Submitted:
28 August 2023
Posted:
29 August 2023
You are already at the latest version
Abstract
Keywords:
1. Introduction
2. Geological settings
3. The characteristics of landslides in the Heifangtai terrace
3.1. Classifications of Landslides in the Heifangtai terrace
3.1.1. Loess Mudflow
3.1.2. Loess Collapse
3.1.3. Loess-Mudstone Landslide
- Loess-Mudstone contact surface landslide;
- 2.
- Loess-Mudstone inclined layer landslides;
- 3.
- Loess-Mudstone interbedded landslides;
3.1.4. Statistics of Different Types of Landslides
3.2. Distribution Characteristics of Landslides in the Study Area
3.2.1. Spatial Distribution of Landslides
- Loess Mudflow;
- 2.
- Loess-Bedrock Landslides;
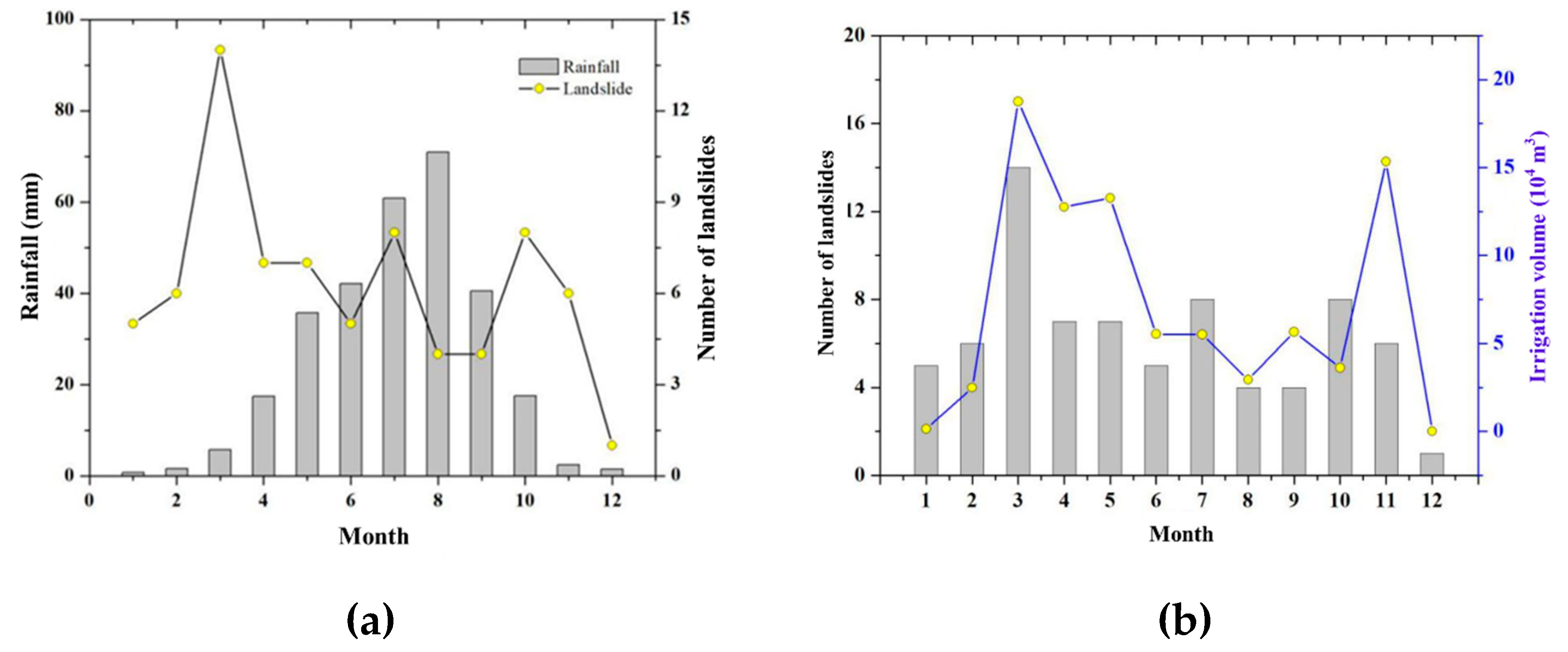
3.2.2. Temporal Distribution of Landslides
- Annual distribution of landslides;
- 2.
