Submitted:
05 August 2023
Posted:
08 August 2023
You are already at the latest version
Abstract
Keywords:
1. Introduction
2. Materials and Methods
2.1. Chemicals – Oregano Extract
2.2. Silver Nanoparticle Synthesis
2.3. Characterization techniques
2.4. Statistical Analysis and Experimental Design
3. Results and Discussion
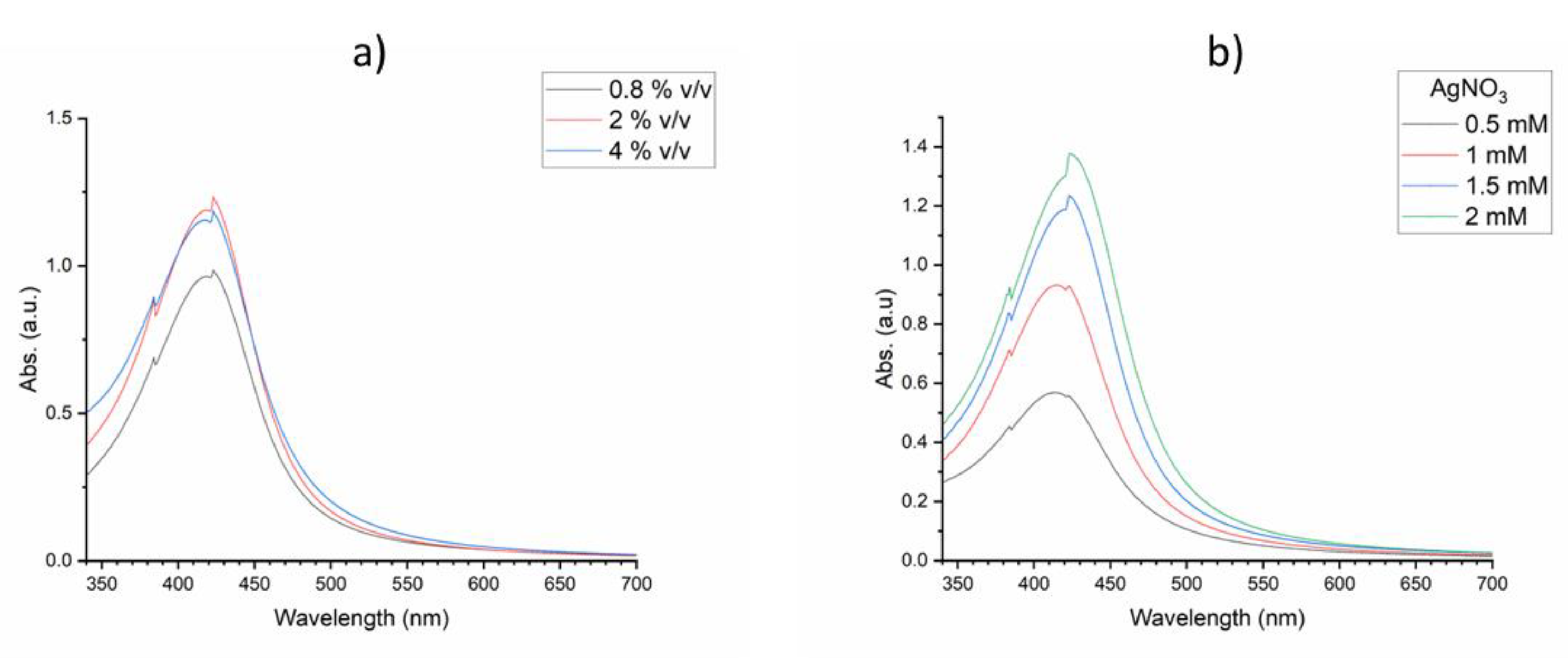
3.1. UV – Vis spectra analysis
3.2. Statistical modelling of AgNPs synthesis
3.3. XRD
3.4. FTIR
4. Conclusions
Supplementary Materials
Author Contributions
Funding
Acknowledgments
Conflicts of Interest
References
- Shaik, M. R.; Khan, M.; Kuniyil, M.; Al-Warthan, A.; Alkhathlan, H. Z.; Siddiqui, M. R. H.; Shaik, J. P.; Ahamed, A.; Mahmood, A.; Khan, M.; et al. Plant-Extract-Assisted Green Synthesis of Silver Nanoparticles Using Origanum Vulgare L. Extract and Their Microbicidal Activities. Sustainability (Switzerland) 2018, 10. [Google Scholar] [CrossRef]
- T. Galatage, S.; S. Hebalkar, A.; V. Dhobale, S.; R. Mali, O.; S. Kumbhar, P.; V. Nikade, S.; G. Killedar, S. Silver Nanoparticles: Properties, Synthesis, Characterization, Applications and Future Trends. In Silver Micro-Nanoparticles - Properties, Synthesis, Characterization, and Applications; IntechOpen, 2021. [Google Scholar] [CrossRef]
- Roy, S.; Rhim, J. W. Starch/Agar-Based Functional Films Integrated with Enoki Mushroom-Mediated Silver Nanoparticles for Active Packaging Applications. Food Biosci 2022, 49. [Google Scholar] [CrossRef]
- Saravanan, A.; Kumar, P. S.; Hemavathy, R. V.; Jeevanantham, S.; Jawahar, M. J.; Neshaanthini, J. P.; Saravanan, R. A Review on Synthesis Methods and Recent Applications of Nanomaterial in Wastewater Treatment: Challenges and Future Perspectives. Chemosphere 2022, 307. [Google Scholar] [CrossRef]
- Sharma, K.; Guleria, S.; Salaria, K. H.; Majeed, A.; Sharma, N.; Pawar, K. D.; Thakur, V. K.; Gupta, V. K. Photocatalytic and Biological Properties of Silver Nanoparticles Synthesized Using Callistemon Lanceolatus Leaf Extract. Ind Crops Prod 2023, 202. [Google Scholar] [CrossRef]
- Barabadi, H.; Honary, S.; Ebrahimi, P.; Alizadeh, A.; Naghibi, F.; Saravanan, M. Optimization of Myco-Synthesized Silver Nanoparticles by Response Surface Methodology Employing Box-Behnken Design. Inorganic and Nano-Metal Chemistry 2019, 49, 33–43. [Google Scholar] [CrossRef]
- Mikołajczak, A.; Ligaj, M.; Kobus-Cisowska, J. Temperature Optimization by Electrochemical Method for Improving Antioxidant Compound Extraction Efficiency from Origanum Vulgare L. and Its Application in a Bread Production. Sustainability (Switzerland) 2022, 14. [Google Scholar] [CrossRef]
