Submitted:
09 September 2023
Posted:
12 September 2023
Read the latest preprint version here
Abstract
Keywords:
1. Introduction
2. Device Fabrication and Characterisation
3. Thermo-Optic Coefficient
4. Optically Induced Thermo-Optic Response
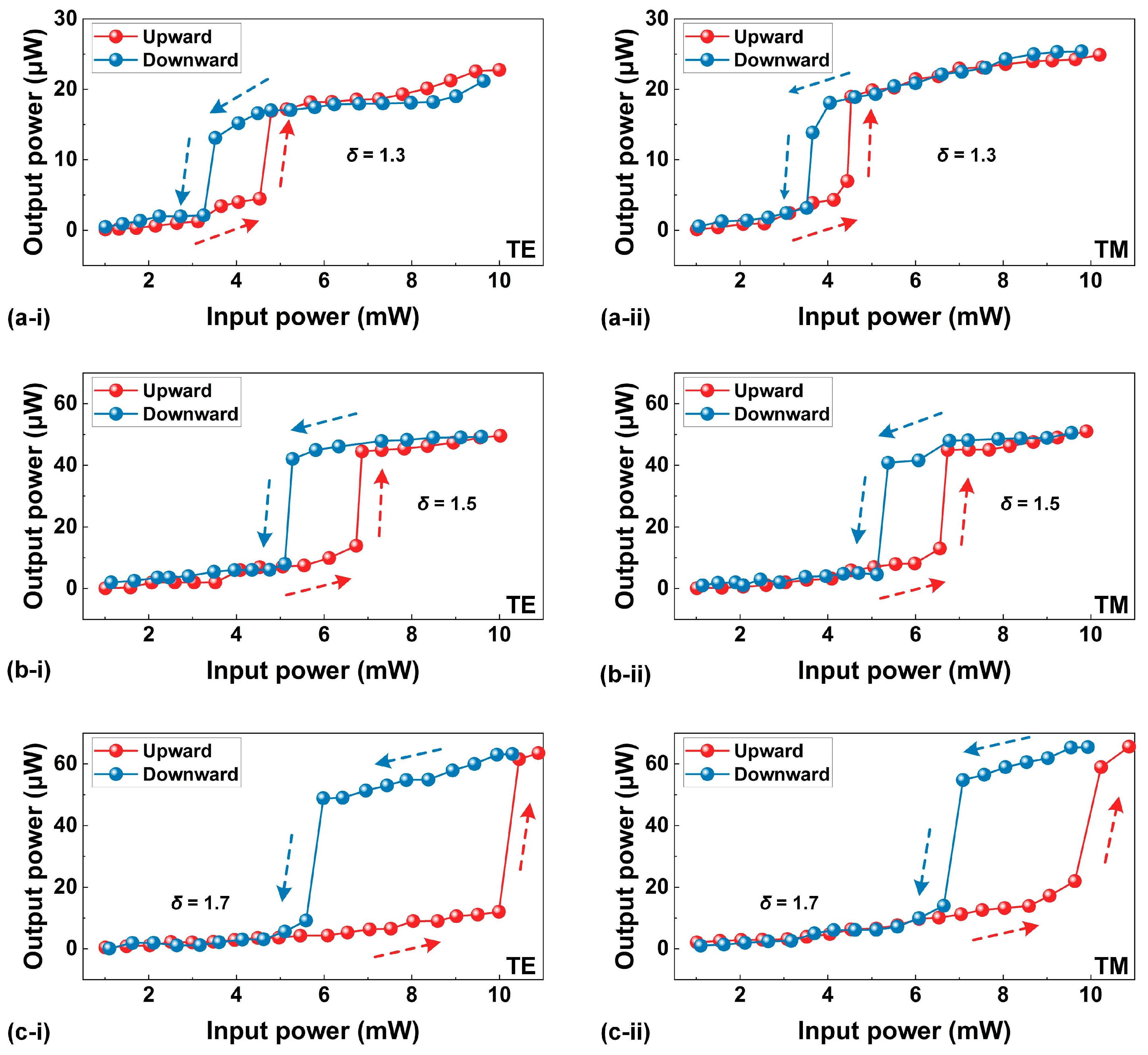
5. Optical Bistability
6. Thermal Conductivity
7.Comparison with Other Integrated Platform Materials
8.Conclusion
References
- Li, Y.; Li, W.; Han, T.; Zheng, X.; Li, J.; Li, B.; Fan, S.; Qiu, C.-W. Transforming heat transfer with thermal metamaterials and devices. Nature Reviews Materials 2021, 6, 488–507. [Google Scholar] [CrossRef]
- Zhu, H.; Li, Q.; Zheng, C.; Hong, Y.; Xu, Z.; Wang, H.; Shen, W.; Kaur, S.; Ghosh, P.; Qiu, M. High-temperature infrared camouflage with efficient thermal management. Light: Science & Applications 2020, 9, 60. [Google Scholar] [CrossRef]
- Wang, C.; Zhang, M.; Chen, X.; Bertrand, M.; Shams-Ansari, A.; Chandrasekhar, S.; Winzer, P.; Lončar, M. Integrated lithium niobate electro-optic modulators operating at CMOS-compatible voltages. Nature 2018, 562, 101–104. [Google Scholar] [CrossRef]
- Wu, K.; Wang, Y.; Qiu, C.; Chen, J. Thermo-optic all-optical devices based on two-dimensional materials. Photon. Res. 2018, 6, C22–C28. [Google Scholar] [CrossRef]
- Desiatov, B.; Goykhman, I.; Levy, U. Direct Temperature Mapping of Nanoscale Plasmonic Devices. Nano Letters 2014, 14, 648–652. [Google Scholar] [CrossRef]
- Huang, Q.; Yu, H.; Zhang, Q.; Li, Y.; Chen, W.; Wang, Y.; Yang, J. Thermally enhanced responsivity in an all-silicon optical power monitor based on defect-mediated absorption. Photonics Res. 2021, 9, 2205. [Google Scholar] [CrossRef]
- Sun, Y.; Wu, J.; Tan, M.; Xu, X.; Li, Y.; Morandotti, R.; Mitchell, A.; Moss, D.J. Applications of optical microcombs. Advances in Optics and Photonics 2023, 15, 86. [Google Scholar] [CrossRef]
- Herr, T.; Brasch, V.; Jost, J.D.; Wang, C.Y.; Kondratiev, N.M.; Gorodetsky, M.L.; Kippenberg, T.J. Temporal solitons in optical microresonators. Nature Photonics 2014, 8, 145–152. [Google Scholar] [CrossRef]
- Qiu, C.; Zhang, C.; Zeng, H.; Guo, T. High-Performance Graphene-on-Silicon Nitride All-Optical Switch Based on a Mach–Zehnder Interferometer. J. Lightwave Technol. 2021, 39, 2099–2105. [Google Scholar] [CrossRef]
- Qiu, C.; Yang, Y.; Li, C.; Wang, Y.; Wu, K.; Chen, J. All-optical control of light on a graphene-on-silicon nitride chip using thermo-optic effect. Scientific Reports 2017, 7, 17046. [Google Scholar] [CrossRef]
- Smith, P.W.; Tomlinson, W.J. Bistable optical devices promise subpicosecond switching. IEEE Spectrum 1981, 18, 26–33. [Google Scholar] [CrossRef]
- Shirdel, M.; Mansouri-Birjandi, M.A. All-optical bistable switching, hard-limiter and wavelength-controlled power source. Frontiers of Optoelectronics 2016, 9, 560–564. [Google Scholar] [CrossRef]
- Gibbs, H. Optical Bistability: Controlling Light with Light, Academic Press. Inc.: Orlando, FL, USA.
