1. Introduction
In the course of the last few decades, academics and scientists have demonstrated a great deal of interest in the field of fractional calculus (FC), which is concerned with derivatives and integrals of non-integer order. As we know, classical calculus has been developed as a vast subject, and many researchers have been working on it till now. Due to the ideas of German mathematicians
Lebiez and
L-Hospital, the theory of fractional calculus came into existence about 300 years ago. FC can be assumed to be a well-developed and established subject. Both memory effects and hereditary properties influence the problem under consideration. We all know that classical differential equations have numerous applications that model many natural phenomena and physical phenomena compared to classical differential equations. In the last few decades, an abundance of research papers, monographs, and books have been published, covering an extensive range of subjects such as existence theory and analytical results.For instance, mathematical models involving fractional as well as integer order derivatives have been investigated for different real-world problems in literature (we refer the readers to References [
12,
13,
14,
15,
16,
17,
18,
19] and the references therein). There are numerous local and nonlocal fractional notions in the literature, notably those of Riemann-Liouville, Grunwald, Caputo, Riesz, conformable and Caputo-Fabrizio. Since most physical implementations rely on historical and nonlocal properties, nonlocal derivatives are more intriguing than local derivatives. On the basis of singular kernels, some of these operations, notably Riemann-Liouville and Caputo have been offered. In contrast to traditional fractional derivatives, recent fractional derivatives that are based on nonsingular kernels that were suggested by Caputo-Fabrizio [
6] and Atangana-Baleanu [
7] are more accurately represent physical dissipative procedures and minimize a numerical collision. Here, we seek to expand such a tool to examine certain problems which appear in the biological, social, and physical sciences, as well as other areas where there is data inconsistency.
In 1960,
Zadeh [
8] introduced the concept of the theory of fuzzy sets as an extension of classical set theory. Since then, it has started gaining the attraction of many researchers due to its skillin analyzing unpredictabilityinfacts and particulars. Mainly, fuzzy set theory allows us to prospect new estimations and expand the chances for effectively handling and analyzing fuzzy information. Fuzzy mapping and control were developed by
Chang and
Zadeh [
9] and the concept of the fuzzy set was further developed upon. A number of researchers generalized this notion in order to build primary fuzzy calculus on the basis of fuzzy mapping and control [
10,
11,
12]. Fuzzy calculus deals with fuzzy sets and fuzzy numbers, allowing for representing and manipulating unpredictable and unspecific quantities. Fuzzy calculus is being found applicable in a wide range of fields, including mathematics, computer science and engineering. Numerous fields, including topology, fixed-point theory, integral inequalities, fractional calculus, bifurcation, image processing, pattern recognition, expert systems, consumer electronics, control theory, artificial intelligence, and operations research have made extensive use of the fuzzy calculus. Fuzzy fractional differential and integral equations (FFDIEs) have received significant attention in the physical sciences during the past few decades. Among those who initially proposed the fundamental idea of fuzzy integral equations were
Dobius and
Prada [
13]. To deal with such types of challenges, as the information is unclear and unreliable, fuzzy numbers are employed for parameters instead of crisp numbers. FFDIEs may be employed to model these types of concerns. As a consequence, many researchers evaluated such model’s details through numerical or analytical techniques.
Nowadays, academics and scientists have demonstrated a great deal of interest in the field of fuzzy fractional calculus (FFC), which is an augmentation of fractional calculus and fuzzy calculus. It broadens the conventional calculus operations, such as differentiation and integration, to fuzzy numbers of arbitraryorder. This allows for a more comprehensive analysis of functions and systems that exhibit both fuzzy and fractional characteristics. Research in FFC continues to explore new theoretical developments, such as the establishment of fuzzy fractional differential equations and the development of appropriate techniques for solving them. This provides a more accurate and powerful tool for modeling and analyzing complex systems with fractional and fuzzy characteristics, allowing for a better mastery and control of real-world phenomena. Fuzzy fractional calculus has been applied in areas such as finance, image processing, control systems, and others.For example, fuzzy fractional operators can be used to upgrade image characteristics and grasp noise or unpredictability of the data in image processing. Fuzzy fractional derivatives heavily rely on fuzzy Riemann–Liouville or fuzzy Caputo-Liouville derivative.Many fuzzy fractional differential operators are known to be nonlocal, indicating that their future states depend on their historical and current situations. A range of singular and non-singular fuzzy fractional operators have been developed with applications in a wide range of fields of science [
