Submitted:
15 August 2023
Posted:
16 August 2023
You are already at the latest version
Abstract
Keywords:
1. Introduction
2. Materials and Methods
2.1. Plant materials and experimental design
2.2. Determination of optimal neodymium nitrate treatment concentration
2.3. Seedling growth and biochemical analyses
2.4. Enzyme activity assays
2.5. Statistical analysis
3. Results
3.1. Neodymium nitrate concentration affects vigor recovery in aged seeds
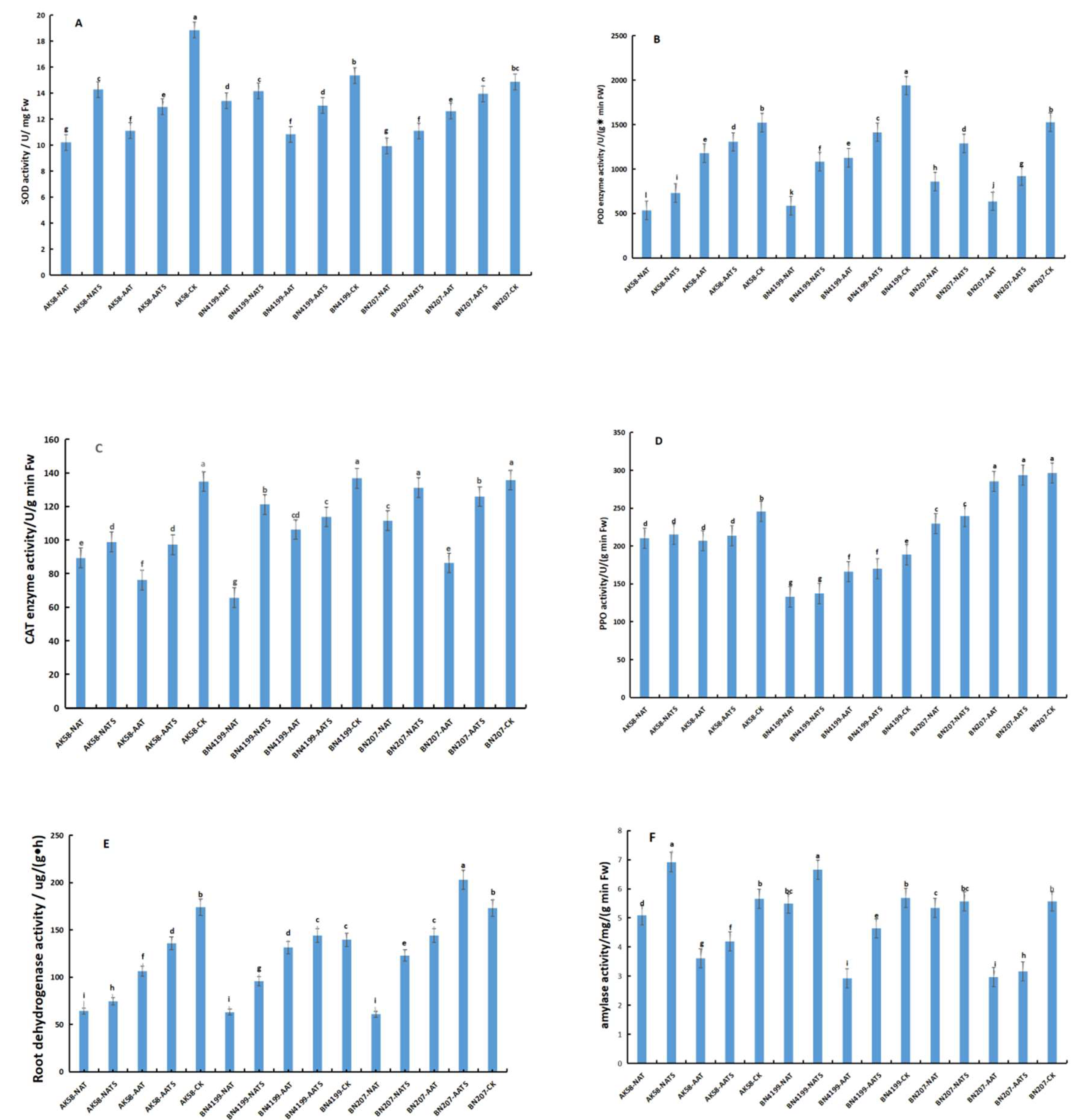
3.2. Effects of neodymium on seed germination and seedling biochemical components
4. Discussion
5. Conclusions
Author Contributions
Funding
Acknowledgments
Conflicts of Interest
References
- YIN, Xundong.; LV, Guangde.; MOU,Qiuhuan.; MI, Yong.; YIN, Fuwei.; LI, Ning.;QIAN, Zhaoguo.; WU, Ke. Effects of Different Sowing amounts on yield and dry matter production and transport of‘Xinmai 296’. Chinese Agricultural Science Bulletin. 2022, 38(34):1-7.
