.; Pérez-Palazón, M.J.; Polo, M.J. Comparison between Snow Albedo Obtained from Landsat TM, ETM+ Imagery and the SPOT VEGETATION Albedo Product in a Mediterranean Mountainous Site. Hydrology 2016, 3. [Google Scholar] [CrossRef]
- Painter, T.H.; Rittger, K.; McKenzie, C.; Slaughter, P.; Davis, R.E.; Dozier, J. Retrieval of Subpixel Snow Covered Area, Grain Size, and Albedo from MODIS. Remote Sens. Environ. 2009, 113. [Google Scholar] [CrossRef]
- Takala, M.; Luojus, K.; Pulliainen, J.; Derksen, C.; Lemmetyinen, J.; Kärnä, J.P.; Koskinen, J.; Bojkov, B. Estimating Northern Hemisphere Snow Water Equivalent for Climate Research through Assimilation of Space-Borne Radiometer Data and Ground-Based Measurements. Remote Sens. Environ. 2011, 115, 3517–3529. [Google Scholar] [CrossRef]
- Tsang, L.; Durand, M.; Derksen, C.; Barros, A.P.; Kang, D.H.; Lievens, H.; Marshall, H.P.; Zhu, J.; Johnson, J.; King, J.; et al. Review Article: Global Monitoring of Snow Water Equivalent Using High-Frequency Radar Remote Sensing. Cryosphere 2022, 16. [Google Scholar] [CrossRef]
- Venäläinen, P.; Luojus, K.; Mortimer, C.; Lemmetyinen, J.; Pulliainen, J.; Takala, M.; Moisander, M.; Zschenderlein, L. Implementing Spatially and Temporally Varying Snow Densities into the GlobSnow Snow Water Equivalent Retrieval. Cryosphere 2023, 17. [Google Scholar] [CrossRef]
- Walker, A.E.; Goodison, B.E. Discrimination of a Wet Snow Cover Using Passive Microwave Satellite Data. Ann. Glaciol. 1993, 17. [Google Scholar] [CrossRef]
- Ulaby, F.T.; Stiles, W.H.; Dellwig, L.F.; Hanson, B.C. Experiments on the Radar Backscatter of Snow. IEEE Trans. Geosci. Electron. 1977, 15. [Google Scholar] [CrossRef]
- Marin, C.; Bertoldi, G.; Premier, V.; Callegari, M.; Brida, C.; Hürkamp, K.; Tschiersch, J.; Zebisch, M.; Notarnicola, C. Use of Sentinel-1 Radar Observations to Evaluate Snowmelt Dynamics in Alpine Regions. Cryosph. 2020, 14, 935–956. [Google Scholar] [CrossRef]
- Antropova, Y.K.; Komarov, A.S.; Richardson, M.; Millard, K.; Smith, K. Detection of Wet Snow in the Arctic Tundra from Time-Series Fully-Polarimetric RADARSAT-2 Images. Remote Sens. Environ. 2022, 283. [Google Scholar] [CrossRef]
- Torres, R.; Snoeij, P.; Geudtner, D.; Bibby, D.; Davidson, M.; Attema, E.; Potin, P.; Rommen, B.Ö.; Floury, N.; Brown, M.; et al. GMES Sentinel-1 Mission. Remote Sens. Environ. 2012, 120. [Google Scholar] [CrossRef]
- Hu, J.; Zhang, T.; Zhou, X.; Jiang, L.; Yi, G.; Wen, B.; Chen, Y. Extracting Time-Series of Wet-Snow Facies in Greenland Using Sentinel-1 SAR Data on Google Earth Engine. IEEE J. Sel. Top. Appl. Earth Obs. Remote Sens. 2022, 15. [Google Scholar] [CrossRef]
- Zhu, Q.; Guo, H.; Zhang, L.; Liang, D.; Liu, X.; Zhou, H.; Gou, Y. High-Resolution Spatio-Temporal Analysis of Snowmelt over Antarctic Peninsula Ice Shelves from 2015 to 2021 Using SAR Images. Int. J. Digit. Earth 2023, 16. [Google Scholar] [CrossRef]
- Luo, S.; Xiong, J.; Liu, S.; Hu, K.; Cheng, W.; Liu, J.; He, Y.; Sun, H.; Cui, X.; Wang, X. New Insights into Ice Avalanche-Induced Debris Flows in Southeastern Tibet Using SAR Technology. Remote Sens. 2022, 14. [Google Scholar] [CrossRef]
