Preprint
Article

This version is not peer-reviewed.

Kinetic, Physiological and Fatigue Level Differences Depending on the Menstrual Cycle Phase and Running Intensity

A peer-reviewed article of this preprint also exists.

Submitted:

31 July 2023

Posted:

02 August 2023

You are already at the latest version

Abstract
Background: Depending on the phase of the menstrual cycle the athlete is in, some kinetic, physiological and fatigue variables will show differences. The aim of this study is to analyze whether there are changes in these variables over the course of the menstrual cycle. Methods: Eight regular female runners and triathletes performed a maximal treadmill test, as well as a submaximal test (6’ stages at 50%, 60% and 80% of maximal aerobic speed) in each of the phases of the menstrual cycle: bleeding phase (day 2.4 ± 0.7), follicular phase (day 10.4 ± 2.2) and luteal phase (day 21.8 ± 2.1). Running dynamics were measured (using RunScribe) at the end of each test, as were lactate concentration, heart rate and fatigue (evaluated on a scale of 0 to 5). Results: Higher shock (G) values were recorded in the bleeding phase and higher vertical spring stiffness (kN/m) in the follicular phase. The phase of the menstrual cycle had a significant effect on average and peak heart rate, which was significantly higher in the follicular phase. Conclusions: Higher vertical spring stiffness was observed in the follicular phase, as well as higher peak and average heart rate.
Keywords: 
;  ;  ;  ;  ;  

1. Introduction

Women’s participation in sport has increased in recent years and this is reflected in the number of women competing at the Olympic Games. In Tokyo 2020, women’s participation was close to 50%. However, there is still work to be done: according to data from the Spanish High Council of Sports in 2019, the total number of high-level and high-performance athletes in Spain is 486, only 168 of whom are women [1].
If we look at the data on the number of licenses granted by sports federations in 2016, differentiating between men and women from different countries, we see the following [2]:
  • New Zealand: 775,108 men and 682,221 women.
  • Netherlands: 3,459,067 men and 1,817,711 women.
  • Denmark: 1,115,023 men and 803,234 women.
  • Australia: 2,907,678 men and 1,554,960 women.
  • Germany: 14,313,628 men and 9,473,331 women.
  • United Kingdom: 7,413,967 men and 4,968,033 women.
  • Canada: 6,489,436 men and 2,923,864 women.
  • France: 7,647,109 men and 3,355,926 women.
  • Belgium: 1,343,057 men and 779,142 women.
  • Italy: 3,334,556 men and 1,245,878 women.
The difference in participation according to gender is greater in the 15–24 and 25–39 age groups. Participating in sport during the school stage increases women’s interest in sport throughout their lives [3]. To further improve the situation, we must be aware that the set of women’s physical, physiological and psychological are different from that of men and therefore they require specific loads, volumes, intensities, tasks and planning models [4].
The review conducted by Meignié et al. [5] on the effects of the menstrual cycle on performance in elite athletes concluded that such studies are limited and no firm conclusions can be drawn, but that the relationship between the menstrual cycle and training responses could provide a significant performance advantage. For example, MacNulty et al. [6] found that eumenorrheic women performed more poorly during the early follicular phase compared to all other phases.
Performance in this study will consider the kinetic variables of running, such as vertical spring stiffness, which is sensitive to contact time: the shorter the contact time, the greater the vertical spring stiffness (10% less contact time increases vertical spring stiffness by 20%) [7]. This causes the human body to adapt to minimize metabolic cost [8]. Following this line, Ham et al. [9] identified lower limb muscle stiffness as an important component of stabilization and stability control at the joint level, noting that muscles exhibit greater stiffness during the early follicular phase (menstruation) than during ovulation, because estrogen levels are higher during the latter. Leg spring stiffness and vertical spring stiffness may also change with fatigue, with both decreasing due to increased contact time [10].
On the other hand, other kinetic variables associated with performance are braking and peak vertical ground reaction force. Thus, a reduction in vertical swing helps to reduce peak vertical ground reaction force, and an increase in cadence helps to reduce braking, both favoring a reduction in loading rates [11]. Braking and shock are related to each other and also to speed. They are both greater in interval sessions and increase along with speed [12]. Another key to kinetic running performance is power. Power is directly related to the speed of the athlete. Thus, the total amount of power generated increases with speed [13], so faster athletes generate more power [14]. Power is reduced under conditions of fatigue [15].
In addition to the kinetic variables, another part of the study focuses on physiological variables such as peak and average heart rate and lactate concentration at the end of the run and during recovery, which can vary depending on the phase of the menstrual cycle the athlete is in and the speed at which she runs. With regard to lactate concentration, Janse de Jonge [16] observed a higher concentration in the mid-follicular phase and a lower concentration in the mid-luteal phase, due to progesterone levels. The best performance was obtained in the mid-luteal phase at 90% of VO2 max. Meanwhile, Dean et al. [17] found that the maximum lactate concentration tended to be found in the mid-luteal and mid-follicular phases and higher in the early follicular phase, but with no significant differences throughout the menstrual cycle. Heart rate may be altered throughout the menstrual cycle, with an increase in the luteal phase, which may be due to estrogen concentration, increased body temperature or increased plasma volume [16,18,19].
Thirdly, this study also assesses the level of fatigue experienced by each woman throughout the menstrual cycle in relation to these physiological variables. For example, Paludo et al. [20] found that there is a better perceptual response during ovulation compared to the luteal and follicular phases, and a negative perceptual response during the premenstrual and menstrual phases compared to ovulation and the luteal phase. Therefore, there will be a perceptual response based on the menstrual cycle that affects performance, with the best perceptual response for competition occurring just after bleeding [21].
In our review, we did not find any studies that correlated the kinetic variables of running with the phases of the menstrual cycle and with the intensity of running in women. Therefore, the main objective of this research is to correlate the kinetic variables of running dynamics, measured using RunScribe, with physiological data such as heart rate and lactate concentration, together with an assessment of the perceived level of fatigue, at different intensities, and of the differences according to the phase of the menstrual cycle the female athlete is in.