- Almeida, V.R.; Lipson, M. Optical bistability on a silicon chip. Optics Letters 2004, 29, 2387–2389. [Google Scholar] [CrossRef]
- Ferrera, M.; Razzari, L.; Duchesne, D.; Morandotti, R.; Yang, Z.; Liscidini, M.; Sipe, J.E.; Chu, S.; Little, B.E.; Moss, D.J. Low-power continuous-wave nonlinear optics in doped silica glass integrated waveguide structures. Nat. Photonics 2008, 2, 737–740. [Google Scholar] [CrossRef]
- Ferrera, M.; Park, Y.; Razzari, L.; Little, B.E.; Chu, S.T.; Morandotti, R.; Moss, D.J.; Azaña, J. On-chip CMOS-compatible all-optical integrator. Nature Communications 2010, 1, 29. [Google Scholar] [CrossRef]
- Razzari, L.; Duchesne, D.; Ferrera, M.; Morandotti, R.; Chu, S.; Little, B.E.; Moss, D.J. CMOS-compatible integrated optical hyper-parametric oscillator. Nature Photonics 2010, 4, 41–45. [Google Scholar] [CrossRef]
- Moss, D.J.; Morandotti, R.; Gaeta, A.L.; Lipson, M. New CMOS-compatible platforms based on silicon nitride and Hydex for nonlinear optics. Nat. Photonics 2013, 7, 597–607. [Google Scholar] [CrossRef]
- Bao, H.; Cooper, A.; Rowley, M.; Di Lauro, L.; Totero Gongora, J.S.; Chu, S.T.; Little, B.E.; Oppo, G.-L.; Morandotti, R.; Moss, D.J.; et al. Laser cavity-soliton microcombs. Nat. Photonics 2019, 13, 384–389. [Google Scholar] [CrossRef]
- Kues, M.; Reimer, C.; Roztocki, P.; Cortés, L.R.; Sciara, S.; Wetzel, B.; Zhang, Y.; Cino, A.; Chu, S.T.; Little, B.E.; et al. On-chip generation of high-dimensional entangled quantum states and their coherent control. Nature 2017, 546, 622–626. [Google Scholar] [CrossRef]
- Reimer, C.; Kues, M.; Roztocki, P.; Wetzel, B.; Grazioso, F.; Little, B.E.; Chu, S.T.; Johnston, T.; Bromberg, Y.; Caspani, L.; et al. Generation of multiphoton entangled quantum states by means of integrated frequency combs. Science 2016, 351, 1176–1180. [Google Scholar] [CrossRef]
- Rowley, M.; Hanzard, P.-H.; Cutrona, A.; Bao, H.; Chu, S.T.; Little, B.E.; Morandotti, R.; Moss, D.J.; Oppo, G.-L.; Totero Gongora, J.S.; et al. Self-emergence of robust solitons in a microcavity. Nature 2022, 608, 303–309. [Google Scholar] [CrossRef]
- Xu, X.; Tan, M.; Corcoran, B.; Wu, J.; Boes, A.; Nguyen, T.G.; Chu, S.T.; Little, B.E.; Hicks, D.G.; Morandotti, R.; et al. 11 TOPS photonic convolutional accelerator for optical neural networks. Nature 2021, 589, 44–51. [Google Scholar] [CrossRef]
- Corcoran, B.; Tan, M.; Xu, X.; Boes, A.; Wu, J.; Nguyen, T.G.; Chu, S.T.; Little, B.E.; Morandotti, R.; Mitchell, A.; et al. Ultra-dense optical data transmission over standard fibre with a single chip source. Nature Communications 2020, 11, 2568. [Google Scholar] [CrossRef] [PubMed]
- Wu, J.; Yang, Y.; Qu, Y.; Xu, X.; Liang, Y.; Chu, S.T.; Little, B.E.; Morandotti, R.; Jia, B.; Moss, D.J. Graphene Oxide Waveguide and Micro-Ring Resonator Polarizers. Laser Photonics Rev. 2019, 13, 1900056. [Google Scholar] [CrossRef]
- Wu, J.; Yang, Y.; Qu, Y.; Jia, L.; Zhang, Y.; Xu, X.; Chu, S.T.; Little, B.E.; Morandotti, R.; Jia, B.; et al. 2D Layered Graphene Oxide Films Integrated with Micro-Ring Resonators for Enhanced Nonlinear Optics. Small 2020, 16, 1906563. [Google Scholar] [CrossRef]
- Gao, Y.; Zhou, W.; Sun, X.; Tsang, H.K.; Shu, C. Cavity-enhanced thermo-optic bistability and hysteresis in a graphene-on-Si3N4 ring resonator. Optics Letters 2017, 42, 1950–1953. [Google Scholar] [CrossRef]
- Priem, G.; Dumon, P.; Bogaerts, W.; Thourhout, D.V.; Morthier, G.; Baets, R. Optical bistability and pulsating behaviour in Silicon-On-Insulator ring resonator structures. Opt. Express 2005, 13, 9623–9628. [Google Scholar] [CrossRef] [PubMed]
- Wu, J.; Cao, P.; Pan, T.; Yang, Y.; Qiu, C.; Tremblay, C.; Su, Y. Compact on-chip 1 × 2 wavelength selective switch based on silicon microring resonator with nested pairs of subrings. Photon. Res. 2015, 3, 9–14. [Google Scholar] [CrossRef]
- Arianfard, H.; Juodkazis, S.; Moss, D.J.; Wu, J. Sagnac interference in integrated photonics. Applied Physics Reviews 2023, 10. [Google Scholar] [CrossRef]
- Zhang, Y.; Wu, J.; Jia, L.; Qu, Y.; Yang, Y.; Jia, B.; Moss, D.J. Graphene Oxide for Nonlinear Integrated Photonics. Laser & Photonics Reviews 2023, 17, 2200512. [Google Scholar] [CrossRef]
- Cocorullo, G.; Della Corte, F.G.; Rendina, I.; Sarro, P.M. Thermo-optic effect exploitation in silicon microstructures. Sensors and Actuators A: Physical 1998, 71, 19–26. [Google Scholar] [CrossRef]
- Grieco, A.; Slutsky, B.; Tan, D.T.H.; Zamek, S.; Nezhad, M.P.; Fainman, Y. Optical Bistability in a Silicon Waveguide Distributed Bragg Reflector Fabry–Pérot Resonator. Journal of Lightwave Technology 2012, 30, 2352–2355. [Google Scholar] [CrossRef]
- Ferrera, M.; Duchesne, D.; Razzari, L.; Peccianti, M.; Morandotti, R.; Cheben, P.; Janz, S.; Xu, D.X.; Little, B.E.; Chu, S.; et al. Low power four wave mixing in an integrated, micro-ring resonator with Q = 1.2 million. Opt. Express 2009, 17, 14098–14103. [Google Scholar] [CrossRef] [PubMed]
- Wu, J.; Moein, T.; Xu, X.; Ren, G.; Mitchell, A.; Moss, D.J. Micro-ring resonator quality factor enhancement via an integrated Fabry-Perot cavity. APL Photonics 2017, 2. [Google Scholar] [CrossRef]