- Tramblay, Y.; Koutroulis, A.; Samaniego, L.; Vicente-Serrano, S.M.; Volaire, F.; Boone, A.; Le Page, M.; Llasat, M.C.; Albergel, C.; Burak, S.; et al. Challenges for Drought Assessment in the Mediterranean Region under Future Climate Scenarios. Earth-Science Rev. 2020, 210. [Google Scholar] [CrossRef]
- Pimentel, R.; Herrero, J.; Zeng, Y.; Su, Z.; Polo, M.J. Study of Snow Dynamics at Subgrid Scale in Semiarid Environments Combining Terrestrial Photography and Data Assimilation Techniques. J. Hydrometeorol. 2015, 16. [Google Scholar] [CrossRef]
- Ramage, J.M.; McKenney, R.A.; Thorson, B.; Maltais, P.; Kopczynski, S.E. Relationship between Passive Microwave-Derived Snowmelt and Surface-Measured Discharge, Wheaton River, Yukon Territory, Canada. In Proceedings of the Hydrological Processes; 2006; Vol. 20.
- Hall, D.K.; Foster, J.L.; DiGirolamo, N.E.; Riggs, G.A. Snow Cover, Snowmelt Timing and Stream Power in the Wind River Range, Wyoming. Geomorphology 2012, 137. [Google Scholar] [CrossRef]
- Godsey, S.E.; Kirchner, J.W. Dynamic, Discontinuous Stream Networks: Hydrologically Driven Variations in Active Drainage Density, Flowing Channels and Stream Order. Hydrol. Process. 2014, 28. [Google Scholar] [CrossRef]
- Uzun, S.; Tanir, T.; Coelho, G. de A.; Souza de Lima, A. de; Cassalho, F.; Ferreira, C.M. Changes in Snowmelt Runoff Timing in the Contiguous United States. Hydrol. Process. 2021, 35. [Google Scholar] [CrossRef]
- Li, S.; Liu, M.; Adam, J.C.; Pi, H.; Su, F.; Li, D.; Liu, Z.; Yao, Z. Contribution of Snow-Melt Water to the Streamflow over the Three-River Headwater Region, China. Remote Sens. 2021, 13. [Google Scholar] [CrossRef]
- Blankinship, J.C.; Meadows, M.W.; Lucas, R.G.; Hart, S.C. Snowmelt Timing Alters Shallow but Not Deep Soil Moisture in the Sierra Nevada. Water Resour. Res. 2014, 50. [Google Scholar] [CrossRef]
- McNamara, J.P.; Chandler, D.; Seyfried, M.; Achet, S. Soil Moisture States, Lateral Flow, and Streamflow Generation in a Semi-Arid, Snowmelt-Driven Catchment. Hydrol. Process. 2005, 19. [Google Scholar] [CrossRef]
- Pérez-Palazón, M.J.; Pimentel, R.; Polo, M.J. Climate Trends Impact on the Snowfall Regime in Mediterranean Mountain Areas: Future Scenario Assessment in Sierra Nevada (Spain). Water (Switzerland) 2018, 10. [Google Scholar] [CrossRef]
- Herrero, J.; Polo, M.J.; Moñino, A.; Losada, M.A. An Energy Balance Snowmelt Model in a Mediterranean Site. J. Hydrol. 2009, 371, 98–107. [Google Scholar] [CrossRef]
- Polo, M.J.; Herrero, J.; Pimentel, R.; Pérez-Palazón, M.J. The Guadalfeo Monitoring Network (Sierra Nevada, Spain): 14 Years of Measurements to Understand the Complexity of Snow Dynamics in Semiarid Regions. Earth Syst. Sci. Data 2019, 11. [Google Scholar] [CrossRef]
- Aguilar, C.; Herrero, J.; Millares, A.; Losada, M.A.; Polo, M.J. Meteomap: Generation of Meteorological Variables for Distribuited Physically-Based Hydrological Modeling. In Proceedings of the 11th International Conference on Hydroinformatics; 2014.