2. Materials and Methods

2.1. Participants

A total of 8 women, aged 37.1±3.5 years, participated in the study. The inclusion criteria were women who had been running regularly for at least 3 years, trained at least 3 times a week for 1 hour, had regular menstrual cycles, were not using contraceptives (and had not used them for at least 6 months) and suffered no pathologies, illnesses or injuries.
After receiving information about the objectives and procedures of the study, participants signed an informed consent form and a second consent form for the use of photographic and/or audiovisual material, in compliance with the ethical principles of the World Medical Association’s Declaration of Helsinki (2013). The study was approved by the Research Ethics Committee of the Autonomous University of Madrid.

2.2. Study Design

The tests were scheduled individually between November 2021 and April 2022, taking into account the different phases of each woman’s menstrual cycle.
Participants were encouraged to maintain their normal diet and were asked to refrain from strenuous physical activity for 24–48 hours before the test, and from eating or taking any stimulants or ergogenic aids for at least three hours before the start of the test.
All women were asked to perform a maximal and a submaximal test on a treadmill (Viasys LE 200 CE) inclined at 1% to simulate outdoor running conditions [22], wearing their usual training and/or competition shoes to avoid technical modifications.

2.3. Materials and Measurements

Each woman was tested at 3 points in her menstrual cycle: 1) bleeding phase (day 2.4 ± 0.7); 2) follicular phase (day 10.4 ± 2.2); and 3) luteal phase (day 21.8 ± 2.1). In each of these phases, each participant performed a maximal test and, 48–72 hours later, a submaximal test.
The maximal test provided peak and average heart rate, maximum speed, blood lactate concentration at the end of the test (as well as 1, 3, 5 and 7 minutes after the test), and kinetic variables of the running exercise. The start of the maximal test was 5-6 km/h slower than his (most recent) best 10 km run time. It is an incremental test where every 1’ the speed was increased by 1km/h. The treadmill was always at 1% gradient.
The submaximal test was performed at 3 intensities: 1) 50% of the maximum speed of the maximum test; 2) 60% of the maximum speed of the maximum test; 3) 80% of the maximum speed of the maximum test. The submaximal test made it possible to determine the peak and average heart rate at each of the 3 intensities, the blood lactate concentration at the end of each of the intensities, and the kinetic variables of the running exercise.
The timing of the different phases of the menstrual cycle was tracked using an app called Clue, which was downloaded to each woman’s mobile phone. They were also connected to the lead researcher via the same app, which synchronized information regarding their menstrual cycles. Clue is a period tracking app, a science-based menstrual and reproductive health resource. It has a database of 378,000 users and 4.9 million natural cycles. Using self-reported tracking data, it can reveal statistically significant associations between cycle length variability and self-reported qualitative symptoms [23,24,25].
Heart rate was measured continuously with the Garmin Forerunner 735XT wrist-worn device, connected to the Garmin HRM-Pro chest strap.
Lactate concentration was measured from a right earlobe puncture using the Lactate Scout+ system and Lactate Scout Sensors test strips.
Analysis of the kinetic variables of running was continuously performed using the RunScribe system via two pods, one on the left foot and one on the right foot. RunScribe is a comprehensive running analysis platform that provides a detailed view of running mechanics by capturing data from both feet at every stride. RunScribe has been validated in several studies [12,26,27,28].
At the end of each test, participants completed a questionnaire assessing their perceived level of fatigue before, during and after the test on a scale of 0 to 5.

2.4. Data Analysis

Data analysis was performed using the SPSS 28.0 statistical software package (IBM; Chicago, USA). To select the running kinetic variables provided by RunScribe, Spearman bivariate correlations were performed beforehand and only variables with significant relationships with the maximal speed of the test were included.
K-S or Shapiro-Wilks tests for normality and Mauchly’s test for sphericity were performed. Bivariate correlations between dependent variables and maximal speed were then calculated using Pearson’s R coefficient for continuous and normally distributed variables, or Spearman’s Rho coefficient for those that did not conform to normality.
Mean (M), median (Mn) and standard deviation (SD) were used as descriptive statistics. To analyze the effect of the menstrual phase and the test intensity on the normally distributed variables, a general linear model of repeated measures was applied with two intrasubject independent variables: a) menstrual phase, with 3 levels (bleeding, follicular and luteal); and b) test intensity, with 4 levels relative to the maximum speed reached in the test (100%, 80%, 60% and 50%).
Depending on the test, the F-statistic of assumed sphericity or Greenhouse-Geisser with post-hoc tests with Bonferroni adjustment was chosen. For variables with non-normal distributions, Friedman tests were performed, followed by Wilcoxon tests, adjusted for significance according to Bonferroni. The effect size was then calculated using eta-squared (η2), considering a value of .01 as a small effect, .06 as a medium effect, and values above .14 as a large effect. The significance level was set at p<.05. Perceived fatigue was only analyzed after the maximal and submaximal tests up to 80%.

