Submitted:
16 August 2023
Posted:
17 August 2023
You are already at the latest version
Abstract
Keywords:
1. Introduction
2. Materials and Methods
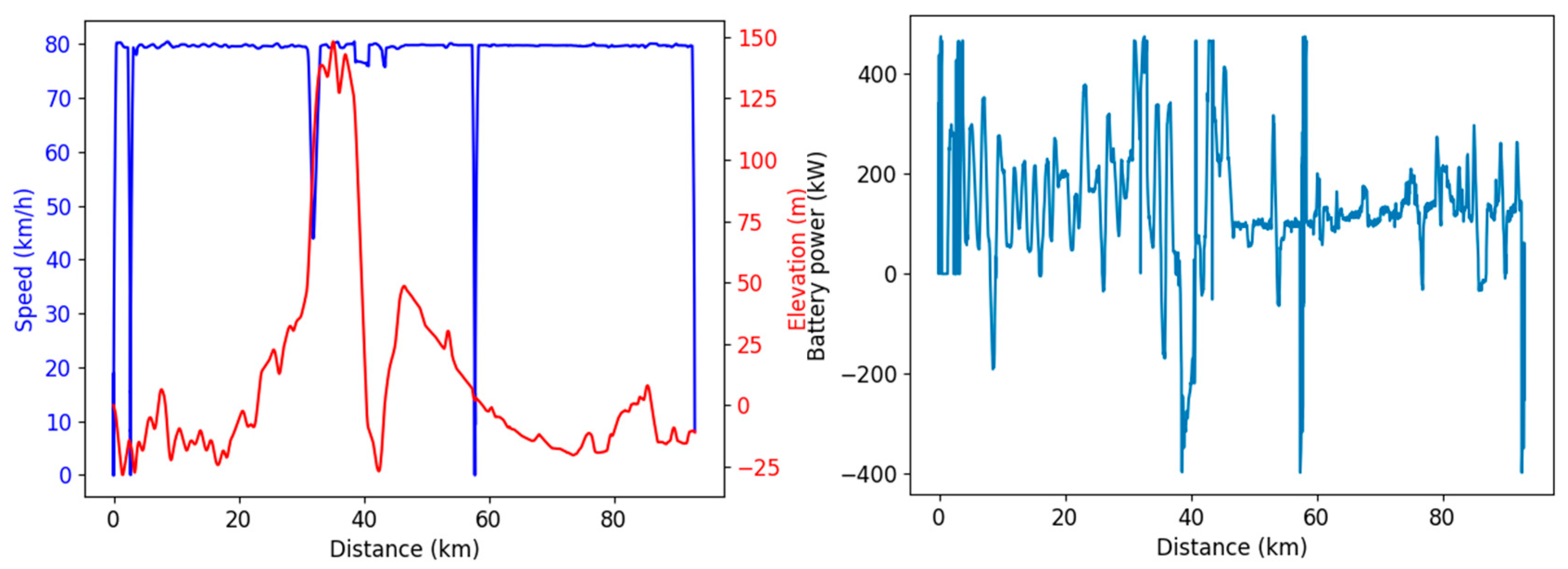
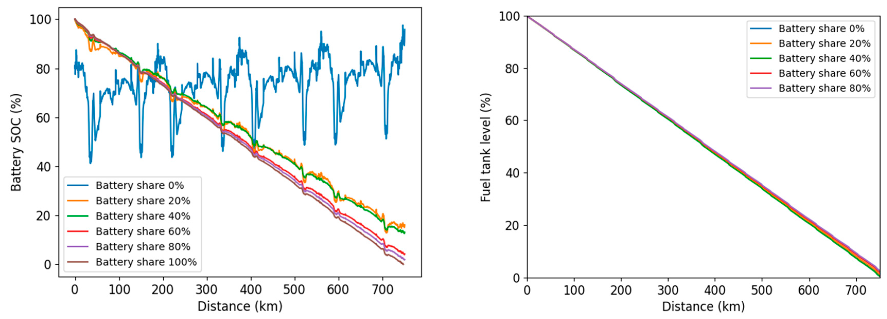
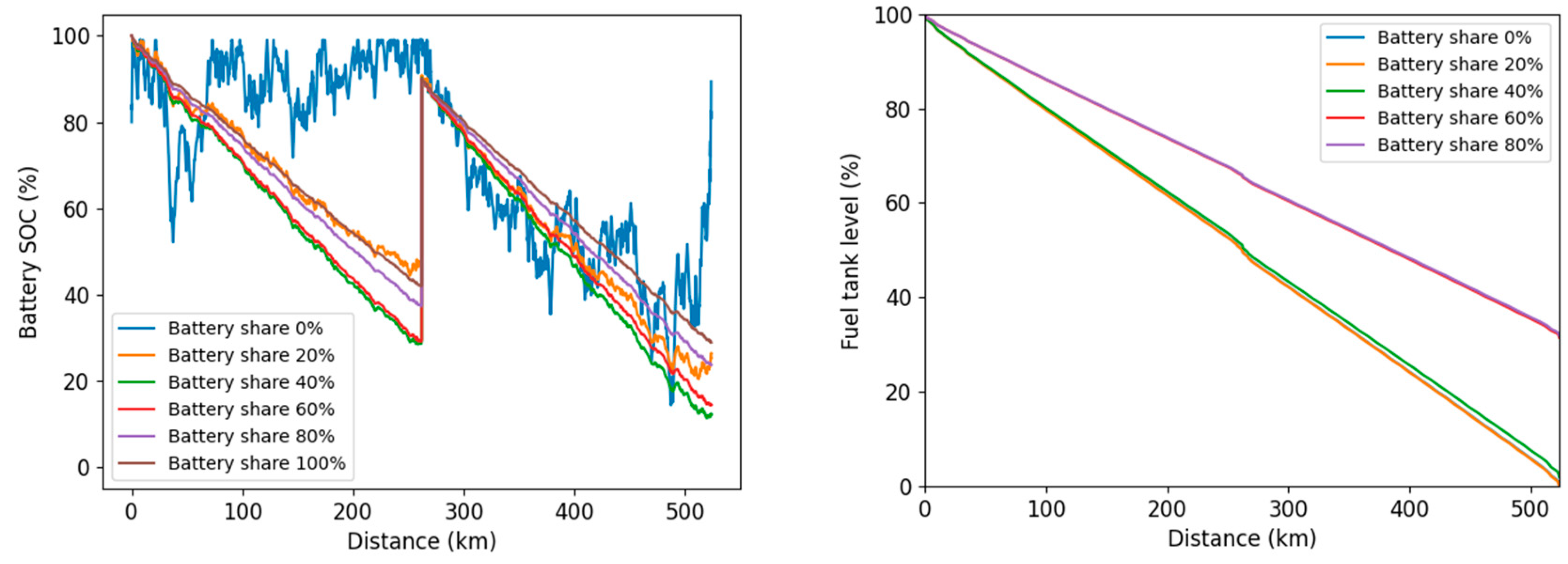
3. Results
4. Discussion and conclusions
Author Contributions
Funding
Data Availability Statement
Acknowledgments
Conflicts of Interest
References
- Delivering the European Green Deal. Available online: https://ec.europa.eu/info/strategy/priorities-2019-2024/european-green-deal/delivering-european-green-deal_en (accessed on 27 October 2022).
- Reducing CO₂ emissions from heavy-duty vehicles. Available online: https://climate.ec.europa.eu/eu-action/transport-emissions/road-transport-reducing-co2-emissions-vehicles/reducing-co2-emissions-heavy-duty-vehicles_en (accessed on 27 October 2022).
- The future is electric – turning a European infrastructure for long-distance freight transport into reality. 2022. Available online: https://traton.com/en/newsroom/current-topics/the-future-is-electric.html (accessed on 26 January 2023).
- Scania builds extremely heavy and extra-long electrified truck for Jula Logistics. 2021. Available online: https://www.scania.com/group/en/home/newsroom/press-releases/press-release-detail-page.html/4101348-scania-builds-extremely-heavy-and-extra-long-electrified-truck-for-jula-logistics (accessed on 26 January 2023).
- The world’s first electric timber truck has been delivered in Sweden, and it can haul 80 tons. 2022. Available online: https://electrek.co/2022/07/07/electric-timber-truck-sweden/ (accessed on 26 January 2023).
- Wibax' electric truck is fully operational. 2022. Available online: https://www.wibax.com/en/wibax-eldrivna-lastbil-ar-i-full-drift/ (accessed on 26 January 2023).
- VECTO – Overview. Available online: https://climate.ec.europa.eu/system/files/2018-12/201811_overview_en.pdf (accessed on 30 March 2023).
