Submitted:
30 August 2023
Posted:
31 August 2023
You are already at the latest version
Abstract
Keywords:
1. Introduction
2. Classification of Secondary Metabolites from the Genus Litophyton
3. Sesquiterpenes and A Related Dimer

3.1. Bicyclogermacrane Sesquiterpene

3.2. Sec-germacrane Sesquiterpene

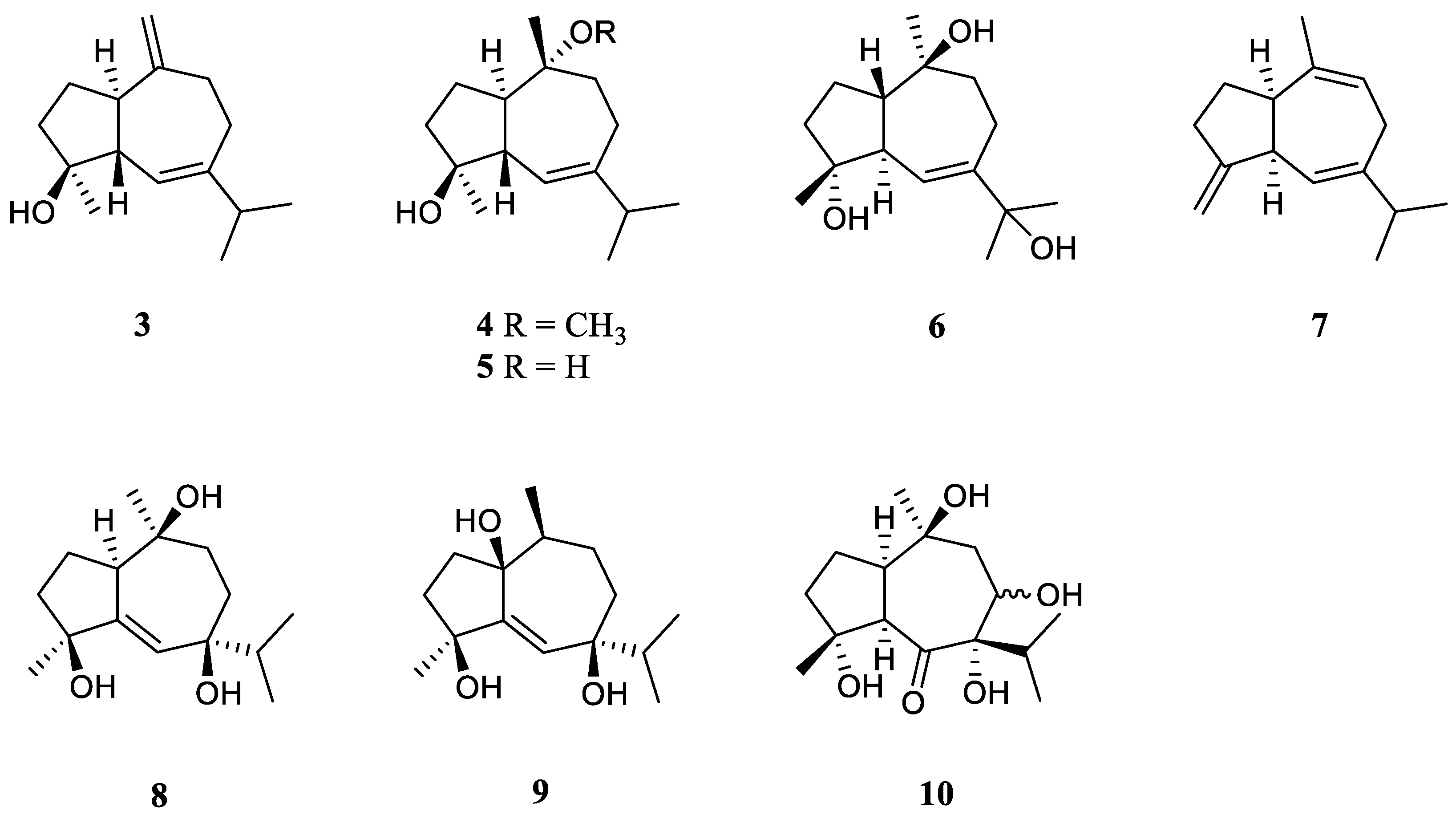
3.3. Guaiane Sesquiterpenes

3.4. Pseudoguaiane Sesquiterpenes

3.5. Himachalene Sesquiterpenes

3.6. Eudesmane Sesquiterpene

3.7. Seco-eudesmane Sesquiterpene

3.8. Tri-nor-eudesmane Sesquiterpenes

3.9. Eremophilane Sesquiterpene

3.10. Nardosinane Sesquiterpenes

3.11. Nornardosinane Sesquiterpene

3.12. Eremophilane-Nardosinane Bis-Sesquiterpene

3.13. Neolemnane Sesquiterpene

3.14. Seconeolemnane Sesquiterpene

4. Diterpenes

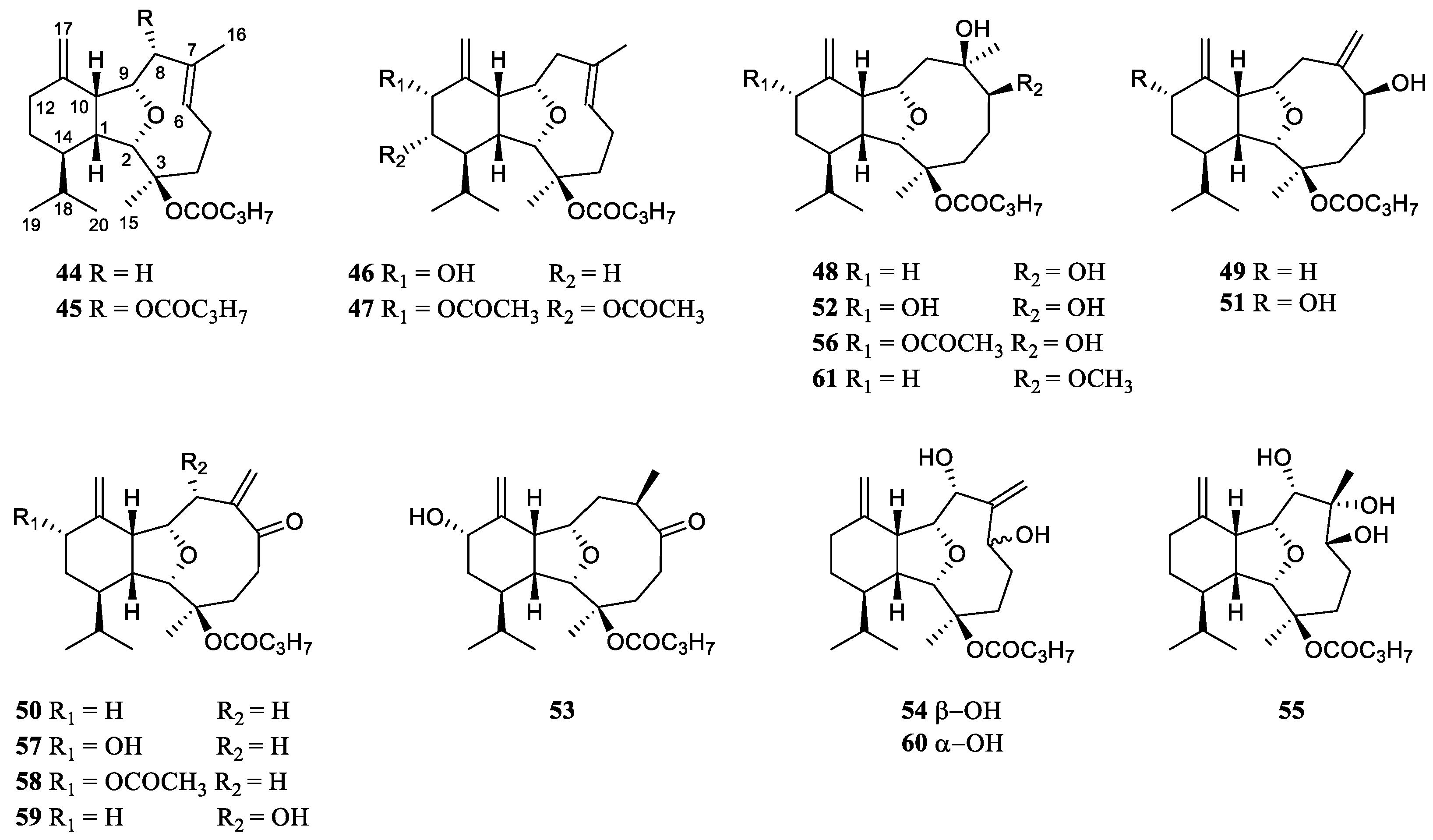
4.1. Cembrane Diterpenes

4.2. Eunicellane Diterpenes

4.3. Serrulatane Diterpenes


5. Tetraterpene

6. Steroids

6.2. Other Miscellaneous Steroids

7. Alkaloids
7.1. Ceramides

7.2. Nucleotides

8. Lipids
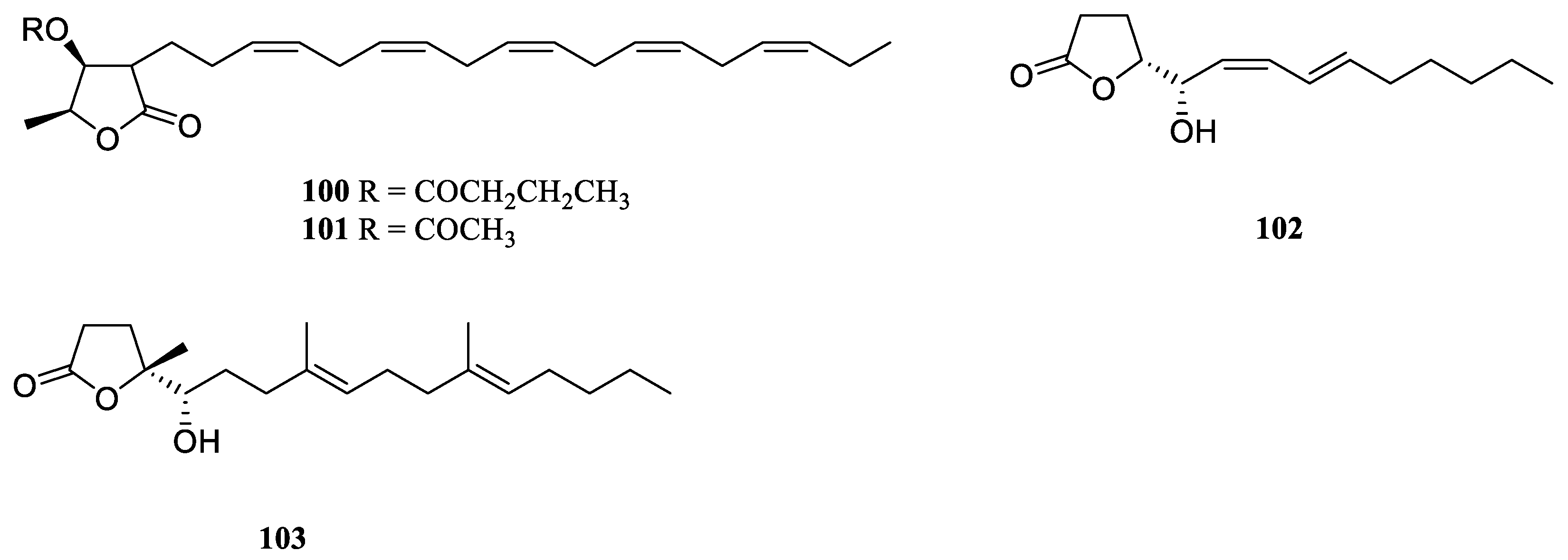
8.1. Prostaglandin


8.3. Fatty Acids

8.4. Glycerol ethers

9. Conclusions


Supplementary Materials
Author Contributions
Funding
Institutional Review Board Statement
Data Availability Statement
Acknowledgments
Conflicts of Interest
References
- Chakraborty, K.; Joy, M. High-value compounds from the molluscs of marine and estuarine ecosystems as prospective functional food ingredients: an overview. Food Res. Int. 2020, 137, 109637. [Google Scholar] [CrossRef] [PubMed]
- Fonseca, S.; Amaral, M.N.; Reis, C.P.; Custódio, L. Marine natural products as innovative cosmetic ingredients. Mar. Drugs 2023, 21, 170. [Google Scholar] [CrossRef] [PubMed]
- Banerjee, P.; Mandhare, A.; Bagalkote, V. Marine natural products as source of new drugs: an updated patent review (July 2018-July 2021). Expert. Opin. Ther. Pat. 2022, 32, 317–363. [Google Scholar] [CrossRef] [PubMed]