3. Results

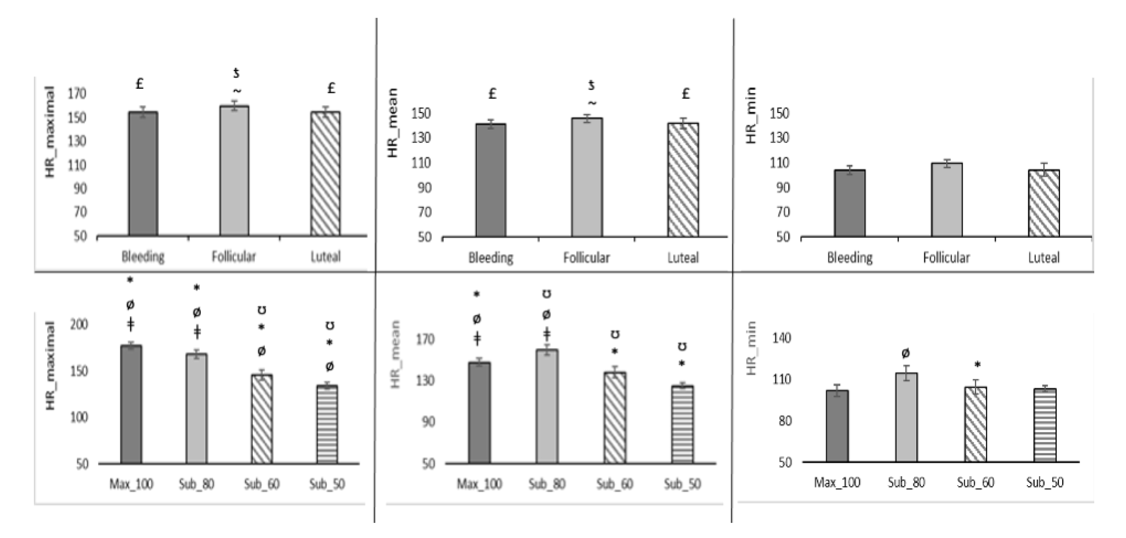
There were significant differences in the maximum speed achieved in the test according to the phase of the menstrual cycle (X22=9.5; p=.009; η2 =.16), with the median being significantly higher in the follicular phase (around day 10) (Mn=10.6; IQ= 5.7) than in the luteal phase (around day 21) (Mn=10.0; IQ=4.9) (Z=-3.1; p=.002) and slightly higher than in the bleeding phase (around days 2,3) (Mn= 10.5; IQ=5.7) (Z=-2.2; p=.031).
The kinetic variables analyzed were: shock (G), braking (G), peak vertical ground reaction force (F(Bw)), vertical and horizontal ground force rate (N/kg/s), swing force rate and total force rate (N/kg/s), leg and vertical spring stiffness (kN/m) and power (w).
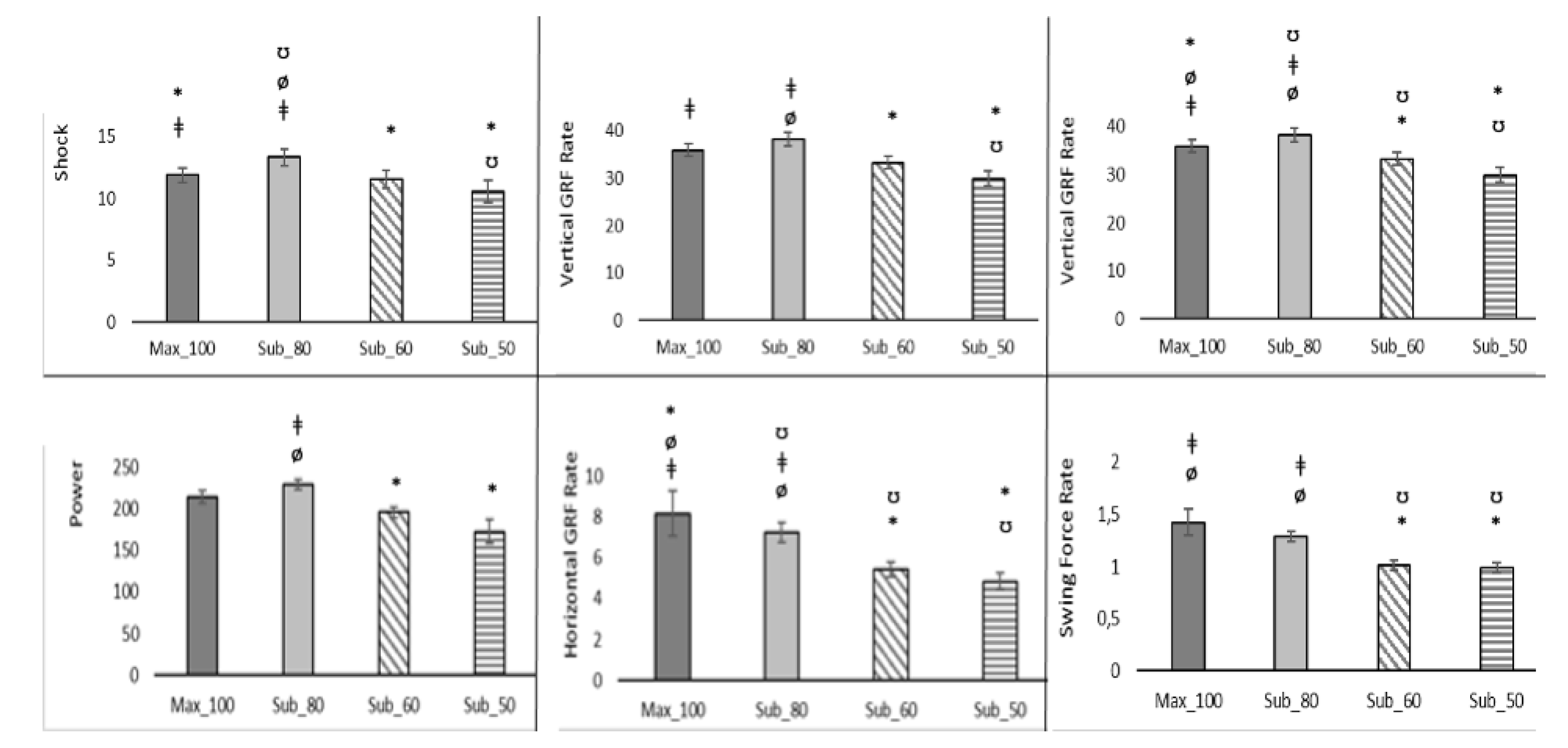
There were differences in shock (G) depending on the phase of the menstrual cycle (F2 =2.59; p= .11, η2 =.27), with higher shock in the bleeding phase and lower shock in the luteal phase (Table 1). Test intensity had a significant effect on shock (F3=8.87; p= .01, η2 =.56). Pairwise comparisons with Bonferroni adjustment showed no significant differences, and DMS comparisons were performed. They were significantly higher at 80% than the rest, and higher at 100% than at 50% (Figure 1). The interaction between menstrual phase and test intensity had a significant effect (F3=8.87; p= .01, η2 =.29), significantly higher at 50% in the bleeding phase than in the follicular and luteal phases.
The menstrual phase had no effect on braking (G) (F2 =.24; p= .89, η2 =.03), although the values were slightly higher during the bleeding phase. On the other hand, test intensity did have a significant effect (F6 =2.91; p= .018, η2 =.43). It was significantly higher at 80% and 100% than at 50%.
The menstrual phase did not affect the peak vertical ground reaction force (F(Bw)) (F2 =.624; p= .55, η2 =.08), which was slightly higher in the bleeding phase. On the other hand, test intensity did have a significant effect (F3 =21.92 p<.001, η2 =.76), significantly higher at 80% and 100% than at 50%, and at 80% than at 60%.
The menstrual phase did not influence vertical force rate (N/kg/s) (F2 =1.95p= .18, η2 =.22) nor horizontal force rate (N/kg/s) (F2=.469; p= .55, η2 =.06), which was slightly higher in the bleeding phase. On the other hand, test intensity had a significant effect on vertical force rate (F3 =32.48 p<.001, η2 =.82): it was significantly higher at 80% than the rest and at higher at 100% than at 60% and 50%. In addition, the intensity of the test also had a significant effect on the rate of horizontal force (F3=7.61 p=.025, η2 =.52), it was highest at 100%, and significantly higher at 80% than at 60% and 50%.
The menstrual phase did not influence the swing force rate (N/kg/s) (F2 =.125; p= .88, η2 =.02), which was slightly higher during the bleeding phase. On the other hand, test intensity did have a significant effect on swing force rate (F3 =10.14 p=.012, η2 =.59): it was highest at 100%, and significantly higher at 80% than at 60% and 50%. Neither menstrual phase nor test intensity had a significant effect on total force rate (N/kg/s).
The menstrual phase had a significant influence on vertical spring stiffness (kN/m) (X22=15; p<.001; η2 =.25) with the median being significantly higher in the follicular phase (17.4) than in the luteal phase (16.0) (Z=-3.7; p<.001). On the other hand, test intensity had a significant effect on vertical spring stiffness (F3=2.95 p=.124, η2 =.297), highest at 50%, followed by 100%. Neither the menstrual phase nor test intensity had a significant effect on leg spring stiffness (kN/m).
The menstrual phase had no influence on power (w) (F2 =1.97p= .18, η2 =.25), although it was slightly higher during the bleeding phase. On the other hand, test intensity had a significant effect on power (F3 =16.05 p=.003, η2 =.73): it was (significantly) highest at 80%, and higher at 100% than at 60% and 50%.