- Hambardzumyan, S.; Sahakyan, N.; Petrosyan, M.; Nasim, M. J.; Jacob, C.; Trchounian, A. Origanum Vulgare L. Extract-Mediated Synthesis of Silver Nanoparticles, Their Characterization and Antibacterial Activities. AMB Express 2020, 10. [Google Scholar] [CrossRef]
- Sankar, R.; Karthik, A.; Prabu, A.; Karthik, S.; Shivashangari, K. S.; Ravikumar, V. Origanum Vulgare Mediated Biosynthesis of Silver Nanoparticles for Its Antibacterial and Anticancer Activity. Colloids Surf B Biointerfaces 2013, 108, 80–84. [Google Scholar] [CrossRef]
- Baláž, M.; Balážová, Ľ.; Daneu, N.; Dutková, E.; Balážová, M.; Bujňáková, Z.; Shpotyuk, Y. Plant-Mediated Synthesis of Silver Nanoparticles and Their Stabilization by Wet Stirred Media Milling. Nanoscale Res Lett 2017, 12. [Google Scholar] [CrossRef]
- Baláž, M.; Balážová, L.; Kováčová, M.; Daneu, N.; Salayová, A.; Bedlovičová, Z.; Tkáčiková, L. The Relationship between Precursor Concentration and Antibacterial Activity of Biosynthesized Ag Nanoparticles. Adv Nano Res 2019, 7, 125–134. [Google Scholar] [CrossRef]
- Salayová, A.; Bedlovičová, Z.; Daneu, N.; Baláž, M.; Lukáčová Bujňáková, Z.; Balážová, L.; Tkáčiková, L. Green Synthesis of Silver Nanoparticles with Antibacterial Activity Using Various Medicinal Plant Extracts: Morphology and Antibacterial Efficacy. Nanomaterials 2021, 11. [Google Scholar] [CrossRef]
- Rigopoulos, N.; Thomou, E.; Kouloumpis, A.; Lamprou, E. R.; Petropoulea, V.; Gournis, D.; Poulios, E.; Karantonis, H. C.; Giaouris, E. Optimization of Silver Nanoparticle Synthesis by Banana Peel Extract Using Statistical Experimental Design, and Testing of Their Antibacterial and Antioxidant Properties. Curr Pharm Biotechnol 2019, 20, 858–873. [Google Scholar] [CrossRef]
- Belafhal, A. Shape of Spectral Lines: Widths and Equivalent Widths of the Voigt Profile. Opt Commun 2000, 177, 111–118. [Google Scholar] [CrossRef]
- El-Naggar, N. E. A.; Abdelwahed, N. A. M. Application of Statistical Experimental Design for Optimization of Silver Nanoparticles Biosynthesis by a Nanofactory Streptomyces Viridochromogenes. Journal of Microbiology 2014, 52, 53–63. [Google Scholar] [CrossRef]
- Karvela, E.; Makris, D. P.; Kalogeropoulos, N.; Karathanos, V. T. Deployment of Response Surface Methodology to Optimise Recovery of Grape (Vitis Vinifera) Stem Polyphenols. Talanta 2009, 79, 1311–1321. [Google Scholar] [CrossRef]
- Barabadi, H.; Honary, S.; Ebrahimi, P.; Alizadeh, A.; Naghibi, F.; Saravanan, M. Optimization of Myco-Synthesized Silver Nanoparticles by Response Surface Methodology Employing Box-Behnken Design. Inorganic and Nano-Metal Chemistry 2019, 49, 33–43. [Google Scholar] [CrossRef]
- Biswas, S.; Mulaba-Bafubiandi, A. F. Optimization of Process Variables for the Biosynthesis of Silver Nanoparticles by Aspergillus Wentii Using Statistical Experimental Design. Advances in Natural Sciences: Nanoscience and Nanotechnology 2016, 7. [Google Scholar] [CrossRef]
