Submitted:
23 August 2023
Posted:
25 August 2023
You are already at the latest version
Abstract
Keywords:
1. Introduction
2. Materials and Methods
2.1. Study area
2.2. Landscape spatial data
- Landscape composition
- Landscape diversity
- Landscape configuration
- Landscape typology
2.3. Fire regime
2.4. Carbon stock
2.5. Comparing the relative performance of each landscape type as regards fire regime and carbon stock
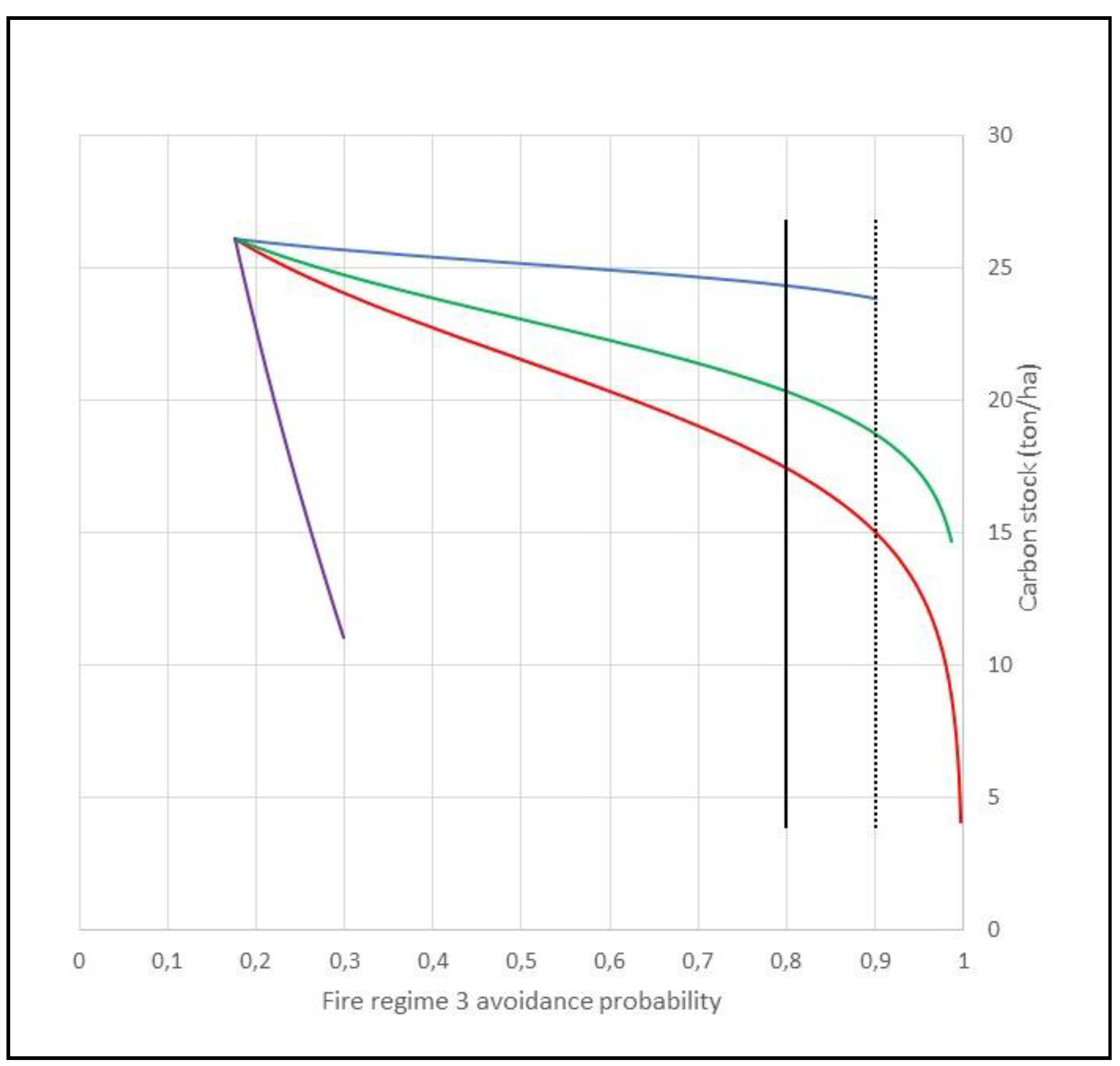
2.6. Simulation of the probability of occurrence of hazardous fire regimes and carbon stock levels based on the proportion of forest plantations and its conversion to other LULC classes to get the corresponding trade off curves between probability of hazardous fire regimes and carbon stock
3. Results
3.1. Landscape characteristics
3.2. Fire Regime
3.3. Associations of fire regimes with landscape types
3.4. Carbon stock
3.5. Associations between forest plantations, hazardous fire regimes and carbon stock
4. Discussion
4.1. Methodological prospects
4.2. Fire regime and carbon stock associations across landscapes
4.3. Implications of carbon stock and fire protection trade-offs for Nature Based Solutions
4.4. Limitations and uncertainties
5. Conclusions
Supplementary Materials
Author Contributions
Funding
Institutional Review Board Statement
Informed Consent Statement
Data Availability Statement
Acknowledgments
Conflicts of Interest
References
- M. Grünig, R. Seidl, C. Senf, Increasing aridity causes larger and more severe forest fires across Europe, Glob Chang Biol. 29 (2023) 1648–1659. [CrossRef]
- F. Moreira, D. Ascoli, H. Safford, M.A. Adams, J.M. Moreno, J.M.C. Pereira, F.X. Catry, J. Armesto, W. Bond, M.E. González, T. Curt, N. Koutsias, L. McCaw, O. Price, J.G. Pausas, E. Rigolot, S. Stephens, C. Tavsanoglu, V.R. Vallejo, B.W. Van Wilgen, G. Xanthopoulos, P.M. Fernandes, Wildfire management in Mediterranean-type regions: Paradigm change needed, Environmental Research Letters. 15 (2020). [CrossRef]
- P.M. Fernandes, A.M.G. Barros, A. Pinto, J.A. Santos, Characteristics and controls of extremely large wildfires in the western Mediterranean Basin, J Geophys Res Biogeosci. 121 (2016) 2141–2157. [CrossRef]
