Submitted:
08 August 2023
Posted:
16 August 2023
You are already at the latest version
Abstract
Keywords:
1. Introduction
2. MOA
3. MMOA
3.1. Good Point Set Initialization
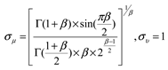
3.2. Nonlinear Search Radius
3.3. Global Search
3.4. Local Search
3.5. Algorithm Flow
- Initialize the population Np using the good point set; set the maximum size Nr of external archives and maximum number of iterations T; perform non-dominated sorting among the initial solutions, update the external archives, and record the global optimum and local optima;
- While (t < T)
- Select Np individuals randomly as the current global atoms from external archives;
- for i = 1: Np
- for j = 1: Np - i+1
- Using formula (9), locally develop each local atom based on the upper triangular structural body, update the positions of current local atoms, and calculate their fitness;
- Perform non-dominated sorting among all current atoms and add non-dominated individuals into the external archives;
- end for
- end for
- Update the local optimal solutions and the global optimal solution;
- Update the parameters R and C2;
- t = t + 1;
- end while;
- Output all solutions in the set of external archives
4. Simulation experiment
4.1. Experiment Setup
- Performance indexes
- Inverted Generational Distance (IGD)
- 2.
- Spatial Index (SP)
- 3.
- Hypervolume (HV)
4.2. Experimental Results and Analysis
4.3. Engineering Application
5. Conclusions
- adopting the good point set for initialization of searching atoms, which is conducive to increasing population diversity and avoiding the dependence of the algorithm on the initial solutions;
- implementing the nonlinear adaptive search radius, which has the capacity of balancing global search avoiding blind search and accelerating optimization with effectiveness;
- improving the global atom setting method in the single-objective MOA, configuring external archives through fast non-dominated sorting and novel crowding distance, and randomly selecting from external archives searching atoms as global atoms for global search;
- improving the formula for local atoms in the single-objective MOA, and introducing Levy Flight and Sine chaotic mapping, by which to impose perturbation as the search radius decreases to increase population diversity and boost the algorithm’s optimization efficiency and convergence rate of the algorithm.
Author Contributions
Funding
Institutional Review Board Statement
Informed Consent Statement
Data Availability Statement
Acknowledgments
Conflicts of Interest
References
- T, Y.; Z, X.; Z, X.; J, Y. Efficient Large-Scale Multiobjective Optimization Based on a Competitive Swarm Optimizer. IEEE T. Cybern. 2020, 50, 3696–3708. [Google Scholar] [CrossRef]
- Wang, J.; Yang, W.; Du, P.; Niu, T. A novel hybrid forecasting system of wind speed based on a newly developed multi-objective sine cosine algorithm. Energy Conv. Manag. 2018, 163, 134–150. [Google Scholar] [CrossRef]
