Submitted:
30 August 2023
Posted:
01 September 2023
You are already at the latest version
Abstract
Keywords:
1. Introduction
2. Materials and Methods
2.1. Patients
2.2. Clinical PK Testing
2.3. Outcome Variables
2.4. Statistical Analysis
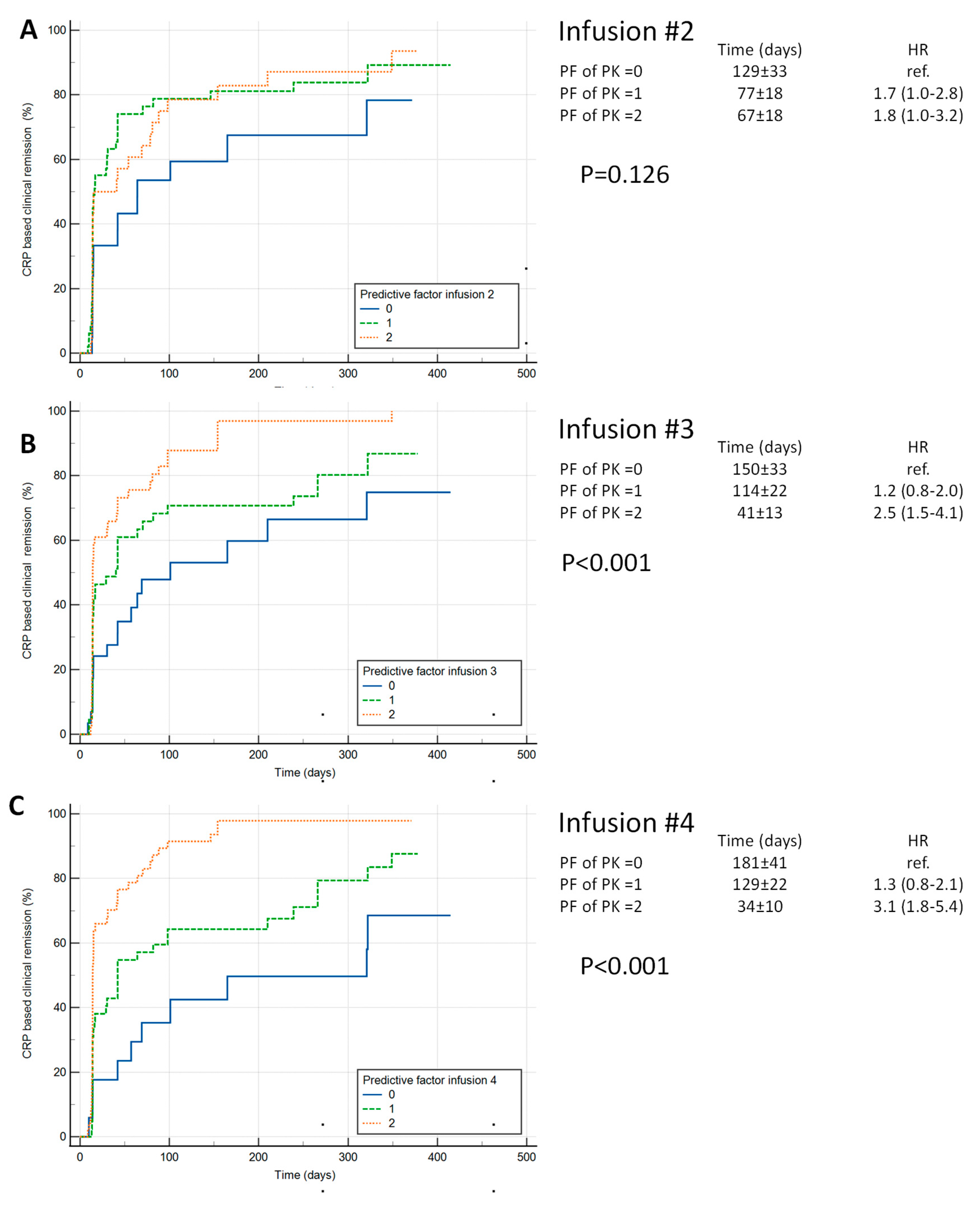
3. Results
3.1. Baseline Clearance
3.2. Pharmacokinetic Parameter during Induction and Outcomes
3.3. Pharmacokinetic Parameter during Maintenance and Outcomes

4. Discussion
Supplementary Materials
Author Contributions
Funding
Institutional Review Board Statement
Informed Consent Statement
Data Availability Statement
Acknowledgments
Conflicts of Interest
References
- Cheifetz, A.S.; Abreu, M.T.; Afif, W.; Cross, R.K.; Dubinsky, M.C.; Loftus, E.V.; Osterman, M.T.; Saroufim, A.; Siegel, C.A.; Yarur, A.J.; et al. A Comprehensive Literature Review and Expert Consensus Statement on Therapeutic Drug Monitoring of Biologics in Inflammatory Bowel Disease. Am. J. Gastroenterol. 2021, 116, 2014–2025. [CrossRef]
- Vande Casteele N, Herfarth H, Katz J, et al. American Gastroenterological Association Institute Technical Review on the Role of Therapeutic Drug Monitoring in the Management of Inflammatory Bowel Diseases. Gastroenterology 2017;153:835-857 e6. [CrossRef]
- Strik, A.S.; Löwenberg, M.; Mould, D.R.; Berends, S.E.; Ponsioen, C.I.; Brande, J.M.H.v.D.; Jansen, J.M.; Hoekman, D.R.; Brandse, J.F.; Duijvestein, M.; et al. Efficacy of dashboard driven dosing of infliximab in inflammatory bowel disease patients; a randomized controlled trial. Scand. J. Gastroenterol. 2020, 56, 145–154. [CrossRef]
- Baert F, Noman M, Vermeire S, et al. Influence of immunogenicity on the long-term efficacy of infliximab in Crohn's disease. N Engl J Med 2003;348:601-8. [CrossRef]
- Irving, P.M.; Gecse, K.B. Optimizing Therapies Using Therapeutic Drug Monitoring: Current Strategies and Future Perspectives. Gastroenterology 2022, 162, 1512–1524. [CrossRef]
- Yarur, A.J.; Jain, A.; A Sussman, D.; Barkin, J.S.; A Quintero, M.; Princen, F.; Kirkland, R.; Deshpande, A.R.; Singh, S.; Abreu, M.T. The association of tissue anti-TNF drug levels with serological and endoscopic disease activity in inflammatory bowel disease: the ATLAS study. Gut 2015, 65, 249–255. [CrossRef]