- Monthly distribution of landslides;
4. Analysis of Geomorphologic Evolution Patterns of Loess Landslides
4.1. Longitudinal Evolution Patterns of Landslides
4.2. The Lateral Evolution Pattern of Landslides
5. Numerical modeling of Lateral Evolution Slope Stability
5.1. Three-dimensional Model and Parameters
5.2. Analysis of Simulation Results
5.2.1. The Shear Strain Distribution
5.2.2. Plastic Zones Analysis
5.2.3. Longitudinal Displacement along Y axis
5.2.4. Lateral Displacement along X axis
5.2.5. Vertical Stress Distribution

6. Conclusions
- (1)
- Landslides are widely distributed in the Heifangtai terrace, exhibiting various forms, including all typical types of loess landslides: landslides within loess layer and loess-bedrock slides. Landslides within loess layer can be further categorized into loess mudflows and loess collapse. Loess-bedrock slides include the loess-bedrock contact surface landslides, loess-bedrock inclined layer landslides, and loess-bedrock interbedded landslides. Among these, the most widespread and hazardous landslide type in the study area is the loess mudflow, with a friction coefficient less than 1.17.
- (2)
- The development pattern of landslides in the study area exhibits both longitudinal evolution and lateral expansion patterns. Through field investigations, it's evident that lateral evolution is more widespread in the Heifangtai terrace. The initial stages of landslide often demonstrate characteristics of longitudinal evolution, with continual occurrence of smaller landslides along the rear edge of the landslide. However, when the longitudinal sliding reaches a certain extent, significant cracks develop along the rear edge of the the landslide, leading to lateral expansion. Lateral expansion has a more pronounced impact on the water level changes in Heifangtai terrace, and under this lateral evolution pattern, landslides in the Heifangtai terrace tend to achieve equilibrium more rapidly.
- (3)
- The simulation results with FLAC3D indicate that when neighboring landslides occur in the study area, convex landforms without lateral support experience unloading rebound, leading to the formation of cracks on the convex body. Under the influence of self-weight stress, plastic deformation occurs within the slope body, resulting in instability and failure of slopes.
- (4)
- Forests play a pivotal role within the ecological milieu, with alterations to forested areas not only impacting the local environment but also serving as a significant contributing factor to the occurrence of landslide disasters. However, the significance of forests in connection with deep seated landslides is diminished. Loess landslide disasters in Heifangtai terrace remains severe. The continuous geomorphologic evolution of landslide will ultimately lead to a reduction in the area of the plateau surface. This will have significant impacts on the production and livelihoods of local people. Therefore, efforts to prevent and mitigate landslide disasters in this area should continue to be strengthened.
Author Contributions
Funding
Data Availability Statement
Acknowledgments
Conflicts of Interest
References