As regards physiological variables, the following were analyzed: lactate (mmol/l), lactate recovery after the maximal test, maximum and average heart rate (bpm). The results are shown below in relation to the phases of the menstrual cycle (Figure 3) and test intensity (Figure 4).
The menstrual phase made no significant difference on lactate (mmol/l) (F2 =1.3; p= .339 η2 =.30), although it was lower during the bleeding phase (Figure 3). However, test intensity did have a significant effect (F3 =12.87; p< .024, η2 =.81). Post-hoc comparisons with Bonferroni adjustment showed no significant differences and DMS tests performed were significantly higher at 100% and 80% than at 50% and 60% (Figure 2).
The resting time after the maximal test showed a tendency to have a significant effect (F3 =2.44; p=.80, η2 =.096) on accumulated lactate, with the lowest lactate value observed immediately after the end of the test. Lactate accumulates until it reaches the maximum value at minute 3 after the test, and then progressively decreases at minute 5 and 7 after the test, but it fails to reach the value observed immediately after the end of the test (Figure 2).
In the maximal running test, the menstrual phase showed a tendency to influence lactate recovery (Figure 3). In all cases, the highest lactate value was observed in the follicular phase, which tended to be significantly higher than in the bleeding phase after 1 minute of recovery (F2 =1.81; p=.20, η2 =.21), and also higher in the follicular phase than in the luteal phase after 5 minutes of recovery (F2 =1.9; p=.186, η2 =.21).
The menstrual phase had a significant influence on peak heart rate (bpm) (F2 =4.92; p= .028 η2 =.45), which was significantly higher in the follicular phase than in the bleeding and luteal phases (Figure 4). Likewise, test intensity had a significant effect as well (F3 =107.9; p< .001, η2 =.94); heart rate increased with test intensity, with the exception of the comparison between 60% and 50%, where the differences were not significant (Figure 4).
The menstrual phase had an influence on average heart rate (bpm) (F2 =5.5; p= .020; η2 =.48) (Figure 4). Comparisons with Bonferroni adjustment showed no significant differences and post-hoc DMS comparisons were significantly higher in the follicular phase than in the bleeding phase and in the luteal phase, although pairwise comparisons with Bonferroni adjustment showed no significant differences. On the other hand, test intensity had a significant effect (F3 =46.8; p< .001, η2 =.89): it was significantly higher at 80% compared to the rest, and significantly higher at 100% than at 60% and 50% (Figure 4).
Finally, differences in fatigue scores depending on the phase of the menstrual cycle and the intensity of the test were also analyzed (Table 1).
Regarding the menstrual phase, differences were found in the perceived fatigue score before the test (X22 =3.8; p=.152), with the highest score found in the bleeding phase and the lowest in the follicular phase. On the other hand, the intensity of the test had a significant effect, with the median being higher in the submaximal test (Z=2.21, p=.027).
Differences were also found in the fatigue scores during the test (X22 =3.8; p=.152): the highest score was given in the bleeding phase and the lowest in the luteal phase. Conversely, test intensity had no significant effect (Z=-.93, p=.35), although it was higher in the maximal test.
No differences were found on the fatigue scores after the test (X22 =.261; p=.878). The highest value was given in the bleeding phase and the lowest in the luteal phase. In addition, test intensity had a significant effect, with the median being higher in the maximal test (Z=-2.37, p=.018).