- Krieckaert, C.L.; van Tubergen, A.; Gehin, J.E.; Hernández-Breijo, B.; Le Mélédo, G.; Balsa, A.; Böhm, P.; Cucnik, S.; Elkayam, O.; Goll, G.L.; et al. EULAR points to consider for therapeutic drug monitoring of biopharmaceuticals in inflammatory rheumatic and musculoskeletal diseases. Rheumatology 2022, 82, 65–73. [CrossRef]
- Casteele, N.V.; Jeyarajah, J.; Jairath, V.; Feagan, B.G.; Sandborn, W.J. Infliximab Exposure-Response Relationship and Thresholds Associated With Endoscopic Healing in Patients With Ulcerative Colitis. Clin. Gastroenterol. Hepatol. 2018, 17, 1814–1821.e1. [CrossRef]
- Battat, R.; Hemperly, A.; Truong, S.; Whitmire, N.; Boland, B.S.; Dulai, P.S.; Holmer, A.K.; Nguyen, N.H.; Singh, S.; Casteele, N.V.; et al. Baseline Clearance of Infliximab Is Associated With Requirement for Colectomy in Patients With Acute Severe Ulcerative Colitis. Clin. Gastroenterol. Hepatol. 2020, 19, 511–518.e6. [CrossRef]
- Kevans, D.; Murthy, S.; Mould, D.R.; Silverberg, M.S. Accelerated Clearance of Infliximab is Associated With Treatment Failure in Patients With Corticosteroid-Refractory Acute Ulcerative Colitis. J. Crohn’s Colitis 2018, 12, 662–669. [CrossRef]
- Kantasiripitak, W.; Wang, Z.; Spriet, I.; Ferrante, M.; Dreesen, E. Recent advances in clearance monitoring of monoclonal antibodies in patients with inflammatory bowel diseases. Expert Rev. Clin. Pharmacol. 2021, 14, 1455–1466. [CrossRef]
- Funk, R.S.; Shakhnovich, V.; Cho, Y.K.; Polireddy, K.; Jausurawong, T.; Gress, K.; Becker, M.L. Factors associated with reduced infliximab exposure in the treatment of pediatric autoimmune disorders: a cross-sectional prospective convenience sampling study. Rheumatology 2021, 19, 1–11. [CrossRef]
- Kennedy NA, Heap GA, Green HD, et al. Predictors of anti-TNF treatment failure in anti-TNF-naive patients with active luminal Crohn's disease: a prospective, multicentre, cohort study. Lancet Gastroenterol Hepatol 2019;4:341-353. [CrossRef]
- Dubinsky, M.C.; Mendiolaza, M.L.; Phan, B.L.; Moran, H.R.; Tse, S.S.; Mould, D.R. Dashboard-Driven Accelerated Infliximab Induction Dosing Increases Infliximab Durability and Reduces Immunogenicity. Inflamm. Bowel Dis. 2022, 28, 1375–1385. [CrossRef]
- Syversen, S.W.; Goll, G.L.; Jørgensen, K.K.; Olsen, I.C.; Sandanger, .; E Gehin, J.; Warren, D.J.; Sexton, J.; Mørk, C.; Jahnsen, J.; et al. Therapeutic drug monitoring of infliximab compared to standard clinical treatment with infliximab: study protocol for a randomised, controlled, open, parallel-group, phase IV study (the NOR-DRUM study). Trials 2020, 21, 1–14. [CrossRef]