- El-Naggar, N. E. A.; Abdelwahed, N. A. M. Application of Statistical Experimental Design for Optimization of Silver Nanoparticles Biosynthesis by a Nanofactory Streptomyces Viridochromogenes. Journal of Microbiology 2014, 52, 53–63. [Google Scholar] [CrossRef]
- Montgomery, D. C. Design and Analysis of Experiments Eighth Edition; 1984. [Google Scholar]
- Asadzadeh, F.; Maleki-Kaklar, M.; Soiltanalinejad, N.; Shabani, F. Central Composite Design Optimization of Zinc Removal from Contaminated Soil, Using Citric Acid as Biodegradable Chelant. Sci Rep 2018, 8. [Google Scholar] [CrossRef]
- Amendola, V.; Bakr, O. M.; Stellacci, F. A Study of the Surface Plasmon Resonance of Silver Nanoparticles by the Discrete Dipole Approximation Method: Effect of Shape, Size, Structure, and Assembly. Plasmonics 2010, 5, 85–97. [Google Scholar] [CrossRef]
- Bindhu, M. R.; Umadevi, M. Synthesis of Monodispersed Silver Nanoparticles Using Hibiscus Cannabinus Leaf Extract and Its Antimicrobial Activity. Spectrochim Acta A Mol Biomol Spectrosc 2013, 101, 184–190. [Google Scholar] [CrossRef] [PubMed]
- Basiuk, V. A.; Basiuk, E. V. Green Processes for Nanotechnology: From Inorganic to Bioinspired Nanomaterials. Green Processes for Nanotechnology: From Inorganic to Bioinspired Nanomaterials 2015, 1–446. [Google Scholar] [CrossRef]
- Ibrahim, H. M. M. Green Synthesis and Characterization of Silver Nanoparticles Using Banana Peel Extract and Their Antimicrobial Activity against Representative Microorganisms. J Radiat Res Appl Sci 2015, 8, 265–275. [Google Scholar] [CrossRef]
- Valenti, L. E.; Giacomelli, C. E. Stability of Silver Nanoparticles: Agglomeration and Oxidation in Biological Relevant Conditions. Journal of Nanoparticle Research 2017, 19. [Google Scholar] [CrossRef]
- Molleman, B.; Hiemstra, T. Surface Structure of Silver Nanoparticles as a Model for Understanding the Oxidative Dissolution of Silver Ions. Langmuir 2015, 31, 13361–13372. [Google Scholar] [CrossRef]
- Khan, M. A. M.; Kumar, S.; Ahamed, M.; Alrokayan, S. A.; AlSalhi, M. S. Structural and Thermal Studies of Silver Nanoparticles and Electrical Transport Study of Their Thin Films. Nanoscale Res Lett 2011, 6, 1–8. [Google Scholar] [CrossRef]
- Quinten, M. Optical Properties of Nanoparticle Systems; Wiley - Vch Verlag GmbH &, Co. KGaA, 2011. [Google Scholar] [CrossRef]
- Dada, A. O.; Adekola, F. A.; Adeyemi, O. S.; Bello, O. M.; Oluwaseun, A. C.; Awakan, O. J.; Grace, F.-A. A. Exploring the Effect of Operational Factors and Characterization Imperative to the Synthesis of Silver Nanoparticles. In Silver Nanoparticles - Fabrication, Characterization and Applications; InTech, 2018. [Google Scholar] [CrossRef]