- Kirkwood, T.B.; Melov, S. On the programmed/non-programmed nature of ageing within the life history. Current. Biology Cb. 2011, 21(18):701-707. [CrossRef]
- Matthews, S.; Noli, E.;Demir, I.; Khajeh-Hosseini, M.; Wagner, M.H. Evaluation of seed quality: from physiology to international standardization. Seed Science. Research.2012, 22, 69-73. [CrossRef]
- Die,HU.;Gang,MA.;Wang,Q.;Yao, J.;Wang, YU.;Pritchard, HW.;Wang.X. Spatial and temporal nature of reactive oxygen species production and programmed cell death in elm (ulmus pumila l.) seeds during controlled deterioration. Plant Cell and Environment, 2012,35(aop). [CrossRef]
- Narayana, M.; Kumar, P.P.; Sun, W.Q. Mechanisms of seed ageing under different storage conditions for vigna radiata (l.) wilczek: lipid peroxidation, sugar hydrolysis, maillard reactions and their relationship to glass state transition. Journal of Experimental Botany. 2003,(384), 1057-1067. [CrossRef]
- Siadat, S. A.; Moosavi, A.; Sharafizadeh, M. Effect of seed priming on antioxidant activity and germination characteristics of Maize seeds under different aging treatments. Research Journals of Seed Science. 2012,5(2): 51-62. [CrossRef]
- Delouche, J.C.; Baskin, C.C. Accelerated aging techniques for predicting the relative storability of seed lots. Seed Sci &Technol. 1973,1(2): 427-452.
- Zhang, S.B.; Lv, Y.Y.; Wang, Y. L.; Jia, F.;Wang, J.S.; Hu, Y.S. Physiochemical changes in wheat of different hardnesses during storage. Journal of Stored Products Research. 2017, 72, 161-165. [CrossRef]
- Tian, P. P.; Lv,Y.Y.; Yuan,W.J.; Zhang,S.B.; Hu,Y.S. Effect of artificial aging on wheat quality deterioration during storage. Journal of Stored Products Research. 2019,80,50-56. [CrossRef]
- Calucci,L.;Capocchi,A.;Galleschi,L.;Ghiringhelli,S.;Pinzino,C.;Saviozzi,F.; Zandomeneghi,M. Antioxidants, free radicals, storage proteins, puroindolines, and proteolytic activities in bread wheat (triticum aestivum) seeds during accelerated aging. Journal of Agricultural & Food Chemistry.2004, 52, 4274−4281. [CrossRef]
- Mira, S.; Pirredda, M.; MartínSánchez, M.; Marchessi, J.E.; Martín,C.. DNA methylation and integrity in aged seeds and regenerated plants. Seed Science Research. 2020,30, 92-100. [CrossRef]
- Kranner, I.; Chen, H.;Pritchard, H.W.; Pearce,S.R.; Birti, S. Inter-nucleosomal dna fragmentation and loss of rna integrity during seed ageing. Plant Growth Regulation. 2011,63(1): 63-72. [CrossRef]
- Ahmed, Z.; Yang, H.; Fu, Y.B.The Associative Changes in Scutellum Nuclear Content and Morphology with Viability Loss of Naturally Aged and Accelerated Aging Wheat (Triticum aestivum) Seeds. Front. Plant Sci. 2016, 7:1474. [CrossRef]
- Fu, Y. B.; Yang, M.H.; Horbach, C.; Kessler, D.; Diederichsen, A.; You, F.M.; Wang,H. Patterns of ssr variation in bread wheat (triticum aestivum l.) seeds under ex situ genebank storage and accelerated ageing. Genetic Resources & Crop Evolution. 2017.64(2):277-290. [CrossRef]