- Dong, J.; Dou, Z.; Si, S.; Wang, Z.; Liu, L. Optimization of Capacity Configuration of Wind–Solar–Diesel–Storage Using Improved Sparrow Search Algorithm. J. Electr. Eng. Technol. 2022, 17, 1–14. [Google Scholar] [CrossRef]
- Z, Wen. ; J, Xie.; G, Xie.; et al. Multi-objective Sparrow Search Algorithm Based on New Crowding Distance. Computer Engineering and Applications 2021, 57, 102–109. (In Chinese) [Google Scholar] [CrossRef]
- Zhang, K.; Shen, C.N.; Liu, X.M.; Yen, G.G. Multiobjective Evolution Strategy for Dynamic Multiobjective Optimization. IEEE Trans. Evol. Comput. 2020, 24, 974–988. [Google Scholar] [CrossRef]
- Gou, C.; Shi, X.; Li, B.; Li, T.; Liu, L.; Zhang, Q.; Liu, Y. A novel multivariant optimization algorithm for multimodal optimization. in 2013 6th International Congress on Image and Signal Processing (CISP 2013), 2013, 3, 1623–1627. [Google Scholar] [CrossRef]
- Li, B. The study on the multivariant optimization process memorise algorithm and multimodal optimization under the dynamic and static condition. Doctor thesis, Yunnan University Kunmming, 2015. (In Chinese)
- Li, B.; Lv, D.; Zhang, Q. et al. On asymptotic property of multivariant optimization algorithm. Control Theory & Applications, 2015, 32, 169–177. (In Chinese) [Google Scholar] [CrossRef]
- Li, B.; Shi, X.; Gou, C. et al. On the convergence of multivariant optimization algorithm. Applied Soft Computing 2016, 48, 230–239. [Google Scholar] [CrossRef]
- B, Li.; D, Lv.; L, Liu. ; X, Shi.; J, Chen.; Y, Zhang. On accessibility of multivariant optimization algorithm. Systems Engineering and Electronics 2015, 37, 1670–1675. (In Chinese) [Google Scholar] [CrossRef]
- Li, B.; Lv, D.; Q, Zhang. ; X, Shi.; J, Chen.; Y, Zhang. A Path Planner Based on Multivariant Optimization Algorithm. Acta Electronica Sinica 2016, 44, 2242–2247. (In Chinese) [Google Scholar] [CrossRef]
- Zhang,Q. ; Li,B.; Liu, Y. et al. Data clustering using multivariant optimization algorithm. Int. J. Mach. Learn. Cybern. 2016, 7, 773–782. [Google Scholar] [CrossRef]
- S, Li.; X, Shi. ; S, Zhang.; Y, Dong.; L, Gao. Multi-variant Optimization Algorithm for Three Dimensional Container Loading Problem. ACTA AUTOMATICA SINICA 2018, 44, 106–115. (In Chinese) [Google Scholar] [CrossRef]
- Deb, K.; Pratap, A.; Agarwal, S.; Meyarivan, T. A fast and elitist multiobjective genetic algorithm: NSGA-II. IEEE Trans. Evol. Comput. 2002, 6, 182–197. [Google Scholar] [CrossRef]
- Yan, S.; Yang, P.; Zhu, D. et al. Improved sparrow search algorithm based on good point set. Journal of Beijing University of Aeronautics and Astronautics 2021. (In Chinese). [CrossRef]
- MA, W.; Zhu, X. Sparrow Search Algorithm Based on Levy Flight Disturbance Strategy. JOURNAL OF APPLIED SCIENCES — Electronics and Information Engineering 2022, 40, 116–130. [Google Scholar] [CrossRef]
- Zhao, X. Research on optimization performance compasion of different one-dimensional chaotic maps. Application Research of Computers 2012, 29, 913–915. (In Chinese) [Google Scholar] [CrossRef]