- Herrero, J.; Aguilar, C.; Polo, M.J.; Losada, M.Á. Mapping of Meteorological Varaibles for Runoff Generation Forecast in Distributed Hydrological Modeling. In Proceedings of the Hydraulic Measurements & Experimental Methods Conference; 2007.
- Aguilar, C.; Herrero, J.; Polo, M.J. Topographic Effects on Solar Radiation Distribution in Mountainous Watersheds and Their Influence on Reference Evapotranspiration Estimates at Watershed Scale. Hydrol. Earth Syst. Sci. 2010, 14, 2479–2494. [Google Scholar] [CrossRef]
- Mätzler, C. Applications of the Interaction of Microwaves with the Natural Snow Cover. Remote Sens. Rev. 1987, 2. [Google Scholar] [CrossRef]
- Strozzi, T.; Wiesmann, A.; Mätzler, C. Active Microwave Signatures of Snow Covers at 5.3 and 35 GHz. Radio Sci. 1997, 32. [Google Scholar] [CrossRef]
- PENMAN, H.L. Natural Evaporation from Open Water, Hare Soil and Grass. Proc. R. Soc. Lond. A. Math. Phys. Sci. 1948, 193. [Google Scholar] [CrossRef]
- Monteith, J.L.; Szeicz, G.; Yabuki, K. Crop Photosynthesis and the Flux of Carbon Dioxide Below the Canopy. J. Appl. Ecol. 1964, 1. [Google Scholar] [CrossRef]
- Heber Green, W.; Ampt, G.A. Studies on Soil Phyics. J. Agric. Sci. 1911, 4. [Google Scholar] [CrossRef]
- Millares, A.; Polo, M.J.; Losada, M.A. The Hydrological Response of Baseflow in Fractured Mountain Areas. Hydrol. Earth Syst. Sci. 2009, 13. [Google Scholar] [CrossRef]
- Pastén-Zapata, E.; Pimentel, R.; Royer-Gaspard, P.; Sonnenborg, T.O.; Aparicio-Ibañez, J.; Lemoine, A.; Pérez-Palazón, M.J.; Schneider, R.; Photiadou, C.; Thirel, G.; et al. The Effect of Weighting Hydrological Projections Based on the Robustness of Hydrological Models under a Changing Climate. J. Hydrol. Reg. Stud. 2022, 41. [Google Scholar] [CrossRef]
- Nagler, T.; Rott, H. Snow Classification Algorithm for ENVISAT ASAR. In Proceedings of the European Space Agency, (Special Publication) ESA SP; 2005.
- Nagler, T.; Rott, H. Retrieval of Wet Snow by Means of Multitemporal SAR Data. IEEE Trans. Geosci. Remote Sens. 2000, 38. [Google Scholar] [CrossRef]
- Nagler, T.; Rott, H.; Ripper, E.; Bippus, G.; Hetzenecker, M. Advancements for Snowmelt Monitoring by Means of Sentinel-1 SAR. Remote Sens. 2016, 8. [Google Scholar] [CrossRef]
- Ulaby, F.; Long, D. Microwave Radar and Radiometric Remote Sensing; 2014.