- M. Turco, S. Jerez, S. Augusto, P. Tarín-Carrasco, N. Ratola, P. Jiménez-Guerrero, R.M. Trigo, Climate drivers of the 2017 devastating fires in Portugal, Sci Rep. 9 (2019). [CrossRef]
- A. Regos, S. Pais, J.C. Campos, J. Lecina-Diaz, Nature-based solutions to wildfires in rural landscapes of Southern Europe: let’s be fire-smart!, Int J Wildland Fire. (2023). [CrossRef]
- L. Loepfe, J. Martinez-Vilalta, J. Oliveres, J. Piñol, F. Lloret, Feedbacks between fuel reduction and landscape homogenisation determine fire regimes in three Mediterranean areas, For Ecol Manage. 259 (2010) 2366–2374. [CrossRef]
- F. Tedim, V. Leone, M. Amraoui, C. Bouillon, M.R. Coughlan, G.M. Delogu, P.M. Fernandes, C. Ferreira, S. McCaffrey, T.K. McGee, J. Parente, D. Paton, M.G. Pereira, L.M. Ribeiro, D.X. Viegas, G. Xanthopoulos, Defining extreme wildfire events: Difficulties, challenges, and impacts, Fire. 1 (2018) 1–28. [CrossRef]
- Intergovernmental Panel on Climate Change, Technical Summary, in: Climate Change and Land, Cambridge University Press, 2022: pp. 37–74. [CrossRef]
- J.I. Ajani, H. Keith, M. Blakers, B.G. Mackey, H.P. King, Comprehensive carbon stock and flow accounting: A national framework to support climate change mitigation policy, Ecological Economics. 89 (2013) 61–72. [CrossRef]
- F. Moreira, O. Viedma, M. Arianoutsou, T. Curt, N. Koutsias, E. Rigolot, A. Barbati, P. Corona, P. Vaz, G. Xanthopoulos, F. Mouillot, E. Bilgili, Landscape - wildfire interactions in southern Europe: Implications for landscape management, J Environ Manage. 92 (2011) 2389–2402. [CrossRef]
- T.M. Oliveira, N. Guiomar, F.O. Baptista, J.M.C. Pereira, J. Claro, Is Portugal’s forest transition going up in smoke?, Land Use Policy. 66 (2017) 214–226. [CrossRef]
- V. Acácio, M. Holmgren, F. Rego, F. Moreira, G.M.J. Mohren, Are drought and wildfires turning Mediterranean cork oak forests into persistent shrublands?, Agroforestry Systems. 76 (2009) 389–400. [CrossRef]
- V. Acácio, F.S. Dias, F.X. Catry, M.N. Bugalho, F. Moreira, Canopy cover loss of mediterranean oak woodlands: long-term effects of management and climate, Ecosystems. 24 (2021) 1775–1791. [CrossRef]
- P.E.A. APA, Portuguese National Inventory Report on Greenhouse Gases, 1990-2018, Amadora, 2020.