- Zhang, Q.; Li, H. MOEA/D: A Multiobjective Evolutionary Algorithm Based on Decomposition. IEEE Trans. Evol. Comput. 2007, 11, 712–731. [Google Scholar] [CrossRef]
- Islam, Q.N.U.; Ahmed, A.; Abdullah, S.M. Optimized controller design for islanded microgrid using non-dominated sorting whale optimization algorithm (NSWOA). Ain Shams Eng J 2021, 12, 3677–3689. [Google Scholar] [CrossRef]
- Mirjalili, S.; Saremi, S.; Mirjalili, S.M.; Coelho, L.D.S. Multi-objective grey wolf optimizer: A novel algorithm for multi-criterion optimization. Expert Syst. Appl. 2016, 47, 106–119. [Google Scholar] [CrossRef]
- Jangir, P.; Trivedi, I.N. Non-Dominated Sorting Moth Flame Optimizer: A Novel Multi-Objective Optimization Algorithm for Solving Engineering Design Problems. Engineering Technology Open Access Journal 2018, 2. [Google Scholar] [CrossRef]
- Audet, C.; Bigeon, J.; Cartier, D.; Le Digabel, S.; Salomon, L. Performance indicators in multiobjective optimization. Eur. J. Oper. Res. 2021, 292, 397–422. [Google Scholar] [CrossRef]
- Khodadadi, M.; Azizi, S. Talatahari.; P, Sareh. Multi-Objective Crystal Structure Algorithm (MOCryStAl): Introduction and Performance Evaluation. IEEE Access 2021, 9, 117795–117812. [Google Scholar] [CrossRef]





| Function Name | Number of Objective Functions | Dimensions |
|---|---|---|
| ZDT1 | 2 | 30 |
| ZDT2 | 2 | 30 |
| ZDT3 | 2 | 30 |
| ZDT4 | 2 | 30 |
| DTLZ6 | 3 | 12 |
| DTLZ7 | 3 | 22 |
| Test Function | Index | MMOA | NSGAII | MOEAD | NSWOA | MOGWO | NSMFO |
|---|---|---|---|---|---|---|---|
| ZDT1 | mean | 3.36E-03 | 4.28E-01 | 5.29E-01 | 3.48E-03 | 6.07E-03 | 2.68E-02 |
| std | 1.78E-04 | 2.17E-01 | 5.49E-01 | 1.10E-03 | 2.14E-03 | 1.54E-02 | |
| t-test | + | + | + | = | = | + | |
| ZDT2 | mean | 3.05E-03 | 1.18E+00 | 1.93E+00 | 3.51E-03 | 4.89E-01 | 7.99E-02 |
| std | 2.03E-04 | 1.55E-01 | 7.29E-01 | 1.75E-04 | 2.42E-01 | 3.26E-02 | |
| t-test | + | + | + | + | + | + | |
| ZDT3 | mean | 3.68E-03 | 5.15E-01 | 7.82E-01 | 4.66E-03 | 6.49E-02 | 2.74E-02 |
| std | 4.30E-04 | 1.00E-01 | 1.81E-01 | 5.98E-04 | 1.60E-01 | 5.38E-03 | |
| t-test | + | + | + | + | + | + | |
| ZDT4 | mean | 2.99E-03 | 1.74E+00 | 7.19E+00 | 3.31E-03 | 4.51E-01 | 9.56E-01 |
| std | 1.16E-04 | 2.73E-01 | 8.21E+00 | 1.65E-04 | 5.67E-01 | 1.33E+00 | |
| t-test | + | + | + | - | + | + | |
| DTLZ6 | mean | 2.83E-01 | 8.36E-01 | 1.12E+00 | 2.72E-01 | 8.79E-01 | 7.60E-01 |
| std | 2.96E-02 | 7.10E-02 | 6.20E-02 | 2.54E-02 | 8.94E-02 | 1.43E-01 | |
| t-test | + | + | + | = | + | + | |
| DTLZ7 | mean | 6.51E-02 | 2.13E+00 | 4.35E+00 | 3.12E+00 | 6.76E-02 | 1.16E+00 |
| std | 2.80E-03 | 4.01E-01 | 4.92E-01 | 1.45E+00 | 4.28E-03 | 3.57E-01 | |
| t-test | + | + | + | + | + | + |
| Test Function | Index | MMOA | NSGAII | MOEAD | NSWOA | MOGWO | NSMFO | |
|---|---|---|---|---|---|---|---|---|
| ZDT1 | mean | 3.56E-03 | 2.60E-02 | 6.49E-03 | 3.69E-03 | 8.07E-03 | 3.44E-02 | |
| std | 3.62E-04 | 1.24E-02 | 6.28E-03 | 5.56E-04 | 1.16E-03 | 1.83E-02 | ||
| t-test | + | + | + | + | + | + | ||
| ZDT2 | mean | 3.24E-03 | 4.82E-02 | 3.05E-02 | 4.22E-03 | 1.60E-03 | 6.83E-02 | |