- He, G.; Feng, X.; Xiao, P.; Xia, Z.; Wang, Z.; Chen, H.; Li, H.; Guo, J. Dry and Wet Snow Cover Mapping in Mountain Areas Using SAR and Optical Remote Sensing Data. IEEE J. Sel. Top. Appl. Earth Obs. Remote Sens. 2017, 10. [Google Scholar] [CrossRef]
- Snapir, B.; Momblanch, A.; Jain, S.K.; Waine, T.W.; Holman, I.P. A Method for Monthly Mapping of Wet and Dry Snow Using Sentinel-1 and MODIS: Application to a Himalayan River Basin. Int. J. Appl. Earth Obs. Geoinf. 2019, 74. [Google Scholar] [CrossRef]
- Nagler, T.; Schwaizer, G.; Ossowska, J.; Rott, H.; Small, D. Towards an Advanced Pan-European Snow Cover Product from Sentinel-1 SAR and Sentinel-3 SLSTR. In Proceedings of the EGU 2018; 2018; Vol. 20.
- Schellenberger, T.; Ventura, B.; Zebisch, M.; Notarnicola, C. Wet Snow Cover Mapping Algorithm Based on Multitemporal COSMO-SkyMed X-Band SAR Images. IEEE J. Sel. Top. Appl. Earth Obs. Remote Sens. 2012, 5. [Google Scholar] [CrossRef]
- Gorelick, N.; Hancher, M.; Dixon, M.; Ilyushchenko, S.; Thau, D.; Moore, R. Google Earth Engine: Planetary-Scale Geospatial Analysis for Everyone. Remote Sens. Environ. 2017, 202. [Google Scholar] [CrossRef]
- Buchelt, S.; Skov, K.; Rasmussen, K.K.; Ullmann, T. Sentinel-1 Time Series for Mapping Snow Cover Depletion and Timing of Snowmelt in Arctic Periglacial Environments: Case Study from Zackenberg and Kobbefjord, Greenland. Cryosphere 2022, 16. [Google Scholar] [CrossRef]
- Ulaby, F.T.; Abdelrazik, M.; Stiles, W.H. Snowcover Influence on Backscattering from Terrain. IEEE Trans. Geosci. Remote Sens. 1984, GE-22. [Google Scholar] [CrossRef]
- Linlor, W.I. Permittivity and Attenuation of Wet Snow between 4 and 12 GHz. J. Appl. Phys. 1980, 51. [Google Scholar] [CrossRef]
- Schreier, G. Geometrical Properties of SAR Images. In SAR Geocoding: Data and Systems; 1993.
- Yin, D.; Cao, X.; Chen, X.; Shao, Y.; Chen, J. Comparison of Automatic Thresholding Methods for Snow-Cover Mapping Using Landsat TM Imagery. Int. J. Remote Sens. 2013, 34. [Google Scholar] [CrossRef]
- Zhang, H.; Zhang, F.; Zhang, G.; Che, T.; Yan, W.; Ye, M.; Ma, N. Ground-Based Evaluation of MODIS Snow Cover Product V6 across China: Implications for the Selection of NDSI Threshold. Sci. Total Environ. 2019, 651. [Google Scholar] [CrossRef]
- Koskinen, J.T.; Pulliainen, J.T.; Luojus, K.P.; Takala, M. Monitoring of Snow-Cover Properties during the Spring Melting Period in Forested Areas. IEEE Trans. Geosci. Remote Sens. 2010, 48. [Google Scholar] [CrossRef]
- Solorza, R.; Cogliati, M.; Salcedo, A.P.; Notarnicola, C. Snow Cover Estimation Using L Band SAR Data in the North Patagonian Andes of Argentina. Rev. la Asoc. Geol. Argentina 2016, 73. [Google Scholar]
- Veyssière, G.; Karbou, F.; Morin, S.; Lafaysse, M.; Vionnet, V. Evaluation of Sub-Kilometric Numerical Simulations of C-Band Radar Backscatter over the French Alps against Sentinel-1 Observations. Remote Sens. 2019, 11. [Google Scholar] [CrossRef]
- Rott, H.; Mätzler, C. Possibilities and Limits of Synthetic Aperture Radar for Snow and Glacier Surveying. Ann. Glaciol. 1987, 9. [Google Scholar] [CrossRef]
- Shi, J.; Dozier, J. Measurements of Snow- and Glacier-Covered Areas with Single- Polarization SAR. Ann. Glaciol. 1993, 17. [Google Scholar] [CrossRef]
- Besic, N.; Vasile, G.; Chanussot, J.; Stankovic, S.; Boldo, D.; D’Urso, G. Wet Snow Backscattering Sensitivity on Density Change for SWE Estimation. In Proceedings of the International Geoscience and Remote Sensing Symposium (IGARSS); 2013.