4. Discussion

The aim of this study was to analyze the differences in running kinetic variables, physiological variables and fatigue assessment depending on the phase of the menstrual cycle and on running intensity.
For virtually all these variables, the intensity of the race had a significant effect, whereas the interaction between the phase of the menstrual cycle and the intensity of the test had no significant effect, except for the shock variable, which did show a significant effect (F3 =8.87; p= .01, η2 =.29): it was 50% more significant in the bleeding phase than in the follicular and luteal phases.
On the other hand, there were significant differences between menstrual cycle phases in the maximum speed achieved during the test (highest during the follicular phase), vertical spring stiffness, post-maximal lactate concentration and peak and mean heart rate. There was also a tendency for differences in shock and fatigue scores before and during the test.
We will now discuss these results by blocks of variables: kinetic, physiological and fatigue levels.

4.1. Kinetic Variables

In the analysis of the kinetic variables of running, there was a tendency towards lower technical performance in the bleeding phase, with greater impact and braking, and towards higher technical performance in the follicular phase, especially in terms of vertical spring stiffness.
The published scientific literature relating to these kinetic variables does not differentiate between men and women, only includes men, or does not take the menstrual cycle into account, so we do not have sufficient support to compare the results found in this study with other previous similar studies.
At running intensities of 100% and 80%, the values were significantly higher for almost all kinetic variables.

4.2. Physiological Variables

The lactate concentration recovery at the end of the maximal test, as well as 1, 3, 5 and 7 minutes later was always higher in the follicular phase. These results are consistent with the values obtained in the review by Janse de Jonge [16]. However, Peltonen et al. [29] obtained opposite results. They found the highest values in the bleeding phase, although it is important to note Peltonen’s study involved strength work.
The lactate concentration values at the end of the maximal test were similar in the follicular and luteal phases (slightly higher in the latter), with the lowest values found in the bleeding phase.
Previous literature suggests that lower lactate concentration values in the luteal phase than in the follicular phase are due to low catecholamine levels [17], high estrogen concentration, which increases lipid oxidation and tends to decrease glycogen use [16,30], and thus reduces the contribution of anaerobic metabolism [31].
At 1′ and 3′ the values were higher in the luteal phase than in the bleeding phase, whereas at 5′ and 7′ the values were higher in the bleeding phase than in the luteal phase, because anaerobic glycolysis is increased during the bleeding phase [28]. Higher values in the bleeding phase at 5′ after the test were also found by Julian et al. [31].
In terms of peak and average heart rate, values were higher in the follicular phase, whereas in previous studies heart rate was higher in the luteal phase. These authors argue that this is probably due to increased body temperature [16], stress due to premenstrual syndrome [32], increased plasma volume [18] and increased progesterone concentration, which reduces heart rate variability [19,33]. The possible reason why the results found in this study are not in line with these previous studies may be due to the fact that the highest peak speed value was reached in the follicular phase and was associated with a higher lactate concentration and a higher peak and mean heart rate.

4.3. Fatigue Variables

Fatigue scores before and during the test tended to be highest in the bleeding phase and lowest in the follicular phase before the test and in the luteal phase during the test.
The study by Paludo et al. [20] also registered the highest fatigue scores during the bleeding phase, especially during intense exercise.
Prior to testing, women reported lower levels of fatigue in the follicular phase, which may coincide with the optimal performance window “just after the period” reported by McNamara et al. [21] in their study of Olympic athletes.
The results of these variables allow coaches and physical trainers to provide more specific training to female athletes and triathletes according to their menstrual cycle.
One of the main limitations of this study was the complexity of measuring women on the exact days of each phase, coinciding with the days and times they were available and free from work, family and other personal commitments. This limited the number of participants to 8. Thus, the effect size in various statistical tests was medium, but possibly no significant differences were found due to a type 2 statistical error, and it would be very useful to be able to increase the number of women in future research.

5. Conclusions

This is the first study to record kinetic, physiological and fatigue assessment data in female athletes and triathletes. The results show that depending on the phase of the menstrual cycle the athlete is currently in, differences can be found in the pattern of some kinetic, physiological and fatigue assessment variables.
The greatest running performance was found in the follicular phase, with optimal vertical spring stiffness. In the follicular phase, lactate concentrations were higher after intense effort. The highest peak and average heart rates were also found in the follicular phase. This makes the follicular phase the most strenuous phase in terms of perceived fatigue.
Further research is necessary in the area of sports performance and the menstrual cycle.

Author Contributions

Conceptualization, C.D., J.C. and A.G.; methodology, C.D., J.C. and A.G.; formal analysis, C.D., J.R., J.G. and R.M-G; data curation, C.D., J.R., J.G. and R.M-G.; writing—original draft preparation, C.D., J.C., A.G.; writing—review and editing, C.D., J.R., J.G. and R.M-G. All authors have read and agreed to the published version of the manuscript.

Funding

This research received no external funding.