- Alcántara-Ayala, I. Geomorphology, natural hazards, vulnerability and prevention of natural hazards in developing countries. Geomorphology 2002, 47, 107–124. [Google Scholar] [CrossRef]
- Amaranthus, M.; Rice, R.; Barr, N.R.; Ziemer, R.R. Logging and forest roads related to increased debris slides in southwestern Oregon. J. Forest. 1985, 83, 229–233. [Google Scholar]
- Bischetti, G.B.; Chiaradia, E.A.; Epis, T.; Morlotti, E. Root cohesion of forest species in the Italian Alps. Plant Soil 2009, 324, 71–89. [Google Scholar] [CrossRef]
- Xu, L.; Dai, F.C.; Tham, L.G.; Tu, X.B.; Jin, Y.L. Landslides in the transitional slope between a platformand river terrace, Northwest China. Environ. Eng. Geosci. 2011, 17, 267–279. [Google Scholar] [CrossRef]
- Wang, G.L.; Li, T.L.; Xing, X.L.; Zou, Y. Research on loess flow-slides induced by rainfall in July 2013 in Yan’an, NW China. Environmental. Earth Sci. 2015, 73, 7933–7944. [Google Scholar] [CrossRef]
- Liu, T.S.; Ding, Z.L.; Guo, Z.T. Loess, Environment and Global Change; Science Press: Beijing, China, 1991. [Google Scholar]
- Li, P.; Xie, W.L.; Pak, R.Y.S.; Vanapalli, S.K. Microstructural evolution of loess soils from the Loess Plateau of China. Catena 2019, 173, 276–288. [Google Scholar] [CrossRef]
- Mu, Q.Y.; Dong, H.; Liao, H.J.; Zhou, C.; Li, S.B.; Zhang, J.W. Effects of in-situ wetting-drying cycles on the mechanical behaviour of an intact loess. Can. Geotech. J. 2022, 59, 1281–1284. [Google Scholar] [CrossRef]
- Xu, L.; Gao, C.Y.; Zuo, L.; Liu, K.; Li, L.W. The critical states of saturated loess soils. Eng. Geol. 2022, 307, 106776. [Google Scholar] [CrossRef]
- Barden, L.; Mcgown, A.; Collins, K. The collapse mechanism in partly saturated soil. Eng. Geol. 1973, 7, 49–60. [Google Scholar] [CrossRef]
- Zhang, D.X.; Wang, G.H.; Luo, C.; Chen, J.; Zhou, Y. A rapid losses flow slide triggered by irrigation in China. Landslides 2009, 6, 55–60. [Google Scholar] [CrossRef]
- Jiang, M.J.; Hu, H.J.; Liu, F. Summary of collapsible behaviour of artificially structured loess in oedometer and triaxial wetting tests. Can. Geotech. J. 2012, 49, 1147–1157. [Google Scholar] [CrossRef]
- Garakani, A.A.; Haeri, S.M.; Khosravi, A.; Habibagahi, G. Hydro-mechanical behavior of undisturbed collapsible loessial soils under different stress state conditions. Eng. Geol. 2015, 195, 28–41. [Google Scholar] [CrossRef]
- Fan, X.M.; Xu, Q.; Scaringi, G.V.; Li, S.; Peng, D.L. A chemo-mechanical insight into the failure mechanism of frequently occurred landslides in the loess plateau, Gansu Province, China. Eng. Geol. 2017, 228, 337–345. [Google Scholar] [CrossRef]
- Hou, X.K.; Vanapalli, S.K.; Li, T.L. Water infiltration characteristics in loess associated with irrigation activities and its influence on the slope stability in Heifangtai loess highland, China. Eng. Geol. 2018, 234, 27–37. [Google Scholar] [CrossRef]
- Xu, L.; Yan, D.D. The groundwater responses to loess flowslides in the Heifangtai platform. B. Eng. Geol. Environ. 2019, 78, 4931–4944. [Google Scholar] [CrossRef]
- Li, X.A.; Li, L.; Song, Y.; Hong, B.; Wang, L.; Sun, J.Q. Characterization of the mechanisms underlying loess collapsibility for land~creation project in Shaanxi Province, China-a study from a micro perspective. Eng. Geol. 2019, 249, 77–88. [Google Scholar] [CrossRef]