- Rousta, M. H.; Ghasemi, N. Green Synthesis of Silver Nanoparticles Using a Mountain Plant Extract. Revue Roumaine de Chimie 2019, 64, 143–152. [Google Scholar] [CrossRef]
- Marciniak, L.; Nowak, M.; Trojanowska, A.; Tylkowski, B.; Jastrzab, R. The Effect of Ph on the Size of Silver Nanoparticles Obtained in the Reduction Reaction with Citric and Malic Acids. Materials 2020, 13, 1–12. [Google Scholar] [CrossRef]
- Handayani, W.; Ningrum, A. S.; Imawan, C. The Role of PH in Synthesis Silver Nanoparticles Using Pometia Pinnata (Matoa) Leaves Extract as Bioreductor. In Journal of Physics: Conference Series; Institute of Physics Publishing, 2020; Vol. 1428. [Google Scholar] [CrossRef]
- Alqadi, M. K.; Abo Noqtah, O. A.; Alzoubi, F. Y.; Alzouby, J.; Aljarrah, K. PH Effect on the Aggregation of Silver Nanoparticles Synthesized by Chemical Reduction. Materials Science- Poland 2014, 32, 107–111. [Google Scholar] [CrossRef]
- Kaushik, R.; Saran, S.; Isar, J.; Saxena, R. K. Statistical Optimization of Medium Components and Growth Conditions by Response Surface Methodology to Enhance Lipase Production by Aspergillus Carneus. J Mol Catal B Enzym 2006, 40. [Google Scholar] [CrossRef]
- Supraja, N.; Prasad, T. N. V. K. V.; Soundariya, M.; Babujanarthanam, R. Synthesis, Characterization and Dose Dependent Antimicrobial and Anti-Cancerous Activity of Phycogenic Silver Nanoparticles against Human Hepatic Carcinoma (HepG2) Cell Line. AIMS Bioeng 2016, 3, 425–440. [Google Scholar] [CrossRef]
- Umadevi, M.; Shalini, S.; Bindhu, M. R. Synthesis of Silver Nanoparticle Using D. Carota Extract. Advances in Natural Sciences: Nanoscience and Nanotechnology 2012, 3. [Google Scholar] [CrossRef]
- W. , R.; R., L.; S., K.; D., M.; B., K. Phytosynthesis of Silver Nanoparticle Using Gliricidia Sepium (Jacq.). Curr Nanosci 2009, 5, 117–122. [Google Scholar] [CrossRef]
- Pavani, K. V.; K, G.; Banerjee, A.; Suresh, S. Phyto-Synthesis of Silver Nanoparticles Using Extracts of Ipomoea iNdica Flowers. American Journal of Nanomaterials 2013, 1, 5–8. [Google Scholar] [CrossRef]
- Mohanta, Y. K.; Panda, S. K.; Jayabalan, R.; Sharma, N.; Bastia, A. K.; Mohanta, T. K. Antimicrobial, Antioxidant and Cytotoxic Activity of Silver Nanoparticles Synthesized by Leaf Extract of Erythrina Suberosa (Roxb.). Front Mol Biosci 2017, 4, 1–9. [Google Scholar] [CrossRef]
- Kora, A. J.; Arunachalam, J. Green Fabrication of Silver Nanoparticles by Gum Tragacanth ( Astragalus Gummifer ): A Dual Functional Reductant and Stabilizer. J Nanomater 2012, 2012, 1–8. [Google Scholar] [CrossRef]
- Gharibshahi, L.; Saion, E.; Gharibshahi, E.; Shaari, A.; Matori, K. Structural and Optical Properties of Ag Nanoparticles Synthesized by Thermal Treatment Method. Materials 2017, 10. [Google Scholar] [CrossRef]