- C. Andrade, J. Contente, Climate change projections for the Worldwide Bioclimatic Classification System in the Iberian Peninsula until 2070, International Journal of Climatology. 40 (2020) 5863–5886. [CrossRef]
- J. Pereira, P. Silva, I. Melo, D. Oom, G. Baldassarre, M. Pereira, Cartografia de regimes de fogo à escala da freguesia (1980-2017), Vila Real, 2022.
- P.M. Fernandes, A.P. Pacheco, R. Almeida, J. Claro, The role of fire-suppression force in limiting the spread of extremely large forest fires in Portugal, Eur J For Res. 135 (2016) 253–262. [CrossRef]
- P.M. Fernandes, E. Rigolot, The fire ecology and management of maritime pine (Pinus pinaster Ait.), For Ecol Manage. 241 (2007) 1–13. [CrossRef]
- F.C. Rego, J.S. Silva, Wildfires and landscape dynamics in Portugal: A regional assessment and global implications, in: Forest Landscapes and Global Change: Challenges for Research and Management, Springer New York, 2014: pp. 51–73. [CrossRef]
- J.S. Silva, P. Vaz, F. Moreira, F. Catry, F.C. Rego, Wildfires as a major driver of landscape dynamics in three fire-prone areas of Portugal, Landsc Urban Plan. 101 (2011) 349–358. [CrossRef]
- F. Moreira, M. Leal, R. Bergonse, M.J. Canadas, A. Novais, S. Oliveira, P.F. Ribeiro, J.L. Zêzere, J.L. Santos, Recent Trends in Fire Regimes and Associated Territorial Features in a Fire-Prone Mediterranean Region, Fire. 6 (2023) 60. [CrossRef]
- M. Rabelo, M. Debolini, R. Villani, T. Sabbatini, N. Silvestri, Expansion and specialization of agricultural systems in western mediterranean areas: A global analysis based on the two last census data, Agronomy. 11 (2021). [CrossRef]
- ICNF, 6o Inventário florestal nacional-Relatório final, 2019.
- G. Billen, E. Aguilera, R. Einarsson, J. Garnier, S. Gingrich, B. Grizzetti, L. Lassaletta, J. Le Noë, A. Sanz-Cobena, Reshaping the European agro-food system and closing its nitrogen cycle: The potential of combining dietary change, agroecology, and circularity, One Earth. 4 (2021) 839–850. [CrossRef]
- T. Pinto-Correia, W. Vos, Multifunctionality in Mediterranean landscapes-past and future, 2004.
- D. Tilman, K. Cassman, P. Matsons, R. Naylor, S. POlasky, Agricultural sustainability and intensive production practices, Nature. 418 (2002) 671–677. www.nature.com/nature.