- Bailly, C.; El-Maarouf-Bouteau, H.; Corbineau, F. From intracellular signaling networks to cell death: the dual role of reactive oxygen species in seed physiology. Comptes Rendus Biologies.2008,331:806–814. [CrossRef]
- Bellani, L.M.; Salvini, L.; Dell’Aquila,A.; Scialabba, A. Reactive oxygen species release, vitamin E, fatty acid and phytosterol contents of artifificially aged radish (Raphanus sativus L.) seeds during germination. Acta Physiologiae Plantarum. 2012,34:1789–99. [CrossRef]
- Oracz, K.; El-Maarouf-Bouteau, H.; Kranner, I.; Bogatek, R.; Corbineau, F.; Bailly, C. The mechanisms involved in seed dormancy alleviation by hydrogen cyanide unravel the role of reactive oxygen species as key factors of cellular signaling during germination. Plant Physiol 2009.150:494–505. [CrossRef]
- Suliman, M.S.E.; Elradi, S.B.M.; Zhou, G.; Nimir, N.E.A.; Zhu, G.; Ali, A.Y.A. Seeds primed with 5-aminolevulinic acid mitigated temperature and drought stresses of wheat at germination and early seedling growth. Chilean journal of agricultural research. 2022, 82(1):111-123. [CrossRef]
- Samarah, N.H.; AL-Quraan,N.A.; Al-Wraikat, B.S. Ultrasonic treatment to enhance seed germination and vigour of wheat (Triticum durum) in association with γ-aminobutyric acid (GABA) shunt pathway. Functional Plant Biology.2023,. [CrossRef]
- D'Aquino, L.; Pinto, M.C.D.; Nardi, L.; Morgana, M.; Tommasi, F. Effect of some light rare earth elements on seed germination, seedling growth and antioxidant metabolism in triticum durum. Chemosphere. 2009,75(7): 900-905. [CrossRef]
- Rocha, L.; Silva, E.; Pavia, I.; Ferreira, H.; Matos, C.; Osca, J.M.; Moutinho-Pereira, J.; Lima-Brito, J. Seed Soaking with Sodium Selenate as a Biofortifification Approach in Bread Wheat: Effects on Germination, Seedling Emergence, Biomass and Responses to Water Defificit. Agronomy. 2022, 12, 1975. [CrossRef]
- Liu, Y.; Hong, X.U.; Wen, X.X.; Liao, Y.C. Effect of polyamine on seed germination of wheat under drought stress is related to changes in hormones and carbohydrates. Journal of Integrative Agriculture. 2016, 15(12): 2759–2774. [CrossRef]
- Wang, J.; Lv, P.; Yan, D.; Zhang, Z.; Xu, X.; Wang, T.; Wang, Y.; Peng, Z.; Yu, C.; Gao, Y.; et al. Exogenous Melatonin Improves Seed Germination of Wheat (Triticum aestivum L.) under Salt Stress. Int. J. Mol. Sci. 2022, 23, 8436. [CrossRef]
- Hong, F.; Wang, L.; Chao, L. Study of lanthanum on seed germination and growth of rice. Biological Trace Element Research. 2003,94(3), 273-286. [CrossRef]
- Chao, L.; Fashui, H.; Lei, Z. Effects of rare earth elements on vigor enhancement of aged spinach seeds. Journal of Rare Earth. 2004, 22(4), 5. [CrossRef]
- Ramrez-Olvera, S.M; Trejo-Tellez, L.I; Garca-Morales, S.; Perez-Sato, J.A Gomez-Merino, F.C. Cerium enhances germination and shoot growth, and alters mineral nutrient concentration in rice. PLoS ONE. 2018,13(3): e0194691. [CrossRef]
- Sobarzo-Bernal, O.; Gómez-Merino, F.C.; Alcántar-González, G.; Saucedo-Veloz, C.; Trejo-Téllez, L.I. Biostimulant Effects of Cerium on Seed Germination and Initial Growth of Tomato Seedlings. Agronomy. 2021, 11, 1525. [CrossRef]