- Sánchez-Hernández, J.G.; Rebollo, N.; Martin-Suarez, A.; Calvo, M.V.; Muñoz, F. A 3-year prospective study of a multidisciplinary early proactive therapeutic drug monitoring programme of infliximab treatments in inflammatory bowel disease. Br. J. Clin. Pharmacol. 2020, 86, 1165–1175. [CrossRef]
- 17. D'Haens G, Vermeire S, Lambrecht G, et al. Increasing Infliximab Dose Based on Symptoms, Biomarkers, and Serum Drug Concentrations Does Not Increase Clinical, Endoscopic, and Corticosteroid-Free Remission in Patients With Active Luminal Crohn's Disease. Gastroenterology 2018;154:1343-1351 e1. [CrossRef]
- Syversen, S.W.; Bolstad, N.; Haavardsholm, E.A. Therapeutic Drug Monitoring vs Standard Therapy During Infliximab Induction in Patients With Chronic Immune-Mediated Inflammatory Diseases—Reply. JAMA 2021, 326, 1069–1070. [CrossRef]
- Casteele, N.V.; Ferrante, M.; Van Assche, G.; Ballet, V.; Compernolle, G.; Van Steen, K.; Simoens, S.; Rutgeerts, P.; Gils, A.; Vermeire, S. Trough Concentrations of Infliximab Guide Dosing for Patients With Inflammatory Bowel Disease. Gastroenterology 2015, 148, 1320–1329.e3. [CrossRef]
- Pradeu T, Jaeger S, Vivier E. The speed of change: towards a discontinuity theory of immunity? Nat Rev Immunol 2013;13:764-9. [CrossRef]
- Sazonovs, A.; Kennedy, N.A.; Moutsianas, L.; Heap, G.A.; Rice, D.L.; Reppell, M.; Bewshea, C.M.; Chanchlani, N.; Walker, G.J.; Perry, M.H.; et al. HLA-DQA1*05 Carriage Associated With Development of Anti-Drug Antibodies to Infliximab and Adalimumab in Patients With Crohn’s Disease. Gastroenterology 2020, 158, 189–199. [CrossRef]
- Spencer, E.A.; Stachelski, J.; Dervieux, T.; Dubinsky, M.C. Failure to Achieve Target Drug Concentrations During Induction and Not HLA-DQA1∗05 Carriage Is Associated With Antidrug Antibody Formation in Patients With Inflammatory Bowel Disease. Gastroenterology 2022, 162, 1746–1748.e3. [CrossRef]
- Wang, S.-L.; Ohrmund, L.; Hauenstein, S.; Salbato, J.; Reddy, R.; Monk, P.; Lockton, S.; Ling, N.; Singh, S. Development and validation of a homogeneous mobility shift assay for the measurement of infliximab and antibodies-to-infliximab levels in patient serum. J. Immunol. Methods 2012, 382, 177–188. [CrossRef]