- Gao, H.; Jiang, Y.; Cui, Y.; Zhang, L.; Jia, J.; Jiang, L. Investigation on the Thermo-Optic Coefficient of Silica Fiber Within a Wide Temperature Range. Journal of Lightwave Technology 2018, 36, 5881–5886. [Google Scholar] [CrossRef]
- Horvath, C.; Bachman, D.; Indoe, R.; Van, V. Photothermal nonlinearity and optical bistability in a graphene–silicon waveguide resonator. Optics Letters 2013, 38, 5036–5039. [Google Scholar] [CrossRef]
- Foster, M.A.; Turner, A.C.; Sharping, J.E.; Schmidt, B.S.; Lipson, M.; Gaeta, A.L. Broad-band optical parametric gain on a silicon photonic chip. Nature 2006, 441, 960–963. [Google Scholar] [CrossRef]
- Leuthold, J.; Koos, C.; Freude, W. Nonlinear silicon photonics. Nat. Photonics 2010, 4, 535–544. [Google Scholar] [CrossRef]
- Wu, J.; Lin, H.; Moss, D.J.; Loh, K.P.; Jia, B. Graphene oxide for photonics, electronics and optoelectronics. Nature Reviews Chemistry 2023, 7, 162–183. [Google Scholar] [CrossRef]
- Wu, J.; Jia, L.; Zhang, Y.; Qu, Y.; Jia, B.; Moss, D.J. Graphene Oxide for Integrated Photonics and Flat Optics. Adv. Mater. 2021, 33, 2006415. [Google Scholar] [CrossRef]
- Wu, J.; Liu, B.; Peng, J.; Mao, J.; Jiang, X.; Qiu, C.; Tremblay, C.; Su, Y. On-Chip Tunable Second-Order Differential-Equation Solver Based on a Silicon Photonic Mode-Split Microresonator. J. Lightwave Technol. 2015, 33, 3542–3549. [Google Scholar] [CrossRef]
- Ikeda, K.; Saperstein, R.E.; Alic, N.; Fainman, Y. Thermal and Kerr nonlinear properties of plasma-deposited silicon nitride/silicon dioxide waveguides. Opt. Express 2008, 16, 12987–12994. [Google Scholar] [CrossRef] [PubMed]
- Gu, T.; Yu, M.; Kwong, D.-L.; Wong, C.W. Molecular-absorption-induced thermal bistability in PECVD silicon nitride microring resonators. Opt. Express 2014, 22, 18412–18420. [Google Scholar] [CrossRef]
- Luo, L.-W.; Wiederhecker, G.S.; Preston, K.; Lipson, M. Power insensitive silicon microring resonators. Optics Letters 2012, 37, 590–592. [Google Scholar] [CrossRef] [PubMed]
- Qu, Y.; Wu, J.; Zhang, Y.; Jia, L.; Liang, Y.; Jia, B.; Moss, D.J. Analysis of Four-Wave Mixing in Silicon Nitride Waveguides Integrated With 2D Layered Graphene Oxide Films. Journal of Lightwave Technology 2021, 39, 2902–2910. [Google Scholar] [CrossRef]
- Zhang, Y.; Wu, J.; Qu, Y.; Jia, L.; Jia, B.; Moss, D.J. Design and Optimization of Four-Wave Mixing in Microring Resonators Integrated With 2D Graphene Oxide Films. Journal of Lightwave Technology 2021, 39, 6553–6562. [Google Scholar] [CrossRef]
- Bogaerts, W.; De Heyn, P.; Van Vaerenbergh, T.; De Vos, K.; Kumar Selvaraja, S.; Claes, T.; Dumon, P.; Bienstman, P.; Van Thourhout, D.; Baets, R. Silicon microring resonators. Laser Photonics Rev. 2012, 6, 47–73. [Google Scholar] [CrossRef]
- Yang, Y.; Wu, J.; Xu, X.; Liang, Y.; Chu, S.T.; Little, B.E.; Morandotti, R.; Jia, B.; Moss, D.J. Invited Article: Enhanced four-wave mixing in waveguides integrated with graphene oxide. APL Photonics 2018, 3, 120803. [Google Scholar] [CrossRef]
- Ma, Q.; Rossmann, T.; Guo, Z. Temperature sensitivity of silica micro-resonators. Journal of Physics D: Applied Physics 2008, 41, 245111. [Google Scholar] [CrossRef]
- Jin, L.; Di Lauro, L.; Pasquazi, A.; Peccianti, M.; Moss, D.J.; Morandotti, R.; Little, B.E.; Chu, S.T. Optical multi-stability in a nonlinear high-order microring resonator filter. APL Photonics 2020, 5. [Google Scholar] [CrossRef]
- Rukhlenko, I.D.; Premaratne, M.; Agrawal, G.P. Analytical study of optical bistability in silicon ring resonators. Optics Letters 2010, 35, 55–57. [Google Scholar] [CrossRef] [PubMed]
- Gu, T.; Petrone, N.; McMillan, J.F.; van der Zande, A.; Yu, M.; Lo, G.-Q.; Kwong, D.-L.; Hone, J.; Wong, C.W. Regenerative oscillation and four-wave mixing in graphene optoelectronics. Nature photonics 2012, 6, 554–559. [Google Scholar] [CrossRef]
- Zhang, Y.; Tao, L.; Yi, D.; Xu, J.-b.; Tsang, H.K. Enhanced thermo-optic nonlinearities in a MoS2-on-silicon microring resonator. Applied Physics Express 2020, 13, 022004. [Google Scholar] [CrossRef]
- Wu, J.; Xu, X.; Nguyen, T.G.; Chu, S.T.; Little, B.E.; Morandotti, R.; Mitchell, A.; Moss, D.J. RF Photonics: An Optical Microcombs’ Perspective. IEEE Journal of Selected Topics in Quantum Electronics 2018, 24, 1–20. [Google Scholar] [CrossRef]
- Ghosh, S.; Calizo, I.; Teweldebrhan, D.; Pokatilov, E.P.; Nika, D.L.; Balandin, A.A.; Bao, W.; Miao, F.; Lau, C.N. Extremely high thermal conductivity of graphene: Prospects for thermal management applications in nanoelectronic circuits. Applied Physics Letters 2008, 92. [Google Scholar] [CrossRef]
- Goli, P.; Legedza, S.; Dhar, A.; Salgado, R.; Renteria, J.; Balandin, A.A. Graphene-enhanced hybrid phase change materials for thermal management of Li-ion batteries. Journal of Power Sources 2014, 248, 37–43. [Google Scholar] [CrossRef]
- Renteria, J.D.; Nika, D.L.; Balandin, A.A. Graphene Thermal Properties: Applications in Thermal Management and Energy Storage. In Applied Sciences, 2014; Vol. 4, pp 525-547.