| std | 2.43E-04 | 1.83E-02 | 6.18E-02 | 2.76E-04 | 3.37E-03 | 3.13E-02 | ||
| t-test | + | + | + | = | - | + | ||
| ZDT3 | mean | 4.25E-03 | 4.46E-02 | 6.24E-03 | 4.63E-03 | 7.99E-03 | 4.24E-02 | |
| std | 9.65E-05 | 1.27E-02 | 8.93E-03 | 8.33E-04 | 2.80E-03 | 8.71E-03 | ||
| t-test | + | + | + | + | + | + | ||
| ZDT4 | mean | 4.54E-03 | 4.16E-02 | 1.31E+00 | 4.68E-03 | 4.73E-03 | 1.17E-01 | |
| std | 6.62E-04 | 3.89E-02 | 1.94E+00 | 3.07E-04 | 4.52E-03 | 1.36E-01 | ||
| t-test | + | + | + | + | + | + | ||
| DTLZ6 | mean | 5.54E-03 | 3.75E-01 | 1.54E-02 | 5.80E-03 | 8.44E-03 | 2.37E-01 | |
| std | 3.13E-04 | 2.59E-02 | 2.26E-02 | 3.54E-04 | 8.37E-04 | 1.62E-01 | ||
| t-test | + | + | + | + | + | + | ||
| DTLZ7 | mean | 8.74E-03 | 9.04E-02 | 5.39E-02 | 5.52E-02 | 6.78E-03 | 1.13E-01 | |
| std | 8.09E-03 | 1.06E-02 | 1.39E-02 | 6.23E-03 | 1.30E-02 | 5.27E-02 | ||
| t-test | + | + | + | = | - | + | ||
| Test Function | Index | MMOA | NSGAII | MOEAD | NSWOA | MOGWO | NSMFO |
|---|---|---|---|---|---|---|---|
| ZDT1 | mean | 7.19E-01 | 2.02E-01 | 2.06E-01 | 7.19E-01 | 7.17E-01 | 6.93E-01 |
| std | 8.30E-04 | 1.14E-01 | 1.34E-01 | 7.81E-04 | 1.22E-03 | 9.48E-03 | |
| ZDT2 | mean | 4.45E-01 | 0.00E+00 | 0.00E+00 | 4.46E-01 | 1.61E-01 | 3.56E-01 |
| std | 6.75E-04 | 0.00E+00 | 0.00E+00 | 4.88E-04 | 1.48E-01 | 4.28E-02 | |
| ZDT3 | mean | 5.99E-01 | 2.61E-01 | 1.01E-01 | 6.00E-01 | 5.76E-01 | 5.98E-01 |
| std | 2.85E-04 | 7.14E-02 | 8.50E-02 | 7.48E-04 | 6.87E-02 | 1.64E-02 | |
| ZDT4 | mean | 7.21E-01 | 0.00E+00 | 7.06E-04 | 7.21E-01 | 4.29E-01 | 3.97E-01 |
| std | 2.04E-04 | 0.00E+00 | 2.12E-03 | 3.06E-04 | 3.43E-01 | 3.74E-01 | |
| DTLZ6 | mean | 2.01E-01 | 0.00E+00 | 7.22E-02 | 2.01E-01 | 1.99E-01 | 1.06E-01 |
| std | 9.65E-05 | 0.00E+00 | 9.33E-02 | 2.46E-05 | 6.20E-04 | 4.17E-02 | |
| DTLZ7 | mean | 2.69E-01 | 5.57E-04 | 3.95E-04 | 2.70E-01 | 1.42E-01 | 2.45E-01 |
| std | 2.95E-03 | 6.21E-04 | 8.62E-04 | 5.06E-03 | 4.37E-02 | 1.96E-02 |
| Evaluation Index | MMOA | NSGAII | MOEA/D | NSWOA | MOGWO | NSMFO | |
|---|---|---|---|---|---|---|---|
| SP | mean | 2.34E-03 | 6.15E-02 | 4.18E-02 | 1.32E-01 | 6.63E-02 | 4.56E-01 |
| std | 2.49E-03 | 5.61E-02 | 3.57E-03 | 1.11E-01 | 8.81E-03 | 2.98E-01 | |
| runtime | mean | 6.48E+01 | 3.42E+02 | 1.91E+02 | 4.97E+01 | 2.56E+02 | 8.51E+01 |
| std | 4.05E+00 | 4.94E+01 | 1.95E+01 | 4.17E+00 | 2.15E+01 | 7.07E+00 | |
Disclaimer/Publisher’s Note: The statements, opinions and data contained in all publications are solely those of the individual author(s) and contributor(s) and not of MDPI and/or the editor(s). MDPI and/or the editor(s) disclaim responsibility for any injury to people or property resulting from any ideas, methods, instructions or products referred to in the content. |
© 2023 by the authors. Licensee MDPI, Basel, Switzerland. This article is an open access article distributed under the terms and conditions of the Creative Commons Attribution (CC BY) license (http://creativecommons.org/licenses/by/4.0/).