Submitted:
13 September 2023
Posted:
14 September 2023
You are already at the latest version
Abstract
Keywords:
1. Introduction
2. Design of the Testing
2.1. Similarity Relation
2.2. Model Design and Construction
2.3. Model Materials
| Type | Physical Quantities | Yield strength (MPa) |
Ultimate tensile strength(MPa) | Extensibility |
|---|---|---|---|---|
| Reinforcement | Major reinforcement of the underpinning beam | 396.33 | 548.33 | 6.5 |
| Other bars | 346 | 463 | 6.1 | |
| Prestressed tendons | -- | 1877 | 1.75 | |
| Concrete | Underpinning beam (The second pouring) |
53.41 | ||
2.4. Test Setup and Measuring Point
3. Test Results
3.1. Experimental Phenomenon
3.2. Specimen Load Capacity

3.3. Specimen Load Capacity
4. Finite Element Simulation Analysis
4.1. Model
4.2. Comparison of test and finite element computation results
4.3. Displacement
4.4. Underpinning beam structures concrete stress analysis
4.5. Stress Analysis of Reinforcement in Underpinning Structure
5. Conclusion
- The damage condition of the pile foundation underpinning was slight under the test load, and there was no localized damage or general bending and shear damage, indicating the safety of “joints with rough interface + planting reinforcement + prestressing + epoxy resin reinforcing adhesive of planting rebar connection”.
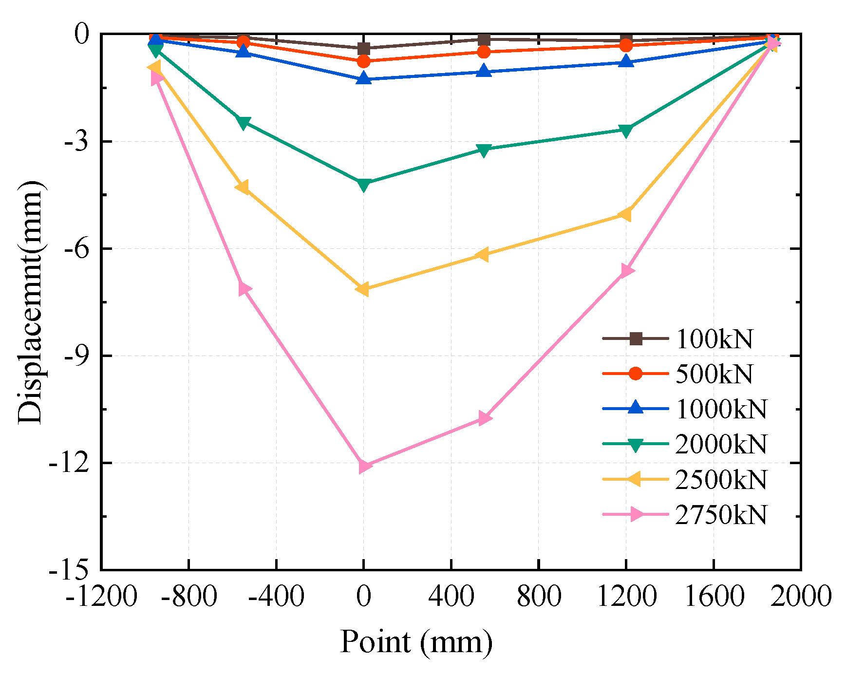
- The specimen deformation is small in the early loading stage, and the displacement curves of different measurement points are more coordinated, indicating that the combined surface of old and new concrete inside the underpinning beam body is still reliable. However, once the specimen enters the yielding stage, the deformation of the bearing platform section clearly shows an uncoordinated phenomenon, which indicates that the section of beam is more concentrated in the force and that it is a weak region for the whole pile foundation beam structure system, and it should be noticed during the design.
- The displacement cloud, reinforcement stress cloud, and concrete stress cloud of the pile foundation underpinning beam structure system show that the underpinning structure is in the elastic stage under the construction load, and even under the ultimate load, the underpinning beam structure does not show any overall damage, which indicates that the underpinning beam safety reserve is large enough.
- 4.
- The finite element simulation analysis of the overall model of pile foundation beam structure shows that test results and simulation results are in great agreement, which verifies the accuracy of the modelling method and the test results. The finite element analysis results can be used as a supplement to the test, and then the detailed force conditions in the pile foundation beam structure system can be analyzed to guide the smooth implementation of the actual project.
Author Contributions
Funding
Data Availability Statement
Conflicts of Interest
References
- Masuda, Y. , Minoshima, T., &Makino, H. (1992). Large-scale underpinning for an underground urban railway station. Tunnelling and Underground Space Technology, 7(2): 133-140. [CrossRef]
- Jing, D. , Cao, S., &Guo H. (2009). Application of steel plate-masonry composite structure technology for underpinning of masonry walls. China Civil Engineering Journal, 42(5): 55-60.
- Robison, M.S. (2010). Excavation Support and Micropile Underpinning in Vail, Colorado[C]// Biennial Geotechnical Seminar. 112-118. [CrossRef]
- Tomio, ONUKI., Kazunori, GIMA., &Masayuki MATSUOKA. (2011). Design and Construction Planning for The Keage Underground Station on the Kyoto Tozai Line. Journal of Tunnel Engineering JSCE, 1: 281–286.
