Submitted:
12 September 2023
Posted:
14 September 2023
You are already at the latest version
Abstract
Keywords:
1. Introduction
2. Materials and methods
2.1. Test materials
2.2. Test methodology
2.3. Measurement indicators and methods
2.4. Data analysis
| Community | Type | Place of Origin | Community | Type | Place of Origin |
| Tabigha | wild oats | Israeli | Evolution Canyon | wild oats | Israeli |
| Nahef | wild oats | Israeli | Beit-Oren | wild oats | Israeli |
| Sede Boqer | wild oats | Israeli | Hu | Cultivated oats | Hebei, China |
| Population | Ln/° | Lt/° | Al/m | Tm/°C | Ta/°C | Tj/°C | Td/°C | Tdd/°C | Ev/mm | Rn/mm | Rd/d | Hu14/% | Huan/% |
| Tabigha | 35.5 | 32.9 | 0.0 | 23.6 | 31.9 | 14.3 | 17.4 | 10.3 | 164.0 | 437.0 | 49.0 | 43.8 | 58.2 |
| Nahef | 35,3 | 32.9 | 275.0 | 15.3 | 23.5 | 8.3 | 15.7 | 8.9 | 156.4 | 662.0 | 53.0 | 50.0 | 62.1 |
| Sede Boqer | 34,9 | 32.5 | 10.0 | 20.1 | 25.9 | 13.4 | 13.5 | 8.9 | 132.0 | 539.0 | 45.0 | 66.2 | 72.3 |
| Evolution Canyon | 34.6 | 32.4 | 90.0 | 22.7 | 27.2 | 14.1 | 13.2 | 9.2 | 144.0 | 602.0 | 50.2 | 65.9 | 65.4 |
| Beit-Oren | 35.0 | 32.7 | 50.0 | 20.2 | 26.2 | 12.7 | 13.0 | 9.0 | 133.0 | 507.0 | 48.2 | 65.5 | 72.5 |
| Hu | 114.5 | 40.5 | 1300.0 | 9.2 | 23.3 | -8.2 | 31.2 | 14.2 | 18.7 | 31.9 | 6.4 | 13.0 | 15.2 |
3. Results and analysis
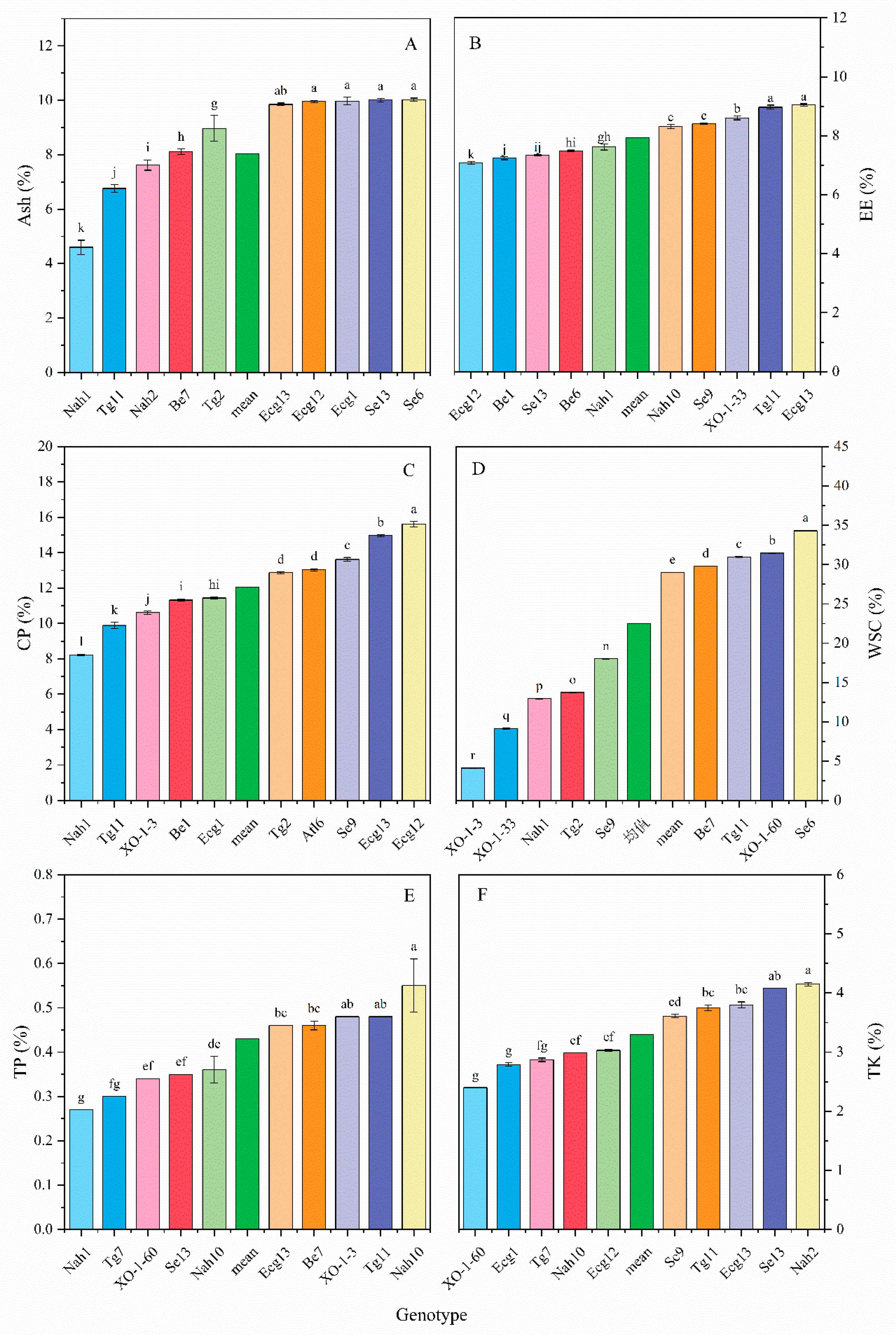
3.1. Nutritional content analysis of different oat populations
3.2. Feed value analysis of different oat populations
3.3. The nutritional content of oat populations correlated with a place of origin
3.4. Correlation between feed value and place of origin in oat populations
3.5. Principle component analysis (PCA)
3.6. Cluster plotting
4. Discussion
5. Conclusion
Funding
Data availability statement
Acknowledgments
Confliction of interest statement
References
- Aanchaldeep Kaur, M. G.; Kaur, M.; Mahal, A.K. Interactive effect of planting dates and development stages on digestibility, qualitative traits and yield of forage oat (Avena sativaL.) genotype. Cereal Research Communications 2022, 50, 1237–1247. [Google Scholar] [CrossRef]
- Akhtar M, C. M. S., Jamil M. Effect of sowing time on wheat wheat genotypes for important traits in wheat. Agricultural Research 2006, 44, 255–259.
- Bhatta, R.; Shinde, A. K.; Vaithiyanathan, S.; Ravindra, J. P.; Singh, D. In vitro ruminal fermentation and in sacco evaluation of tropical feedstuffs: I. Forage biomass and tree leaves. Animal Feed Science and Technology 2003, 109, 173–187. [Google Scholar]
- Biel, W.; Kazimierska, K.; Bashutska, U. Nutritional value of wheat, triticale barley, and oat grains. Acta Scientiarum Polonorum Zootechnica 2020, 19(12), 19–28. [Google Scholar] [CrossRef]
