Preprint
Article

This version is not peer-reviewed.

Effect of Straw Mulching + Deep Burial Mode on Water and Salt Transport Regularity in Saline Soils

A peer-reviewed article of this preprint also exists.

Submitted:

28 July 2023

Posted:

01 August 2023

You are already at the latest version

Abstract
This study chose the indoor soil column test as the main method and the field test as the validation test to investigate the effects of various straw mulching techniques (surface, deep and straw mulching + deep burial) on evaporation and salt dynamics in saline soils. The results showed that straw mulching treatment could effectively reduce soil water evaporation, promote desalination in the stage of leaching infiltration and alleviate salt return in the stage of water evaporation, and the effect of straw mulching + deep burial treatment was better than that of single-layer straw mulching treatment. The indoor soil column test showed that S2D1 treatment (a 2:1 ratio of soil surface cover to the amount of straw buried 40cm below the soil surface) had the best effect on the suppression of soil moisture evaporation, and the cumulative evaporation of soil moisture was reduced by 65.85% compared with that of the CK, and the rate of salinity return in the evaporation stage was effectively reduced by 92.04% compared with that of the CK. In addition, there is a significant positive correlation between cumulative evaporation of soil moisture and cumulative soil salinity, which implies that cumulative soil salinity increases with cu-mulative evaporation of soil moisture. The results of the field experiment were consistent with the soil column test, and the S2D1 treatment was able to maintain high soil moisture content in all soil layers in all periods of the experiment and kept soil salinity in the 0-40 cm soil layer at a low level. However, in the 40-80 cm soil layer, the soil salinity suppression effect of DB treatment (straw buried at 40 cm below soil surface) was the best. So in summary, the S2D1 treatment had the best salinity and evapo-transpiration suppression effect in saline soils. This study is of great significance for the resource uti-lization of straw waste, improvement of water utilization and efficiency, and soil salinization manage-ment.
Keywords: 
;  ;  ;  ;  