5,
6,
7,
8,
9,
10]. The nonlocality and singularity of the kernel function, which can be seen in the integral operator’s side-by-side with the normalizing function arising alongside the integral ticks, are the most prevalent shortcomings of these two qualifiers. Indeed, a more useful and clear definition must result from the unpreventable existence of real-world core reproducing dynamic fractional systems. Atangana-Baleanu-Caputo (ABC), a novel fractional fuzzy derivative construct that is utilized to synthesize and convey fresh tangible fuzzy mathematical concepts, is introduced in this orientation. The new fuzzy fractional ABC derivative appears to be releasing singularity with the local kernel function. This is because the kernel is based on the nature of exponential decay, making fuzzy fractional order differential equations (FFPDEs) more plausible in establishing several uncertain models [
1,
2,
3,
4,
5].
Further, FFPDEs have many real-world problems like heat transfer phenomena, nonlinear propagation of traveling waves, damped nonlinear string, electronics, telecommunications, dynamical systems and so on(see References [36–38]).To tackle FFPDEs, important tools and methods were found in the literature. Such tools include Fourier integral transform, Laplace transform, Sumudu transform, and so on. Among others, we found some analytical methods like Homotopy methods, Adomian decomposition, Laplace Adomian decomposition methods, Taylor’s series method, and other methods.In [
31], the homotopy analysis transform method has been proposed and implemented to derive new analytical solutions for the fuzzy heat-like equations. To the best of our information, the above mentioned methods have not been properly used to deal with FFPDEs.
On the other hand, perturbation methods are important tools for solving nonlinear problems. However, these methods, like other nonlinear analytical techniques, have their own set of restrictions. That is, the applicability of perturbation techniques is severely limited by the assumption that the Equation must have a small parameter. The Homotopy Perturbation Method (HPM),which is the coupling of the homotopy method and classical perturbation technique, was first proposed by
He [
21] and then used by many researchers in recent years to solve various types of linear and nonlinear differential equations, see, for example, [
22,
23] and references therein. The main significance of this method is that it doesn’t require a small parameter in the Equation, so it overcomes the impediments of the classical perturbation technique. In 2020, Muhammad Arfan et al. developed an algorithm based on the HPM to compute an analytical solution for a two-dimensional fuzzy fractional heat equation involving external source term, and found the efficiency and the capability of the method. The Laplace transform, decomposition techniques, and the Adomian polynomial under the Caputo–Fabrizio fractional differential operator have been applied to obtain the semi-analytical solution of the 2D heat equation without an external diffusion term.
In [
20], the authors applied the HPM along with a crucial integral transform called Elzaki transformation (ET) to provide the solution of some nonlinear partial differential equations. This method is called the Homotopy Perturbation Elzaki Transform method (HPETM). This method gives a power series solution in the form of a rapidly convergent series lead to high accurate solutions with only a few iterations. The efficiency of HPETM in solving nonlinear homogeneous and non-homogeneous partial differential equations is also shown in [
24,
25,
26].
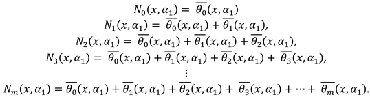
In the present work, we focus on computingan approximate solution by the iterativemethod based HPETM for the following two-dimensional fuzzy fractional heat equation:
where
stands for Caputo fractional derivativeand
. It is pointed out that, the two-dimensional heat equation representsthe transfer of heat through an infinite thin sheet. Here in Equation (1), the term
represents the temperature of the body at any point in the thin sheet. This phenomenon of heat transfer can be found in many diffusion problems. Therefore, the investigation of two-dimensional Fuzzy fractional heat equationshas much more application in various domains, such as heat transfer analysis in materials with uncertain properties, modeling of temperature distribution in environmental systems, or analysis of thermal processes in complex systems with imprecise parameters.
The two crisp fuzzy fractional equations will be fetched as follows:
and
For HPM, the considered Equation is as follows:
where
is considered as a differential operator, any convex Homotopy deformation
is as follows:
where
is considered as a basic operator with the known solution
.
In such an approach, embedding parameter ‘
’ is used initially, and the solution of the Equation is provided in the form of a power series.
This helps us to obtain the solution.
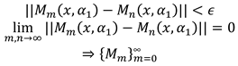
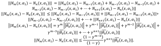
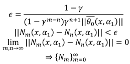
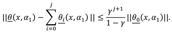
5. Existence and Uniqueness
Theorem 1. Let be a Banach space and let and be in . Suppose , then the series solution which is defined converges to the lower bound solution whenever , that is for any given , there exists a positive number , such that .
The aim is to prove that is a Cauchy sequence in the Banach space.
It is provided that for
Let us find
Considered