- Primas, C.; Reinisch, W.; Panetta, J.C.; Eser, A.; Mould, D.R.; Dervieux, T. Model Informed Precision Dosing Tool Forecasts Trough Infliximab and Associates with Disease Status and Tumor Necrosis Factor-Alpha Levels of Inflammatory Bowel Diseases. J. Clin. Med. 2022, 11, 3316. [CrossRef]
- Whaley, K.G.; Xiong, Y.; Karns, R.; Hyams, J.S.; Kugathasan, S.; Boyle, B.M.; Walters, T.D.; Kelsen, J.; LeLeiko, N.; Shapiro, J.; et al. Multicenter Cohort Study of Infliximab Pharmacokinetics and Therapy Response in Pediatric Acute Severe Ulcerative Colitis. Clin. Gastroenterol. Hepatol. 2023, 21, 1338–1347. [CrossRef]
- Colman, R.J.; Xiong, Y.; Mizuno, T.; Hyams, J.S.; Noe, J.D.; Boyle, B.; D’haens, G.R.; van Limbergen, J.; Chun, K.; Yang, J.; et al. Antibodies-to-infliximab accelerate clearance while dose intensification reverses immunogenicity and recaptures clinical response in paediatric Crohn’s disease. Aliment. Pharmacol. Ther. 2021, 55, 593–603. [CrossRef]
- Petitcollin, A.; Brochard, C.; Siproudhis, L.; Tron, C.; Verdier, M.; Lemaitre, F.; Lucidarme, C.; Bouguen, G.; Bellissant, . Pharmacokinetic Parameters of Infliximab Influence the Rate of Relapse After De-Escalation in Adults With Inflammatory Bowel Diseases. Clin. Pharmacol. Ther. 2019, 106, 605–615. [CrossRef]
- Assa, A.; Matar, M.; Turner, D.; Broide, E.; Weiss, B.; Ledder, O.; Guz-Mark, A.; Rinawi, F.; Cohen, S.; Topf-Olivestone, C.; et al. Proactive Monitoring of Adalimumab Trough Concentration Associated With Increased Clinical Remission in Children With Crohn’s Disease Compared With Reactive Monitoring. Gastroenterology 2019, 157, 985–996.e2. [CrossRef]
- Negoescu, D.M.; A Enns, E.; Swanhorst, B.; Baumgartner, B.; Campbell, J.P.; Osterman, M.T.; Papamichael, K.; Cheifetz, A.S.; Vaughn, B.P. Proactive Vs Reactive Therapeutic Drug Monitoring of Infliximab in Crohn’s Disease: A Cost-Effectiveness Analysis in a Simulated Cohort. Inflamm. Bowel Dis. 2020, 26, 103–111. [CrossRef]
- Papamichael K, Jairath V, Zou G, et al. Proactive infliximab optimisation using a pharmacokinetic dashboard versus standard of care in patients with Crohn's disease: study protocol for a randomised, controlled, multicentre, open-label study (the OPTIMIZE trial). BMJ Open 2022;12:e057656. [CrossRef]
- Papamichael, K.; Vajravelu, R.K.; Vaughn, B.P.; Osterman, M.T.; Cheifetz, A.S. Proactive Infliximab Monitoring Following Reactive Testing is Associated With Better Clinical Outcomes Than Reactive Testing Alone in Patients With Inflammatory Bowel Disease. J. Crohn’s Colitis 2018, 12, 804–810. [CrossRef]