- Buttar PS, K. P., Singh SP. Effect of sowing dates, irrigation, and mulching on growth and yield of wheat. Journal of Agricultural Research 2018, 55, 243–250. [CrossRef]
- Changlin, X. Comparative study on growth characteristics of different oat varieties in alpine pasture. Journal of Grass Industry 2012, 21, 280–285. [Google Scholar]
- Chen Zhenjia, W. M., Chen Li, Lu Yadong, Wang Yu. Analysis of nutritional composition attributes of oat varieties of different origins. Agricultural products processing 2020, 24, 43-45+48.
- Costa, R. P., Nuno; Almeida, Almeida, Ana Sofia ; Gomes, Conceicao;Coutinho, Jose; Coco, Joao; Costa, Armindo ; Macas, Benvindo. Effect of sowing date and seeding rate on bread wheat yield and test weight under Mediterranean conditions. Journal of Food and Agriculture 2014, 25, 95–961.
- Demirbas, A. β-Glucan and mineral nutrient contents of cereals grown in Turkey. food chemistry 2005, 773–777. [Google Scholar] [CrossRef]
- Du Yanping, M. J., Chang Keqin. Cultivation techniques for productive naked oats in the southern Ningxia mountains. Inner Mongolia Agricultural Science and Technology 2008, 12, 103–104.
- Enciso, U. y., Wiedenteld B. Subsurface drip irrigation of on-ons:Efects of drip tape emitter spacing on yield and quality. Agrc Water Manage 2007, 92, 126–130. [Google Scholar] [CrossRef]
- Montilla-Bascón, J. S.-M., N. Rispail, D. Rubiales, L. Mur, T. Langdon, I. Griffiths, C. Howarth & E. Prats. Genetic Diversity and Population Structure Among Oat Cultivars and Landraces. Plant Molecular Biology Reporter 2013, 31, 1305–1314. [Google Scholar] [CrossRef]
- Gao Xusheng, T. Z. Effect of different N and K fertilizer ratios on yield and quality of oats. Qinghai Agriculture and Forestry Technology 2015, 4, 5–8. [Google Scholar]
- Guoqing, Z. Determination of inorganic and organic phosphorus in feedstuffs. Feed Industry 2003, 7, 33–34. [Google Scholar]
- Haitao, L. W. Y. C. Z. X. B. J. Y. X. L. T. Z. Reconstruction of early summer drough tindicesin mid- northregion of China after1500usingtreeringchronologies. Quaternary Research 2019, 151–155. [Google Scholar]
- Harris, P. J.; Mares, D. J. The content and composition of the protein of oats and barley. Journal of the Science of Food and Agriculture 1974, 25. [Google Scholar]
- Hoffmann, L. A. World production and use of oats. The Oat Crop—Production and Utilization 1995, 34–61. [Google Scholar]
- John, V. Naked oatsin the oat crop. Production and Utilization, 1995, 504–532. [Google Scholar]
- Kshitiz Pokhrel, L. K. r., Katerina Pazderů, Ivana Capouchova, Matej Bozik. (2022). Lipid content and fatty acid profile of various European and Canadian hulled and naked oat genotypes Journal of Cereal Science.