- P.M. Fernandes, T. Monteiro-Henriques, N. Guiomar, C. Loureiro, A.M.G. Barros, Bottom-Up Variables Govern Large-Fire Size in Portugal, Ecosystems. 19 (2016) 1362–1375. [CrossRef]
- R. Bergonse, S. Oliveira, P. Santos, J.L. Zêzere, Wildfire Risk Levels at the Local Scale: Assessing the Relative Influence of Hazard, Exposure, and Social Vulnerability, Fire. 5 (2022). [CrossRef]
- D. Royé, F. Tedim, J. Martin-Vide, M. Salis, J. Vendrell, R. Lovreglio, C. Bouillon, V. Leone, Wildfire burnt area patterns and trends in Western Mediterranean Europe via the application of a concentration index, Land Degrad Dev. 31 (2020) 311–324. [CrossRef]
- P.F. Ribeiro, F. Moreira, M.J. Canadas, A. Novais, M. Leal, S. Oliveira, R. Bergonse, J.L. Zêzere, J.L. Santos, Promoting Low-Risk Fire Regimes: An Agent-Based Model to Explore Wildfire Mitigation Policy Options, Fire. 6 (2023) 102. [CrossRef]
- N. Aquilué, M.J. Fortin, C. Messier, L. Brotons, The Potential of Agricultural Conversion to Shape Forest Fire Regimes in Mediterranean Landscapes, Ecosystems. 23 (2020) 34–51. [CrossRef]
- S.J. Scherr, S. Shames, R. Friedman, From climate-smart agriculture to climate-smart landscapes, Agric Food Secur. 1 (2012). [CrossRef]
- P.M. Fernandes, Creating fire-smart forests and landscapes-. Forêt Méditerranéenne, 2010. https://hal.science/hal-03573285.
- P.M. Fernandes, Fire-smart management of forest landscapes in the Mediterranean basin under global change, Landsc Urban Plan. 110 (2013) 175–182. [CrossRef]
- M.C. Iglesias, V. Hermoso, J.C. Campos, C. Carvalho-Santos, P.M. Fernandes, T.R. Freitas, J.P. Honrado, J.A. Santos, Â. Sil, A. Regos, J.C. Azevedo, Climate- and fire-smart landscape scenarios call for redesigning protection regimes to achieve multiple management goals, J Environ Manage. 322 (2022). [CrossRef]
- H. Keith, M. Vardon, C. Obst, V. Young, R.A. Houghton, B. Mackey, Evaluating nature-based solutions for climate mitigation and conservation requires comprehensive carbon accounting, Science of the Total Environment. 769 (2021). [CrossRef]
- S. Pais, N. Aquilué, J. Campos, Â. Sil, B. Marcos, F. Martínez-Freiría, J. Domínguez, L. Brotons, J.P. Honrado, A. Regos, Mountain farmland protection and fire-smart management jointly reduce fire hazard and enhance biodiversity and carbon sequestration, Ecosyst Serv. 44 (2020) 101143. [CrossRef]
- J.C. Campos, S. Rodrigues, Â. Sil, V. Hermoso, T.R. Freitas, J.A. Santos, P.M. Fernandes, J.C. Azevedo, J.P. Honrado, A. Regos, Climate regulation ecosystem services and biodiversity conservation are enhanced differently by climate-and fire-smart landscape management, Environmental Research Letters. 17 (2022). [CrossRef]
- Â. Sil, J.C. Azevedo, P.M. Fernandes, J. Alonso, J.P. Honrado, Fine-tuning the BFOLDS Fire Regime Module to support the assessment of fire-related functions and services in a changing Mediterranean mountain landscape, Environmental Modelling and Software. 155 (2022). [CrossRef]
- A.M.G. Barros, J.M.C. Pereira, Wildfire selectivity for land cover type: Does size matter?, PLoS One. 9 (2014). [CrossRef]
- S. Oliveira, A. Gonçalves, J.L. Zêzere, Reassessing wildfire susceptibility and hazard for mainland Portugal, Science of the Total Environment. 762 (2021). [CrossRef]
- J.M. Fernández-Guisuraga, S. Martins, P.M. Fernandes, Characterization of biophysical contexts leading to severe wildfires in Portugal and their environmental controls, Science of The Total Environment. 875 (2023) 162575. [CrossRef]
- B.M. Meneses, E. Reis, R. Reis, Assessment of the recurrence interval of wildfires in mainland portugal and the identification of affected luc patterns, J Maps. 14 (2018) 282–292. [CrossRef]
- P.M. Fernandes, N. Guiomar, C.G. Rossa, Analysing eucalypt expansion in Portugal as a fire-regime modifier, Science of the Total Environment. 666 (2019) 79–88. [CrossRef]
- M.G. Cruz, M.E. Alexander, P.M. Fernandes, Evidence for lack of a fuel effect on forest and shrubland fire rates of spread under elevated fire danger conditions: implications for modelling and management, Int J Wildland Fire. 31 (2022) 471–479. [CrossRef]
- R. Bergonse, S. Oliveira, J.L. Zêzere, F. Moreira, P.F. Ribeiro, M. Leal, J.M. Lima e Santos, Biophysical controls over fire regime properties in Central Portugal, Science of The Total Environment. 810 (2022) 152314. [CrossRef]
- P. Krebs, G.B. Pezzatti, S. Mazzoleni, L.M. Talbot, M. Conedera, Fire regime: History and definition of a key concept in disturbance ecology, Theory in Biosciences. 129 (2010) 53–69. [CrossRef]
- .