- Liu, M.; Zhang, X.; Li, G. Structural and biological insights into the hot-spot marine natural products reported from 2012 to 2021. Chin. J. Chem. 2022, 40, 1867–1889. [Google Scholar] [CrossRef]
- Carroll, A.R.; Copp, B.R.; Davis, R.A.; Keyzers, R.A.; Prinsep, M.R. Marine natural products. Nat. Prod. Rep. 2023, 40, 275–325. [Google Scholar] [CrossRef] [PubMed]
- Chhetri, B.K.; Tedbury, P.R.; Sweeney-Jones, A.M.; Mani, L.; Soapi, K.; Manfredi, C.; Sorscher, E.; Sarafianos, S.G.; Kubanek, J. Marine natural products as leads against SARS-CoV-2 infection. J. Nat. Prod. 2022, 85, 657–665. [Google Scholar] [CrossRef]
- El-Desoky, A.H.H.; Tsukamoto, S. Marine natural products that inhibit osteoclastogenesis and promote osteoblast differentiation. J. Nat. Med. 2022, 76, 575–583. [Google Scholar] [CrossRef]
- Deng, Y.; Liu, Y.; Li, J.; Wang, X.; He, S.; Yan, X.; Shi, Y.; Zhang, W.; Ding, L. Marine natural products and their synthetic analogs as promising antibiofilm agents for antibiotics discovery and development. Eur. J. Med. Chem. 2022, 239, 114513. [Google Scholar] [CrossRef]
- Ren, X.; Xie, X.; Chen, B.; Liu, L.; Jiang, C.; Qian, Q. Marine natural products: a potential source of anti-hepatocellular carcinoma drugs. J. Med. Chem. 2021, 64, 7879–7899. [Google Scholar] [CrossRef]
- Haque, N.; Parveen, S.; Tang, T.; Wei, J.; Huang, Z. Marine natural products in clinical use. Mar. Drugs 2022, 20, 528. [Google Scholar] [CrossRef]
- World Register of Marine Species. Available online: https://www.marinespecies.org/aphia.php?p=taxdetails&id=204523 (accessed on 2023-08-28).
- Yang, F.; Li, S.-W.; Zhang, J.; Liang, L.-F.; Lu, Y.-H.; Guo, Y.-W. Uncommon nornardosinane, seconeolemnane and related sesquiterpenoids from Xisha soft coral Litophyton nigrum. Bioorg. Chem. 2020, 96, 103636. [Google Scholar] [CrossRef] [PubMed]
- van Ofwegen, L.P. The genus Litophyton Forskål, 1775 (Octocorallia, Alcyonacea, Nephtheidae) in the Red Sea and the western Indian Ocean. Zookeys 2016, 567, 1–128. [Google Scholar] [CrossRef] [PubMed]