- Li Fengxia, S. L. Study on the suitable sowing period of oats in alpine pasture in Qinghai. Grass science 1996, 13, 32–34. [Google Scholar]
- Li Sheng, A. P., Wang Fangtian, Li XueMin,Liu Yi. Farmers' initiative on adaptation to climate change in the Northern Agro-pastoral Ecotone. International Journal of Disaster Risk Reduction 2015, 278–284. [Google Scholar]
- Li Xilai, Y. L., Zhang Guosheng. Effect of different sowing periods on the production characteristics of oats in "circle nests" in highland family pastures. Grass science 2001, 18, 14–17. [Google Scholar]
- Li Ying, M. P. Progress of research on germplasm resources of oats. Anhui Agricultural Science 2013, 41, 72–76. [Google Scholar]
- Li Yongfeng, Z. Y., Mu Lanhai. Comparative trials of oat introduction. Inner Mongolia Agricultural Science and Technology 2011. [Google Scholar]
- Liying, Z. (2016). Feed analysis and feed quality testing technology. China Agricultural University Press.
- Loskutov I G, S. T. V. K. A. V. The metabolomic approach to the comparative analysis of wild and cultivated speries of oats (Avena L.). Russian Journal of Genetics:Applied Research 2017, 12, 501–508. [Google Scholar]
- Peterson & David. (2004). Oat-a mulifunctional grainlAl. In C.-S. P. o.-H. M (Ed.), (pp. 21-26).
- Ma Xueqin, Z. G., Gong Jianjun. Effect of sowing date and nitrogen fertilization on growth characteristics of oats in alpine pasture. Grass science 2010, 63–67. [Google Scholar]
- Ma Xueqin, Z. G., Gong Jianjun. Effect of sowing date and nitrogen fertilizer on the components of oat seed yield. Grass science 2010, 88–92. [Google Scholar]
- MartinezM F, A. M., WehrhahneLN. Grain yield,nutrient content and lipid profile of oat genotypes grown in a semiarid environment. Field Crops Researc 2010, 116, 92–100. [Google Scholar] [CrossRef]
- Masood, S. B.; Muhammad, T.-N.; Iqbal, K. M. K.; Rabia, S.; S, B. M. Oat: unique among the cereals. J European journal of nutrition 2008, 47. [Google Scholar]
- MeenNarayan, J. B. R. K. oat is a multifunctional cereal crop. Innov. Farm. 2017, 2, 114–116. [Google Scholar]
- Mohammad Ihsan, M. N., Nausheen Nazir, Muhammad Zahoor b, Atif Ali Khan Khalil,Abdul Ghafoor, Arshad Khan, Riaz Ullah, Nisar Ahmad. Genetic diversity in nutritional composition of oat (Avena sativa L.) germplasm reported from Pakistan. Saudi Journal of Biological Sciences 2022, 1487–1500. [Google Scholar]
- Nevo E, B. A. Y. Genetic resources of wildcereals in lsrael and the vicinity:Phenotypic variation within andbetween populations of wid barley Hordeum spontaneum. Euphvtica 1984, 33, 737–756. [Google Scholar]
- Ngouajio, M.W.G.; Goldy, R. Withholding of drip irrigation between transplanting and flowering increases the vield offield-arown tomato under plastic mulch. Agric Water Manage 2007, 87, 285–291. [Google Scholar] [CrossRef]
- Oktem, A.S. M.; Oktem, A.G. Deficit irrigation efects on sweet corn(Zea mays saccharata Sturt)with drip irigation system ina semi-arid region. Agric Water Manage 2003, 61, 63–74. [Google Scholar] [CrossRef]
- Peltonen-Sainio, P.K. M.; Rajala, A. Impact dehuling oat grain to improve quality of on-farm produced feed:1.Hullability and associated changes in nutritive value and energy content. Agriculture food science 2004, 13, 18–28. [Google Scholar] [CrossRef]
- Qin, X.; Li, Y.; Li, L.; Zhang, Y.; Song, Y.; Shi, X. The comparison of the phytochemical profiles and antioxidant activities of different parts of oats. Journal of Food Science and Technology 2019, 56(10), 4738–4747. [Google Scholar]
- Robertson M J, H. J.F, B. R. Response of canola and Indian mustard to sowing in the grain belt of northeastern Australia. Australian Experimental Agronomy Journal 2004, 44, 43–52. [Google Scholar] [CrossRef]
- Francis W&Associates. Oats: Chemistry and technology. Journal of Cereal Science 2011, 53, 51-10. [Google Scholar]
- Rohweder D A.Barnes R F, J. N. Proposed hay grading standards based on laboratory analyses for evaluating quality. Journal of Animal Science 1978, 47, 747–759. [Google Scholar] [CrossRef]
- Sojka R E, L. R. D., Westerman D T. Water and erosion man-agement with multiple application of polvacrylamide in furow irriation. Soil Sci Soc Am 1998, 62, 1672–1680. [Google Scholar] [CrossRef]
- Sui Hua, D. J., Li Xiaogang,Liu Qing,Sun Xiuhua),Zheng Shuqing,Xing Peiyi. Effects of drolght-control and water-retention agent on wheat growth. Tianin Agricuture University 2018, 15, 11–13. [Google Scholar]
- Suttle J M, R. S. G. ( 2004.). Fodder oats: a world overview. Rome: Publishing Management Service.