- Fernandes SR, Bernardo S, Simoes C, et al. Proactive Infliximab Drug Monitoring Is Superior to Conventional Management in Inflammatory Bowel Disease. Inflamm Bowel Dis 2020;26:263-270. [CrossRef]
- Dubinsky, M.C.; Phan, B.L.; Singh, N.; Rabizadeh, S.; Mould, D.R. Pharmacokinetic Dashboard-Recommended Dosing Is Different than Standard of Care Dosing in Infliximab-Treated Pediatric IBD Patients. AAPS J. 2016, 19, 215–222, . [CrossRef]


| Standard Dosing | Proactive Dosing | Overall | |
|---|---|---|---|
| Pre-infusion 1 (patient number) | 37 | 108 | 145 |
| Gender (female) | 45.9% (17/37) | 44.4% (48/108) | 44.8% (65/145) |
| Age (years) | 13.0 [10.0-14.0] | 13.5 [11.2-15.2] | 13.3 [11.0-15.1] |
| Immunosuppressants | 21.6% (8/37) | 7.4% (8/108) | 11.0% (16/145) |
| Dose mg/Kg | 5.0 [5.0-5.0] | 5.0 [5.0-10.0] | 5.0 [5.0-5.2] |
| Weight Kg | 39.1 [29.5-52.9] | 41.5 [30.3-53.0] | 41.5 [29.9-52.9] |
| Clearance baseline | 0.234 [0.179-0.260] | 0.271 [0.227-0.327] | 0.258 [0.213-0.310] |
| Albumin (g/dL) | 4.0 [3.5-4.3] | 3.2 [2.8-3.7] | 3.4 [2.9-3.9] |
| CRP based clinical remission | 8.1% (3/37) | 14.8% (16/108) | 13.1% (19/145) |
| Pre-infusion 2 (patient number) | 36 | 105 | 141 |
| Time (days) | 14.0 [14.0-14.0] | 14.0 [13.1-14.2] | 14.0 [13.3-14.0] |
| Dose mg/Kg | 5.0 [5.0-5.0] | 5.1 [5.0-9.9] | 5.0 [5.0-6.0] |
| Weight Kg | 40.1 [30.7-52.9] | 41.3 [31.3-54.0] | 40.8 [31.0-54.0] |
| Albumin (g/dL) | 3.9 [3.7-4.2] | 3.6 [3.3-3.9] | 3.7 [3.4-4.0] |
| Clearance (L/day) | 0.208 [0.194-0.249] | 0.243 [0.200-0.308] | 0.234 [0.196-0.302] |
| IFX (µg/mL) | 16.2 [10.4-27.5] | 22.0 [15.4-32.1] | 20.8 [14.6-30.4] |
| ATI Status | 5.4% (2/37) | 0.0% (0/108) | 1.4% (2/145) |
| CRP-based clinical remission | 33.3% (12/36) | 70.5% (74/105) | 61.0% (86/141) |
| Pre-Infusion 3 (patient number) | 35 | 106 | 141 |
| Time (days) | 42.0 [42.0-42.0] | 38.0 [32.3-42.0] | 42.0 [34.9-42.0] |
| Dose mg/Kg | 5.0 [5.0-5.0] | 5.1 [5.0-10.0] | 5.0 [5.0-9.9] |
| Weight Kg | 41.1 [30.9-54.4] | 42.6 [32.8-54.8] | 42.4 [32.7-54.9] |
| Albumin (g/dL) | 4.1 [3.8-4.4] | 3.9 [3.7-4.1] | 3.9 [3.7-4.2] |
| Clearance (L/day) | 0.213 [0.170-0.405] | 0.212 [0.174-0.300] | 0.212 [0.174-0.324] |
| IFX (µg/mL) | 7.4 [1.3-21.3] | 15.5 [10.8-24.2] | 14.9 [7.9-23.0] |
| ATI Status | 8.3% (3/36) | 6.7% (7/105) | 7.1% (10/141) |