- Song, K.; Gao, J.; Li, S.; Sun, Y.; Sun, H.; An, B.; Hu, T.; He, X. Experimental and Theoretical Study of the Effects of Rare Earth Elements on Growth and Chlorophyll of Alfalfa (Medicago sativa L.) Seedling. Front.Plant.Sci.2021,12:731838. [CrossRef]
- Fashui H. Study on the mechanism of cerium nitrate effects on germination of aged rice seed. Biol. Trace Elem. Res. 2002,87(1-3):191-200. [CrossRef]
- Gudasi, K.B.; Shenoy, R.V.; Vadavi, R.S.; Patil, M.S.; Patil, S.A.; Hanchinal, R.R.; Desai,S.A.; Lohithaswa, H. Lanthanide(iii) and yttrium(iii) complexes of benzimidazole-2-acetic acid: synthesis, characterisation and effect of la(iii) complex on germination of wheat. Bioinorganic Chemistry and Applications. 2006, (4): 75612. [CrossRef]
- Lu C.H.; Niu H.J.; Qi F.; Liu M.L.; Sun H. Effects of cerium on physiological Parameters of wheat seed germination under salt stress. Agricultural Science and Equipment.2014(6):8-9,11. [CrossRef]
- Guo, B.S.; Zhu, W.M.; Xiong, B.K. Rare Earths in Agriculture, China Agricultural Science and Technology Press, Beijing, pp. 1–22, 45–202 (1988) (in Chinese).
- J. Z. Ni. Bioinorganic Chemistry of Rare Earth Elements, Science Press, Beijing, pp. 13–37 (1995) (in Chinese).
- J. B. Ning. Application of Rare Earths in Agriculture, Hunan Science and Technology Press, Changsha, China pp. 94–98 (1988) (in Chinese).
- Akbari, M.; Heshmati, S.; Soltani, E.; Amini-Debaghi, M. Influence of seed priming on seed yield, oil content and fatty acid composition of safflflower (Carthamus tinctorius L.) grown under water defificit. Int. J. Plant Prod. 2020, 14, 245–258. [CrossRef]
- Matthews,S.;Powell,AA.;Perry,DA.;Hampton,JG.;Tekrony,DM.;Tekrony,D.; Powellrichards,A.; Matheus,S.;Carvalho,NM. Handbook for vigour test methods, the ISTA Vigour Test Committee, 3rd Edition, 1995.
- Wang, J.Q.;Yang, Z.R.;Zhang, F.L.;Zhang, X.Y.; Zhang, D.; Song,Y.J. Effects of different treatments of Rare Earth Elements on the vigor and physiological and biochemical characteristics of allium mongolicum regel seeds. Northern horticulture. 2021,(20):11-17.
- Ritchie,R.J. Consistent sets of spectrophotometric chlorophyll equations for acetone, methanol and ethanol solvents. Photosynth. Res. 2006, 89, 27–41. [CrossRef]
- Sumanta, N.; Choudhury, I.; Haque Nishika, J.; Suprakash, R. Spectrophotometric analysis of chlorophylls and carotenoids from commonly grown fern species by using various extracting solvents. Research Journal of Chemical Sciences, 2014, 4(9):63-69. [CrossRef]
- DuBois, M.; Gilles, K.A.;Hamilton, J.K.; Rebers, P.A.; Smith, F.. Colorimetric method for determination of sugars and related substances. Anal. Chem. 1956, 28, 350–356.
- Lowry, O.H.; Rosebrough, N.J.; Farr, A.L.; Randall, R.J. Protein measurement with the folin phenol reagent. J. Biol. Chem. 1951, 193, 265–275.
- Heath, R.L.; Packer, L. (1968) Photoperoxidation in isolated chloroplasts. I. Kinetics and stoichiometry of fatty acid peroxidation. Archives of Biochemistry and Biophysics.1968, 125, 189–198.