- Turpeinen T, T. T., Manninen. Microsatellite diversity associated with ecological factors in Hordeum spontaneum populations in lsrael. Mol. Ecol 2001, 10, 1577–1591. [Google Scholar] [CrossRef] [PubMed]
- Varma, P., H. Bhankharia and S. Bhatia. Oats: A multi-functional grain. Journal of Clinical and Preventive Cardiology 2016, 5, 9–17. [Google Scholar] [CrossRef]
- Wang, S. J. J. X. Y. W. G. Evaluation of forage yield and nutritional value of introduced oat germplasm resources. Journaof Triticeae Crops 2019, 39, 1063–1071. [Google Scholar]
- Wang S P, W. Y. F. Effects of nitrogen and sulphur fertilization on oats yield, quality and digestibility and nitrogen and Sulphur metabolism of sheep in the Inner Mongolia Steppes of China. Nutrient Cycling in Agroecosystems 2002, 62, 195–202. [Google Scholar] [CrossRef]
- Welch R W, L. J. M. Nitrogen content,oil content and oil composition of oat Cultivars (A.sativa) and wild avian species in relation to nitrogen fertility yield and partitioning of assimilates. Journal of Cereal Science 1997, 26, 321–328. [Google Scholar]
- Wu Na, Z. B. Effect of water retention agent dosage on yield and quality of naked oats under two types of irrigation. Journal of Crop Science 2009, 35, 1552–1557. [Google Scholar]
- Xiao Xuejun, Z. Q., Chen youjun. Effect of seed sowing on the production performance and photosynthetic characteristics of Linnaean oats in alpine grazing areas. Grass science 2017, 34, 761–771. [Google Scholar]
- Xu Xinran, L. J., Wang Ming, Yu Liangyou, Liu Siyuan, Cheng Xiaobin, Zhao Gang, Yan Jun. Analysis of wild oats forage value and ecogeographic factors of origin in Israel. Feed Research 2020, 43(09), 102–106. [Google Scholar]
- Yuan Changmei, H. X., Ma Liyan. Research progress of phytic acid and its detection method. Food Industry 2021, 42, 396–400. [Google Scholar]
- Yue Zhanga, L. Z., Ning Yangb, Neil Huthc, Enli, & Wangd, W. v. d. W., Jochem B. Everse, Qi Wanga, Dongsheng Zhanga, Ruonan Wanga, Hui Gao, Niels P.R. Antene. Optimized sowing time windows mitigate climate risks for oats production under cool semi-arid growing condition. Agricultural and Forest Meteorology 2019, 184–197. [Google Scholar]
- Zhang G Y, W. J. W., Zhang H R. Comparative study on production performance and nutritional quality of eight importeooat varieties in the Shioatse redion of Tibet. China. Pratacultural Science 2019, 36, 1117–1125. [Google Scholar]
- Zhang Guosheng, L. X., Ma Zongtai. Study on the effect of sowing period and sowing density on the yield of oats in the "circle nest". Grass science 2002, 21–24. [Google Scholar]
- Zhang Ying, C. Z., Zhang Xiaona, Song Shuhong, Yang Zhuo, Yang Yungui. Effect of different mowing periods on hay yield and quality of spring and autumn sown oats. Grass Science 2016, 25, 124–135. [Google Scholar]
- Zheng MNA, L. Y., Liang XZ. Grey correlation analysis and comprehensive evaluation of introduced alfalfa varieties in northern Jinjiang. Grass Science 2017, 22, 631–637. [Google Scholar]