- Shakouri, A. Nanoscale Thermal Transport and Microrefrigerators on a Chip. Proceedings of the IEEE 2006, 94, 1613–1638. [Google Scholar] [CrossRef]
- Mehra, N.; Mu, L.; Ji, T.; Yang, X.; Kong, J.; Gu, J.; Zhu, J. Thermal transport in polymeric materials and across composite interfaces. Applied Materials Today 2018, 12, 92–130. [Google Scholar] [CrossRef]
- Horvath, C.; Bachman, D.; Indoe, R.; Van, V. Photothermal nonlinearity and optical bistability in a graphene-silicon waveguide resonator. Optics Letters 2013, 38, 5036–5039. [Google Scholar] [CrossRef]
- Little, B.E.; Chu, S.T.; Absil, P.P.; Hryniewicz, J.V.; Johnson, F.G.; Seiferth, F.; Gill, D.; Van, V.; King, O.; Trakalo, M. Very high-order microring resonator filters for WDM applications. IEEE Photonics Technology Letters 2004, 16, 2263–2265. [Google Scholar] [CrossRef]
- Little, B. A VLSI Photonics Platform. Proceedings of Optical Fiber Communication Conference, Atlanta, Georgia, 2003/03/23; p. ThD1. [Google Scholar]
- Gyanathan, A.; Yeo, Y.-C. Multi-level phase change memory devices with Ge2Sb2Te5 layers separated by a thermal insulating Ta2O5 barrier layer. Journal of Applied Physics 2011, 110. [Google Scholar] [CrossRef]
- Grilli, M.L.; Ristau, D.; Dieckmann, M.; Willamowski, U. Thermal conductivity of e-beam coatings. Applied Physics A 2000, 71, 71–76. [Google Scholar] [CrossRef]
- Campenhout, J.V.; Rojo-Romeo, P.; Thourhout, D.V.; Seassal, C.; Regreny, P.; Cioccio, L.D.; Fedeli, J.M.; Baets, R. Thermal Characterization of Electrically Injected Thin-Film InGaAsP Microdisk Lasers on Si. Journal of Lightwave Technology 2007, 25, 1543–1548. [Google Scholar] [CrossRef]
- Komma, J.; Schwarz, C.; Hofmann, G.; Heinert, D.; Nawrodt, R. Thermo-optic coefficient of silicon at 1550 nm and cryogenic temperatures. Applied Physics Letters 2012, 101. [Google Scholar] [CrossRef]
- Cocorullo, G.; Della Corte, F.G.; Rendina, I. Temperature dependence of the thermo-optic coefficient in crystalline silicon between room temperature and 550 K at the wavelength of 1523 nm. Applied Physics Letters 1999, 74, 3338–3340. [Google Scholar] [CrossRef]
- Hsu, W.-C.; Zhen, C.; Wang, A.X. Electrically Tunable High-Quality Factor Silicon Microring Resonator Gated by High Mobility Conductive Oxide. ACS Photonics 2021, 8, 1933–1936. [Google Scholar] [CrossRef]
- Barclay, P.E.; Srinivasan, K.; Painter, O. Nonlinear response of silicon photonic crystal microresonators excited via an integrated waveguide and fiber taper. Opt. Express 2005, 13, 801–820. [Google Scholar] [CrossRef]
- Dai, D.; Wang, Z.; Bauters, J.F.; Tien, M.C.; Heck, M.J.R.; Blumenthal, D.J.; Bowers, J.E. Low-loss Si3N4 arrayed-waveguide grating (de)multiplexer using nano-core optical waveguides. Opt. Express 2011, 19, 14130–14136. [Google Scholar] [CrossRef]
- x. Xu, J. Wu, M. Shoeiby, T.G. Nguyen, S.T. Chu, B.E. Little, R. Morandotti, A. Mitchell, and D. J. Moss. Reconfigurable broadband microwave photonic intensity differentiator based on an integrated optical frequency comb source. APL Photonics 2017, 2, 096104. [CrossRef]
- Xu, X. et al., Photonic microwave true time delays for phased array antennas using a 49 GHz FSR integrated micro-comb source. Photonics Research 2018, 6, B30–B36. [Google Scholar] [CrossRef]
- X. Xu, M. Tan, J. Wu, R. Morandotti, A. Mitchell, and D. J. Moss. Microcomb-based photonic RF signal processing. IEEE Photonics Technology Letters 2019, 31, 1854–1857. [CrossRef]
- Xu, et al. Advanced adaptive photonic RF filters with 80 taps based on an integrated optical micro-comb source. Journal of Lightwave Technology 2019, 37, 1288–1295. [CrossRef]
- X. Xu, et al. Photonic RF and microwave integrator with soliton crystal microcombs. IEEE Transactions on Circuits and Systems II: Express Briefs 2020, 67, 3582–3586.
- X. Xu, et al. High performance RF filters via bandwidth scaling with Kerr micro-combs. APL Photonics 2019, 4, 026102. [CrossRef]
- M. Tan, et al. Microwave and RF photonic fractional Hilbert transformer based on a 50 GHz Kerr micro-comb. Journal of Lightwave Technology 2019, 37, 6097–6104. [CrossRef]
- M. Tan, et al. RF and microwave fractional differentiator based on photonics. IEEE Transactions on Circuits and Systems: Express Briefs 2020, 67, 2767–2771.