1. Introduction

Soil salinity is a major challenge to land resource utilization and agricultural productivity worldwide[1] . It is estimated that approximately 1.1 × 10^9 hectares (ha) of land globally suffer from soil salinity[2] , posing a significant threat to agricultural output, soil health, and food security[3] . China, in particular, possesses approximately 3.6 × 10^7 ha of saline soils, which hold considerable potential for agricultural use following appropriate amelioration. Coastal saline soils in China encompass an area up to 1.01 × 10^6 ha, with the Yellow River Delta serving as a representative region. This region constitutes a relatively concentrated zone of saline soils in the country, encompassing 254,200 ha and accounting for about 42.3% of the total available area within the delta[4,5] . In this area, coastal saline land comprises more than 70% of the total landmass[6] . As soil salinization progresses, ecological balance becomes increasingly threatened, and sustainable development is hindered.Soil salinization exacerbates issues such as low fertility, reduced microbial activity, and poor soil structure, all of which severely impact food production and agricultural growth[7] . Generally, water-salt transport in soil adheres to the fundamental principle of "salt follows water and water follows salt," meaning soil salinity is influenced by various factors, including precipitation, soil texture, groundwater, and temperature[8] . Consequently, to enhance soil water utilization in the Yellow River Delta's saline soils, it is essential to effectively control soil water evaporation, minimize salt accumulation, and improve the soil's physical and chemical properties.
Mulching using various materials has been demonstrated to decrease soil water evaporation, enhance the quantity of stored soil water accessible for plants, and minimize salt accumulation in the soil[9] . According to Yin et al., ground cover can effectively reduce soil water evaporation while concurrently impeding salt accumulation on the surface[10] . Straw, the most prevalent organic mulch material across all climatic zones, offers multiple advantages when utilized in the field, such as being suitable for soil water storage[11] and increasing soil water availability by lowering soil evaporation and stabilizing soil temperature, ultimately leading to improved crop yields[12] . Carson E. Dann et al. discovered that mulching with crop residues resulted in a 10-20% increase in water use efficiency[13] . A study conducted by Yanli Zhou et al. revealed that straw mulching not only improved soil moisture retention and soil structure but also suppressed weed growth. Yonghui Yang et al. reported that the application of 4-6 t/ha of straw mulch effectively enhanced soil physical conditions, including topsoil protection, in tropical environments[14] . Based on field experiments, Xinjun Huang et al. found that straw mulch placed on the soil surface provides shade, reduces nonproductive water evaporation, and increases available water capacity[15] . Furthermore, straw mulch serves as a barrier against atmospheric heat, delaying topsoil thaw and reducing the rate of soil thaw[16] . This effectively inhibits soil water evaporation and salt surface aggregation, ultimately improving soil physical and chemical properties and increasing soil water use efficiency[17] .
Deep incorporation of straw into the soil can enhance soil organic matter content, water holding capacity, and agroecological water use efficiency, thus ensuring stable crop yield while optimizing water and salt distribution in the tillage layer and promoting salt leaching[18] . The deep placement of straw within the soil serves as a transport barrier for water and salt, impeding the migration of salt from the subsoil and shallow groundwater to the topsoil during evapotranspiration[19] . Zhong Zhaoyi et al. demonstrated that the cumulative evaporation from the straw-amended treatment was only 36.9% to 49.79% of that from the homogeneous soils during soil evaporation[20] . The incorporation method of straw significantly impacts the distribution of soil moisture and salinity. Wanfeng Zhan et al. found that positioning the straw layer at a depth of 35-40 cm increased the average soil water holding capacity by 17.1% and the average salt leaching rate by 7.6%[21] . Based on field study results, Yonggan Zhao et al. reported that straw layer incorporation enhanced salt leaching and controlled the salt accumulation around crop roots[22] . Other researchers have identified additional benefits of deep straw incorporation, such as a decrease in soil pH, reduction in particle density, and improvement in plant earliness[23] . Moreover, deep incorporation of straw into the soil can increase soil organic matter content, ensuring stable crop yields[24] , slowing water infiltration, and optimizing water and salt distribution and soil structure in the tillage layer[25] . The combination of straw mulching and deep incorporation of soil layers significantly increased soil moisture at a depth of 0-40 cm and considerably reduced salinity in the surface layer (0-20 cm). This combination may represent the best field management strategy for crop production on saline soils.
In-depth investigations of water and salt dynamics in saline soils are crucial for accelerating the ecological restoration of these lands. Building upon prior research that employed straw mulching to mitigate salt accumulation, the straw mulching + deep burial model is proposed as a method for saline land improvement. The impacts of various straw mulching techniques on water and salt dynamics in saline soils were examined through laboratory soil column simulation experiments. Additionally, the study analyzed soil water and salt transport patterns under different treatments during the soil leaching and evaporation phases. The research further aimed to identify the most effective straw mulching methods for reducing evapotranspiration and suppressing salinity, ultimately enhancing water use efficiency and promoting the implementation of straw mulching technology for the improvement of saline lands.

2. Materials and methods

2.1. Soil column test

2.1.1. Test materials

The soils used in this experiment were collected from the Bohai Farm (37°79'N, 118°63'E) located in Dongying Province, China. The climate of the area is warm-temperate continental monsoon climate, with mean annual evapotranspiration, mean annual precipitation, and mean annual air temperature of about 1982 mm, 552 mm, and 12 °C, respectively. The main physicochemical properties of the soil before the experiment are listed in Table 1.

2.1.2. Test setup

The experiment was conducted at the experimental station of the College of Resources and Environment, Shandong Agricultural University. The study utilized polyvinyl chloride (PVC) pipes to establish a 100 cm soil column with a 30 cm diameter for analyzing soil ecological processes. A 10 cm layer of fine sand was initially placed at the bottom of the column, functioning as a filter layer to facilitate smooth infiltration of the soil water flow. Subsequently, the bottom of the soil column was sealed with gauze and positioned in a plastic basin containing a 10 g/L saline solution to simulate the groundwater environment. Finally, based on the soil density of the test soil of about 1400kg/m3, fill the soil layer by layer and tamp it down, each time filling about 5kg, tamping about 5cm thickness, the previous tamping and then filling the next layer until the top. The detailed experimental setup is illustrated in Figure 1.