- Van Ofwegen, L.P. The genus Litophyton Forskål, 1775 (Octocorallia: Alcyonacea: Nephtheidae) from Australia. Zootaxa 2020, 4764, 1–131. [Google Scholar] [CrossRef]
- Li, S.-W.; Mudianta, I.W.; Cuadrado, C.; Li, G.; Yudasmara, G.A.; Setiabudi, G.I.; Daranas, A.H.; Guo, Y.-W. Litosetoenins A–E, diterpenoids from the soft coral Litophyton setoensis, backbone-rearranged through divergent cyclization achieved by epoxide reactivity inversion. J. Org. Chem. 2021, 86, 11771–11781. [Google Scholar] [CrossRef] [PubMed]
- Iwagawa, T.; Kusatsu, D.; Tsuha, K.; Hamada, T.; Okamura, H.; Furukawa, T.; Akiyama, S.-i.; Doe, M.; Morimoto, Y.; Iwase, F.; et al. Cytotoxic eunicellin-type diterpenes from the soft coral Litophyton viscudium. Heterocycles 2011, 83, 2149–2155. [Google Scholar] [CrossRef]
- Ahmed, M.M.A.; Ragab, E.A.; Zayed, A.; El-Ghaly, E.M.; Ismail, S.K.; Khan, S.I.; Ali, Z.; Chittiboyina, A.G.; Khan, I.A. Litoarbolide A: an undescribed sesquiterpenoid from the Red Sea soft coral Litophyton arboreum with an in vitro anti-malarial activity evaluation. Nat. Prod. Res. 2023, 37, 542–550. [Google Scholar] [CrossRef]
- Hawas, U.W.; Abou El-Kassem, L.T.; Fahmy, M.A.; Farghaly, A.A.; Hassan, Z.M. A new pseudoguaiane-type sesquiterpene and potential genotoxicity and antigenotoxicity effect of the soft coral Litophyton arboreum extract. Lett. Org. Chem. 2018, 15, 1060–1064. [Google Scholar] [CrossRef]
- Tursch, B.; Braekman, J.C.; Daloze, D. Chemical studies of marine invertebrates - XIII 2-Hydroxynephtenol, a novel cembrane diterpene from the soft coral Litophyton viridis (Coelenterata, Octocorallia, Alcyonacea). Bull. Soc. Chim. Belg. 1975, 84, 767–774. [Google Scholar] [CrossRef]
- Tursch, B. Chemical protection of a fish (Abudefduf leucogaster Bleeker) by a soft coral (Litophyton viridis May). J. Chem. Ecol. 1982, 8, 1421–1428. [Google Scholar] [CrossRef]
- Ashry, M.; Askar, H.; Alian, A.; Zidan, S.A.H.; El-Sahra, D.G.; Abdel-Wahhab, K.G.; Lamlom, S.F.; Abdelsalam, N.R.; Abd El-Hack, M.E.; Gomaa, H.F. The antioxidant and antitumor efficiency of Litophyton sp. extract in DMH-induced colon cancer in male rats. Life 2022, 12, 1470. [Google Scholar] [CrossRef]