- Driving time and rest periods. Available online: https://transport.ec.europa.eu/transport-modes/road/social-provisions/driving-time-and-rest-periods_en (accessed on 30 March 2023).
- M. Ranta et al., Method Including Power Grid Model and Route Simulation to Aid Planning and Operation of an Electric Bus Fleet, 2016 IEEE Vehicle Power and Propulsion Conference (VPPC), 2016, pp. 1-5. [CrossRef]
- J. Anttila, Y. J. Anttila, Y. Todorov, M. Ranta and M. Pihlatie, System-Level Validation of an Electric Bus Fleet Simulator, 2019 IEEE Vehicle Power and Propulsion Conference (VPPC), 2019, pp. 1-5. [CrossRef]
- M. Pihlatie, S. M. Pihlatie, S. Kukkonen, T. Halmeaho, V. Karvonen, N.-O. Nylund, Fully Electric City Buses – The Viable Option, Electric Vehicle Conference (IEVC), 2014 IEEE International. [CrossRef]








| Parameter | |
|---|---|
| Total mass | 40 t / 76 t |
| Empty mass | 16 t / 26 t |
| Tractor axle configuration | 6x4 |
| Motor nominal power | 430 kW |
| Motor nominal speed | 1200 rpm |
| Number of gears | 5 |
| Battery efficiency | 97% |
| Inverter efficiency | 98% |
| Driveline efficiency | 93% |
| Aerodynamic factor CdA | 7.96 m2 / 12.0 m2 |
| Rolling resistance factor | 0.0065 |
| Maximum speed | 80 km/h |
| Share of battery electric operation | Battery size | H2 tank | Fuel cell maximum power | Average fuel cell power | Weight (fuel cell, hydrogen storage, battery) |
|---|---|---|---|---|---|
| 0% | 50 kWh | 85 kg | 230 kW | 133 kW | 2500 kg |
| 20% | 275 kWh | 71 kg | 180 kW | 110 kW | 3210 kg |
| 40% | 549 kWh | 58 kg | 110 kW | 86 kW | 4120 kg |
| 60% | 824 kWh | 42 kg | 57 kW | 57 kW | 5030 kg |
| 80% | 1098 kWh | 21 kg | 29 kW | 29 kW | 5950 kg |
| 100% | 1373 kWh | 0 kg | - | - | 6860 kg |
| GVW 40t nominal case | GVW 76t HCT case | |||||||||
|---|---|---|---|---|---|---|---|---|---|---|
| Share of battery electric operation | Jyväskylä – Vuosaari | Vuosaari – Jyväskylä | Jyväskylä – Vuosaari | Vuosaari – Jyväskylä | ||||||
| Battery electric energy (kWh/km) | Hydrogen energy (kWh/km) | Battery electric energy (kWh/km) | Hydrogen energy (kWh/km) | Battery electric energy (kWh/km) | Hydrogen energy (kWh/km) | Battery electric energy (kWh/km) | Hydrogen energy (kWh/km) | |||
| 0% | -0.04 | 3.72 | 0.05 | 3.70 | -0.04 | 7.59 | 0.02 | 7.52 | ||
| 20% | 0.30 | 3.10 | 0.35 | 3.09 | 0.47 | 5.94 | 0.67 | 5.89 | ||
| 40% | 0.62 | 2.52 | 0.67 | 2.51 | 1.42 | 3.63 | 1.63 | 3.60 | ||
| 60% | 1.02 | 1.84 | 1.08 | 1.83 | 2.20 | 1.88 | 2.38 | 1.86 | ||
| 80% | 1.39 | 0.94 | 1.46 | 0.93 | 2.60 | 0.96 | 2.78 | 0.95 | ||
| 100% | 1.78 | 0.00 | 1.85 | 0.00 | 2.99 | 0.00 | 3.21 | 0.00 | ||
Disclaimer/Publisher’s Note: The statements, opinions and data contained in all publications are solely those of the individual author(s) and contributor(s) and not of MDPI and/or the editor(s). MDPI and/or the editor(s) disclaim responsibility for any injury to people or property resulting from any ideas, methods, instructions or products referred to in the content. |
© 2023 by the authors. Licensee MDPI, Basel, Switzerland. This article is an open access article distributed under the terms and conditions of the Creative Commons Attribution (CC BY) license (https://creativecommons.org/licenses/by/4.0/).