- Zheng X, W. Z. W., Wu Z N. Adaptability evaluation of different Avena sativa varieties in the Yangzhou Area. Grass Science 2013, 21, 272–279. [Google Scholar]
- Zhou Lei, W. L., Zhao Baoping, Mi Junzhen, Wang Fengwu, Liu Jinghui, Zhang Dan, Liu Yeh-Kun. Effects of different sowing and mowing periods on yield and quality of oat forage in the northern agro-pastoral interlacing area. Grass Science 2021, 29, 2363–2364. [Google Scholar]
- Zhu Hongfu, W. L., Lin Yufan. Research on the production performance and feeding value of foreign forage sorghum varieties in Ningxia Yellow Irrigation Region. Chinese Journal of Grassland 2019, 41, 40–46. [Google Scholar]
- Zong Wen, Z. D. Z. Foreign introduction and utilization of oat germplasm resources in China. Journal of Plant Genetic Resources 2017, 18, 1001–1005. [Google Scholar]




| Year | Population | Ash/% | EE/% | CP/% | WSC/% | TP/% | TK/% | |
| 2018.10- | Tabigha | Mean | 8.33±1.21 cd | 8.25±0.58 a | 11.52±1.39 b | 26.63±4.20 a | 0.40±0.08 b | 3.37±0.39 a |
| 2019.01 | Range | 6.67~9.42 | 7.57~9.04 | 9.67~12.92 | 27.76~31.48 | 0.30~0.48 | 2.84~3.80 | |
| CV/% | 13.71% | 6.63% | 11.37% | 14.86% | 18.28% | 10.97% | ||
| Nahef | Mean | 7.35±2.27 d | 7.89±0.14 bc | 10.80±1.99 b | 13.91±4.59 b | 0.52±0.51 a | 3.52±0.51 a | |
| Range | 4.43~9.96 | 7.26~8.18 | 8.19~12.68 | 9.12~19.68 | 0.27~1.86 | 2.99~4.17 | ||
| CV/% | 29.15% | 3.82% | 17.41% | 31.14% | 16.58% | 13.63% | ||
| Sede Boqer | Mean | 9.84±0.26 a | 7.96±0.48 a | 12.68±0.71 ab | 25.67±3.22 a | 0.41±0.046 b | 3.78±1.13 a | |
| Range | 9.47~10.06 | 7.34~8.38 | 12.04~13.68 | 21.37~28.36 | 0.35~0.45 | 0.35~4.08 | ||
| CV/% | 2.48% | 5.73% | 5.32% | 11.84% | 10.54% | 7.18% | ||
| Evolution Canyon | Mean | 9.23±0.10 a | 7.98±0.27 a | 14.01±1.95 a | 26.26±6.21 a | 0.41±0.04 b | 3.21±0.46 a | |
| Range | 9.81~10.08 | 7.03~9.08 | 11.39~15.79 | 17.94~30.97 | 0.27~0.46 | 2.76~3.48 | ||
| CV/% | 0.92% | 10.21% | 13.14% | 22.30% | 8.74% | 13.49% | ||
| Beit-Oren | Mean | 8.75±0.49 bc | 7.46±0.18 d | 12,01±0.79 ab | 20.94±13.32 abc | 0.43±0.04 b | 3.20±0.21 ac | |
| Range | 7.99~9.21 | 7.19~7.67 | 11.24~13.10 | 4.11~34.35 | 0.38~0.49 | 2.67~3.48 | ||
| CV/% | 5.25% | 2.34% | 6.22% | 59.99% | 7.61% | 6.15% | ||
| Hu | Mean | 9.39±0.23 ab | 8.00±0.49 ab | 10.35±0.63 b | 14.28±12.52 b | 0.40±0.06 b | 3.12±0.54 a | |
| Range | 9.07~9.76 | 7.36~8.67 | 9.51~11.32 | 0.08~29.97 | 0.34~0.48 | 3.12±0.54 ab | ||
| CV/% | 2.34% | 5.68% | 5.21% | 82.66% | 13.65% | 16.33% | ||
| 2019.10- | Tabigha | Mean | 8.28±0.71 cd | 8.27±0.28 a | 6.12±0.53 b | 19.76±1.18 b | 0.33±0.13 ab | 2.55±0.24 b |
| 2020.01 | Range | 6.64~9.52 | 7.45~9.01 | 5.48.75 | 17.78~21.56 | 0.19~0.49 | 2.28~2.85 | |
| CV/% | 13.71% | 6.55% | 8.15% | 9.18% | 36.71% | 9.02% | ||
| Nahef | Mean | 7.35±2.27 d | 7.91±0.32 ab | 5.82±0.78 b | 11.37±2.69 b | 0.27±0.08 b | 2.91±0.39 a | |
| Range | 4.43~9.96 | 7.53~8.32 | 4.77~6.44 | 8.18~14.51 | 0.20~0.37 | 2.61~3.44 | ||
| CV/% | 29.15% | 3.79% | 12.57% | 22.29% | 26.58% | 12.54% | ||