2.1.3. Treatments

In this study, maize straw was collected from corn fields, air-dried, and cut into 2-3 cm lengths. The collected straw was then mixed with saline-alkali soil and loaded into soil columns for analysis as illustrated in Figure 1. The experimental design consisted of six treatments: surface-covered straw (SC), straw buried at 40 cm below soil surface (DB), a 1:1 ratio of soil surface cover to the amount of straw buried 40cm below the soil surface (S1D1), a 2:1 ratio of soil surface cover to the amount of straw buried 40cm below the soil surface (S2D1), a 1:2 ratio of soil surface cover to the amount of straw buried 40cm below the soil surface (S1D2), and a control group without straw mulching (CK). The amount of straw mulched was 1800 g/m², and each treatment was replicated three times.
To minimize the impact of external factors such as rainfall on the experiment, the soil columns were placed inside a greenhouse. In order to maintain a stable brackish groundwater environment at the base of the soil column, 10 g/L of brackish water was added to the plastic basin at the base of the column at regular intervals throughout the experiment.

2.1.4. Sample collection and determination

At the beginning of the test, 200mm of fresh water was used to wash the salt at a fixed amount, and when all the water was infiltrated, the soil was taken from the soil surface of the soil column with a soil auger, and the sampling positions were 0-20cm from the soil surface; 20-40cm, 40-60cm, and 60-80cm for determining the salt content of the soil, respectively. After the beginning of the test, the empty PVC pipe was set as a control to synchronize the determination of the evaporation intensity of the water surface during the test, and the soil column was weighed every 5 days, and the difference between the two times before and after was used to calculate the evaporation of soil moisture; at the same time, samples were taken from the soil column every 10 days, and the sampling positions were 0-20 cm; 20-40 cm, 40-60 cm, and 60-80 cm from the soil surface for the determination of the soil Salinity. During the test, 10g/L of salty water was regularly added to the plastic basin at the bottom of the soil column to maintain a relatively stable salty water environment at the bottom of the soil column.

2.1.4.1. Determination of soil moisture content (drying method)

Aluminum boxes containing fresh soil samples were weighed on an analytical balance to the nearest 0.01 g. The boxes were opened, placed underneath the box and baked in an oven that had been preheated to 105°C for 12 h. They were taken out, covered, cooled to room temperature in a desiccator (taking about 30 min) and weighed immediately.
Moisture content (%) = (mass of aluminum box and soil sample before drying - mass of aluminum box and soil sample after drying) × 100 / (mass of aluminum box and soil sample after drying - mass of drying empty aluminum box)

2.1.4.2. Determination of soil salinity (residue drying-mass method)

Soil samples were air-dried, ground and sieved through 2mm sieve, the soil solution was leached at a soil-water ratio of 1:5, a certain amount of soil leachate was sucked into a porcelain evaporating dish, evaporated on a water bath, and the organic matter was oxidized with hydrogen peroxide, then dried in an oven at 105°C-110°C and weighed to obtain the mass of the drying residue.
Soil salt content (g/kg)=drying residue mass/drying soil sample mass×1000

2.2. Microzone test

2.2.1. Study area and site characterization

The field experiment was conducted from February 2023 to June 2023 at the Bohai Farm (37°79'N, 118°63'E) located in Dongying Province, China. The climate of the area is classified as warm-temperate continental monsoon. In addition, the area has a clear distinction between the four seasons in 1 yr. Its mean annual evapotranspiration, mean annual precipitation, and mean annual temperature are approximately 1982 mm, 552 mm, and 12 °C, respectively. The dominant crops are maize (Zea mays L.), wheat (Triticum aestivum), and cotton (Gossypium hirsutum). The experimental soil was salted tidal soil, and the normal soil properties are shown in Table 2.