Institutional Review Board Statement

The study was conducted in accordance with the Declaration of Helsinki, and approved by the Research Ethics Committee of the Autonomous University of Madrid.

Informed Consent Statement

Informed consent was obtained from all subjects involved in the study.

Conflicts of Interest

The authors declare no conflict of interest.

References

  1. Martínez, S. , Martín, G. and Martínez, J. The gender gap in sport: The case of a historically and socially consented marginalisation. Interdisciplinaria 2021, 38, 73–86. [Google Scholar]
  2. Hidalgo, J. International comparative study of high-level sport models. 24 February 2018. Available online: https://www2.deloitte.com/content/dam/Deloitte/es/Documents/tecnologia-media-telecomunicaciones/Deloitte-ES-TMT-estudio-modelos-deporte.pdf (accessed on 24 February 2023).
  3. Marín, S. , Martínez, J. and Núñez C. Actividad física, salud y mujer. in B. Marugán Pintos, El deporte femenino, ese gran desconocido. Instituto de Estudios de Género, Universidad Carlos III de Madrid. 12 February. Available online: https://hdl.handle.net/10016/28386 (accessed on 12 February 2023).
  4. García, A. Specific training for women in B. Marugán Pintos, El deporte femenino, ese gran desconocido. Instituto de Estudios de Género, Universidad Carlos III de Madrid. 12 February. Available online: https://hdl.handle.net/10016/28386 (accessed on 12 February 2023).
  5. Meignié, A. , Duclos M. , Carling C., et al. The Effects of Menstrual Cycle Phase on Elite Athlete Performance: A Critical and Systematic Review. Frontiers in Physiology 2021, 12. [Google Scholar]
  6. MacNulty, K.L. , Elliott-Sale K. J., Dolan E., et al. The Effects of Menstrual Cycle Phase on Exercise Performance in Eumenorrheic Women: A Systematic Review and Meta-Analysis. Sports Medicine 2020, 50, 1813–1827. [Google Scholar]
  7. Morin, J.-B. , Dalleau G. and Belli A. A Simple Method for Measuring Stiffness during Running. Journal of Applied Biomechanics 2005, 21, 167–180. [Google Scholar]
  8. Moore, I.S. , Ashford K. J., Cross C., et al. Humans Optimize Ground Contact Time and Leg Stiffness to Minimize the Metabolic Cost of Running. Front. Sports Act. Living 2019, 1, 53. [Google Scholar]
  9. Ham, S. , Kim S. , Choi H., Lee Y., et al. Greater Muscle Stiffness during Contraction at Menstruation as Measured by Shear-Wave Elastography. Tohoku J. Exp. Med. 2020, 250, 207–213. [Google Scholar]
  10. Mohler, F. , Fadillioglu C. and Stein T. Fatigue-Related Changes in Spatiotemporal Parameters, Joint Kinematics and Leg Stiffness in Expert Runners During a Middle-Distance Run Frontiers in Sports and Active Living. 2021; 3. [Google Scholar]
  11. Adams, D. , Pozzi F. , Willy R.W., et al. Altering Cadence or vertical oscillation during running: effects on running related injury factors. The International Journal of Sports Physical Therapy 2018, 13, 633. [Google Scholar]
  12. Long, T. , Pavicic P. and Stapleton D. Kinetic and Kinematic Characteristics of Running During Regular Training Sessions for Collegiate Distance Runners Using Shoe Based Wearable Sensors. J Athl Train 2022.
  13. Novacheck, T.F. Review Paper. The biomechanics of running. Gait and Posture 1998, 7, 77–95. [Google Scholar] [CrossRef]
  14. Albiach, J.P. , Mir-Jimenez M. , Hueso Moreno V., et al. The Relationship between VO2max, Power Management, and Increased Running Speed: Towards Gait Pattern Recognition through Clustering Analysis. Sensors 2021, 21, 2422. [Google Scholar]
  15. Cartón Llorente, A. , Roche Seruendo L. E., Mainer Pardos E., et al. Acute effects of a 60-min time trial on power-related parameters in trained endurance runners. BMC Sports Science, Medicine and Rehabilitation 2022, 14, 142. [Google Scholar]
  16. Janse de Jonge, X.A.K. Review Article. Effects of the Menstrual Cycle on Exercise Performance. Sports Med. 2003, 33, 833–851. [Google Scholar] [PubMed]
  17. Dean, T.M. , Perreault L. , Mazzeo R.S., et al. No effect of menstrual cycle phase on lactate threshold. J Appl Physiol 2003, 95, 2537–2543. [Google Scholar]
  18. Nose, Y. , Fujita K. , Wada T., et al. Effects of Menstrual Cycle Phase on Fluid Regulation during Walking Exercise. Journal of Sports Science and Medicine 2020, 19, 556–563. [Google Scholar]
  19. Alzueta, E. , de Zambotti M. , Javitz H., et al. Tracking Sleep, Temperature, Heart Rate, and Daily Symptoms Across the Menstrual Cycle with the Oura Ring in Healthy Women. International Journal of Women’s Health 2022, 14, 491–503. [Google Scholar]
  20. Paludo, A.C. , Paravlic A., Dvoraková K., et al. The Effect of Menstrual Cycle on Perceptual Responses in Athletes: A Systematic Review With Meta-Analysis Frontiers in Psychology. 2022; 13. [Google Scholar]