- Beltramone, G.; Scavuzzo, M.; German, A.; Ferral, A. Wet Snow Detection in Patagonian Andes with Sentinel-1 SAR Temporal Series Analysis in GEE. In Proceedings of the 2020 IEEE Congreso Bienal de Argentina, ARGENCON 2020 - 2020 IEEE Biennial Congress of Argentina, ARGENCON 2020; 2020.
- Moravec, G.F.; Danielson, J.A. GRAPHICAL METHOD OF STREAM RUNOFF PREDICTION FROM LANDSAT DERIVED SNOWCOVER DATA FOR WATERSHEDS IN THE UPPER RIO GRANDE BASIN OF COLORADO. NASA Conf. Publ. 1979. [Google Scholar]
- Steele, C.; Dialesandro, J.; James, D.; Elias, E.; Rango, A.; Bleiweiss, M. Evaluating MODIS Snow Products for Modelling Snowmelt Runoff: Case Study of the Rio Grande Headwaters. Int. J. Appl. Earth Obs. Geoinf. 2017, 63. [Google Scholar] [CrossRef]
- Fassnacht, S.R.; Sexstone, G.A.; Kashipazha, A.H.; López-Moreno, J.I.; Jasinski, M.F.; Kampf, S.K.; Von Thaden, B.C. Deriving Snow-Cover Depletion Curves for Different Spatial Scales from Remote Sensing and Snow Telemetry Data. Hydrol. Process. 2016, 30. [Google Scholar] [CrossRef]
- Arsenault, K.R.; Houser, P.R. Generating Observation-Based Snow Depletion Curves for Use in Snow Cover Data Assimilation. Geosci. 2018, 8. [Google Scholar] [CrossRef]
- Polo, M.J.; Herrero, J.; Millares, A.; Pimentel, R.; Moñino, A.; Pérez-Palazón, M.J.; Aguilar, C.; Losada, M.A. Snow Dynamics, Hydrology, and Erosion. In The Landscape of the Sierra Nevada: A Unique Laboratory of Global Processes in Spain; 2022.
- Luojus, K.P.; Pulliainen, J.T.; Metsåmäki, S.J.; Hallikainen, M.T. Accuracy Assessment of SAR Data-Based Snow-Covered Area Estimation Method. IEEE Trans. Geosci. Remote Sens. 2006, 44. [Google Scholar] [CrossRef]
- Tsai, Y.L.S.; Dietz, A.; Oppelt, N.; Kuenzer, C. Wet and Dry Snow Detection Using Sentinel-1 SAR Data for Mountainous Areas with a Machine Learning Technique. Remote Sens. 2019, 11. [Google Scholar] [CrossRef]
- Baghdadi, N.; Gauthier, Y.; Bernier, M. Capability of Multitemporal ERS-1 Data for Wet-Snow Mapping. Remote Sens. Environ. 1997, 60. [Google Scholar] [CrossRef]
- Koskinen, J.T.; Pulliainen, J.T.; Hallikainen, M.T. The Use of Ers-1 Sar Data in Snow Melt Monitoring. IEEE Trans. Geosci. Remote Sens. 1997, 35. [Google Scholar] [CrossRef]
- Rott, H.; Nagler, T. Monitoring Temporal Dynamics of Snowmelt with ERS-1 SAR. In Proceedings of the International Geoscience and Remote Sensing Symposium (IGARSS); 1995; Vol. 3.