- Ellithey, M.S.; Lall, N.; Hussein, A.A.; Meyer, D. Cytotoxic and HIV-1 enzyme inhibitory activities of Red Sea marine organisms. BMC Complem. Altern. M. 2014, 14, 77. [Google Scholar] [CrossRef] [PubMed]
- Yang, F.; Hua, Q.; Yao, L.-G.; Liang, L.-F.; Lou, Y.-X.; Lu, Y.-H.; An, F.-L.; Guo, Y.-W. One uncommon bis-sesquiterpenoid from Xisha soft coral Litophyton nigrum. Tetrahedron Lett. 2022, 88, 153571. [Google Scholar] [CrossRef]
- Grote, D.; Dahse, H.-M.; Seifert, K. Furanocembranoids from the soft corals Sinularia asterolobata and Litophyton arboreum. Chem. Biodivers. 2008, 5, 2449–2456. [Google Scholar] [CrossRef] [PubMed]
- Ellithey, M.S.; Lall, N.; Hussein, A.A.; Meyer, D. Cytotoxic, cytostatic and HIV-1 PR inhibitory activities of the soft coral Litophyton arboreum. Mar. Drugs 2013, 11, 4917–4936. [Google Scholar] [CrossRef] [PubMed]
- Ellithey, M.S.; Ahmed, H.H. Bioactive marine-derived compounds as potential anticancer candidates. Asian J. Pharm. Clin. Res. 2018, 11, 464–466. [Google Scholar] [CrossRef]
- Abou El-Kassem, L.T.; Hawas, U.W.; El-Desouky, S.K.; Al-Farawati, R. Sesquiterpenes from the Saudi Red Sea: Litophyton arboreum with their cytotoxic and antimicrobial activities. Z. Naturforsch. 2018, 73, 9–14. [Google Scholar] [CrossRef]
- Mahmoud, A.H.; Zidan, S.A.H.; Samy, M.N.; Alian, A.; Abdelmohsen, U.R.; Fouad, M.A.; Kamel, M.S.; Matsunami, K. Cytotoxicity and chemical profiling of the Red Sea soft corals Litophyton arboreum. Nat. Prod. Res. 2022, 36, 4261–4265. [Google Scholar] [CrossRef]
- Ghandourah, M.A.; Alarif, W.M.; Abdel-Lateff, A.; Al-Lihaibi, S.S.; Ayyad, S.-E.N.; Basaif, S.A.; Badria, F.A. Two new terpenoidal derivatives: a himachalene-type sesquiterpene and 13,14-secosteroid from the soft coral Litophyton arboreum. Med. Chem. Res. 2015, 24, 4070–4077. [Google Scholar] [CrossRef]