- M.F. Mechenich, I. Žliobaitė, Eco-ISEA3H, a machine learning ready spatial database for ecometric and species distribution modeling, Sci Data. 10 (2023). [CrossRef]
- D. Peters, S. Goslee, Landscape diversity, Encyclopedia of Biodiversity. 3 (2001) 645–658.
- H. Nagendra, Opposite trends in response for the Shannon and Simpson indices of landscape diversity, 2002. www.elsevier.com/locate/apgeog.
- CE. Shannon, The mathematical theory of communication, by CE Shannon (and recent contributions to the mathematical theory of communication), W. Weaver. Champaign, IL. (1949).
- K. McGarigal, B.J. Marks, FRAGSTATS: Spatial Pattern Analysis Program for Quantifying Landscape Structure, Portland, 1995.
- J.H. Ward, Hierarchical Grouping to Optimize an Objective Function, 1963.
- C. Whitlock, P.E. Higuera, D.B. Mcwethy, C.E. Briles, Paleoecological Perspectives on Fire Ecology: Revisiting the Fire-Regime Concept, 2010.
- M.F. Cotrufo, J.M. Lavallee, Soil organic matter formation, persistence, and functioning: A synthesis of current understanding to inform its conservation and regeneration, in: Advances in Agronomy, Academic Press Inc., 2022: pp. 1–66. [CrossRef]
- S.M.M. Rasel, T.A. Groen, Y.A. Hussin, I.J. Diti, Proxies for soil organic carbon derived from remote sensing, International Journal of Applied Earth Observation and Geoinformation. 59 (2017) 157–166. [CrossRef]
- C.A. da Costa, J.L. Santos, Estimating the demand curve for sustainable use of pesticides from contingent-valuation data, Ecological Economics. 127 (2016) 121–128. [CrossRef]
- V. Lerma-Arce, C. Yagüe-Hurtado, H. Van den Berg, M. García-Folgado, J.V. Oliver-Villanueva, Y. Benhalima, I. Marques-Duarte, V. Acácio, F.C. Rego, E. López-Senespleda, M. Menéndez-Miguélez, R. Ruiz-Peinado, T. Petillon, S. Jalabert, E. Carbó-Valverde, E. Gimeno-García, R. Aleix-Amurrio, E. Lorenzo-Sáez, Development of a Model to Estimate the Risk of Emission of Greenhouse Gases from Forest Fires, Fire. 6 (2023). [CrossRef]
- G. del Barrio, J. Puigdefabregas, M.E. Sanjuan, M. Stellmes, A. Ruiz, Assessment and monitoring of land condition in the Iberian Peninsula, 1989–2000, Remote Sens Environ. 114 (2010) 1817–1832. [CrossRef]
- I. Cañellas, M. Sánchez-Gonzáles, S. M. Bogino, P. Adame, D. Moreno-Fernández, S. Roig, M. Tomé, J. A. Paulo, F. Bravo, Carbon sequestration in mediterranean oak forests, in: Managing Forest Ecosystems: The Challenge of Climate Change, 2017. [CrossRef]
- J.S. Silva, F. Moreira, P. Vaz, F. Catry, P. Godinho-Ferreira, Assessing the relative fire proneness of different forest types in Portugal, Plant Biosyst. 143 (2009) 597–608. [CrossRef]
- CTI, J. Guerreiro, C. Fonseca, A. Salgueiro, P. Fernandes, E. Iglesias, R. Neufville, F. Mateus, M. Ribau, J. Silva, J. Gomes, F. Rego, P. Mateus, Análise e apuramento dos factos relativos aos incêndios que ocorreram em Pedrogão Grande, Castanheira de Pêra, Figueiró dos Vinhos, Arganil, Góis, Penela, Pampilhosa da Serra, Oleiros e Sertã, entre 17 e 24 de junho de 2017, Lisboa, 2017.