| Sede Boqer | Mean | 9.87±0.44 a | 7.93±0.28 ab | 9.02±2.87 a | 11.59±5.82 b | 0.34±0.10 ab | 2.92±0.41 a | |
| Range | 9.38~10.11 | 7.31~8.44 | 5.55~12.23 | 6.71~19.30 | 0.20~0.41 | 2.45~3.40 | ||
| CV/% | 2.48% | 5.73% | 29.97% | 47.35% | 27.35% | 13.25% | ||
| Evolution Canyon | Mean | 9.93±0.10 a | 7.86±0.16 a | 8.51±2.88 a | 13.53±2.27 b | 0.27±0.01 ab | 2.44±0.25 b | |
| Range | 9.81~10.08 | 7.03~9.08 | 5.79~12.23 | 11.31~16.47 | 0.26~0.29 | 2.10~2.69 | ||
| CV/% | 0.92% | 10.21% | 31.88% | 15.83% | 4.01% | 9.73% | ||
| Beit-Oren | Mean | 8.77±0.23 bc | 7.47±0.12 b | 6.78±0.80 b | 12.07±1.17 b | 0.33±0.05 ab | 2.64±0.14 ab | |
| Range | 7.99~9.21 | 7.08~7.87 | 5.97~7.80 | 11.04~13.74 | 0.326~0.38 | 2.47~2.84 | ||
| CV/% | 5.25% | 2.34% | 11.11% | 9.66% | 15.51% | 4.89% | ||
| Hu | Mean | 9.49±0.32 ab | 8.07±0.49 a | 7.44±0.70 ab | 9.50±4.25 a | 0.35±0.05 a | 2.57±0.30 b | |
| Range | 9.18~9.77 | 7.37~8.66 | 6.72~8.33 | 3.00~14.67 | 0.28~0.40 | 2.17~2.82 | ||
| CV/% | 2.27% | 5.73% | 8.81% | 44.42% | 12.89% | 11.13% | ||
| 2020.10- | Tabigha | Mean | 7.51±0.55 b | 8.36±0.50 a | 11.38±0.42 a | 17.78±1.37 a | 0.20±0.00 a | 2.63±0.09 a |
| 2021.01 | Range | 7.00~8.32 | 7.66~8.88 | 10.84~11.84 | 8.07~12.47 | 0.19~0.20 | 2.53~2.76 | |
| CV/% | 6.95% | 5.62% | 3.52% | 11.98% | 2.35% | 3.27% | ||
| Nahef | Mean | 7.85±0.85 ab | 7.98±0.89 ab | 9.54±0.56 c | 18.08±5.31 a | 0.14±0.03 bc | 2.28±0.27 b | |
| Range | 6.71~8.58 | 6.89~8.98 | 8.77~10.01 | 13.10~26.72 | 0.10~0.16 | 1.94~2.56 | ||
| CV/% | 10.16% | 10.47% | 5.57% | 27.69% | 18.16% | 11.00% | ||
| Sede Boqer | Mean | 8.07±0.38 a | 7.88±0.23 ab | 9.36±0.22 c | 17.82±2.51 a | 0.12±0.01 c | 2.06±0.08 c | |
| Range | 7.63~8.63 | 7.56~8.10 | 9.03~9.59 | 14.24~22.03 | 0.11~0.13 | 1.96~2.16 | ||
| CV/% | 4.44% | 2.75% | 2.25% | 13.30% | 6.37% | 3.81% | ||
| Evolution Canyon | Mean | 7.95±0.52 ab | 7.21±1.47 b | 9.78±0.31 c | 16.00±4.19 ab | 0.14±0.01 bc | 2.28±0.09 b | |
| Range | 7.24~8.74 | 6.05~9.21 | 9.35~10.08 | 7.66~20.79 | 0.13~0.15 | 2.16~2.38 | ||
| CV/% | 6.20% | 19.19% | 2.95% | 24.71% | 5.96% | 3.67% | ||
| Beit-Oren | Mean | 7.74±0.38 ab | 7.91±0.90ab | 7.64±0.08 d | 14.79±1.48 b | 0.07±0.01 d | 1.85±0.16 d | |
| Range | 7.21~8.29 | 6.64~8.84 | 7.51~7.77 | 13.01~16.80 | 0.05~0.10 | 1.65~2.03 | ||
| CV/% | 4.63% | 10.70% | 0.99% | 9.43% | 24.13% | 8.06% | ||
| Hu | Mean | 7.99±0.40 ab | 8.39±0.91 a | 10.66±1.53 b | 10.51±1.77 c | 0.17±0.08 ab | 2.23±0.30 bc | |
| Range | 7.65~8.71 | 7.17~9.23 | 8.66~12.18 | 9.09~13.56 | 0.07~0.26 | 1.85~2.56 | ||
| CV/% | 4.64% | 10.18% | 13.50% | 15.87% | 42.06% | 12.75% |
| Year | Population | DFR/% | NDF/% | ADF/% | Lignin/% | Cellulose/% | |
| 2018.10- | Tabigha | Mean | 3.68±0.04 ab | 27.29±2.37 ab | 5.09±0.38 b | 1.15±0.11 c | 8.55±0.37 b |
| 2019.03 | Range | 3.64~3.75 | 25.56~30.55 | 4.68~5.58 | 1.02~1.32 | 7.99~9.10 | |
| CV/% | 1.15% | 8.20% | 7.06% | 8.67% | 4.10% | ||
| Nahef | Mean | 3.54±0.02 a | 26.74±0.43 a | 4.87±0.14 bcd | 1.21±0.26 c | 9.10±2.08 b | |
| Range | 3.50~3.60 | 26.30~27.61 | 4.63~5.02 | 1.06~1.43 | 7.07~10.96 | ||