- M. Tan, et al. Photonic RF arbitrary waveform generator based on a soliton crystal micro-comb source. Journal of Lightwave Technology 2020, 38, 6221–6226. [CrossRef]
- M. Tan, X. Xu, J. Wu, R. Morandotti, A. Mitchell, and D. J. Moss. RF and microwave high bandwidth signal processing based on Kerr Micro-combs. Advances in Physics X 2021, 6, 1838946. [CrossRef]
- X. Xu, et al. Advanced RF and microwave functions based on an integrated optical frequency comb source. Opt. Express 2018, 26, 2569. [CrossRef]
- M. Tan, X. Xu, J. Wu, B. Corcoran, A. Boes, T.G. Nguyen, S.T. Chu, B.E. Little, R.Morandotti, A. Lowery, A. Mitchell, and D. J. Moss. "Highly Versatile Broadband RF Photonic Fractional Hilbert Transformer Based on a Kerr Soliton Crystal Microcomb. Journal of Lightwave Technology 2021, 39, 7581–7587. [CrossRef]
- Wu, J. RF Photonics: An Optical Microcombs’ Perspective. IEEE Journal of Selected Topics in Quantum Electronics 2018, 24, 6101020. [Google Scholar] [CrossRef]
- T.G. Nguyen et al. Integrated frequency comb source-based Hilbert transformer for wideband microwave photonic phase analysis. Opt. Express 2015, 23, 22087–22097.
- X. Xu, et al. Broadband RF channelizer based on an integrated optical frequency Kerr comb source. Journal of Lightwave Technology 2018, 36, 4519–4526. [CrossRef]
- X. Xu, et al. Continuously tunable orthogonally polarized RF optical single sideband generator based on micro-ring resonators. Journal of Optics 2018, 20, 115701. [CrossRef]
- X. Xu, et al. Orthogonally polarized RF optical single sideband generation and dual-channel equalization based on an integrated microring resonator. Journal of Lightwave Technology 2018, 36, 4808–4818. [CrossRef]
- X. Xu, et al. Photonic RF phase-encoded signal generation with a microcomb source. J. Lightwave Technology 2020, 38, 1722–1727. [CrossRef]
- X. Xu, et al., Broadband microwave frequency conversion based on an integrated optical micro-comb source. Journal of Lightwave Technology 2020, 38, 332–338. [CrossRef]
- M. Tan, et al. Photonic RF and microwave filters based on 49GHz and 200GHz Kerr microcombs. Optics Comm 2020, 465, 125563. [CrossRef]
- X. Xu, et al. Broadband photonic RF channelizer with 90 channels based on a soliton crystal microcomb. Journal of Lightwave Technology 2020, 38, 5116–5121. [CrossRef]
- M. Tan et al. Orthogonally polarized Photonic Radio Frequency single sideband generation with integrated micro-ring resonators. IOP Journal of Semiconductors 2021, 42, 041305. [CrossRef]
- Mengxi Tan, X. Xu, J. Wu, T.G. Nguyen, S.T. Chu, B.E. Little, R. Morandotti, A. Mitchell, and David J. Moss. Photonic Radio Frequency Channelizers based on Kerr Optical Micro-combs. IOP Journal of Semiconductors 2021, 42, 041302. [CrossRef]
- B. Corcoran, et al. Ultra-dense optical data transmission over standard fiber with a single chip source. Nature Communications 2020, 11, 2568. [CrossRef] [PubMed]
- X. Xu et al. Photonic perceptron based on a Kerr microcomb for scalable high speed optical neural networks. Laser and Photonics Reviews 2020, 14, 2000070. [CrossRef]
- X. Xu, et al. 11 TOPs photonic convolutional accelerator for optical neural networks. Nature 2021, 589, 44–51. [CrossRef]
- X. Xu et al. Neuromorphic computing based on wavelength-division multiplexing. 28 IEEE Journal of Selected Topics in Quantum Electronics 2023, 29, 7400112. [CrossRef]
- Yang Sun, Jiayang Wu, Mengxi Tan, Xingyuan Xu, Yang Li, Roberto Morandotti, Arnan Mitchell, and David Moss. Applications of optical micro-combs. Advances in Optics and Photonics 2023, 15, 86–175. [CrossRef]
- Yunping Bai, Xingyuan Xu,1, Mengxi Tan, Yang Sun, Yang Li, Jiayang Wu, Roberto Morandotti, Arnan Mitchell, Kun Xu, and David J. Moss. Photonic multiplexing techniques for neuromorphic computing. Nanophotonics 2023, 12, 795–817.
- Chawaphon Prayoonyong, Andreas Boes, Xingyuan Xu, Mengxi Tan, Sai T. Chu, Brent E. Little, Roberto Morandotti, Arnan Mitchell, David J. Moss, and Bill Corcoran. Frequency comb distillation for optical superchannel transmission. Journal of Lightwave Technology 2021, 39, 7383–7392.
- Mengxi Tan, Xingyuan Xu, Jiayang Wu, Bill Corcoran, Andreas Boes, Thach G. Nguyen, Sai T. Chu, Brent E. Little, Roberto Morandotti, Arnan Mitchell, and David J. Moss. Integral order photonic RF signal processors based on a soliton crystal micro-comb source. IOP Journal of Optics 2021, 23, 125701.
- Yang Sun, Jiayang Wu, Yang Li, Xingyuan Xu, Guanghui Ren, Mengxi Tan, Sai Tak Chu, Brent E. Little, Roberto Morandotti, Arnan Mitchell, and David J. Moss. Performance analysis of microcomb-based microwave photonic transversal signal processors with experimental errors. Journal of Lightwave Technology 41 Special Issue on Microwave Photonics, 2023.
- Mengxi Tan, Xingyuan Xu, Andreas Boes, Bill Corcoran, Thach G. Nguyen, Sai T. Chu, Brent E. Little, Roberto Morandotti, Jiayang Wu, Arnan Mitchell, and David J. Moss. Photonic signal processor for real-time video image processing at 17 Tb/s. Communications Engineering 2, 2023.
- Mengxi Tan, Xingyuan Xu, Jiayang Wu, Roberto Morandotti, Arnan Mitchell, and David J. Moss. Photonic RF and microwave filters based on 49GHz and 200GHz Kerr microcombs. Optics Communications 2020, 465, 125563. [CrossRef]
- Yang Sun, Jiayang Wu, Yang Li, Mengxi Tan, Xingyuan Xu, Sai Chu, Brent Little, Roberto Morandotti, Arnan Mitchell, and David J. Moss. Quantifying the Accuracy of Microcomb-based Photonic RF Transversal Signal Processors. IEEE Journal of Selected Topics in Quantum Electronics 2023, 29, 7500317.