| CRP-based clinical remission | 40.0% (14/35) | 69.8% (74/106) | 62.4% (88/141) |
| Pre-Infusion 4 (patient number) | 32 | 104 | 136 |
| Time (days) | 98.0 [98.0-98.0] | 74.2 [63.0-90.9] | 83.4 [66.1-98.0] |
| Dose mg/Kg | 5.0 [5.0-5.0] | 10.0 [6.9-10.0] | 9.9 [5.0-10.0] |
| Weight Kg | 42.2 [32.0-54.8] | 44.9 [34.0-56.2] | 43.9 [33.5-55.9] |
| Albumin (g/dL) | 4.0 [3.7-4.2] | 4.0 [3.8-4.2] | 4.0 [3.7-4.2] |
| Clearance (L/day) | 0.215 [0.149-0.262] | 0.188 [0.155-0.269] | 0.190 [0.153-0.267] |
| IFX (µg/mL) | 4.5 [1.3-9.2] | 12.2 [7.8-17.7] | 10.4 [5.7-15.0] |
| ATI Status | 28.6% (10/35) | 0.9% (1/106) | 7.8% (11/141) |
| CRP-based clinical remission | 43.8% (14/32) | 74.0% (77/104) | 66.9% (91/136) |
| Continued | |||
| Maintenance (patient number) | 32 | 103 | 135 |
| Number of cycles | 120 | 299 | 419 |
| Dose mg/Kg | 5.0 [5.0-5.0] | 10.0 [9.9-10.0] | 9.9 [5.0-10.0] |
| Weight Kg | 43.4 (34.1-56.5) | 46.0 (34.8-59.5) | 45.5 (34.7-58.6) |
| Albumin (g/dL) | 3.9 (3.7-4.2) | 4.0 (3.9-4.2) | 4.0 (3.8-4.2) |
| Clearance (L/day) | 0.185 (0.134-0.244) | 0.200 (0.160-0.262) | 0.192 (0.154-0.253) |
| IFX (µg/mL) | 4.4 (1.1-6.8) | 12.4 (8.3-17.9) | 10.0 (5.2-15.9) |
| ATI Status | 26.7% (32/120) | 4.7% (14/299) | 11.0% (46/419) |
| CRP based clinical remission | 60% (72/120) | 76.9% (230/299) | 72.0% (302/419) |
| Parameter* | Second infusion estimates |
Third infusion estimates |
Fourth infusion estimates |
|
|---|---|---|---|---|
| Time only | θpop θtime -2LL |
0.75±0.45 (p=0.096) 0.004±0.001 (p<0.001) 360.7 |
0.68±0.43 (p=0.114) 0.004±0.002 (p=0.003) 413.7 |
0.35±0.47 (p=0.456) 0.006±0.002 (p=0.003) 412.5 |
| Time and IFX concentration | θpop θconcentration θtime -2LL |
0.185±0.667 (p=0.782) 0.045±0.021 (p=0.032) 0.004±0.001 (p<0.001) 355.3 (∆= -5.4; p=0.020) |
-1.33±0.56 (p=0.0018) 0.114±0.027 (p<0.001) 0.004±0.001 (p<0.001) 389.7 (∆= -24.0; p<0.001) |
-1.02±0.56 (p=0.069) 0.136±0.032 (p<0.001) 0.005±0.001 (p<0.001) 398.3 (∆= -14.2; p<0.001) |
| Time and Clearance | θpop θCL θtime -2LL |
+2.5±0.96 (p=0.009) -7.43±2.88 (p=0.001) +0.005±0.002 (p=0.012) 354.4 (∆= -6.3; p=0.012) |
+2.77±0.80 (p=0.001) -8.35±2.31 (p<0.001) +0.004±0.002 (p=0.012) 399.7 (∆= -14.0; p<0.001) |
+3.11±0.83 (p<0.001) -11.90±2.79 (p<0.001) +0.005±0.002 (p<0.001) 391.7 (∆= -20.8; p<0.001) |
|
Time, concentration and Clearance |
θpop θconcentration θCL θtime -2LL |
