Submitted:
18 September 2023
Posted:
21 September 2023
You are already at the latest version
Abstract
Keywords:
1. Introduction
2. Materials and Methods
3. Experimental Results
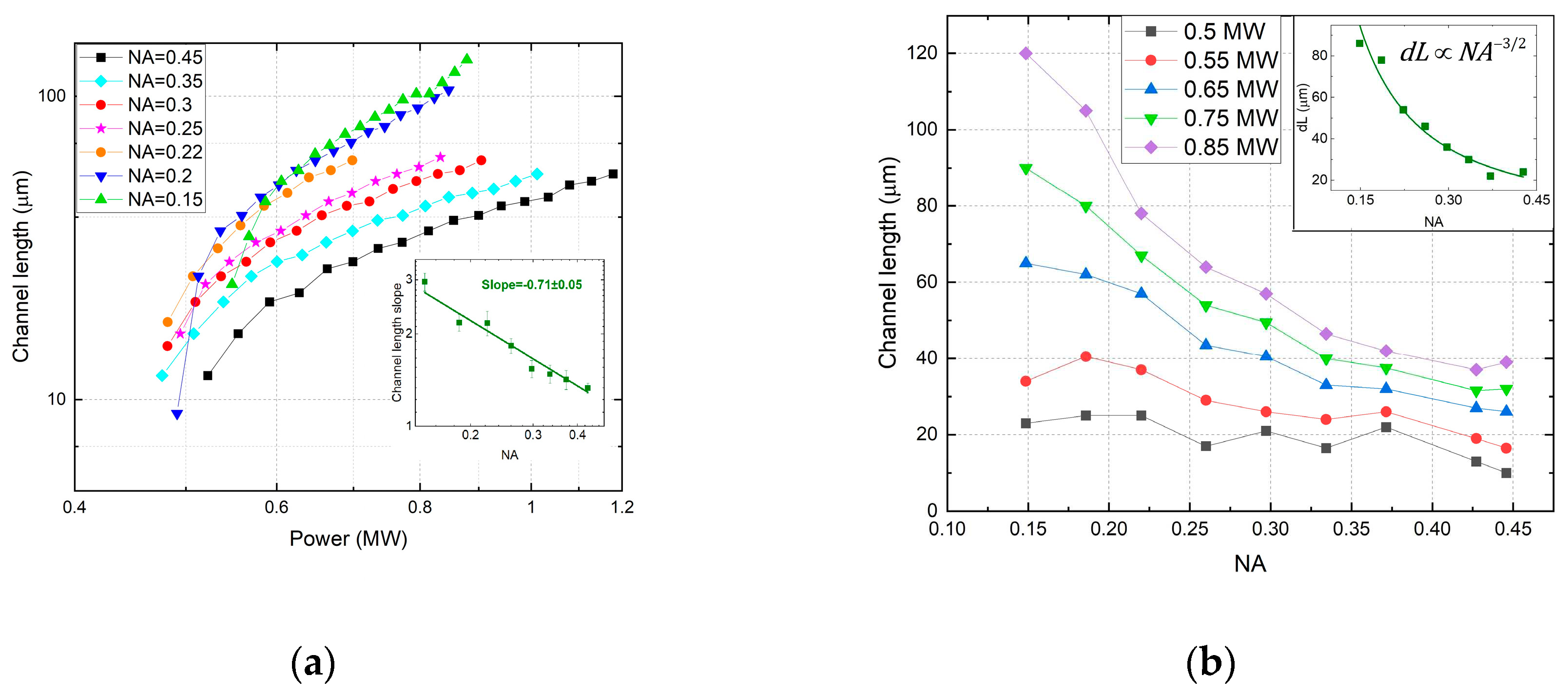
3.1. Dimensional parameters of luminous channels vs NA
3.2. Filamentation threshold power vs NA
3.3. PL intensity vs NA
4. Discussion
5. Conclusions
Author Contributions
Funding
Institutional Review Board Statement
Informed Consent Statement
Data Availability Statement
Conflicts of Interest
References
- Sugioka, K.; Cheng, Y. Ultrafast Lasers—Reliable Tools for Advanced Materials Processing. Light: Science & Applications 2014, 3, e149–e149. [Google Scholar] [CrossRef]
- Kudryashov, S.; Nastulyavichus, A.; Krasin, G.; Khamidullin, K.; Boldyrev, K.; Kirilenko, D.; Yachmenev, A.; Ponomarev, D.; Komandin, G.; Lebedev, S.; Prikhod'ko, D.; Kovalev, M. CMOS-compatible direct laser writing of sulfur-ultrahyperdoped silicon: Breakthrough pre-requisite for UV-THz optoelectronic nano/microintegration. Optics & Laser Technology 2023, 158, 108873. [Google Scholar] [CrossRef]
- Temprana, E.; Myslivets, E.; Kuo, B.-P.; Liu, L.; Ataie, V.; Alic, N.; Radic, S. Overcoming Kerr-Induced Capacity Limit in Optical Fiber Transmission. Science 2015, 348, 1445–1448. [Google Scholar] [CrossRef]
- Horton, N.G.; Wang, K.; Kobat, D.; Clark, C.G.; Wise, F.W.; Schaffer, C.B.; Xu, C. In Vivo Three-Photon Microscopy of Subcortical Structures within an Intact Mouse Brain. Nature photonics 2013, 7, 205–209. [Google Scholar] [CrossRef]
- Chen, F.F. Introduction to Plasma Physics and Controlled Fusion; Springer, 1984; Vol. 1. [Google Scholar] [CrossRef]
- Chekalin, S.V.; Kandidov, V.P. From Self-Focusing Light Beams to Femtosecond Laser Pulse Filamentation. Physics-Uspekhi 2013, 56, 123. [Google Scholar] [CrossRef]
- Marburger, J.H. Self-Focusing: Theory. Progress in quantum electronics 1975, 4, 35–110. [Google Scholar] [CrossRef]
- Mao, S.S.; Quéré, F.; Guizard, S.; Mao, X.; Russo, R.E.; Petite, G.; Martin, P. Dynamics of Femtosecond Laser Interactions with Dielectrics. Applied Physics A 2004, 79, 1695–1709. [Google Scholar] [CrossRef]
- Mann, C.R. The Theory of Optics. By Paul Drude. Translated from the German by CR Mann and RA Millikan. New York, Longmans, Green & Co. 1902. Pp. Xxi+ 546. Science 1903, 18, 432–434. [Google Scholar] [CrossRef]
- Couairon, A.; Mysyrowicz, A. Femtosecond Filamentation in Transparent Media. Physics reports 2007, 441, 47–189. [Google Scholar] [CrossRef]
- Théberge, F.; Liu, W.; Simard, P.T.; Becker, A.; Chin, S.L. Plasma Density inside a Femtosecond Laser Filament in Air: Strong Dependence on External Focusing. Physical Review E 2006, 74, 036406. [Google Scholar] [CrossRef]
- Stuart, B.C.; Feit, M.D.; Herman, S.; Rubenchik, A.M.; Shore, B.W.; Perry, M.D. Nanosecond-to-Femtosecond Laser-Induced Breakdown in Dielectrics. Physical review B 1996, 53, 1749. [Google Scholar] [CrossRef] [PubMed]