| CV/% | 1.10% | 2.23% | 3.05% | 10.80% | 15.29% | ||
| Sede Boqer | Mean | 3.13±0.02 a | 25.36±0.43 a | 4.74±0.14 cd | 2.42±0.26 b | 7.98±2.08 b | |
| Range | 3.10~3.16 | 24.77~25.84 | 4.56~4.94 | 2.11~2.79 | 5.99~10.86 | ||
| CV/% | 0.53% | 1.60% | 2.68% | 10.27% | 24.63% | ||
| Evolution Canyon | Mean | 3.24±0.04 a | 25.08±1.24 a | 4.90±0.24 bc | 1.11±0.15 c | 9.71±1.73 b | |
| Range | 3.18~3.28 | 23.49~26.34 | 4.56~5.13 | 0.89~1.26 | 7.78~12.16 | ||
| CV/% | 1.11% | 4.66% | 4.62% | 12.56% | 16.78% | ||
| Beit-Oren | Mean | 2.43±0.69 b | 25.12±0.49 b | 4.58±0.29 d | 1.15±0.23 c | 9.01±0.87 b | |
| Range | 1.50~9.92 | 24.62~25.81 | 4.15~4.86 | 0.81~1.35 | 7.56~9.90 | ||
| CV/% | 26.60% | 1.82% | 5.94% | 18.66% | 9.15% | ||
| Hu | Mean | 2.88±0.43 c | 24.97±1.29 c | 5.99±0.55 a | 3.61±1.29 a | 72.11±13.16 a | |
| Range | 2.35~3.37 | 23.23~26.20 | 5.24~6.43 | 2.68~5.48 | 58.71~91.64 | ||
| CV/% | 14.23% | 4.87% | 8.61% | 33.75% | 17.21% | ||
| 2019.10- | Tabigha | Mean | 6.48±0.76 a | 30.51±1.82 a | 11.20±0.79 c | 1.16±0.07 d | 10.07±0.63 bc |
| 2020.03 | Range | 5.50~7.62 | 28.15~32.81 | 9.82~12.36 | 1.04~1.28 | 8.92~10.81 | |
| CV/% | 11.77% | 6.51% | 6.65% | 5.82% | 5.89% | ||
| Nahef | Mean | 4.45±0.40 b | 18.85±1.38 c | 10.66±1.03 cd | 1.45±0.21 c | 9.45±1.09 bc | |
| Range | 4.06~4.96 | 16.73~21.26 | 9.18~12.37 | 1.14~1.66 | 7.98~11.23 | ||
| CV/% | 8.40% | 6.89% | 9.12% | 13.31% | 10.88% | ||
| Sede Boqer | Mean | 4.64±0.54 b | 19.37±1.21 c | 10.677±1.34 cd | 1.17±0.49 d | 9.23±0.51 bc | |
| Range | 4.20~5.37 | 18.13~21.56 | 9.37~13.02 | 0.76~1.92 | 8.50~10.24 | ||
| CV/% | 11.64% | 5.26% | 9.66% | 24.31% | 4.68% | ||
| Evolution Canyon | Mean | 4.24±0.20 b | 19.12±1.23 c | 9.89±0.85 d | 1.23±0.30 cd | 8.78±0.51 c | |
| Range | 3.92~4.57 | 17.63~21.05 | 8.83~11.10 | 0.99~1.66 | 8.14~9.58 | ||
| CV/% | 4.44% | 6.05% | 8.07% | 23.15% | 5.43% | ||
| Beit-Oren | Mean | 2.93±0.72 c | 23.05±1.28 b | 14.36±0.67 b | 1.95±0.32 b | 11.73±0.38 b | |
| Range | 2.29~4.21 | 21.07~24.94 | 13.45~15.40 | 1.54~2.35 | 11.07~12.33 | ||
| CV/% | 23.32% | 5.24% | 4.39% | 15.50% | 3.06% | ||
| Hu | Mean | 4.02±2.07 b | 18.64±4.53 d | 26.93±2.09 a | 2.34±0.10 a | 74.84±7.03 a | |
| Range | 2.09~6.66 | 14.53~22.99 | 24.48~30.66 | 2.20~2.49 | 67.28~86.81 | ||
| CV/% | 51.449% | 24.30% | 7.33% | 3.99% | 8.86% | ||
| 2020.10- | Tabigha | Mean | 4.12±0.12 a | 22.02±1.32 a | 13.44±0.52 b | 1.97±0.44 b | 10.67±0.36 b |
| 2021.03 | Range | 4.01~4.28 | 20.20~24.59 | 12.37~14.13 | 1.43~2.53 | 10.27~11.39 | |
| CV/% | 2.67% | 5.66% | 3.62% | 20.81% | 3.22% | ||
| Nahef | Mean | 3.76±0.18 bc | 19.93±0.78 cd | 11.33±0.71 cd | 1.64±0.08 c | 9.98±0.56 bc | |
| Range | 3.50~3.95 | 18.96~21.72 | 10.31~12.36 | 1.51~1.80 | 9.23~10.92 | ||
| CV/% | 4.75% | 3.93% | 6.23% | 5.04% | 5.57% | ||
| Sede Boqer | Mean | 3.56±0.08 cd | 18.73±2.24 d | 10.78±1.92 d | 1.51±0.30 c | 8.99±1.55 c | |
| Range | 3.45~3.65 | 15.78~22.09 | 8.08~12.85 | 1.10~1.78 | 6.82~10.65 | ||
| CV/% | 2.12% | 11.27% | 16.83% | 18.45% | 16.23% | ||