- C. Beauchamp, I. Fridovich, Superoxide dismutase: improved assays and an assay applicable to acrylamide gels, Anal. Biochem. 1971,44 (1) ,. [CrossRef]
- Y. Nakano.; K. Asada. Hydrogen peroxide is scavenged by ascorbate-specific peroxidase in spinach chloroplasts, Plant Cell Physiol. 1981, 22 (5),. [CrossRef]
- E.A. Havir.; N.A. McHale. Biochemical and developmental characterization of multiple forms of catalase in tobacco leaves, Plant Physiol. 1987, 84 (2),. [CrossRef]
- B.K. Baik; Z. Czuchajowska; Y. Pomeranz. Comparison of Polyphenol Oxidase Activities in Wheats and Flours from Australian and U.S. Cultivars. Journal of Cereal Science. 1994, 19(3):291-296. [CrossRef]
- Ejazul, I.; Yang, X.; Li, T. Q.; Liu, D.; Jin, X. F.; Meng, F. H. Effect of Pb toxicity on root morphology, physiology and ultrastructure in the two ecotypes of Elsholtzia argyi. J. Hazard. Mater.2007, 147, 806–816. [CrossRef]
- Earbi, M.B.; Khemiri, H.; Jridi, T.; Hamida, J.B. Purification and characterization of α-amylase from safflower (Carthamus tinctorius L.) germinating seeds. Comptes Rendus Biologies. 2009,332, 426-432. [CrossRef]
- Li,Y.; Hu, Q.. Effect of Bacillus subtilis QM3 on β-amylase isoenzyme in early germination of wheat seed. South Asian Jounal of Research in Microbiology. 2020,6(2): 24-32. [CrossRef]
- XU,Jian-Jun.; JIANG,Bo.; XU,Shi-Ying. Rapid determination of glutamate decarboxylase activity from lactic acid bacteria by spectrometric method and its application. Bulletin of Microbiology.2004,31(2):66-71. [CrossRef]
- Rifna,E.J.; Ramanan, R.;Radhakrishnan, M.. Emerging technology applications for improving seed germination. Trends in Food Science & Technology. 2019,86(4), 95-108. [CrossRef]
- Probert, R.; Adams, J.; Coneybeer, J.; Crawford, A.; Hay, F.. Seed quality for conservation is critically affected by pre-storage factors. Aust. J. Bot. 2007, 55, 326–335.doi.org/10.1071/BT06046.
- Zhou, W.; Chen, F.; Zhao, S.; Yang, C.; Meng, Y.; Shuai, H.; Luo, X.;Dai, Y.; Yin, H.; Du, J.; Liu, J.; Fan, G..; Liu, W.; Yang, W.; Shu, K.. DA-6 promotes germination and seedling establishment from aged soybean seeds by mediating fatty acid metabolism and glycometabolism. J. Exp. Bot. 2019,70, 101–114. [CrossRef]
- Xia, F.; Cheng, H.; Chen, L.; Zhu, H.; Mao, P.; Wang, M.. Inflfluence of exogenous ascorbic acid and glutathione priming on mitochondrial structural and functional systems to alleviate aging damage in oat seeds. BMC Plant Biol.2020, 20, 104. [CrossRef]
- Sheng,Y.; Xiao, H.; Guo, C.;Wu,H.;Wang,X.. Effects of exogenous gamma-aminobutyric acid on α-amylase activity in the aleurone of barley seeds. Plant Physiology & Biochemistry. 2018,127, 39. [CrossRef]
- Pawar, V.A., Laware, S.L. Seed priming a critical review. Int. J. Sci. 2018, 5, 94–101.
- Luo, J.; Zhang, J.; Wang, Y.. Changes in endogenous hormone levels and redox status during enhanced adventitious rooting by rare earth element neodymium of Dendrobium densiflflorum shoot cuttings. Journal of Rare Earths. 2008,26(6), 869–874. [CrossRef]
- Rezaee, A.; Hale, B.; Santos, R. M.; Chiang, Y.W.. Accumulation and toxicity of lanthanum and neodymium in horticultural plants (Brassica chinensis L. and Helianthus annuus L.). Canadian Journal of Chemical Engineering. 2018, 96(10), 2263–2272.