is a Cauchy sequence.
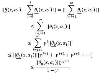
Theorem 2. Let be a Banach space and let and be in . Suppose , then the series solution which is defined converges to the upper bound solution whenever, that is for any given , there exists a positive number , such that .

Aim is to prove that
is a Cauchy sequence. In the Banach space.It is provided that for
Let find

Considered

is a Cauchy sequence.
Theorem 3. Let be finite and be its approximate solution. Suppose , such that || , then the maximum absolute error for the lower bound solution is

Proof. Let

Theorem 4. Let be finite and be its approximate solution. Suppose , such that || , then the maximum absolute error for the upper bound solution is

Proof. Let , then

Author Contributions
For research articles with several authors, a short paragraph specifying their individual contributions must be provided. The following statements should be used “Conceptualization, Mamta Kapoor, D. G. Prakasha and Nehad Ali Shah; methodology, P. Veeresha and Nasser Bin Turki.; software, mamta Kapoor; validation, Mamta Kapoor, P. Veeresha, Nasser Bin Turki and Nehad Ali Shah; formal analysis, D. G. Prakasha and Nasser Bin Turki; investigation, Mamta Kapoor, P. veeresha, Nehad Ali Sha; resources,Mamta Kapoor, P. Veeresha and Nasser Bin Turki; data curation, P. Veeresha, D. G. Prakasha and Nehad Ali Shah; writing—original draft preparation, Mamta Kapoor, D. G. Prakasha, P. Veeresha, Nasser Bin Turki; writing—review and editing, P. veeresha and Nehad Ali Shah; visualization, Mamta Kapoor; supervision, P. Veeresha and Nasser Bin Turki.; project administration, Nasser Bin Turki.; funding acquisition, Nasser Bin Turki.
Figure 1.
Comparison of Approximate and Exact lower bound solutions at = 1 for Example 1.
Figure 1.
Comparison of Approximate and Exact lower bound solutions at = 1 for Example 1.
Figure 2.
Comparison of Approximated and Exact lower bound solutions at = 2 for Example 1.
Figure 2.
Comparison of Approximated and Exact lower bound solutions at = 2 for Example 1.
Figure 3.
Comparison of Approximated and Exact lower bound solutions at = 3 for Example 1.
Figure 3.
Comparison of Approximated and Exact lower bound solutions at = 3 for Example 1.
Figure 4.
Comparison of Approximated and Exact upper bound solutions at = 1 for Example 1.
Figure 4.
Comparison of Approximated and Exact upper bound solutions at = 1 for Example 1.
Figure 5.
Comparison of Approximated and Exact upper bound solutions at = 2 for Example 1.
Figure 5.
Comparison of Approximated and Exact upper bound solutions at = 2 for Example 1.
Figure 6.
Comparison of Approximated and Exact upper bound solutions at = 3 for Example 1.
Figure 6.
Comparison of Approximated and Exact upper bound solutions at = 3 for Example 1.
Figure 7.
Comparison of Approximated and Exact lower bound solutions at = 0.1 for Example 2.
Figure 7.
Comparison of Approximated and Exact lower bound solutions at = 0.1 for Example 2.
Figure 8.
Comparison of Approximated and Exact lower bound solutions at = 0.3 for Example 2.
Figure 8.
Comparison of Approximated and Exact lower bound solutions at = 0.3 for Example 2.
Figure 9.
Comparison of Approximated and Exact lower bound solutions at = 0.5 for Example 2.
Figure 9.
Comparison of Approximated and Exact lower bound solutions at = 0.5 for Example 2.
Figure 10.
Comparison of Approximated and Exact upper bound solutions at = 0.1 for Example 2.
Figure 10.
Comparison of Approximated and Exact upper bound solutions at = 0.1 for Example 2.
Figure 11.
Comparison of Approximated and Exact upper bound solutions at = 0.3 for Example 2.
Figure 11.
Comparison of Approximated and Exact upper bound solutions at = 0.3 for Example 2.
Figure 12.
Comparison of Approximated and Exact upper bound solutions at = 0.5 for Example 2.
Figure 12.
Comparison of Approximated and Exact upper bound solutions at = 0.5 for Example 2.