- Kues, M. Quantum optical microcombs. Nature Photonics 2019, 13, 170–179. [Google Scholar] [CrossRef]
- C. Reimer, L. Caspani, M. Clerici, et al. Integrated frequency comb source of heralded single photons. Optics Express 2014, 22, 6535–6546. [CrossRef]
- C. Reimer, et al. Cross-polarized photon-pair generation and bi-chromatically pumped optical parametric oscillation on a chip. Nature Communications 2015, 6, 8236. [CrossRef]
- L. Caspani, C. Reimer, M. Kues, et al. Multifrequency sources of quantum correlated photon pairs on-chip: a path toward integrated Quantum Frequency Combs. Nanophotonics 2016, 5, 351–362. [CrossRef]
- C. Reimer et al. Generation of multiphoton entangled quantum states by means of integrated frequency combs. Science 2016, 351, 1176–1180. [CrossRef] [PubMed]
- M. Kues, et al. On-chip generation of high-dimensional entangled quantum states and their coherent control. Nature 2017, 546, 622–626. [CrossRef]
- P. Roztocki et al. Practical system for the generation of pulsed quantum frequency combs. Optics Express 2017, 25, 18940–18949. [CrossRef]
- Y. Zhang, et al. Induced photon correlations through superposition of two four-wave mixing processes in integrated cavities. Laser and Photonics Reviews 2020, 14, 2000128. [CrossRef]
- C. Reimer, et al. High-dimensional one-way quantum processing implemented on d-level cluster states. Nature Physics 2019, 15, 148–153. [CrossRef]
- P. Roztocki et al. Complex quantum state generation and coherent control based on integrated frequency combs. Journal of Lightwave Technology 2019, 37, 338–347. [CrossRef]
- S. Sciara et al. Generation and Processing of Complex Photon States with Quantum Frequency Combs. IEEE Photonics Technology Letters 2019, 31, 1862–1865. [CrossRef]
- Stefania Sciara, Piotr Roztocki, Bennet Fisher, Christian Reimer, Luis Romero Cortez, William J. Munro, David J. Moss, Alfonso C. Cino, Lucia Caspani, Michael Kues, J. Azana, and Roberto Morandotti. Scalable and effective multilevel entangled photon states: A promising tool to boost quantum technologies. Nanophotonics 2021, 10, 4447–4465. [CrossRef]
- L. Caspani, C. Reimer, M. Kues, et al. Multifrequency sources of quantum correlated photon pairs on-chip: a path toward integrated Quantum Frequency Combs. Nanophotonics 2016, 5, 351–362. [CrossRef]
- Moss. Enhanced supercontinuum generated in SiN waveguides coated with GO films. Advanced Materials Technologies 2023, 8, 2201796. [CrossRef]
- Yuning Zhang, Jiayang Wu, Linnan Jia, Yang Qu, Baohua Jia, and David J. Moss. Graphene oxide for nonlinear integrated photonics. Laser and Photonics Reviews 2023, 17, 2200512. [CrossRef]
- Jiayang Wu, H. Lin, D.J. Moss, T.K. Loh, Baohua Jia. Graphene oxide: new opportunities for electronics, photonics, and optoelectronics. Nature Reviews Chemistry 2023, 7, 162–183. [Google Scholar]
- Yang Qu, Jiayang Wu, Yuning Zhang, Yunyi Yang, Linnan Jia, Baohua Jia, and David J. Moss. Photo thermal tuning in GO-coated integrated waveguides. Micromachines 2022, 13, 1194.
- Yuning Zhang, Jiayang Wu, Yunyi Yang, Yang Qu, Houssein El Dirani, Romain Crochemore, Corrado Sciancalepore, Pierre Demongodin, Christian Grillet, Christelle Monat, Baohua Jia, and David J. Moss. Enhanced self-phase modulation in silicon nitride waveguides integrated with 2D graphene oxide films. IEEE Journal of Selected Topics in Quantum Electronics 2023, 29, 5100413.
- Yuning Zhang, Jiayang Wu, Yunyi Yang, Yang Qu, Linnan Jia, Baohua Jia, and David J. Moss. Enhanced spectral broadening of femtosecond optical pulses in silicon nanowires integrated with 2D graphene oxide films. Micromachines 2022, 13, 756. [CrossRef]
- Linnan Jia, Jiayang Wu, Yuning Zhang, Yang Qu, Baohua Jia, Zhigang Chen, and David J. Moss. Fabrication Technologies for the On-Chip Integration of 2D Materials. Small: Methods 2022, 6, 2101435. [CrossRef]
- Yuning Zhang, Jiayang Wu, Yang Qu, Linnan Jia, Baohua Jia, and David J. Moss. Design and optimization of four-wave mixing in microring resonators integrated with 2D graphene oxide films. Journal of Lightwave Technology 2021, 39, 6553–6562. [CrossRef]
- Yuning Zhang, Jiayang Wu, Yang Qu, Linnan Jia, Baohua Jia, and David J. Moss. Optimizing the Kerr nonlinear optical performance of silicon waveguides integrated with 2D graphene oxide films. Journal of Lightwave Technology 2021, 39, 4671–4683. [CrossRef]
- Yang Qu, Jiayang Wu, Yuning Zhang, Yao Liang, Baohua Jia, and David J. Moss. Analysis of four-wave mixing in silicon nitride waveguides integrated with 2D layered graphene oxide films. Journal of Lightwave Technology 2021, 39, 2902–2910. [CrossRef]
- Jiayang Wu, Linnan Jia, Yuning Zhang, Yang Qu, Baohua Jia, and David J. Moss,“ Graphene oxide: versatile films for flat optics to nonlinear photonic chips. Advanced Materials 2021, 33, 2006415. [CrossRef]
- Y. Qu, J. Y. Qu, J. Wu, Y. Zhang, L. Jia, Y. Yang, X. Xu, S.T. Chu, B.E. Little, R. Morandotti, B. Jia, and D. J. Moss. Graphene oxide for enhanced optical nonlinear performance in CMOS compatible integrated devices. Paper No. 11688-30, PW21O-OE109-36, 2D Photonic Materials and Devices IV, SPIE Photonics West, San Francisco CA -11, 2021. 6 March.
- Yang Qu, Jiayang Wu, Yunyi Yang, Yuning Zhang, Yao Liang, Houssein El Dirani, Romain Crochemore, Pierre Demongodin, Corrado Sciancalepore, Christian Grillet, Christelle Monat, Baohua Jia, and David J. Moss. Enhanced nonlinear four-wave mixing in silicon nitride waveguides integrated with 2D layered graphene oxide films. Advanced Optical Materials 2020, 8, 2001048. [CrossRef]
- Yuning Zhang, Yang Qu, Jiayang Wu, Linnan Jia, Yunyi Yang, Xingyuan Xu, Baohua Jia, and David J. Moss. Enhanced Kerr nonlinearity and nonlinear figure of merit in silicon nanowires integrated with 2D graphene oxide films. ACS Applied Materials and Interfaces 2020, 12, 33094–33103. [CrossRef]
- Jiayang Wu, Yunyi Yang, Yang Qu, Yuning Zhang, Linnan Jia, Xingyuan Xu, Sai T. Chu, Brent E. Little, Roberto Morandotti, Baohua Jia,* and David J. Moss*. Enhanced nonlinear four-wave mixing in microring resonators integrated with layered graphene oxide films. Small 2020, 16, 1906563.