  21. McNamara, A. , Harris R and Minahan C. ‘That time of the month’ ... for the biggest event of your career! Perception of menstrual cycle on performance of Australian athletes training for the 2020 Olympic and Paralympic Games. BMJ Open Sp Ex Med 2022.
  22. Jones, A.M. and Doust J. H.A. 1% treadmill grade most accurately reflects the energetic cost of outdoor running. J Sports Sci. 1996, 14, 321–327. [Google Scholar]
  23. Li, K. , Urteaga I. , Wiggins C.H., et al. Characterizing physiological and symptomatic variation in menstrual cycles using self-tracked mobile-health data. npj Digital Medicine 2020, 3, 79. [Google Scholar]
  24. Urteaga, I. , Li K. , Shea A., et al. A Generative Modeling Approach to Calibrated Predictions: A Use Case on Menstrual Cycle Length Prediction. Proc Mach Learn Res. 2021, 149, 535–566. [Google Scholar]
  25. Li, K. , Urteaga I. , Shea A., Vitzthum J., et al. A predictive model for next cycle start date that accounts for adherence in menstrual self-tracking. Journal of the American Medical Informatics Association 2022, 29, 3–11. [Google Scholar]
  26. Koldenhoven, R.M. and Hertel J. Validation of a Wearable Sensor for Measuring Running Biomechanics. Digit Biomark 2018, 2, 74–78. [Google Scholar] [PubMed]
  27. De Jong, A.F. and Hertel J. Validation of Foot-Strike Assessment Using Wearable Sensors During Running. Journal of Athletic Training 2020, 55, 1307–1310. [Google Scholar] [PubMed]
  28. Napier, C. , Willy R.W., Hannigan B.C., et al. The Effect of Footwear, Running Speed, and Location on the Validity of Two Commercially Available Inertial Measurement Units During Running Frontiers in Sports and Active Living. 2021; 3. [Google Scholar]
  29. Peltonen, H. , Mikkonen-Taipale R., Uimonen T. et al. Power Loading–Induced Fatigue Is Influenced by Menstrual Cycle Phase Medicine & Science in Sports & Exercise. 2022. [Google Scholar]
  30. Forsyth, J.J. y Reilly T. The effect of menstrual cycle on 2000-m rowing ergometry performance. European Journal of Sport Science 2008, 8, 351–357. [Google Scholar]
  31. Julian, R. , Hecksteden A., Fullagar H.H.K. et al. (2017) The effects of menstrual cycle phase onmphysical performance in female soccer players. 2017. 12 February. Available online: http://plosone.org (accessed on 12 February 2023).
  32. Koifman, R. , Dayan L. , Ablin J.N. et al. Cardiovascular Autonomic Profile in Women With Premenstrual Syndrome. Front. Physiol 2018, 9, 1384. [Google Scholar]
  33. Schmalenberger, K.M. , Eisenlohr-Moul T. , Wurth L. et al. A Systematic Review and Meta-Analysis of Within-Person Changes in Cardiac Vagal Activity across the Menstrual Cycle: Implications for Female Health and Future Studies. Journal of Clinical Medicine 2019, 8, 1946. [Google Scholar]
Figure 1. Comparison of the effect of test intensity on running kinetic variables. ʊ Indicates significant differences with test intensity at 100%; * Indicates significant differences with test intensity at 80%; ø Indicates significant differences with test intensity at 60%; ǂ Indicates significant differences with test intensity at 50%.
Figure 1. Comparison of the effect of test intensity on running kinetic variables. ʊ Indicates significant differences with test intensity at 100%; * Indicates significant differences with test intensity at 80%; ø Indicates significant differences with test intensity at 60%; ǂ Indicates significant differences with test intensity at 50%.
Preprints 81045 g001
Figure 2. Comparison of the effect of intensity on lactate at the end of the test (left image) and lactate evolution after the test (right image). ʊ Indicates significant differences with test intensity at 100%; * Indicates significant differences with test intensity at 80%; ø Indicates significant differences with test intensity at 60%; ǂ Indicates significant differences with test intensity at 50%.
Figure 2. Comparison of the effect of intensity on lactate at the end of the test (left image) and lactate evolution after the test (right image). ʊ Indicates significant differences with test intensity at 100%; * Indicates significant differences with test intensity at 80%; ø Indicates significant differences with test intensity at 60%; ǂ Indicates significant differences with test intensity at 50%.
Preprints 81045 g002
Figure 3. Comparison of the effect of menstruation phase on lactate recovery after the maximal test.
Figure 3. Comparison of the effect of menstruation phase on lactate recovery after the maximal test.
Preprints 81045 g003
Figure 4. Comparison of the effect of test intensity and menstrual phase on heart rate. ƾ indicates significant differences with the bleeding phase; £ indicates significant differences with the follicular phase; ~ indicates significant differences with the luteal phase; ʊ indicates significant differences with test intensity at 100%; * indicates significant differences with test intensity at 80%; ø indicates significant differences with test intensity at 60%; ǂ indicates significant differences with test intensity at 50%.