- Neauport, J.; Lamaignere, L.; Bercegol, H.; Pilon, F.; Birolleau, J.-C. Polishing-Induced Contamination of Fused Silica Optics and Laser Induced Damage Density at 351 Nm. Optics express 2005, 13, 10163–10171. [Google Scholar] [CrossRef] [PubMed]
- Couairon, A.; Sudrie, L.; Franco, M.; Prade, B.; Mysyrowicz, A. Filamentation and damage in fused silica induced by tightly focused femtosecond laser pulses. Physical Review B 2005, 71, 125435. [Google Scholar] [CrossRef]
- Gattass, R.R.; Mazur, E. Femtosecond Laser Micromachining in Transparent Materials. Nature photonics 2008, 2, 219–225. [Google Scholar] [CrossRef]
- Bergé, L.; Skupin, S.; Nuter, R.; Kasparian, J.; Wolf, J.-P. Ultrashort Filaments of Light in Weakly Ionized, Optically Transparent Media. Reports on progress in physics 2007, 70, 1633. [Google Scholar] [CrossRef]
- Kudryashov, S.I.; Danilov, P.A.; Kuzmin, E.V.; Gulina, Y.S.; Rupasov, A.E.; Krasin, G.K.; Zubarev, I.G.; Levchenko, A.O.; Kovalev, M.S.; Pakholchuk, P.P. Pulse-Width-Dependent Critical Power for Self-Focusing of Ultrashort Laser Pulses in Bulk Dielectrics. Optics Letters 2022, 47, 3487–3490. [Google Scholar] [CrossRef] [PubMed]
- Krasin, G.K.; Gulina, Y.S.; Kuzmin, E.V.; Martovitskii, V.P.; Kudryashov, S.I. Polarization-Sensitive Nonlinear Optical Interaction of Ultrashort Laser Pulses with HPHT Diamond. In Photonics; Multidisciplinary Digital Publishing Institute, 2023; Vol. 10. [Google Scholar] [CrossRef]
- Dubietis, A.; Couairon, A. Ultrafast Supercontinuum Generation in Transparent Solid-State Media; Springer, 2019. [Google Scholar] [CrossRef]
- Glezer, E.N.; Mazur, E. Ultrafast-Laser Driven Micro-Explosions in Transparent Materials. Applied physics letters 1997, 71, 882–884. [Google Scholar] [CrossRef]
- Schaffer, C.B.; Brodeur, A.; García, J.F.; Mazur, E. Micromachining Bulk Glass by Use of Femtosecond Laser Pulses with Nanojoule Energy. Optics letters 2001, 26, 93–95. [Google Scholar] [CrossRef]
- Yamada, K.; Watanabe, W.; Toma, T.; Itoh, K.; Nishii, J. In Situ Observation of Photoinduced Refractive-Index Changes in Filaments Formed in Glasses by Femtosecond Laser Pulses. Optics letters 2001, 26, 19–21. [Google Scholar] [CrossRef]
- Wu, A.Q.; Chowdhury, I.H.; Xu, X. Plasma Formation in Fused Silica Induced by Loosely Focused Femtosecond Laser Pulse. Applied physics letters 2006, 88, 111502. [Google Scholar] [CrossRef]
- Ashcom, J.B.; Gattass, R.R.; Schaffer, C.B.; Mazur, E. Numerical Aperture Dependence of Damage and Supercontinuum Generation from Femtosecond Laser Pulses in Bulk Fused Silica. JOSA B 2006, 23, 2317–2322. [Google Scholar] [CrossRef]
- Poudel, M.P.; Chen, J. Nonlinear Optical Effects during Femtosecond Photodisruption. Optical Engineering 2009, 48, 114302–114302. [Google Scholar] [CrossRef]
- Naseri, N.; Dupras, G.; Ramunno, L. Mechanism of Laser Induced Filamentation in Dielectrics. Optics Express 2020, 28, 26977–26988. [Google Scholar] [CrossRef] [PubMed]