| Evolution Canyon | Mean | 3.78±0.12 b | 20.73±1.42 bc | 12.28±0.85c | 1.61±0.16 c | 10.44±0.30 b | |
| Range | 3.64~3.94 | 19.31~23.07 | 11.13~13.38 | 1.39~1.880 | 9.67~11.33 | ||
| CV/% | 3.05% | 6.47% | 6.54% | 9.39% | 4.76% | ||
| Beit-Oren | Mean | 3.19±0.13 e | 20.25±1.13 c | 11.63±0.75 cd | 1.43±0.28 c | 9.90±0.76 bc | |
| Range | 3.05~3.40 | 18.43~21.69 | 10.69~12.77 | 1.07~1.82 | 8.89~11.00 | ||
| CV/% | 4.14% | 5.57% | 6.45% | 19.30% | 7.66% | ||
| Hu | Mean | 3.51±0.44 d | 18.49±2.01 d | 27.39±1.29 a | 3.97±0.33 a | 68.70±2.44 a | |
| Range | 3.13~4.09 | 16.92~20.36 | 25.21~29.32 | 3.59~4.50 | 65.28~72.91 | ||
| CV/% | 11.78% | 10.87% | 4.45% | 7.92% | 3.35% |
| Nutrient content | Geographical environmental factors |
Relevance | Prob>|ρ| |
| CP | Hu14 | 0.4965 | 0.0001 |
| Huan | 0.3983 | 0.0029 | |
| Ln | -0.5003 | 0.0001 | |
| Td | -0.4465 | 0.0007 | |
| Tdd | -0.3726 | 0.0055 | |
| Tj | 0.2741 | 0.0449 | |
| Tm | 0.2832 | 0.0380 | |
| Ash | Ev | -0.3417 | 0.0115 |
| Huan | 0.3166 | 0.0197 | |
| Ln | -0.5034 | 0.0001 | |
| Td | -0.3449 | 0.0106 | |
| Tdd | -0.3438 | 0.0109 | |
| WSC | Al | -0.4227 | 0.0015 |
| Hu14 | 0.2700 | 0.0483 | |
| Ln | -0.2787 | 0.0413 | |
| Lt | -0.3558 | 0.0083 | |
| Ta | 0.4893 | 0.0002 | |
| Tm | 0.4916 | 0.0002 |
| Feed indexes | Geographical environmental factors |
Relevance | Prob>|ρ| |
| Lignin | Ln | 0.2985 | 0.0283 |
| Lt | 0.3172 | 0.0194 | |
| Al | 0.2996 | 0.0278 | |
| Tm | -0.4948 | 0.0001 | |
| Tj | -0.3205 | 0.0182 | |
| Td | 0.285 | 0.0367 | |
| Rn | -0.382 | 0.0044 | |
| Cellulose | Ln | 0.3705 | 0.0058 |
| Lt | 0.3946 | 0.0032 | |
| Tm | -0.4783 | 0.0003 | |
| Tj | -0.3246 | 0.0166 | |
| Td | 0.4129 | 0.0019 | |
| Tdd | 0.4979 | 0.0001 | |
| Ev | -0.3778 | 0.0049 | |
| Rn | -0.3308 | 0.0146 | |
| Ta | -0.4544 | 0.0006 | |
| Rd | -0.2698 | 0.0485 | |
| Hu14 | -0.4159 | 0.0018 | |
| Huan | -0.4675 | 0.0004 | |
| OM | Lt | -0.4783 | 0.0003 |
| Tm | 0.3573 | 0.008 | |
| Ta | 0.3223 | 0.0175 | |
| Td | -0.4406 | 0.0009 | |
| Ev | 0.4488 | 0.0007 | |
| Huan | 0.3966 | 0.003 | |
| DFR | Tm | 0.4333 | 0.0011 |
| Ta | 0.3994 | 0.0028 | |
| Tj | 0.2871 | 0.0353 | |
| Td | 0.3672 | 0.0063 | |
| Rd | 0.4566 | 0.0005 | |
| Huan | -0.402 | 0.0026 | |
| ADF | Lt | 0.501 | 0.0001 |
| Al | 0.3863 | 0.0039 | |
| Rn | -0.3991 | 0.0028 | |
| Rd | -0.2724 | 0.0463 | |
| NDF | Rn | 0.2807 | 0.0398 |
| Rd | 0.4234 | 0.0014 |
Disclaimer/Publisher’s Note: The statements, opinions and data contained in all publications are solely those of the individual author(s) and contributor(s) and not of MDPI and/or the editor(s). MDPI and/or the editor(s) disclaim responsibility for any injury to people or property resulting from any ideas, methods, instructions or products referred to in the content. |
© 2023 by the authors. Licensee MDPI, Basel, Switzerland. This article is an open access article distributed under the terms and conditions of the Creative Commons Attribution (CC BY) license (http://creativecommons.org/licenses/by/4.0/).