-1.48±1.04 (p=0.155) +0.038±0.021 (p=0.074) -6.33±2.74 (p=0.003) +0.046±0.009 (p=0.021) 349.7 (∆= -11.0; p=0.001) |
-0.07±1.08 (p=0.94) +0.092±0.030 (p=0.002) -3.37±2.34 (p=0.015) +0.004±0.002 (p=0.012) 387.4 (∆= -26.3; p<0.001) |
+1.49±0.93 (p=0.109) +0.087±0.029 (p=0.003) -9.14±2.67 (p=0.015) +0.004±0.002 (p=0.001) 385.5 (∆= -27.0; p<0.001) |
| Predictive factor, Clearance | Predictive factor, IFX concentrations | |||
|---|---|---|---|---|
| Pre-infusion # | L/day | below cutoff | µg/mL | above cutoff b |
|
Infusion 2 Not sustained Sustained p value |
0.259 [0.205-0.317] 0.221 [0.194-0.266] p=0.032 |
64.8% (35/54) 77.3% (51/66) p=0.156 |
17.0 [12.6-23.1] 26.1 [17.0-34.9] p<0.001 |
35.2% (19/54) 65.2% (43/66) p=0.002 |
|
Infusion 3 Not sustained Sustained p value |
0.241 [0.188-0.399 0.187 [0.154-0.239] p<0.001 |
66.1% (41/62) 83.8% (57/68) p=0.025 |
12.1 [5.0-18.6] 20.7 [12.7-31.1] p<0.001 |
33.9% (21/62) 67.6% (46/68) p<0.001 |
|
Infusion 4 Not sustained Sustained p value |
0.247 [0.167-0.313] 0.175 [0.132-0.214] p<0.001 |
62.5% (41/62) 97.1% (57/68) p<0.001 |
7.8 [2.2-11.9] 13.0 [8.7-18.8] p<0.001 |
37.5% (24/64) 66.2% (45/68) p<0.001 |
| Parameter* | estimates | |
|---|---|---|
|
Time only (days) |
θpop θtime -2LL |
+0.65±0.46 (p=0.158) +0.0047±0.0014 (p<0.001) 424.8 |
|
Time and Concentrations (µg/mL) |
θpop θtime θconcentration -2LL |
-0.84±0.63 (p=0.312) +0.0055±0.0018 (p<0.001) +0.120±0.027 (p<0.001) 400.0 (∆= -24.8; p<0.001) |
|
Time and Clearance (L/day) |
θpop θtime θCL -2LL |
+4.05±0.57 (p<0.001) +0.0055±0.0017 (p<0.001) -16.71±2.28 (p<0.001) 380.8 (∆= -44.0; p<0.001) |
| Time PF of PK: concentration(µg/mL) and Clearance (L/day) | θpop θtime θconcentration θCL -2LL |
+1.98±0.56 (p<0.001) +0.0058±0.0016 (p<0.001) +0.093±0.025 (p<0.001) -12.84±2.27 (p<0.001) 371.0 (∆= -53.8; p<0.001) |
Disclaimer/Publisher’s Note: The statements, opinions and data contained in all publications are solely those of the individual author(s) and contributor(s) and not of MDPI and/or the editor(s). MDPI and/or the editor(s) disclaim responsibility for any injury to people or property resulting from any ideas, methods, instructions or products referred to in the content. |
© 2023 by the authors. Licensee MDPI, Basel, Switzerland. This article is an open access article distributed under the terms and conditions of the Creative Commons Attribution (CC BY) license (http://creativecommons.org/licenses/by/4.0/).