- Peng, D.L.; Qiang, X.; Liu, F.Z.; He, Y.S.; Zhang, S.; Qi, X.; Zhao, K.Y.; Zhang, X.L. Distribution and failure modes of the landslides in Heitai terrace, China. Eng. Geol. 2018, 236, 97–110. [Google Scholar] [CrossRef]
- Zhuang, J.Q.; Peng, J.B.; Wang, G.H.; Javed, I.; Wang, Y.; Li, W. Distribution and characteristics of landslide in Loess Plateau: A case study in Shaanxi province. Eng. Geol. 2018, 236, 89–96. [Google Scholar] [CrossRef]
- Mentes, G. The role of recent tectonics and hydrological processes in the evolution of recurring landslides on the Danube’s high bank in Dunaföldvár, Hungary. Geomorphology 2017, 290, 200–210. [Google Scholar] [CrossRef]
- Mirus, B.B.; Smith, J.B.; Baum, R.L. Hydrologic impacts of landslide disturbances: Implications for remobilization and hazard persistence. Water. Resour. Res. 2017, 53, 8250–8265. [Google Scholar] [CrossRef]
- Vithana, S.B.; Nakamura, S.; Gibo, S. Yoshinaga, A. Kimura, S. Correlation of large displacement drained shear strength of landslide soils measured by direct shear and ring shear devices. Landslides 2012, 9, 305–314. [Google Scholar] [CrossRef]
- Pu, X.; Wan, L.; Wang, P. Initiation mechanism of mudflow-like loess landslide induced by the combined effect of 486 earthquakes and rainfall. Nat. Hazards 2021, 105, 3079–3097. [Google Scholar] [CrossRef]
- Cammeraat, E.; Beek, R.V.; Kooijman, A. Vegetation Succession and its Consequences for Slope Stability in SE Spain. Plant Soil 2005, 278, 135–147. [Google Scholar] [CrossRef]
- Dorren, L.K.A.; Berger, F.; le Hir, C.; Mermin, E.; Tardif, P. Mechanisms, effects and management implications of rockfall in forests. Forest Ecol. Manag. 2005, 215, 183–195. [Google Scholar] [CrossRef]
- Genet, M.; Stokes, A.; Fourcaud, T.; Norris, J. The influence of plant diversity on slope stability in a moist evergreen deciduous forest. Ecol. Eng. 2010, 36, 265–275. [Google Scholar] [CrossRef]
- Peng, J.B.; Ma, P.H.; Wang, Q.Y.; Zhu, X.H.; Zhang, F.Y.; Tong, X.; Huang, W.L. Interaction between landsliding materials and the underlying erodible bed in a loess flowslide. Eng. Geol. 2018, 234, 38–49. [Google Scholar] [CrossRef]
- Xu, L.; Dai, F.C.; Kwong, A.K.L. Types and characteristics of loess landslides at Heifangtai loess plateau, China. J. Mt. Sci-Engl. 2008, 26, 364–371, (in Chinese with English Abstract). [Google Scholar]
- Hou, X.K.; Vanapalli, S.K.; Li, T.L. Water infiltration characteristics in loess associated with irrigation activities and its influence on the slope stability in Heifangtai loess highland, China. Eng. Geol. 2018, 234, 27–37. [Google Scholar] [CrossRef]
- Xu, L.; Dai, F.C.; Tham, L.G.; Zhou, Y.F.; Wu, C.X. Investigating landslide-related cracks along the edge of two loess platforms in Northwest China. Earth Surf. Process. Landf. 2012, 37, 1023–1033. [Google Scholar] [CrossRef]
- Zhang, M.S.; Zhu, L.F.; Hu, W. Geological environment changes and loess disater caused by irrigation: A case study of Heifangtai Irrigation District in Gansu Province; Science Press: Beijing, China, 2017. [Google Scholar]
- Peng, D.L.; Xu, Q.; Zhang, X.L.; Xing, H.L.; Zhang, S.; Kang, K.; Qi, X.; Ju, Y.Z.; Zhao, K.Y. Hydrological response of loess slopes with reference to widespread landslide events in the Heifangtai terrace, NW China. J. Asian Earth Sci. 2019, 171, 259–276. [Google Scholar] [CrossRef]