- Lu,N.H.; Wu, L.M.; Yang, R.H.; Li, I.; Shan, C.J.. Neodymium improves the activity of ascorbate-glutathione cycle and chloroplast function of wheat seedlings under chromium stress. Photosynthetica. 2020,58(3).
- Tongu, Muhammet.; Guler, Mustafa.; Onder, Sercan. Germination, reserve metabolism and antioxidant enzyme activities in safflower as affected by seed treatments after accelerated. South African Journal of Botany.2023,(153):209-218.
- Sattler, S.E.; Gilliland, L.U.; Magallanes-Lundback, M.; Pollard, M.; DellaPenna, D.. Vitamin E is essential for seed longevity and for preventing lipid peroxidation during germination. Plant Cell. 2004,16, 1419-1432.
- Ben-Moumen, A.B.; Masouri, F.; Richard, G..; Fauconnier, M.L.; Sindic, M.; Nabloussi, A.; Elamrani, A.; Caid, H.S.. Variations in the phytosterol and tocopherol compositions and the oxidative stability in seed oils from four safflower (Carthamus tinctorius L.) varieties grown in north-eastern Morocco. Int. J. Food Sci. Technol. 2015,50, 2264-2270.
- Singh, B.;Amritphale, D. Effect of seed aging on chlorophyll(ide) accumulation and Hill activity in greening soybean seedling cotyledons.Photosynthetica.1992,26(3):455-459.
- Smolikova, G.N.; Laman, N.A.; Boriskevich, O.V. Role of chlorophylls and carotenoids in seed tolerance to abiotic stressors. Russ J Plant Physiol. 2011, 58, 965–973. [CrossRef]
- Howitt, C.A.; Pogson, B.J. Carotenoid accumulation and function in seeds and non-green tissues. Plant Cell & Environment. 2006, 29(3) : 435–445.
- Xin, X.; Tian, Q.; Yin, G.; Chen, X.; Zhang, J.; Ng, S.; Lu, X. Reduced mitochondrial and ascorbate–glutathione activity after artificial ageing in soybean seed. Journal of Plant Physiology. 2014, 171(2), 140-147.
- Yalamalle, V. R.; Ithape, D. M.; Kumar, A.; Bhagat, K.; Singh, M.. Seed treatment with 5-azacytidine reduces ageing-induced damage in onion seeds. Seed Science and Technology. 2020,48(3), 407-412.
- Patricia, A.; Cabas-Lühmann.; Manthey, F. A.; Elias, E. M.. Variations of colour, polyphenol oxidase and peroxidase activities during the production of low temperature dried pasta in various durum wheat genotypes. International Journal of Food Science & Technology.2021, 56(9):4700-4709. [CrossRef]
- Raj, S.N.; Sarosh, B.R.; Shetty, H.S. Induction and accumulation of polyphenol oxidase activities as implicated in development of resistance against pearl millet downy mildew disease. Functional Plant Biology.2006, 33.
- Smritimala.; Ganguli.; Swati.; Sen-Mandi. Effects of ageing on amylase activity and scutellar cell structure during imbibition in wheat seed. Annals of Botany, 1993, 71(5), 411-416.
- Chauhan, D.S.; Deswal, D.P.; Dahiya, O.S.; Punia, R.C. Change in storage enzymes activities in natural and accelerated aged seed of wheat (triticum aestivum). Indian Journal of Agricultural Sciences. 2011,81(11).
- Hu,Qing-ping.; Guo, Jing.; Liu, Jing-jing.Wheat seed germination based on α-amylase activity to study promoting mechanism of Bacillus subtilis QM3.Journal of Seed Science. 2022,44, e202244039.
- Sharma, S.; Punia, R.C.; Singh, V.; Mor, V.; Tanwar, H. Genetic Divergence Analysis Based on Seed Vigour Parameters in Wheat. seed research.2017,45(2):105-110.
- AL-Quraan, N.; Al-Ajlouni, Z.; Obedat, DI.The GABA shunt pathway in germinating seeds of wheat (Triticum aestivum L.) and barley (Hordeum vulgare L.) under salt stress.seed science research. 2019,29(4):250-260.