- Baghdadi, N.; Gauthier, Y.; Bernier, M.; Fortin, J.-P. Potential and Limitations of RADARSAT SAR Data for Wet Snow Monitoring. IEEE Trans. Geosci. Remote Sens. 2000, 38, 316–320. [Google Scholar] [CrossRef]
- Li, D.; Lettenmaier, D.P.; Margulis, S.A.; Andreadis, K. The Value of Accurate High-Resolution and Spatially Continuous Snow Information to Streamflow Forecasts. J. Hydrometeorol. 2019, 20. [Google Scholar] [CrossRef]
- Arribas, E.C.; Lantarón, J.H.; Porro, C.A.; Gómez, M.J.P. Management and Operation of Small Hydropower Plants through a Climate Service Targeted at End-Users. In Proceedings of the Proceedings - 2019 IEEE International Conference on Environment and Electrical Engineering and 2019 IEEE Industrial and Commercial Power Systems Europe, EEEIC/I and CPS Europe 2019; 2019.
- Durand, M.; Molotch, N.P.; Margulis, S.A. A Bayesian Approach to Snow Water Equivalent Reconstruction. J. Geophys. Res. Atmos. 2008, 113. [Google Scholar] [CrossRef]









| Melting Cycle | Beginning | End | Duration (days) | Precipitation (mm) | Snowfall (mm) | Average daily Temperature (ºC) | Average minimum daily Temperature (ºC) | Mean SWE (mm) | Maximum SWE (mm) |
|
|---|---|---|---|---|---|---|---|---|---|---|
| 2016- 2017 | ||||||||||
| C-1 | 17-11-2016 | 05-12-2016 | 18 | 256 | 159 | 0.5 | -3.0 | 85.2 | 140.2 | |
| C-2 | 11-12-2016 | 04-01-2017 | 24 | 92 | 67 | 1.3 | -2.0 | 85.8 | 125.2 | |
| C-3 | 09-02-2017 | 04-05-2017 | 84 | 233 | 140 | 3.5 | -0.6 | 23.9 | 78.7 | |
| 2017- 2018 | ||||||||||
| C-1 | 05-01-2018 | 23-01-2018 | 18 | 41 | 36 | 0.2 | -4.0 | 14.3 | 26.4 | |
| C-2 | 29-01-2018 | 16-02-2018 | 18 | 32 | 31 | 2.9 | -7.2 | 12.43 | 25.9 | |
| C-3 | 28-02-2018 | 09-08-2018 | 162 | 585 | 395 | 7.3 | 3.2 | 43.3 | 184.5 | |
| 2018 – 2019 | ||||||||||
| C-1 | 26-10-2018 | 07-11-2018 | 12 | 70 | 47 | 0.9 | -3.5 | 14.4 | 34.5 | |
| C-2 | 13-11-2018 | 12-01-2019 | 60 | 139 | 85 | 3.7 | 0.4 | 13.8 | 52.3 | |
| C-3 | 30-01-2019 | 19-03-2019 | 48 | 85 | 72 | 2.5 | -1.4 | 10.7 | 61.4 | |
| C-4 | 31-03-2019 | 23-06-2019 | 120 | 171 | 104 | 7 | 2.8 | 5.5 | 43.4 | |
Disclaimer/Publisher’s Note: The statements, opinions and data contained in all publications are solely those of the individual author(s) and contributor(s) and not of MDPI and/or the editor(s). MDPI and/or the editor(s) disclaim responsibility for any injury to people or property resulting from any ideas, methods, instructions or products referred to in the content. |
© 2023 by the authors. Licensee MDPI, Basel, Switzerland. This article is an open access article distributed under the terms and conditions of the Creative Commons Attribution (CC BY) license (http://creativecommons.org/licenses/by/4.0/).
