Submitted:
17 August 2023
Posted:
18 August 2023
You are already at the latest version
Abstract
Keywords:
1. Introduction
1.1. ICD Types
1.2. Horizontal Well Gravel Pack
1.3. Mathematical Method
2. Flow Modeling in Different Spatial Dimensions
2.1. Bottom Water Reservoirs Flwo Model
2.2. ICD Flow Model
2.3. Gravel Packed Layers Flow Model
2.4. Horizontal Wellbore Flow Model
3. Integrated Coupling Model
3.1. Assumption
- Bottom water reservoirs are equal-thickness reservoirs where the top boundary is a closed boundary and the bottom boundary is driven by bottom water, which satisfies Darcy seepage and ignores the effect of capillary forces.
- Bottom water reservoir permeability is heterogeneous but isotropic, and the near-well zone permeability corresponding to each horizontal well section is uniform.
- Reservoir fluids are two-phase oil-water flows, where the fluid is incompressible, has constant viscosity and volume coefficient, and is pressure independent.
- The flow process was assumed to be isothermal, with no heat exchange with the external environment.
- Each horizontal well section is independent of and does not interfere with each other's production during the production process.
- The density of the fluid flowing into the ICD is assumed to be the mixed density at 50% water content.
- Only the axial resistance of the gravel packed layer is considered, and the effect of the radial resistance of the gravel packed layer is neglected.
3.2. Model Coupling
4. Case Study
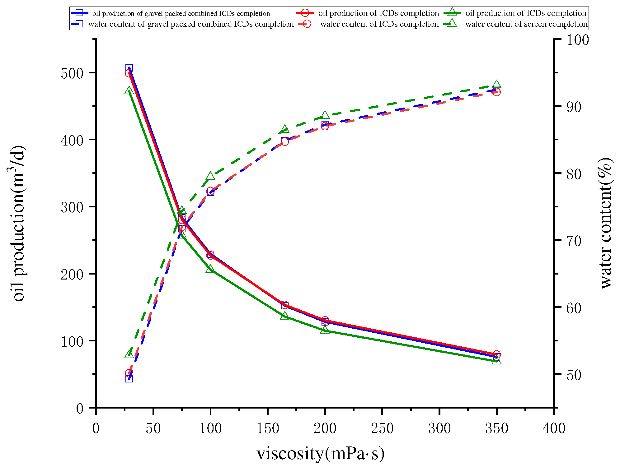
4.1. Oil Viscosity
4.2. Reservoir Permeability
4.3. Gravel Packed Layer Permeability
4.4. Production Stage
5. Conclusion
Acknowledgments
Conflicts of Interest
References
- Economides, M.J., Hill, A.D., Ehligeconomides, C., Ding, Z., 2013. Petroleum Production Systems, second ed. Prentice Hall.
- Fernandes, P., Li, Z.Y., Zhu, D. Understanding the Roles of Inflow-Control Devices in Optimizing. Paper SPE 124677 presented at the 2009 Annual Technical Conference and Exhibition, New Orleans, Louisiana, USA, 4-7 October.
- Alkhelaiwi, F. T. and Davis, D. R. Inflow Control Devices, Application and Value Quantification of a Developing Technology. Paper SPE 108700 presented at the 2007 International Oil Conference and Exhibition in Mexico, Veracruz, Mexico, 27-30 June.
- Coronado, M.P., Garcia, L., Russell, R. D., Garcia, G. A. and Peterson, E. R. New Inflow Control Device Reduces Fluid Viscosity Sensitivity and Maintains Erosion Resistance. Paper OTC 19811 presented at the 2009 Offshore Technology Conference, Houston, USA, 4-7 May.
- Visosky J , Clem N , Coronado M ,et al.Examining Erosion Potential of Various Inflow Control Devices To Determine Du-ration of Performance. Paper SPE 110667 presented at the SPE Annual Technical Conference and Exhibition, Anaheim, Cali-fornia, U.S.A., November 2007.
- Shad S , Yazdi M M .Wellbore Modeling and Design of Nozzle-Based Inflow Control Device (ICD) for SAGD Wells. Paper SPE 170145 presented at the SPE Heavy Oil Conference-Canada, June 10–12, 2014.
- Al Madan M A , Gohari K , Galimzyanov A ,et al.Optimum Lower Completion Design and Implementation for a Highly Fractured Carbonate Reservoir. Paper SPE 166798 presented at the SPE/IADC Middle East Drilling Technology Conference & Exhibition, October 7–9, 2013.
- Martin, P.; T., Gary Corbett. Beta-wave Pressure Control Enables Extended-Reach Horizontal Gravel Packs. Paper SPE 71668 presented at the 2001 SPE Annual Technical Conference and Exhibition held in New Orleans, Louisiana, 30 September–3 October.