Figure 4. Comparison of the effect of test intensity and menstrual phase on heart rate. ƾ indicates significant differences with the bleeding phase; £ indicates significant differences with the follicular phase; ~ indicates significant differences with the luteal phase; ʊ indicates significant differences with test intensity at 100%; * indicates significant differences with test intensity at 80%; ø indicates significant differences with test intensity at 60%; ǂ indicates significant differences with test intensity at 50%.
Preprints 81045 g004
Table 1. Correlations and descriptions of kinetic and physiological variables depending on the interaction of test intensity (100, 80, 60 and 50% of Maximal Velocity) and menstrual phase (Bleeding, Follicular, Luteal).
Table 1. Correlations and descriptions of kinetic and physiological variables depending on the interaction of test intensity (100, 80, 60 and 50% of Maximal Velocity) and menstrual phase (Bleeding, Follicular, Luteal).
Intensity 50% Vmax. Intensity 60% Vmax. Intensity 80% Vmax. Intensity 100% Vmax.
Bleed Follic Lutea Bleed Follic Lutea Bleed Follic Lutea Bleed Follic Luteal
Variable R or Rho with Vmax. Rho or Tau with mean FC M (DT) M (DT) M (DT) M (DT) M (DT) M (DT) M (DT) M (DT) M (DT) M (DT) M (DT) M (DT)
Kinetics
Shock (G) .379** .103 11.68(2) 10.01(3.1) 10.01(3.1) 12.02(1.8) 11.31(2.4) 11.29(2.3) 13.49(1.7) 13.45(2.3) 13.05(2.3) 11.84(1.4) 12.01(1.9) 11.85(1.8)
Braking (G) .422** -.027 8.98 (2.7) 8.2 (3.2) 8.31 (3.3) 9.342.7) 8.8(3) 8.88 (3) 9.58 (2.55) 9.91 (2.3) 10.08(2.1) 9.3 (2) 9.82 (2.1) 9.49 (2)
Peak Vertical GRF (F(Bw)) .560** .394*** 2.68 (0.59) 2.39 (0.8) 2.53 (0.7) 2.88 (0.6) 2.93 (0.5) 2.94(0.5) 3.38(0.7) 3.44(0.6) 3.43(0.6) 3.2(0.7) 3.16(0.6) 3.06(0.7)
V GRF Rate (N/kg/s) .694** .509*** 30.7(3.4) 29.4(5.9) 29.6(5.5) 33.06(4.1) 33.78(3.4) 33.15(3.6) 37.92(4.5) 38.84(3.8) 38.24(3.9) 36.6(4.6) 36.39(3.5) 34.95(4.4)
Power (w) .649** .413*** 176.9(9.9) 179.7(14.5) 160.9(21.1) 195.3(6.1) 199.1(6) 191.7(8.1) 223.4(6.6) 235(5.8) 227.1(7.1) 206(15.7) 221.3(4.6) 215.1(17.5)
H GRF Rate (N/kg/s) .703** .318*** 4.91(0.41) 4.96(0.54) 4.73(0.33) 5.41(0.42) 5.58(0.36) 5.31(0.36) 7.05(0.51) 7.40(0.43) 7.3(0.5) 9.8(3.11) 6.63(0.33) 8.05(1.13)
Swing Force Rate (N/kg/s) .671*** .302*** 0.99(0.04) 1.04(0.06) 0.93(0.07) 1.01(0.06) 1.05(0.04) 0.98(0.06) 1.25(0.06) 1.34(0.05) 1.29(0.06) 1.56(0.34) 1.25(0.04) 1.46(0.18)
Total Force Rate (N/kg/s) .790** .390*** 79.9(3.2) 79.9(5.3) 76.3(4) 84.8(3.7) 87.6(2.6) 83.7(3.2) 103.9(4.4) 109.1(3.6) 106(4.2) 123.7(23.2) 100(2.4) 111.3(10)
V Spring Stiffness (KN/m) .030 -.169 29.33(20.2) 44.01(48.5) 25.73(20.9) 17.76(6.6) 16.36(3.3) 15.7(3.3) 16.98(1.6) 17.34(1.4) 16.94(1.8) 21.45(7) 27.86(18.9) 23.13(8.4)
Physiological
HR_max (bpm) .691*** .881*** 129.9(3.7) 144.9(6.8) 127(3.5) 144.2(5.5) 147.4(5.1) 144.7(6.2) 167(4.5) 169.6(4.4) 167.4(4.7) 176.4(3.1) 177.4(4.3) 178.7(3)
HR_mean (bpm) .516*** 1 121.7(2.7) 133.1(4.8) 120.4(3.2) 137.1(4.4) 139.4(4.8) 137.7(5.8) 158.4(4.8) 161.9(4.4) 158.6(4.9) 146.4(3.8) 148.1(3.7) 149(4.1)
HR_min (bpm) .049 .520*** 104.7(3.7) 104.8(2.4) 100.3(2.9) 102.6(5.4) 108.6(5.3) 101.7(7.8) 111.3(6.6) 123.1(3.8) 109.3(8.1) 98(6.7) 101.3(3.4) 105.8(4.8)
Final_lactate (mmol/l) .680*** .607*** 1.35(0.24) 1.08(0.32) 1.38(0.25) 1.03(0.16) 1.13(0.35) 1.32(0.33) 2.42(0.29) 4.08(1.08) 4.15(1.22) 5.15(2.07) 6.1(0.88) 5.4(0.87)
Perceived effort Rho with Vmax
Before the test -.017 -.254** 3(1.7) 1.5(1.2) 1.75(1.6) 1.63(1.3) 1(1.3) 1.5(1.3)
During the test .274** -.028 3(0.6) 2.25 (0.2) 2.25(0.5) 3.37(0.4) 2.75 (0.5) 2.25 (0.6)
After the test .354*** .140 3.25(0.5) 2.5(0.4) 2.6(0.4) 3.75(0.5) 4 (0.4) 3.6(0.4)
Bleed = Bleeding phase; Follic= Follicular phase; Lutea= Luteal phase; V = Vertical; H = Horizontal; N= Newton; Kg= Kilogram; m= metre; G= Gravity; w= Watts; bpm = beats/minute; HR= heart rate. V max = maximum test speed; V average = average test speed; mmol/L = one thousandth of a mole/litre.
Disclaimer/Publisher’s Note: The statements, opinions and data contained in all publications are solely those of the individual author(s) and contributor(s) and not of MDPI and/or the editor(s). MDPI and/or the editor(s) disclaim responsibility for any injury to people or property resulting from any ideas, methods, instructions or products referred to in the content.
Copyright: This open access article is published under a Creative Commons CC BY 4.0 license, which permit the free download, distribution, and reuse, provided that the author and preprint are cited in any reuse.
Prerpints.org logo

Preprints.org is a free preprint server supported by MDPI in Basel, Switzerland.

Subscribe

Disclaimer

Terms of Use

Privacy Policy

Privacy Settings

© 2026 MDPI (Basel, Switzerland) unless otherwise stated