Figure 13.
Comparison of Approximated and Exact lower bound solutions at = 1 for Example 3.
Figure 13.
Comparison of Approximated and Exact lower bound solutions at = 1 for Example 3.
Figure 14.
Comparison of Approximated and Exact lower bound solutions at = 2 for Example 3.
Figure 14.
Comparison of Approximated and Exact lower bound solutions at = 2 for Example 3.
Figure 15.
Comparison of Approximated and Exact lower bound solutions at = 3 for Example 3.
Figure 15.
Comparison of Approximated and Exact lower bound solutions at = 3 for Example 3.
Figure 16.
Comparison of Approximated and Exact upper bound solutions at = 1 for Example 3.
Figure 16.
Comparison of Approximated and Exact upper bound solutions at = 1 for Example 3.
Figure 17.
Comparison of Approximated and Exact upper bound solutions at = 2 for Example 3.
Figure 17.
Comparison of Approximated and Exact upper bound solutions at = 2 for Example 3.
Figure 18.
Comparison of Approximated and Exact upper bound solutions at = 3 for Example 3.
Figure 18.
Comparison of Approximated and Exact upper bound solutions at = 3 for Example 3.
Table 1.
Elzaki transform of the given function [
29].
Table 1.
Elzaki transform of the given function [
29].
|
|
|
|
|
|
|
|
|
|
|
|
|
|
|
|
|
|
Table 2.
error for lower bound at different time levels for Example 1.
Table 2.
error for lower bound at different time levels for Example 1.
| N |
t = 0.5 |
t = 0.8 |
t = 1 |
|
error for lower bound
|
| 11 |
|
|
|
| 21 |
|
|
|
| 31 |
|
|
|
Table 3.
error for upper bound at different time levels for Example 1.
Table 3.
error for upper bound at different time levels for Example 1.
| N |
t = 0.5 |
t = 0.8 |
t = 1.0 |
|
error for upper bound
|
| 11 |
|
|
|
| 21 |
|
|
|
| 31 |
|
|
|
Table 4.
Comparison of Approximated and Exact lower bound solutions at t = 0.5 and 1.0 for Example 1.
Table 4.
Comparison of Approximated and Exact lower bound solutions at t = 0.5 and 1.0 for Example 1.
Table 5.
Comparison of Approximated and Exact upper bound solutions at t = 0.5 and 1.0 for Example 1.
Table 5.
Comparison of Approximated and Exact upper bound solutions at t = 0.5 and 1.0 for Example 1.
Table 6.
lower and upper bound solutions at = 0.5 for Example 2.
Table 6.
lower and upper bound solutions at = 0.5 for Example 2.
|
lower bound |
upper bound |
| |
|
|
|
|
|
|
|
|
|
|
Table 7.
lower and upper bound solutions at t = 0.8 for Example 2.
Table 7.
lower and upper bound solutions at t = 0.8 for Example 2.
|
lower bound |
upper bound |
| |
|
|
|
|
|
|
|
|
|
|
Table 8.
lower and upper bound solutions at t = 1.0 for Example 2.
Table 8.
lower and upper bound solutions at t = 1.0 for Example 2.
|
lower bound |
upper bound |
| |
|
|
|
|
|
|
|
|
|
|
Table 9.
Comparison of Approximated and Exact lower bound solutions at t = 0.1 and 0.2 for Example 2.
Table 9.
Comparison of Approximated and Exact lower bound solutions at t = 0.1 and 0.2 for Example 2.
Table 10.
Comparison of Approximated and Exact upper bound solutions at t = 0.1 and 0.2 for Example 2.
Table 10.
Comparison of Approximated and Exact upper bound solutions at t = 0.1 and 0.2 for Example 2.
Table 11.
lower and upper bound solutions at = 1.0 for Example 3.
Table 11.
lower and upper bound solutions at = 1.0 for Example 3.
|
lower bound |
upper bound |
|
|
|
|
|
|
|
|
|
|
Table 12.
lower and upper bound solutions at = 2.0 for Example 3.
Table 12.
lower and upper bound solutions at = 2.0 for Example 3.
|
lower bound |
upper bound |
|
|
|
|
|
|
|
|
|
|
Table 13.
lower and upper bound solutions at = 3.0 for Example 3.
Table 13.
lower and upper bound solutions at = 3.0 for Example 3.
|
lower bound |
upper bound |
| |
|
|
|
|
|
|
|
|
|
|
Table 14.
Comparison of Approximated and Exact lower bound solutions at t = 0.5 and t = 1.0 for Example 3.
Table 14.
Comparison of Approximated and Exact lower bound solutions at t = 0.5 and t = 1.0 for Example 3.