- L.J.R. Nunes, C.I.R. Meireles, C.J.P. Gomes, N.M.C.A. Ribeiro, Forest contribution to climate change mitigation: Management oriented to carbon capture and storage, Climate. 8 (2020). [CrossRef]
- T.M. Oliveira, A.M.G. Barros, A.A. Ager, P.M. Fernandes, Assessing the effect of a fuel break network to reduce burnt area and wildfire risk transmission, Int J Wildland Fire. 25 (2016) 619–632. [CrossRef]
- A.J. Franzluebbers, G. Lemaire, P.C.D.F. Carvalho, R.M. Sulc, B. Dedieu, Toward agricultural sustainability through integrated crop-livestock systems. III. Social aspects, Renewable Agriculture and Food Systems. 29 (2014) 192–194. [CrossRef]
- P.M. Fernandes, G.M. Davies, D. Ascoli, C. Fernández, F. Moreira, E. Rigolot, C.R. Stoof, J.A. Vega, D. Molina, Prescribed burning in southern Europe: Developing fire management in a dynamic landscape, Front Ecol Environ. 11 (2013). [CrossRef]
- V. Rolo, J. V. Roces-Diaz, M. Torralba, S. Kay, N. Fagerholm, S. Aviron, P. Burgess, J. Crous-Duran, N. Ferreiro-Dominguez, A. Graves, T. Hartel, K. Mantzanas, M.R. Mosquera-Losada, J.H.N. Palma, A. Sidiropoulou, E. Szerencsits, V. Viaud, F. Herzog, T. Plieninger, G. Moreno, Mixtures of forest and agroforestry alleviate trade-offs between ecosystem services in European rural landscapes, Ecosyst Serv. 50 (2021). [CrossRef]
- R. Costa, H. Fraga, P.M. Fernandes, J.A. Santos, Implications of future bioclimatic shifts on Portuguese forests, Reg Environ Change. 17 (2017) 117–127. [CrossRef]
- CTI, J. Guerreiro, C. Fonseca, A. Salgueiro, P. Fernandes, E. Lopez Iglesias, R. de Neufville, F. Mateus, M. Castellnou Ribau, J. Sande Silva, J.M. Moura, F. Castro Rego, D. Caldeira, Avaliação dos incêndios ocorridos entre 14 e 16 de outubro de 2017 em Portugal continental, Lisboa, 2018.
- OTI, F. Castro Rego, P. Fernandes, J. Sande Silva, J. Azevedo, J.M. Moura, E. Oliveira, R. Cortes, D.X. Viegas, D. Caldeira, F.D. Santos, Avaliação do incêndio de monchique, Lisboa, 2019.
- Law no 77/2017 August 17th, Diário Da República 1a Série. (2017) 4762–4773.
- República Portuguesa, Portuguese Carbon Neutrality Roadmap, Lisbon, 2019.
- 26th Decree-Law 28-A/2020 June, Decree-Law no28-A/2020 June, 26th, Diário Da República. 123 (2020) 27.