- Xiang, F.; Zhao, Q.; Zhao, K.; Pei, H.; Tao, F. The Efficacy of Composite Essential Oils against Aflatoxigenic Fungus Aspergillus Flavus in Maize. Toxins (Basel) 2020, 12. [Google Scholar] [CrossRef]
- Bunghez, F.; Morar, M. A.; Pop, R. M.; Romanciuc, F.; Csernatoni, F.; Fetea, F.; Diaconeasa, Z.; Socaciu, C. Comparative Phenolic Fingerprint and LC-ESI+QTOF-MS Composition of Oregano and Rosemary Hydrophilic Extracts in Relation to Their Antibacterial Effect. Bulletin of University of Agricultural Sciences and Veterinary Medicine Cluj-Napoca. Food Science and Technology 2015, 72. [Google Scholar] [CrossRef]
- Yoncheva, K.; Benbassat, N.; Zaharieva, M. M.; Dimitrova, L.; Kroumov, A.; Spassova, I.; Kovacheva, D.; Najdenski, H. M. Improvement of the Antimicrobial Activity of Oregano Oil by Encapsulation in Chitosan–Alginate Nanoparticles. Molecules 2021, 26. [Google Scholar] [CrossRef] [PubMed]





| Run | X1 (Cext %v/v) |
X2 mM ) |
X3 (CNaOH mM) |
Responses | ||
|---|---|---|---|---|---|---|
| λ0 (nm) | A (a.u.*) | FWHM (nm) | ||||
| 1 | 0(2) | 0(1) | 0(1) | 412.9 | 129.4 | 93.7 |
| 2 | -1(0.8) | 1(1.5) | 1(2) | 405.8 | 190.5 | 94.2 |
| 3 | -1(0.8) | 0(1) | -1(0) | 439.4 | 34.7 | 130.7 |
| 4 | -1(0.8) | 1(1.5) | -1(0) | 442.7 | 31 | 97.4 |
| 5 | -1(0.8) | -1(0.5) | -1(0) | 438.1 | 33.5 | 140.2 |
| 6 | 0(2) | -1(0.5) | -1(0) | 441.5 | 38.5 | 101.8 |
| 7 | 0(2) | -1(0.5) | 0(1) | 411.3 | 63.5 | 86.4 |
| 8 | 1(3.2) | 1(1.5) | 1(2) | 412.2 | 214.2 | 98.6 |
| 9 | 1(3.2) | 1(1.5) | 0(1) | 415.2 | 170.4 | 102.4 |
| 10 | 0(2) | 0(1) | 1(2) | 407.5 | 141.9 | 93.5 |
| 11 | -1(0.8) | -1(0.5) | 0(1) | 407.1 | 71.9 | 85.9 |
| 12 | 1(3.2) | 0(1) | -1(0) | 449.4 | 97.5 | 128.9 |
| 13 | 0(2) | -1(0.5) | 1(2) | 405.2 | 96.1 | 112.8 |
| 14 | 0(2) | 1(1.5) | 0(1) | 414.4 | 147.9 | 98.5 |
| 15 | 1(3.2) | 0(1) | 1(2) | 409.2 | 154.1 | 103.4 |
| 16 | 1(3.2) | 1(1.5) | -1(0) | 451.1 | 76.4 | 106.3 |
| 17 | 0(2) | 0(1) | -1(0) | 446.1 | 26.9 | 84.3 |
| 18 | 1(3.2) | -1(0.5) | 1(2) | 408.2 | 92.8 | 115.9 |
| 19 | 1(3.2) | -1(0.5) | 0(1) | 411.1 | 71.6 | 97.8 |
| 20 | -1(0.8) | -1(0.5) | 1(2) | 408.2 | 97.8 | 133.7 |
| 21 | -1(0.8) | 1(1.5) | 0(1) | 412.1 | 119 | 95.3 |
| 22 | 1(3.2) | 0(1) | 0(1) | 412.3 | 145.4 | 98.9 |
| 23 | -1(0.8) | 0(1) | 0(1) | 409 | 106.5 | 88.4 |
| 24 | -1(0.8) | 0(1) | 1(2) | 407.6 | 152.2 | 102.8 |
| 25 | 0(2) | 1(1.5) | 1(2) | 409.1 | 194.9 | 94.2 |
| 26 | 1(3.2) | -1(0.5) | -1(0) | 441.1 | 57.4 | 97.9 |
| 27 | 0(2) | 1(1.5) | -1(0) | 450.1 | 42.1 | 98.8 |
| Source | df | SS | MS | F | p-value |
|---|---|---|---|---|---|
| Model | 9 | 22322.92 | 2480.32 | 138.19 | <0.0001 |
| Linear | |||||
| X1 | 1 | 264.48 | 264.48 | 14.74 | |