- Xu, Q.; Peng, D.L.; Zhang, S.; Zhu, X.; He, C.Y.; Qi, X.; Zhao, K.Y.; Xiu, D.H.; Ju, N.P. Successful implementations of a real-time and intelligent early warning system for loess landslides on the Heifangtai terrace, China. Eng. Geol. 2020, 278, 105817. [Google Scholar] [CrossRef]
- Yang, D.D.; Qiu, H.J.; Hu, S.; Zhu, Y.R.; Cui, Y.F.; Du, C.; Liu, Z.J.; Pei, Y.Q.; Cao, M.M. Spatiotemporal distribution and evolution characteristics of successive landslides on the Heifangtai tableland of the Chinese Loess Plateau. Geomorphology 2021, 378, 107619. [Google Scholar] [CrossRef]
- Lian, B.Q.; Wang, X.G.; Zhan, H.B.; Wang, J.D.; Peng, J.B.; Gu, T.F.; Zhu, R.S. Creep mechanical and microstructural insights into the failure mechanism of loess landslides induced by dry-wet cyclres in the Heifangtai platform, China. Eng. Geol. 2022, 300, 106589. [Google Scholar] [CrossRef]
- Deng, Q.; Wang, X. Mass rock creep and landsliding on the Huangtupo slope in the reservoir area of the Three Gorges Project, Yangtze River, China. Eng. Geol. 2009, 58, 67–83. [Google Scholar] [CrossRef]
- Stéphane, B.; Darnault, R.; Chemenda, A.; Rolland, Y. Evolution of gravity-driven rock slope failure and associated fracturing: Geological analysis and numerical modeling. Tectonophysics 2012, 526–529, 157–166. [Google Scholar]
- González-Díez, A.; Fernández-Maroto, G.; Doughty, M.W.; Díaz de Terán, J.R.; Bruschi, V.; Cardenal, J.; Pérez, J.L.; Mata, E.; Delgado, J. Development of a methodological approach for the accurate measurement of slope changes due to landslides, using digital photogrammetry. Landslides 2014, 11, 615–628. [Google Scholar] [CrossRef]
- Xu, Q.; Zhao, B.; Dai, K.R.; Dong, X.J.; Li, W.L.; Zhu, X.; Yang, Y.H.; Xiao, X.X.; Wang, X.; Huang, J.; Lu, H.Y.; Deng, B.; Ge, D.Q. Remote sensing for landslide investigations: A progress report from China. Eng. Geol. 2023, 321, 107156. [Google Scholar] [CrossRef]
- Wang, G.H.; Suemine, A.; Zhang, F.Y.; Hata, Y.; Fukuoka, H.; Kamai, T. Some fluidized landslides triggered by the 2011 Tohoku Earthquake (Mw 9.0), Japan. Geomorphology 2014, 208, 11–21. [Google Scholar] [CrossRef]
- Yang, J.H.; Wu, G.L.; Jiao, J.Y.; Dyck, M.; He, H.L. Freeze-thaw induced landslides on grasslands in cold regions. Catena 2022, 219, 106650. [Google Scholar] [CrossRef]
- Kong, J.X.; Zhuang, J.Q.; Peng, J.B.; Ma, P.H.; Zhan, J.W.; Mu, J.Q.; Wang, J.; Zhang, D.; Zheng, J.; Fu, Y.T.; Wang, S.B.; Du, C.H. Failure mechanism and movement process of three loess landslides due to freeze-thaw cycle in the Fangtai village, Yongjing County, Chinese Loess Plateau. Eng. Geol. 2023, 315, 107030. [Google Scholar] [CrossRef]















| Num. | Location | Length/m | Height/m | Width/m | Volume/(104 m3) | Type of landslides |
|---|---|---|---|---|---|---|
| 1 | 103°18'15"E,36°05'37"N | 282.75 | 85 | 499 | 223.73 | Loess-bedrock landslide |
| 2 | 103°17'41"E,36°05'29"N | 345.55 | 71 | 673 | 523.68 | Loess-bedrock landslide |
| 3 | 103°18'25"E,36°05'39"N | 318.9 | 111 | 159 | 531.61 | Loess-bedrock landslide |
| 4 | 103°18'32"E,36°05'37"N | 346.09 | 106 | 164 | 32.03 | Loess mudflow |