- Lim, K.; Durand, M.; Baudelet, M.; Richardson, M. Transition from Linear-to Nonlinear-Focusing Regime in Filamentation. Scientific reports 2014, 4, 7217. [Google Scholar] [CrossRef] [PubMed]
- Lim, K. Laser Filamentation-beyond Self-Focusing and Plasma Defocusing. 2014.
- Trojánek, F.; Zídek, K.; Dzurnák, B.; Kozák, M.; Malý, P. Nonlinear Optical Properties of Nanocrystalline Diamond. Optics Express 2010, 18, 1349–1357. [Google Scholar] [CrossRef]
- Boyd, R.W. Nonlinear Optics, 3rd ed.; Academic: Boston, USA, 1992. [Google Scholar]
- Jukna, V.; Galinis, J.; Tamosauskas, G.; Majus, D.; Dubietis, A. Infrared extension of femtosecond supercontinuum generated by filamentation in solid-state media. Applied Physics B 2014, 116, 477–483. [Google Scholar] [CrossRef]
- Fang, X.J.; Kobayashi, T. Evolution of a super-broadened spectrum in a filament generated by an ultrashort intense laser pulse in fused silica. Applied Physics B 2003, 77, 167–170. [Google Scholar] [CrossRef]
- Chekalin, S.V.; Kandidov, V.P. From self-focusing light beams to femtosecond laser pulse filamentation. Physics-Uspekhi 2013, 56, 23. [Google Scholar] [CrossRef]
- Heins, A.; Guo, C. Spectral investigation of higher-order Kerr effects in a tight-focusing geometry. Optics Express 2013, 21, 29401–29412. [Google Scholar] [CrossRef]
- Kudryashov, S.; Danilov, P.; Smirnov, N.; Levchenko, A.; Kovalev, M.; Gulina, Yu.; Kovalchuk, O.; Ionin, A. Femtosecond-laser-excited luminescence of the A-band in natural diamond and its thermal control. Opt. Mater. Express 2021, 11, 2505–2513. [Google Scholar] [CrossRef]
- Kudryashov, S.I.; Levchenko, A.O.; Danilov, P.A.; Smirnov, N.A.; Ionin, A.A. ; IR femtosecond laser micro-filaments in diamond visualized by inter-band UV photoluminescence. Opt. Lett. 2020, 45, 2026–2029. [Google Scholar] [CrossRef] [PubMed]
- Liu, W.; Petit, S.; Becker, A.; Aközbek, N.; Bowden, C.M.; Chin, S.L. Intensity clamping of a femtosecond laser pulse in condensed matter. Opt. Commun. 2002, 202, 189–197. [Google Scholar] [CrossRef]
- Kandidov, V.P.; Fedorov, V.Y.; Tverskoi, O.V.; Kosareva, O.G.; Chin, S.L. Intensity clamping in the filament of femtosecond laser radiation. Quant. Electron. 2011, 41, 382–386. [Google Scholar] [CrossRef]






Disclaimer/Publisher’s Note: The statements, opinions and data contained in all publications are solely those of the individual author(s) and contributor(s) and not of MDPI and/or the editor(s). MDPI and/or the editor(s) disclaim responsibility for any injury to people or property resulting from any ideas, methods, instructions or products referred to in the content. |
© 2023 by the authors. Licensee MDPI, Basel, Switzerland. This article is an open access article distributed under the terms and conditions of the Creative Commons Attribution (CC BY) license (http://creativecommons.org/licenses/by/4.0/).