- Kaspal, M.; Kanapaddalagamage, M.H.; Ramesh, S.A. Emerging roles of γ aminobutyric acid (gaba) gated channels in plant stress tolerance. Plants. 2021, 10(10), 2178.
- AL-Quraan, NA.; Samarah, N.H.; Tanash, A.A. Effect of drought stress on wheat (Triticum durum) growth and metabolism: insight from GABA shunt, reactive oxygen species and dehydrin genes expression.functional plant biology. 2022,(11). [CrossRef]
- Xu, B.; Long, Y.; Feng, X.; Zhu, X.; Gilliham, M. Gaba signalling modulates stomatal opening to enhance plant water use efficiency and drought resilience. Nature Communications. 2021,12(1), 1952.


| Cultivars | Treatments | GP (%) | GI | VI | Ca [mg/(g Fw)] |
Cb [mg/(g Fw)] |
Cc [mg/(g Fw)] |
Total soluble sugars [ug/(mg Fw)] |
Total soluble proteins [mg/(g Fw)] |
MDA [umol/(gFw)] |
|---|---|---|---|---|---|---|---|---|---|---|
| AK58 | NAT | 28.3de | 32.75d | 5.06e | 0.2982d | 0.1315d | 0.0631c | 5.6709f | 8.3583d | 4.3804b |
| NATS | 30.7de | 34.7d | 5.23e | 0.3437bc | 0.1669a | 0.0694b | 10.9715b | 9.0446bc | 3.1320d | |
| AAT | 26.7e | 26.7e | 4.17f | 0.2713e | 0.1226e | 0.0497d | 5.3190f | 7.9680e | 4.3730b | |
| AATS | 27.3e | 27.15e | 4.57f | 0.3083d | 0.1347d | 0.0607c | 9.6892c | 10.5629a | 3.5234c | |
| Control | 51.3a | 56.65a | 7.43c | 0.2989d | 0.1348d | 0.0683c | 11.9787a | 9.6455b | 4.2432b | |
| BN4199 | NAT | 34.4d | 41.80c | 6.33d | 0.3584b | 0.1697a | 0.0692c | 11.0625b | 6.4821g | 4.8196a |
| NATS | 40.5c | 46.75bc | 7.39c | 0.3776a | 0.1702a | 0.0764b | 11.8576a | 8.9129c | 3.3012cd | |
| AAT | 17.2g | 18.15g | 3.27g | 0.3625a | 0.1637b | 0.0713b | 6.7320e | 8.0038d | 4.6907a | |
| AATS | 21.2f | 23.45f | 3.88g | 0.3762a | 0.1727a | 0.0728b | 10.4423bc | 8.4193d | 3.4415c | |
| Control | 51.0a | 48.25b | 8.81b | 0.3676a | 0.1731a | 0.0789b | 11.7757a | 9.0789bc | 4.2265b | |
| BN207 | NAT | 46.0b | 46.5bc | 8.00bc | 0.3402bc | 0.1380d | 0.0729b | 5.9967f | 7.0605f | 4.8511a |
| NATS | 52.7a | 50.15b | 8.85b | 0.3543b | 0.1484c | 0.0809a | 10.2929bc | 7.4233f | 3.4409c | |
| AAT | 8.7h | 8.83i | 1.45h | 0.2807de | 0.1182f | 0.0530d | 8.0325d | 6.8769fg | 4.6050a | |
| AATS | 14.0g | 11.08h | 1.66h | 0.2917d | 0.1291e | 0.0540d | 10.2277bc | 8.9409c | 3.1254d | |
| Control | 52.0a | 54.31a | 9.48a | 0.3478bc | 0.1464c | 0.0731b | 11.3270a | 9.1346b | 4.2637b |
Disclaimer/Publisher’s Note: The statements, opinions and data contained in all publications are solely those of the individual author(s) and contributor(s) and not of MDPI and/or the editor(s). MDPI and/or the editor(s) disclaim responsibility for any injury to people or property resulting from any ideas, methods, instructions or products referred to in the content. |
© 2023 by the authors. Licensee MDPI, Basel, Switzerland. This article is an open access article distributed under the terms and conditions of the Creative Commons Attribution (CC BY) license (http://creativecommons.org/licenses/by/4.0/).