2.2.2. Treatments.

The experiment was designed with six treatments: surface-covered straw (SC), straw buried at 40 cm below soil surface (DB), a 1:1 ratio of soil surface cover to the amount of straw buried 40cm below the soil surface (S1D1), a 2:1 ratio of soil surface cover to the amount of straw buried 40cm below the soil surface (S2D1), a 1:2 ratio of soil surface cover to the amount of straw buried 40cm below the soil surface (S1D2), and the control (CK) was covered with straw, the amount of straw returned to the field was 18t/hm2, and each treatment was replicated three times. The micro-areas were constructed in February 2023, with each plot measuring 2m * 2m = 4m2 , for a total of 18 plots. The plots were firstly trenching and deep excavation around the plots to 1m from the ground surface, and then blocked with double-layer plastic sheet to ensure the independence between the micro-areas, and the intermediate gaps were filled with soil. Before burying the straw, the soil in the micro-area was first taken out with a shovel according to the soil layers of 0-20cm and 20-40cm in turn, and placed separately, and then the threshed and broken rice straw was evenly laid at a depth of 40cm from the soil surface, and finally the excavated soil was backfilled layer by layer according to the original level and compacted. The straw compartment treatment was completed in one go and no further operations were carried out thereafter. In order to ensure the consistency of the test base, the soil layer 0-40cm of the CK treatment was also dug out and backfilled.

2.2.3. Sample collection and determination

At the beginning of the experiment, soil samples were collected in March, April, May and June 2023, and the sampling depths were 0-20, 20-40, 40-60 and 60-80 cm.After the samples were brought back to the laboratory, the soil moisture content was determined immediately, and then the soil was dried to determine the soil salinity. The determination method is the same as 2.1.4.

2.3. Data analysis

In this study, data were systematically organized and compiled using Microsoft Excel for further analysis. Subsequently, the data were processed and evaluated using the statistical software, SPSS version 22.0 (SPSS Inc., Chicago, IL, USA), to investigate the relationship between soil water evaporation and soil salinity. Furthermore, Origin 2019b (Origin Lab, Northampton, MA, USA) was employed for graphical representation of the correlation and to examine the fitting parameters of cumulative soil evaporation as a function of time. The comprehensive analysis of the data allowed for a deeper understanding of the soil evaporation processes and their connection with soil salinity, contributing to the field of soil ecology.