| X2 | 1 | 278.24 | 278.24 | 15.50 | |
| X3 | 1 | 17798.83 | 17798.83 | 991.68 | |
| Square | |||||
| 1 | 3813.3 | 3813.3 | 212.46 | ||
| Interaction | |||||
| X2X3 | 1 | 77.74 | 77.74 | 4.33 | |
| Error | 71 | 1274.32 | 17.95 | ||
| Lack of fit | 17 | 117.17 | 6.89 | 0.3217 | |
| Pure error | 54 | 1157.15 | 21.43 | ||
| Total | 80 | 23597.24 |
| Source | df | SS | MS | F | p-value |
|---|---|---|---|---|---|
| Model | 9 | 231000 | 25662.02 | 76.05 | <0.0001 |
| Linear | |||||
| X1 | 1 | 9827.11 | 9827.11 | 29.12 | |
| X2 | 1 | 52886.07 | 52886.07 | 156.73 | |
| X3 | 1 | 133900 | 133900 | 396.83 | |
| Square | |||||
| 1 | 1556.99 | 1556.99 | 4.61 | ||
| 1 | 4321.69 | 4321.69 | 12.81 | ||
| Interaction | |||||
| X1X2 | 1 | 2595.25 | 2595.25 | 7.69 | |
| X1X3 | 1 | 3111.7 | 3111.7 | 9.22 | |
| X2X3 | 1 | 21421.51 | 21421.51 | 63.48 | |
| Error | 71 | 23958.08 | 337.44 | ||
| Lack of fit | 17 | 6523.82 | 383.75 | 1.19 | |
| Pure error | 54 | 17434.25 | 322.86 | ||
| Total | 80 | 254900 |
| Source | df | SS | MS | F-value | p-value |
|---|---|---|---|---|---|
| Model | 9 | 8440.95 | 937.88 | 1.56 | 0.1435 |
| Linear | |||||
| X3 | 1 | 230.88 | 230.88 | 0.3847 | |
| Square | |||||
| 1 | 3220.51 | 3220.51 | 5.37 | ||
| Error | 71 | 42616.33 | 600.23 | ||
| Lack of fit | 17 | 8700.41 | 511.79 | 0.8149 | |
| Pure error | 54 | 33915.92 | 628.07 | ||
| Total | 80 | 51057.28 |
| Model term | CE | Std. Error |
|---|---|---|
| Intercept | 412.4 | 1.25 |
| X1 | 2.21 | 0.5765 |
| X2 | 2.27 | 0.5765 |
| X3 | -18.16 | 0.5765 |
| X2X3 | -1.47 | 0.7061 |
| 14.56 | 0.9986 |
| Model term | CE | Std. Error |
|---|---|---|
| Intercept | 114.44 | 5.40 |
| X1 | 13.49 | 2.5 |
| X2 | 31.29 | 2.5 |
| X3 | 49.80 | 2.5 |
| X1X2 | 8.49 | 2.39 |
| X1X3 | -9.30 | -15.40 |
| X2X3 | 24.39 | 18.29 |
| -9.30 | -17.93 | |
| -15.49 | -24.13 |
| Peak wavelength λ0 | Peak area A | ||
|---|---|---|---|
| Term | Per. Ef (%) | Term | Per. Ef (%) |
| X1 | 0.88 | X1 | 3.85 |
| X2 | 0.93 | X2 | 20.74 |
| X3 | 59.53 | X3 | 52.53 |
| X2X3 | 0.39 | X1X2 | 1.53 |
| 38.27 | X1X3 | 1.83 | |
| - | - | X2X3 | 12.6 |
| - | - | 1.83 | |
| - | - | 5.08 | |
Disclaimer/Publisher’s Note: The statements, opinions and data contained in all publications are solely those of the individual author(s) and contributor(s) and not of MDPI and/or the editor(s). MDPI and/or the editor(s) disclaim responsibility for any injury to people or property resulting from any ideas, methods, instructions or products referred to in the content. |
© 2023 by the authors. Licensee MDPI, Basel, Switzerland. This article is an open access article distributed under the terms and conditions of the Creative Commons Attribution (CC BY) license (http://creativecommons.org/licenses/by/4.0/).