- Yang, F.; Hua, Q.; Yao, L.-G.; Liang, L.-F.; Lu, Y.-H.; An, F.-L.; Guo, Y.-W. Further new nardosinane-type sesquiterpenoids from the Xisha soft coral Litophyton nigrum. Fitoterapia 2021, 151, 104906. [Google Scholar] [CrossRef]
- Shaker, K.H.; Müller, M.; Ghani, M.A.; Dahse, H.-M.; Seifert, K. Terpenes from the soft corals Litophyton arboreum and Sarcophyton ehrenbergi. Chem. Biodivers. 2010, 7, 2007–2015. [Google Scholar] [CrossRef]
- Ochi, M.; Futatsugi, K.; Kotsuki, H.; Ishii, M.; Shibata, K. Litophynin A and B, two new insect growth inhibitory diterpenoids from the soft coral Litophyton sp. Chem. Lett. 1987, 16, 2207–2210. [Google Scholar] [CrossRef]
- Ochi, M.; Futatsugi, K.; Kume, Y.; Kotsuki, H.; Asao, K.; Shibata, K. Litophynin C, a new insect growth inhibitory diterpenoid from a soft coral Litophyton sp. Chem. Lett. 1988, 17, 1661–1662. [Google Scholar] [CrossRef]
- Ochi, M.; Yamada, K.; Futatsugi, K.; Kotsuki, H.; Shibata, K. Litophynin D and E, two new diterpenoids from a soft coral Litophyton sp. Chem. Lett. 1990, 19, 2183–2186. [Google Scholar] [CrossRef]
- Ochi, M.; Yamada, K.; Futatsugi, K.; Kotsuki, H.; Shibata, K. Litophynins F, G, and H, three new diterpenoids from a soft coral Litophyton sp. Heterocycles 1991, 32, 29–32. [Google Scholar] [CrossRef]
- Ochi, M.; Yamada, K.; Kataoka, K.; Kotsuki, H.; Shibata, K. Litophynins I and J, two new biologically active diterpenoids from the soft coral Litophyton sp. Chem. Lett. 1992, 21, 155–158. [Google Scholar] [CrossRef]
- Miyamoto, T.; Yamada, K.; Ikeda, N.; Komori, T.; Higuchi, R. Bioactive terpenoids from Octocorallia, I. Bioactive diterpenoids: litophynols A and B from the mucus of the soft coral Litophyton sp. J. Nat. Prod. 1994, 57, 1212–1219. [Google Scholar] [CrossRef]
- Iwagawa, T.; Kusatsu, D.; Tsuha, K.; Hamada, T.; Okamura, H.; Furukawa, T.; Akiyama, S.-i.; Doe, M.; Morimoto, Y.; Iwase, F.; et al. Errata "Cytotoxic eunicellin-type diterpenes from the soft coral Liophyton viscudium": Heterocycles, 2011, 83, 2149. Heterocycles 2012, 85, 2615–2615. [Google Scholar] [CrossRef]