3. Results

3.1. Effect of different treatments on soil water and salt transport in soil columns

3.1.1. Soil water evaporation analysis

Figure 2 illustrates the temporal variation in mean daily soil evaporation under distinct straw mulching treatments. The daily evaporation rates of soil moisture for the five different straw mulching techniques (SC, DB, S1D1, S2D1, S1D2) and the control treatment (CK) exhibited a decreasing trend over time, with varying magnitudes. Within 5 days after the start of the experiment, evaporation from the soil surface was mainly maintained by the lower layer of water through capillary conductive water, the average daily evaporation of the control treatment was larger and significantly higher than that of the other treatments, probably because of the exposed soil surface of the CK treatment, the energy exchange between the soil surface and the atmosphere was faster, resulting in larger daily evaporation but probably due to the larger daily evaporation, the phenomenon of salinity epimetry was serious, and the formation of a salt crust on the soil surface, in turn, may inhibit the evaporation of water, so that the average daily evaporation of the CK treatment was on a gradual trend to decrease over time, but it was still significantly larger than that of the other treatments. Among these treatments, all five demonstrated varying levels of reduction in evaporation compared to CK. The suppressive effect of each treatment on soil moisture evaporation became apparent on the fifth day post-application, with the mean daily soil evaporation rates of SC, DB, S1D1, S2D1, and S1D2 decreasing by 27.82%, 56.39%, 60.53%, 70.68%, and 63.91% relative to CK, respectively. The average daily evaporation of SC treatment was less than that of CK treatment in the first 5 days of the experiment, probably because the soil capillary of SC treatment was continuous, and the water could rise to the soil surface with the help of the capillary force, but the barrier layer formed by covering the soil surface with straw was effective in attenuating the vertical evaporation of the soil water.The average daily evaporation of DB treatment was lower than that of CK treatment by 56.39%, which was due to the fact that the straw was buried under the soil surface and the barrier layer cut off the continuity of the soil capillary. The barrier layer cut off the continuity of soil capillaries, formed an obstacle to the upward movement of soil capillary water, and weakened the evaporation capacity.The S1D1, S2D1, and S1D2 treatments had the most obvious effect of inhibiting soil moisture evaporation due to the dual effect of straw surface mulching and burying the straw barrier layer.The minimum average daily evaporation rate (0.31 mm) was observed in the S2D1 treatment on the 45th day of the experiment, representing a 67.02% reduction compared to the CK treatment at the same timepoint.
According to the experimental results, the effects of various straw mulching methods on the cumulative evaporation of soil moisture are depicted in Figure 3. The analysis reveals that the cumulative evaporation of soil moisture under different straw mulching methods (SC, DB, S1D1, S2D1, S1D2) exhibited an increasing trend over time. The cumulative evaporation of the control treatment (CK) was significantly higher than the cumulative evaporation observed under the five mulching methods. Following 45 days of continuous evaporation, the cumulative evaporation from the soil columns of SC, DB, S1D1, S2D1, and S1D2 were 40.28 mm, 41.48 mm, 35.55 mm, 19.54 mm, and 25.99 mm, respectively. These values correspond to a reduction in cumulative evaporation by 29.61%, 27.49%, 37.87%, 65.85%, and 54.58% compared to the control treatment. This implies that the straw mulching + deep burial treatments (S1D1, S2D1, S1D2) were more effective in inhibiting soil water evaporation than the single-layer straw mulching treatments (SC, DB), with S2D1 exhibiting the strongest inhibition. However, at the beginning of the experiment, the cumulative evapotranspiration of the DB soil column was lower than that of the SC soil column, but with the passage of time, the cumulative evapotranspiration of the DB soil column was gradually higher than that of the SC soil column. This may be due to the fact that during the evaporation process, water gradually starts to be stored inside the straw, and some of the water in it diffuses upward in the form of water vapor, while the water available for recharge to the evaporated soil surface from the subsoil layer of the SC soil column is relatively low.
Figure 4 presents the evapotranspiration (ET) inhibition rates of various straw mulching patterns after 45 days. The single-layer straw mulching treatments (SC and DB) exhibited soil moisture evaporation inhibition rates of 29.61% and 27.49% respectively, indicating that the depth of straw placement had a minimal effect on soil moisture evaporation inhibition rate. In contrast, the straw mulching + deep burial model showed varying results: S2D1 had the highest evaporation inhibition effect (65.85%), followed by S1D2 (54.58%), while S1D1 had a relatively weak effect (37.87%). The lowest inhibition effect observed in S1D1 was still 27.89% higher than that of SC, demonstrating that straw mulching + deep burial model is more effective in reducing soil evaporation compared to single-layer mulching. The data also suggest that when the amount of surface straw mulch remains constant, a greater amount of deep straw mulch leads to a higher evaporation inhibition rate and improved inhibition effect. Conversely, when the amount of deep straw mulch is kept the same, increasing the quantity of surface straw mulch results in a higher evaporation inhibition rate and enhanced inhibition effect.
Figure 5 presents the mean soil evaporation rates of various straw mulching treatments after a 45-day evaporation period. Based on the data in Figure 5, the soil evaporation rates for CK, SC, DB, S1D1, S2D1, and S1D2 treatments were 1.27 mm/day, 0.90 mm/day, 0.92 mm/day, 0.80 mm/day, 0.43 mm/day, and 0.58 mm/day, respectively, throughout the evaporation process. The soil evaporation rates for all straw mulching treatments were lower than that of the control (CK). Notably, the S2D1 treatment exhibited the lowest soil evaporation rate, which was 66.14% lower than that of the CK treatment. This finding suggests that the S2D1 treatment had the most significant inhibitory effect on soil water evaporation, making it more conducive to enhancing soil water utilization.