| 5 | 103°18'34"E,36°05'34"N | 298.48 | 104 | 72 | 77.32 | Loess mudflow |
| 6 | 103°18'38"E,36°05'32"N | 99.48 | 75 | 95 | 3.11 | Loess collapse |
| 7 | 103°18'41"E,36°05'30"N | 61.14 | 43 | 65 | 2.73 | Loess collapse |
| 8 | 103°18'41"E,36°05'30"N | 156.37 | 101 | 80.2 | 19.15 | Loess collapse |
| 9 | 103°18'48"E,36°05'26"N | 204.03 | 97 | 87.6 | 19.11 | Loess collapse |
| 10 | 103°18'56"E,36°05'23"N | 132.26 | 90 | 51 | 7.9 | Loess collapse |
| 11 | 103°19'03"E,36°05'18"N | 244.32 | 101 | \ | 77.04 | Loess-bedrock landslide |
| 12 | 103°19'14"E,36°05'21"N | 386.18 | 104 | 451 | 553.05 | Loess-bedrock landslide |
| 13 | 103°19'32"E,36°05'29"N | 376.44 | 101 | 406 | 610.36 | Loess-bedrock landslide |
| 14 | 103°19'49"E,36°05'32"N | 130.4 | 58.7 | \ | 6.2 | Loess-bedrock landslide |
| 15 | 103°19'53"E,36°05'39"N | 212.16 | 107 | \ | 18.24 | Loess-bedrock landslide |
| 16 | 103°20'05"E,36°05'44"N | 226.15 | 132 | 144 | 28.68 | Loess mudflow |
| 17 | 103°20'08"E,36°05'46"N | 181.41 | 121 | 81 | 7.05 | Loess mudflow |
| 18 | 103°20'11"E,36°05'52"N | 217.7 | 133 | 74 | 8.16 | Loess mudflow |
| 19 | 103°20'13"E,36°05'52"N | 163.31 | 108 | 26 | 5.26 | Loess mudflow |
| 20 | 103°20'13"E,36°05'55"N | 201.36 | 92 | 117 | 7.32 | Loess mudflow |
| 21 | 103°20'10"E,36°05'59"N | 342.2 | 113 | 61 | 8.69 | Loess mudflow |
| 22 | 103°20'12"E,36°06'00"N | 56.58 | 43 | 31 | 0.41 | Loess mudflow |
| 23 | 103°20'13"E,36°06'02"N | 88.26 | 57 | 49 | 0.94 | Loess mudflow |
| 24 | 103°20'09"E,36°06'04"N | 353.43 | 121 | 81 | 34.38 | Loess mudflow |
| 25 | 103°20'05"E,36°06'09"N | 425.66 | 120 | 212 | 88.99 | Loess mudflow |
| 26 | 103°20'06"E,36°06'16"N | 515.48 | 124 | 192 | 92.88 | Loess mudflow |
| 27 | 103°20'06"E,36°06'24"N | 609.55 | 119 | 334 | 333.81 | Loess mudflow |
| 28 | 103°20'12"E,36°06'33"N | 468.73 | 120 | 174 | 152.65 | Loess mudflow |
| 29 | 103°20'18"E,36°06'37"N | 326.17 | 108 | 195 | 33.2 | Loess mudflow |
| 30 | 103°20'20"E,36°06'42"N | 322.83 | 100 | 83 | 10.55 | Loess mudflow |
| 31 | 103°20'18"E,36°06'45"N | 390.97 | 101 | 137 | 52.86 | Loess collapse |
| 32 | 103°20'04"E,36°07'01"N | 283.86 | 104 | 104 | 55.65 | Loess mudflow |
| 33 | 103°19'53"E,36°06'58"N | 164.11 | 99 | 33 | 17.75 | Loess collapse |
| 34 | 103°19'48"E,36°06'53"N | 207.58 | 79 | 116 | 15.77 | Loess collapse |
| 35 | 103°19'53"E,36°06'54"N | 199.53 | 64 | 157 | 29.92 | Loess mudflow |
| 36 | 103°19'46"E,36°06'50"N | 154.97 | 40 | 133 | 15.91 | Loess mudflow |
| Type of soil | K/Pa | G/Pa | c/kPa | φ/° | ρ/kg.m-3 |
|---|---|---|---|---|---|
| Natural unsaturated loess | 3.9×106 | 8×106 | 21 | 30.7 | 1480 |
Disclaimer/Publisher’s Note: The statements, opinions and data contained in all publications are solely those of the individual author(s) and contributor(s) and not of MDPI and/or the editor(s). MDPI and/or the editor(s) disclaim responsibility for any injury to people or property resulting from any ideas, methods, instructions or products referred to in the content. |
© 2023 by the authors. Licensee MDPI, Basel, Switzerland. This article is an open access article distributed under the terms and conditions of the Creative Commons Attribution (CC BY) license (http://creativecommons.org/licenses/by/4.0/).