- Bortolotto, M.; Braekman, J.C.; Daloze, D.; Losman, D.; Tursch, B. Chemical studies of marine invertebrates. XXIII. A novel polyhydroxylated sterol from the soft coral Litophyton viridis (coelenterata, octocorallia, alcyonacea). Steroids 1976, 28, 461–466. [Google Scholar] [CrossRef]
- Bortolotto, M.; Braekman, J.C.; Daloze, D.; Tursch, B.; Karlsson, R. Chemical studies of marine invertebrates. XXIX : 4α-methyl-3β,8β-dihydroxy-5α-ergost-24(28)-en-23-one, a novel polyoxygenated sterol from the soft coral Litophyton viridis, (Coelenterata, Octocorallia, Alcyonacea). Steroids 1977, 30, 159–164. [Google Scholar] [CrossRef]
- Končić, M.Z.; Ioannou, E.; Sawadogo, W.R.; Abdel-Razik, A.F.; Vagias, C.; Diederich, M.; Roussis, V. 4α-Methylated steroids with cytotoxic activity from the soft coral Litophyton mollis. Steroids 2016, 115, 130–135. [Google Scholar] [CrossRef]
- Wright, J.L.C.; Mcinnes, A.G.; Shimizu, S.; Smith, D.G.; Walter, J.A.; Idler, D.; Khalil, W. Identification of C-24 alkyl epimers of marine sterols by 13C nuclear magnetic resonance spectroscopy. Can. J. Chem. 1978, 56, 1898–1903. [Google Scholar] [CrossRef]
- Gong, J.; Sun, P.; Jiang, N.; Riccio, R.; Lauro, G.; Bifulco, G.; Li, T.-J.; Gerwick, W.H.; Zhang, W. New steroids with a rearranged skeleton as (h)P300 inhibitors from the sponge Theonella swinhoei. Org. Lett. 2014, 16, 2224–2227. [Google Scholar] [CrossRef] [PubMed]
- Cao, V.A.; Kwon, J.-H.; Kang, J.S.; Lee, H.-S.; Heo, C.-S.; Shin, H.J. Aspersterols A–D, ergostane-type sterols with an unusual unsaturated side chain from the deep-sea-derived fungus Aspergillus unguis. J. Nat. Prod. 2022, 85, 2177–2183. [Google Scholar] [CrossRef] [PubMed]
- Shaker, K.H.; Al-Wahaibi, L.H. 13C-NMR of steroids from the soft coral Litophyton arboretum. Int. J. Pharm. Sci. Rev. Res. 2016, 36, 149–152. [Google Scholar]
- Losman, D.; Karlsson, R. 24-Methylenecholest-5-ene-3β,7β,19-triol. A case of pseudotranslation. Calculation of structure invariants from partial structure information. Acta Crystallogr. 1978, 34B, 2586–2589. [Google Scholar] [CrossRef]