| Species | ton C.ha −1 | Source |
| Chestnut tree | 86.76 | IFN 1 |
| Acacia | 54.54 | |
| Oaks (deciduous) | 45.8 | |
| Other conifers | 41.06 | |
| Other broadleaf | 33.5 | |
| Umbrella pine | 32.39 | |
| Maritime pine | 31.32 | |
| Eucalyptus | 25.76 | |
| Cork oak | 25.53 | |
| Holm oak | 22.97 | |
| Carob tree | 16.99 | |
| Shrubs | 13.72 | NIR, 2020 [14] |
| Olive orchards | 10.72 | |
| Other permanent cultures | 9.94 | |
| Vineyards | 3.67 | |
| Grasslands | 1.47 | |
| Annual agriculture crops | 0.62 |
| Variable | PC1 | PC2 |
|---|---|---|
| Cohesion | -0.880 | 0 |
| Mean Contiguity | 0.121 | 0.990 |
| Largest Patch Index | -0.905 | 0 |
| Edge density | 0.958 | -0.106 |
| Number of Patches | 0.856 | 0 |
| Explained variance (%) | 64.843 | 20.436 |
| Landscape types | N | Composition | Diversity | Configuration | |||||||
| Farmland | Agroforestry | Plantations | Native Forests | Shrubland | Shannon | Sha-Eveness | Richness | Edge Density | MeanContiguity | ||
| 1-Specialized agricultural landscapes | 524 | 0.718 | 0.095 | 0.052 | 0.085 | 0.050 | 0.776 | 0.522 | 4.416 | 1.231 | 0.267 |
| 2-Mixed agroforestry landscapes | 153 | 0.322 | 0.552 | 0.008 | 0.114 | 0.004 | 0.924 | 0.650 | 4.235 | -0.445 | -0.094 |
| 3-Mixed landscape with shrubland, farmland and native forest | 609 | 0.290 | 0.009 | 0.162 | 0.183 | 0.356 | 1.183 | 0.817 | 4.291 | -0.266 | -0.283 |
| 4- Mixed native forests landscapes | 598 | 0.250 | 0.155 | 0.123 | 0.416 | 0.056 | 1.164 | 0.733 | 4.906 | -0.564 | 0.286 |
| 5-Mixed landscapes with plantations and farmland | 459 | 0.287 | 0.003 | 0.494 | 0.108 | 0.109 | 1.065 | 0.738 | 4.283 | -0.177 | 0.039 |
| 6-Specialized plantations landscapes | 252 | 0.125 | 0.001 | 0.778 | 0.048 | 0.048 | 0.671 | 0.481 | 4.032 | -0.830 | -0.541 |
| Total | 2595 | ||||||||||
| Landscape types | FR | ton. C.ha −1 | |||
|---|---|---|---|---|---|
| 1-Specialized agricultural landscape | 1 | 2 | 3 | ||
| Proportion of FRs | 97.1% | 1.5% | 1.3% | 8.3 | |
| Adjusted Residuals | + | - | - | ||
| 2-Mixed agroforestry landscape | Proportion of FRs | 100% | 0% | 0% | 13.4 |
| Adjusted Residuals | + | - | - | ||
| 3-Mixed landscape with shrubland, farmland and native forest | Proportion of FRs | 31.4% | 46.5% | 22.2% | 14.6 |
| Adjusted Residuals | - | + | + | ||
| 4- Mixed native forests landscapes | Proportion of FRs | 90.0% | 1.7% | 8.4% | 16.2 |
| Adjusted Residuals | + | - | - | ||
| 5-Mixed landscapes with plantations and farmland | Proportion of FRs | 46.2% | 24.0% | 29.8% | 17.8 |
| Adjusted Residuals | - | + | + | ||
| 6-Specialized plantations landscapes | Proportion of FRs | 28.2% | 8.3% | 63.5% | 22.8 |
| Adjusted Residuals | - | - | + | ||
| TOTAL | Proportion of FRs | 64.5% | 16.6% | 18.8% | |
| Variable | Beta | SE | 95% CI | EXP (B) | p | |
|---|---|---|---|---|---|---|
| LL | UL | |||||
| (Intercept) | -2.88 | 0.098 | 0.056 | 0.000 | ||
| PLA % | 0.042 | 0.002 | 1.038 | 1.047 | 1.043 | 0.000 |
| N | 2766 | |||||
| Nagelkerke’s R2 | 0.268 | |||||
| Prediction Accuracy | 0.846 | |||||
| Chi square sign. | 0.000 | |||||
Disclaimer/Publisher’s Note: The statements, opinions and data contained in all publications are solely those of the individual author(s) and contributor(s) and not of MDPI and/or the editor(s). MDPI and/or the editor(s) disclaim responsibility for any injury to people or property resulting from any ideas, methods, instructions or products referred to in the content. |
© 2023 by the authors. Licensee MDPI, Basel, Switzerland. This article is an open access article distributed under the terms and conditions of the Creative Commons Attribution (CC BY) license (http://creativecommons.org/licenses/by/4.0/).