- Jiayang Wu, Yunyi Yang, Yang Qu, Xingyuan Xu, Yao Liang, Sai T. Chu, Brent E. Little, Roberto Morandotti, Baohua Jia, and David J. Moss. Graphene oxide waveguide polarizers and polarization selective micro-ring resonators. Paper 11282-29, SPIE Photonics West, San Francisco, CA, 4 - 7 February, 2020.
- Jiayang Wu, Yunyi Yang, Yang Qu, Xingyuan Xu, Yao Liang, Sai T. Chu, Brent E. Little, Roberto Morandotti, Baohua Jia, and David J. Moss. Graphene oxide waveguide polarizers and polarization selective micro-ring resonators. Laser and Photonics Reviews 2019, 13, 1900056.
- Yunyi Yang, Jiayang Wu, Xingyuan Xu, Sai T. Chu, Brent E. Little, Roberto Morandotti, Baohua Jia, and David J. Moss. Enhanced four-wave mixing in graphene oxide coated waveguides. Applied Physics Letters Photonics 2018, 3, 120803.
- Linnan Jia, Yang Qu, Jiayang Wu, Yuning Zhang, Yunyi Yang, Baohua Jia, and David J. Moss. Third-order optical nonlinearities of 2D materials at telecommunications wavelengths. Micromachines (MDPI), 2023, 14, 307.
- Pasquazi, et al. Sub-picosecond phase-sensitive optical pulse characterization on a chip. Nature Photonics 2011, 5, 618–623. [CrossRef]
- Bao, C. et al, Direct soliton generation in microresonators. Opt. Lett, 2017, 42, 2519. [Google Scholar]
- M. Ferrera et al. CMOS compatible integrated all-optical RF spectrum analyzer. Optics Express 2014, 22, 21488–21498. [CrossRef]
- M. Kues, et al. Passively modelocked laser with an ultra-narrow spectral width. Nature Photonics 2017, 11, 159. [CrossRef]
- L. Razzari, et al. CMOS-compatible integrated optical hyper-parametric oscillator. Nature Photonics 2010, 4, 41–45. [CrossRef]
- M. Ferrera, et al. Low-power continuous-wave nonlinear optics in doped silica glass integrated waveguide structures. Nature Photonics 2008, 2, 737–740. [CrossRef]
- M. Ferrera et al.“On-Chip ultra-fast 1st and 2nd order CMOS compatible all-optical integration. Opt. Express 2011, 19, 23153–23161. [CrossRef] [PubMed]
- D. Duchesne, M. Peccianti, M.R. E. Lamont, et al. Supercontinuum generation in a high index doped silica glass spiral waveguide. Optics Express 2010, 18, 923–930. [CrossRef]
- H Bao, L Olivieri, M Rowley, ST Chu, BE Little, R Morandotti, DJ Moss,. . “Turing patterns in a fiber laser with a nested microresonator: Robust and controllable microcomb generation. Physical Review Research 2020, 2, 023395. [CrossRef]
- M. Ferrera, et al. On-chip CMOS-compatible all-optical integrator. Nature Communications 2010, 1, 29. [CrossRef] [PubMed]
- Pasquazi, et al. All-optical wavelength conversion in an integrated ring resonator. Optics Express 2010, 18, 3858–3863. [CrossRef]
- Pasquazi, Y. Park, J. Azana, et al. Efficient wavelength conversion and net parametric gain via Four Wave Mixing in a high index doped silica waveguide. Optics Express 2010, 18, 7634–7641. [Google Scholar] [CrossRef] [PubMed]
- M. Peccianti, M. Ferrera, L. Razzari, et al. Subpicosecond optical pulse compression via an integrated nonlinear chirper. Optics Express 2010, 18, 7625–7633. [CrossRef]
- Little, B.E. Very high-order microring resonator filters for WDM applications. IEEE Photonics Technol. Lett. 2004, 16, 2263–2265. [Google Scholar] [CrossRef]
- M. Ferrera et al. Low Power CW Parametric Mixing in a Low Dispersion High Index Doped Silica Glass Micro-Ring Resonator with Q-factor > 1 Million. Optics Express 2009, 17, 14098–14103. [CrossRef]
- M. Peccianti, et al. Demonstration of an ultrafast nonlinear microcavity modelocked laser. Nature Communications 2012, 3, 765. [CrossRef]
- Pasquazi, et al. Self-locked optical parametric oscillation in a CMOS compatible microring resonator: a route to robust optical frequency comb generation on a chip. Optics Express 2013, 21, 13333–13341. [CrossRef]
- Pasquazi, et al. Stable, dual mode, high repetition rate mode-locked laser based on a microring resonator. Optics Express 2012, 20, 27355–27362. [CrossRef]
- Pasquazi, A. Micro-combs: a novel generation of optical sources. Physics Reports 2018, 729, 1–81.
- Moss, D.J. New CMOS-compatible platforms based on silicon nitride and Hydex for nonlinear optics. Nature photonics 2013, 7, 597. [Google Scholar] [CrossRef]
- H. Bao, et al., Laser cavity-soliton microcombs, Nature Photonics 2019, 13, 384–389.
- Antonio Cutrona, Maxwell Rowley, Debayan Das, Luana Olivieri, Luke Peters, Sai T. Chu, Brent L. Little, Roberto Morandotti, David J. Moss, Juan Sebastian Totero Gongora, Marco Peccianti, Alessia Pasquazi. High Conversion Efficiency in Laser Cavity-Soliton Microcombs. Optics Express 2022, 30, 39816–39825. [CrossRef]
- M. Rowley, P.Hanzard, A.Cutrona, H.Bao, S.Chu, B.Little, R.Morandotti, D.J. Moss, G. Oppo, J. Gongora, M. Peccianti and A. Pasquazi. Self-emergence of robust solitons in a micro-cavity. Nature 2022, 608, 303–309.
- Cutrona, M. Rowley, A. Bendahmane, V. Cecconi,L. Peters, L. Olivieri, B.E. Little, S.T. Chu, S. Stivala, R. Morandotti, D.J. Moss, J.S. Totero-Gongora, M. Peccianti, A. Pasquazi. Nonlocal bonding of a soliton and a blue-detuned state in a microcomb laser. Nature Communications Physics 2023, 6. [Google Scholar]
- Cutrona, M. Rowley, A. Bendahmane, V. Cecconi,L. Peters, L. Olivieri, B.E. Little, S.T. Chu, S. Stivala, R. Morandotti, D.J. Moss, J.S. Totero-Gongora, M. Peccianti, A. Pasquazi. Stability Properties of Laser Cavity-Solitons for Metrological Applications. Applied Physics Letters 2023, 122, 121104. [Google Scholar] [CrossRef]
- Hamed Arianfard, Saulius Juodkazis, David J. Moss, and Jiayang Wu. Sagnac interference in integrated photonics. Applied Physics Reviews 2023, 10, 011309. [CrossRef]
- Hamed Arianfard, Jiayang Wu, Saulius Juodkazis, and David J. Moss. Optical analogs of Rabi splitting in integrated waveguide-coupled resonators. Advanced Physics Research 2023, 2.