- Iguchi, K.; Saitoh, S.; Yamada, Y. Novel 19-oxygenated sterols from the Okinawan soft coral Litophyton viridis. Chem. Pharm. Bull. 1989, 37, 2553–2554. [Google Scholar] [CrossRef]
- Li, R.; Wang, S.; Tan, G.; Long, K. Two polyhydroxylated steroids from the Chinese soft coral Litophyton arboreum. Steroids 1994, 59, 503–505. [Google Scholar] [CrossRef]
- Mahmoud, A.H.; Zidan, S.A.H.; Samy, M.N.; Alian, A.; Fouad, M.A.; Kamel, M.S.; Matsunami, K. Phytochemical and biological investigation of Litophyton arboreum. J. Pharmacogn. Phytochem. 2022, 11, 12–15. [Google Scholar] [CrossRef]
- Řezanka, T.; Dembitsky, V.M. γ-Lactones from the soft corals Sarcophyton trocheliophorum and Lithophyton arboreum. Tetrahedron 2001, 57, 8743–8749. [Google Scholar] [CrossRef]
- Ochi, M.; Futatsugi, K.; Kume, Y.; Kotsuki, H.; Asao, K.; Shibata, K. Litophytolides A and B, two new lipid metabolites of a soft coral Litophyton sp. Heterocycles 1989, 29, 39–41. [Google Scholar] [CrossRef]
- Scesa, P.D.; Lin, Z.; Schmidt, E.W. Ancient defensive terpene biosynthetic gene clusters in the soft corals. Nat. Chem. Biol. 2022, 18, 659–663. [Google Scholar] [CrossRef] [PubMed]
- Burkhardt, I.; de Rond, T.; Chen, P.Y.-T.; Moore, B.S. Ancient plant-like terpene biosynthesis in corals. Nat. Chem. Biol. 2022, 18, 664–669. [Google Scholar] [CrossRef] [PubMed]
Disclaimer/Publisher’s Note: The statements, opinions and data contained in all publications are solely those of the individual author(s) and contributor(s) and not of MDPI and/or the editor(s). MDPI and/or the editor(s) disclaim responsibility for any injury to people or property resulting from any ideas, methods, instructions or products referred to in the content. |
© 2023 by the authors. Licensee MDPI, Basel, Switzerland. This article is an open access article distributed under the terms and conditions of the Creative Commons Attribution (CC BY) license (http://creativecommons.org/licenses/by/4.0/).