- Luo, H., C. (2014). Research on initiative underpinning technology of light rail bridge columns under the dynamic load. MSc Thesis, Hebei University of Technology, Tianjin.
- Gou, J., H. , Zhang, S., Z., Ke, Z., T., Deng, A., X., &Sun, N. (2004). Model Test of Beam-Column Joint for Pile Foundation Underpinning under Large Axial Force. China Civil Engineering Journal,37(9): 62-68+91.
- Yang, X., J. , Deng, F., H., &Wu, J., J. (2009). Response of carrying capacity of piles induced by adjacent Metro tunneling. Mining Science and Technology (China), 19(2):176-181. [CrossRef]
- Xu, D. (2015). Case Study on Design of Underpinning of Foundation Piles of Yiguanmiao Overpass in Construction of Line 3 of Chengdu Metro. Tunnel Construction, 35(08):821-827. [CrossRef]
- Ma, W., J. , Wang, X., Wang, B., L., Wang, B., L., &Wang, X., L. (2020). Application of Passive Pile Foundation Underpinning Technology on Lanzhou Rail Transit Line 1. 23(07):51-55. [CrossRef]
- Wang, S., Z. , Duan, S., J., &Cao, J., P. (2009). Structural dynamic analysis of under pinning piles. Journal of Shijiazhuang Railway Institute (Natural Science), 22(3): 53-56.
- Bi, J., D. (2007). Study on pile foundation underpinning techniques in subway construction. MSc Thesis, Shijiazhuang Railway University, Shijiazhuang., China.
- Yu, J., C. (2013). Numerical analysis for technology of underpinning structure composed of piles and beams. MSc Thesis, Shandong Jianzhu University, Jinan., China.
- Shan, H.F. , Yu, F., Xia, T., D., Lin, C., G., &Pan, J., L. (2017). Performance of the underpinning piles for basement-supplementing retrofit of a constructed building. Journal of Performance of Constructed Facilities, 31(4): 401-407. [CrossRef]
- Xu, Q., W. , Zhu, H., H., Ma, X., F., Ma, Z., Z., Li, X., J., Tang, Z., H., & Zhuo, K. (2012). Pie underpinning and removing technology of shield tunnels crossing through group pile foundations of road bridges L1. Chinese Journal f Geotechnical Engineering, 34(7):1217-1226.
- Xu, Q. , Zhu, H., Ma, X., Ma, Z., Li, X., &Tang, Z. (2015). A case history of shield tunnel crossing through group pile foundation of a road bridge with pile underpinning technologies in Shanghai. Tunnelling and Underground Space Technology, 45: 20-33. [CrossRef]
- Li, Z. , Chen, Z., Q., Wang, L., Zeng, Z., K., &Gu, D., M. (2021). Numerical simulation and analysis of the pile underpinning technology used in shield tunnel crossings on bridge pile foundations. Underground Space (China), 6(4):396-408. [CrossRef]
- Li, D., C. , Qian, J., G., Wu, S., M., &Liu, G., Y. (2012). Numerical analysis of deformation behaviors of underpinning piles during excavation. Chinese Journal of Geotechnical Engineering, 34(S1):238-242.
- Dong, J., Y. , Liu, Z., S., Wang, G., H., Li, P., &Liu, Z., D. (2015). Application of Self-balance Experimental Method on Pile Bearing Capacity in a Pile Foundation Engineering. Journal of North China University of Water Resources and Electric Power (Natural Science Edition), 36(01):55-60.
- Wang, X.P. (2021). Experimental Study on Bridge Pile Foundation Underpinning Technology of Subway Tunnel Crossing Loess Area. Railway Engineering, 61(01):27-30. [CrossRef]
- Huang, C., X. , Yuan, W., X., &Hu, G., J. (2021). An estimation method of horizontal bearing capacity of piles after pre-consolidation treatment for layered soft foundation. Rock and Soil Mechanics, 42(01):113-124+134. [CrossRef]
- Huang, X. , Cheng, X., Yan, Q., X., Song, L., Y., &Yang, T. (2017). Construction Technology. 46(11):67-70+85.
- Zhang, X. , Jia, L., D., Xia, F., M., Wang, H., Tan, T., L., &Si, D., L. (2011). Experimental study on the mechanical performance of frame column underpinning nodes. Journal of Building Structures, 32 (11): 89-96.
- Zhang, C., R.; Zhao, Y., J. , Zhang, Z., & Zhu, B. (2021). Case Study of Underground Shield Tunnels in Interchange Piles Foundation Underpinning Construction. Applied Sciences, 11(4):1611-1611. https://www.mdpi.com/2076-3417/11/4/1611.
- Yue, Q.X. , Ren, X., D., &Zhang, X. (2017). Mechanical properties of underpinning joints in structural moving: experiments and numerical modeling. The Structural Design of Tall and Special Buildings,26(14): 1379-1382. [CrossRef]
- Yan, L. , Wang, G., Chen, M., Yue, K., &Li, Q. (2018). Experimental and application study on underpinning engineering of bridge pile foundation. Advances in Civil Engineering. 1-13.