- Hamed Arianfard, Jiayang Wu, Saulius Juodkazis, and David J. Moss. Spectral shaping based on optical waveguides with advanced Sagnac loop reflectors. Paper No. PW22O-OE201-20, SPIE-Opto, Integrated Optics: Devices, Materials, and Technologies XXVI, SPIE Photonics West, San Francisco CA - 27, 2022. 22 January.
- Hamed Arianfard, Jiayang Wu, Saulius Juodkazis, David J. Moss. Spectral Shaping Based on Integrated Coupled Sagnac Loop Reflectors Formed by a Self-Coupled Wire Waveguide. IEEE Photonics Technology Letters 2021, 33, 680–683. [CrossRef]
- Hamed Arianfard, Jiayang Wu, Saulius Juodkazis and David J. Moss. Three Waveguide Coupled Sagnac Loop Reflectors for Advanced Spectral Engineering. Journal of Lightwave Technology 2021, 39, 3478–3487.
- Hamed Arianfard, Jiayang Wu, Saulius Juodkazis and David J. Moss. Advanced Multi-Functional Integrated Photonic Filters based on Coupled Sagnac Loop Reflectors. Journal of Lightwave Technology 2021, 39, 1400–1408. [CrossRef]
- Hamed Arianfard, Jiayang Wu, Saulius Juodkazis and David J. Moss. Advanced multi-functional integrated photonic filters based on coupled Sagnac loop reflectors. Paper 11691-4, PW21O-OE203-44, Silicon Photonics XVI, SPIE Photonics West, San Francisco CA -11, 2021. 6 March.
- Jiayang Wu, Tania Moein, Xingyuan Xu, and David J. Moss. Advanced photonic filters via cascaded Sagnac loop reflector resonators in silicon-on-insulator integrated nanowires. Applied Physics Letters Photonics 2018, 3, 046102. [CrossRef]
- Jiayang Wu, Tania Moein, Xingyuan Xu, Guanghui Ren, Arnan Mitchell, and David J. Moss. Micro-ring resonator quality factor enhancement via an integrated Fabry-Perot cavity. Applied Physics Letters Photonics 2017, 2, 056103. [CrossRef]
- Linnan Jia, Dandan Cui, Jiayang Wu, Haifeng Feng, Tieshan Yang, Yunyi Yang, Yi Du, Weichang Hao, Baohua Jia, David J. Moss. BiOBr nanoflakes with strong nonlinear optical properties towards hybrid integrated photonic devices. Applied Physics Letters Photonics 2019, 4, 090802.
- Linnan Jia, Jiayang Wu, Yunyi Yang, Yi Du, Baohua Jia, David J. Moss. Large Third-Order Optical Kerr Nonlinearity in Nanometer-Thick PdSe2 2D Dichalcogenide Films: Implications for Nonlinear Photonic Devices. ACS Applied Nano Materials 2020, 3, 6876–6883. [CrossRef]
- E. D Ghahramani, DJ Moss, JE Sipe. Full-band-structure calculation of first-, second-, and third-harmonic optical response coefficients of ZnSe, ZnTe, and CdTe. Physical Review B 1991, 43, 9700. [CrossRef] [PubMed]
- C Grillet, C Smith, D Freeman, S Madden, B Luther-Davies, EC Magi,. . “Efficient coupling to chalcogenide glass photonic crystal waveguides via silica optical fiber nanowires. Optics Express 2006, 14, 1070–1078. [CrossRef] [PubMed]
- S Tomljenovic-Hanic, MJ Steel, CM de Sterke, DJ Moss. High-Q cavities in photosensitive photonic crystals. Optics Letters 2007, 32, 542–544. [CrossRef]
- et al. On-Chip ultra-fast 1st and 2nd order CMOS compatible all-optical integration. Optics Express 2011, 19, 23153–23161. [Google Scholar] [CrossRef]
- et al. Error free all optical wavelength conversion in highly nonlinear As-Se chalcogenide glass fiber. Optics Express 2006, 14, 10371–10376. [Google Scholar] [CrossRef]
- M Rochette, L Fu, V Ta'eed, DJ Moss, BJ Eggleton. 2R optical regeneration: an all-optical solution for BER improvement. IEEE Journal of Selected Topics in Quantum Electronics 2006, 12, 736–744. [CrossRef]
- TD Vo, et al. Silicon-chip-based real-time dispersion monitoring for 640 Gbit/s DPSK signals. Journal of Lightwave Technology 2011, 29, 1790–1796. [CrossRef]






| Parameter | Symbol | Value | Source | |
|---|---|---|---|---|
| Material parameters | Refractive index | n | silica: 1.45 HIDS: 1.66 |
[18,31] |
| Electrical conductivity (S / m) | σa) | 1.0 × 10-10 | [15] | |
| Waveguide parameters | Width (μm) | W | ~3 | Device structural parameter |
| Height (μm) | H | ~2 | Device structural parameter | |
| MRR parameters | Ring radius (µm) | R | ~592.1 | Device structural parameter |
| Field transmission coefficients | t1, 2b) | TE: 0.9985 TM: 0.9980 |
Fit results from Figure 1d |
|
| Round-trip amplitude transmission | a | TE: 0.9970 TM: 0.9976 |
Fit results from Figure 1d |
|
| Intensity build-up factor | BUF | TE: ~11.2 TM: ~11.4 |
Calculated based on the fitted t1, 2 and a |
| Parameter | Thermo-optic coefficient (°C-1) |
Coefficient for optically induced thermo-optic process (cm2 / W) |
Thermal conductivity (W · m-1 °C-1) |
Refs. |
|---|---|---|---|---|
| silicon | ~1.8 × 10-4 (∼86 pm / °C) a) |
~7.8 × 10-11 | ~149 | [37,67,68,69] |
| silicon nitride | ~2.6 × 10-5 (∼11 pm / °C) a) |
~1.5 × 10-15 | ~29 | [27,70,71] |
| silica | ~1.1 × 10-5 (∼15 pm / °C) a) |
~1.8 × 10-14 | ~1.4 | [36,37,50] |
| HIDS b) | ~1.46 × 10-5 (∼13.8 pm / °C) a) |
~2.9 × 10-14 | ~0.8 | This work |
Disclaimer/Publisher’s Note: The statements, opinions and data contained in all publications are solely those of the individual author(s) and contributor(s) and not of MDPI and/or the editor(s). MDPI and/or the editor(s) disclaim responsibility for any injury to people or property resulting from any ideas, methods, instructions or products referred to in the content. |
© 2023 by the author. Licensee MDPI, Basel, Switzerland. This article is an open access article distributed under the terms and conditions of the Creative Commons Attribution (CC BY) license (https://creativecommons.org/licenses/by/4.0/).