- Perdue, J.M. Completion Experts Study Gulf of Mexico Horizontal Screen Failures,. Pet. Eng. Intl. (Jun. 1996) 31.
- Duhon, P., Holley, A., Gardiner, N., Grigsby, T. New Completion Techniques Applied to a Deepwater Gulf of Mexico TLP Completion Successfully Gravel Pack an Openhole Horizontal Interval of 2,400 ft. Paper SPE 50146 presented at the 1998 Asia Pacific Oil and Gas Conference, Perth, Australia, Oct. 12-14.
- Hudson, T.E. and Martin, J.W. Use of Low-Density Gravel-Pack Material Provides Placement Efficiency,. paper SPE 17169 presented at the 1988 Formation Damage Control Symposium, Bakersfield, CA, Feb. 8-9.
- Foster, J., Grigsby, T., and Lafontaine, J.: .The Evolution of Horizontal Completion Techniques for the Gulf of Mexico. Where Have We Been and Where Are We Going?. paper SPE 53926 presented at the 1999 Asia Pacific Oil and Gas Conference Jakarta, Indonesia, Apr. 20-22.
- Shi, Z.Z., Wang, X.D., C, B. Research and application of sand control technology of continuous packer in Bohai Oilfield. Journal of Petrochemical Industry Technology. vol. 27, no. 2, pp. 70–71, 2020.
- Schlumberger. 2015. Product Sheet: ICD Advisor. (20 October 2014) http://www.slb.com/resources/other_resources/product_sheets/sand_control/icd_advisor_ps.aspx.
- Halliburton.2007. Netool technical manual(version 2.9) https://www.docin.com/p-174893868.html.
- Wang, X.Q., Wang, Z.M., Wei, J.G. Study on variable mass flow low of horizontal well under coupling condition of wellbore and reservoir. Journal of Hydrodynamics. vol. 20, no. 3, pp. 326–331, 2005.
- Rao, Z.H., Xue, L., Shan, Y.K. Experiment of dual water control by ICD screen annular continuous packing + fracture filling: taking fractured reef limestone reservoir of X oilfield in east of South China Sea as an example. Journal of Petrochemical Industry Technology. vol. 42, no. 1, pp. 83–90, 2023.
- Ozkan, E., Sarica, C., Haci, M. Influence of pressure drop along the wellbore on horizontal-well productivity. SPEJ. vol. 4, no. 3, pp. 288–301,1999. [CrossRef]
- Lian, P., Cheng, L., Cui, J. A new computation model of fractured horizontal well coupling with reservoir. Numerical Method in Fluid. Vol. 67, no. 9, pp. 1047-1056, 2011. [CrossRef]
- Ouyang, L.B. Practical consideration of an inflow control device application for reducing water production. Paper SPE 124154 presented at the SPE Annual Technical Conference and Exhibition, New Orleans, Louisiana, U.S.A., 4-7 October 2009.
- Zhang, N., Li, H.T., Dong, W.Q. The optimal model of water control completion based on source function and network model. Journal of Petroleum Science and Engineering. Vol. 213, no. 9, pp. 1-14, 2022. [CrossRef]
- An, Y.S., Zhang, N., Zhang, H. Numerical simulation study on coupling of horizontal wells with ICD water control completion. Journal of China Offshore Oil and Gas. vol. 29, no. 2, pp. 109–113, 2017.
- Zhang, J.B., An, Y.S., Wang, H.L. Study on numerical simulation method for production performance of ICD completion with continuous packer in horizontal well. Journal of China Offshore Oil and Gas vol. 33, no. 3, pp. 121–125, 2021.










| Parameters | Values |
|---|---|
| Formation temperature(℃) | 85 |
| The thickness of the reservoir(m) | 11 |
| original formation pressure(MPa) | 18 |
| Porosity(%) | 25 |
| Viscosity of oil (mPa⋅s) | 30 |
| Density of oil (kg/m3) | 800 |
| Viscosity of water (mPa⋅s) | 0.5 |
| Density of water (kg/m3) | 1000 |
| Initial water Saturation | 0.2 |
| Volume factors of oil | 1.05 |
| Gravel packed layer permeability(μm2) | 25 |
Disclaimer/Publisher’s Note: The statements, opinions and data contained in all publications are solely those of the individual author(s) and contributor(s) and not of MDPI and/or the editor(s). MDPI and/or the editor(s) disclaim responsibility for any injury to people or property resulting from any ideas, methods, instructions or products referred to in the content. |
© 2023 by the authors. Licensee MDPI, Basel, Switzerland. This article is an open access article distributed under the terms and conditions of the Creative Commons Attribution (CC BY) license (http://creativecommons.org/licenses/by/4.0/).