- Suksun Horpibulsuk, Apichit Kumpala, Wanchai Katkan. (2008). A Case History on Underpinning for a Distressed Building on Hard Residual Soil Underneath Non-Uniform Loose Sand. Soils and Foundations,48(2):267-285. [CrossRef]
- Wang, B. , &Zhang, B., Y. (2011). Study on underpinning of pile foundation of existing bridge during metro tunnel driving. Railway Engineering, 4:47-48. [CrossRef]
- Kou, W. (2018). Application of Active Underpinning Technique in Construction of Zhengzhou Metro Shield Tunnel Passing Under Bridge Pile Foundation. Railway,58:87–90.
- Tu, Y., Z. , &Chen, T. (2021). Research and Application of Underpinning Technology of Pile Foundation by Longitudinal Wall-Beam in Mined Tunnel. Tunnel Construction, 41(S2):398-407.
- U.T. Igba, P.O. U.T. Igba, P.O. Igba, A.A Adekunle, J.O. Labiran, S.O. Oyebisi, C.A. Cosmas.(2023).Strengthening and underpinning of a sinking two story building in Lagos State Nigeria. Engineering Failure Analysis,150. [CrossRef]
- Ritvars, B. , Remo, M., &Janis, Z. (2023). Research of Potential Catalysts for Two-Component Silyl-Terminated Prepolymer/Epoxy Resin Adhesives. Polymers,15(10).
- Ba, H. , Guo, L., Huan, H., Zhang, S., &Lin, Z. (2023). Multi-Objective Optimization of Epoxy Resin Adhesive for Pavement Toughened by Self-Made Toughening Agent. Polymers, 15, 1946. [CrossRef]
- Cai, W., Yuan, Z., G., Wang, Z., C., Guo, Z., Y., Zhang, L., L., Wang, J., &Liu, W., T. (2021). Enhancing the toughness of epoxy resin by using a novel hyperbranched benzoxazine. Reactive and Functional Polymers, 164. [CrossRef]
- Lee M K, Kwon W, Kwon D, Lee E, &Jeong E. (2019). Fracture toughness of the novel in-situ polytriazolesulfone modified epoxy resin for carbon fiber/epoxy composites. Journal of Industrial and Engineering Chemistry, 77: 461-469. [CrossRef]
- 임윤지, 박수진. (2017). Fracture toughness and ductile characteristics of epoxy resin modified with biodegradable polymer. 한국고분자학회 학술대회 연구논문 초록집, 42(2): 120-120.
- Liu, M., M. , Zhang, L., &Lee, C. (2021). New Epoxy with Self-Repairing Properties of Environmental-Friendly Building Structure Adhesives. Ecological Chemistry and Engineering S, 28: 39-48. [CrossRef]
- He X., G. (2012) Application of New-type Epoxy Resin Mortar in Planting Reinforcement Bar of Highway Engineering. Journal of Railway Engineering Society, 29(07): 62-66.















| Type | Physical Quantities | Similarity Relation | Similar Constants |
|---|---|---|---|
| Material performance | Stress | Sσ | 1 |
| Strain | Sε | 1 | |
| Elastic modulus | Sσ | 1 | |
| Poisson's ratio | 1 | 1 | |
| Geometrical performance | Geometrical size | Sl | 1/6 |
| Linear displacement | Sl | 1/6 | |
| Angular displacement | 1 | 1 | |
| Force | concentrated loads | Sl2 | 1/36 |
| Items | Prototype (cm) | Model (cm) |
|---|---|---|
| Length | 250 | 41.67 |
| Width | 130 | 21.67 |
| Length | 650 | 108.33 |
| Width | 650 | 108.33 |
| Height | 200 | 33.33 |
| Length | 2030 | 338 |
| Width | 870 | 145 |
| Height | 350 | 58.33 |
| Thermal Distortion Temperature (℃) | Fracture elongation (%) |
Thermal expansion coefficient (10-5m/(m•℃) |
Tensile strength (MPa) |
Compressive strength (MPa) |
|
|---|---|---|---|---|---|
| Epoxy | 46-288 | 3-6 | 4.5-6.5 | 28-91 | 105-175 |
| Preloading | Loading | ||
| Loading protocol | 0-100kN | 100kN-1900kN | 1900kN-2700kN |
| Loop loading twice | Loading step with 150kN | Loading step with 100kN | |
| loading level | L0 | L0-L12 | L12-L20 |
Disclaimer/Publisher’s Note: The statements, opinions and data contained in all publications are solely those of the individual author(s) and contributor(s) and not of MDPI and/or the editor(s). MDPI and/or the editor(s) disclaim responsibility for any injury to people or property resulting from any ideas, methods, instructions or products referred to in the content. |
© 2023 by the authors. Licensee MDPI, Basel, Switzerland. This article is an open access article distributed under the terms and conditions of the Creative Commons Attribution (CC BY) license (https://creativecommons.org/licenses/by/4.0/).