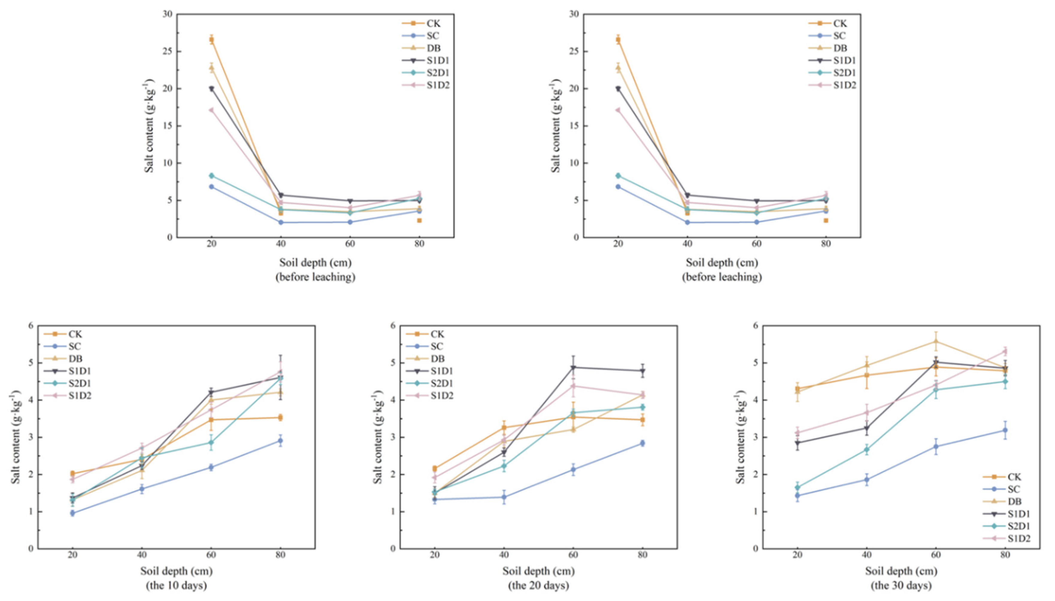
3.1.2. Changes in salt dynamics

Figure 6 shows the effect of different straw mulching methods on the salt content of the soil profile at different times. As can be seen from Figure 6, 200 mm of fresh water was poured into the soil column at the beginning of the experiment, and the salts in the soil surface layer were drenched to the soil sublayer after the watering. Before and after the drenching, the soil salinity content of different treatments changed significantly, especially on the soil salinity in the 0-40 cm soil layer of each treatment. As demonstrated in Figure 6, the salts in the soil transitioned from the upper stratum to the lower stratum post-leaching across all experimental treatments. However, discrepancies were observed in both the transport rates and content between the treatments. To gain insight into the specific alterations in salt concentrations before and after leaching for each soil treatment, the leaching efficiency within the 0-40 cm soil layer was computed for each treatment. The leaching efficiency values were found to be 68.45%, 70.22%, 55.98%, 83.31%, 68.46%, and 76.30% for the CK, SC, DB, S1D1, S2D1, and S1D2 treatments, respectively. The leaching efficiency of the SC and S2D1 soil columns were nearly identical to that of the CK, while the leaching efficiency of the DB soil column exhibited a 18.21% reduction relative to the CK. Conversely, the leaching efficiency of the S1D1 and S1D2 soil columns increased by 21.71% and 11.47% compared to the CK, respectively. Notably, the S1D1 treatment demonstrated the highest desalination rate, which proved more advantageous for enhancing water utilization. Figure 6 also shows that different treatments can inhibit salt return to the soil surface, and the different effects of different straw mulching methods on soil salt return become more and more obvious as time progresses. After 30 days of evaporation, the re-salinization levels of each 0-40 cm soil column were 225.67%, 74.98%, 128.45%, 149.06%, 17.96%, and 121.99%, respectively. The salt reversion rates of single-layer straw mulch treatment (SC, DB) and straw mulching + deep burial treatments (S1D1, S2D1, S1D2) were lower than that of the CK, indicating that straw mulching is advantageous for promoting soil salt management, salt suppression, and enhancing water utilization in the soil. The salt reversion rate of the S2D1 soil column was the lowest, at 92.04% less than that of CK, signifying that it is the most effective treatment for inhibiting soil salt reversion. This is because the straw compartment soil in the evaporation, straw still stored more water, its solution salt concentration is not high, the evaporation of water inside the compartment can expand the water potential difference between it and the soil layer, inhibit the water and salt upward, which can reduce the salt surface polymerization; coupled with the soil surface layer covered with straw to effectively inhibit the vertical evaporation of soil moisture, can better inhibit the evaporation of soil moisture and return to the salt.

3.1.3. Correlation analysis

Water and salt movement has its own rules and characteristics, in which water movement plays a dominant and decisive role. Therefore, the correlation between the cumulative evapotranspiration of soil moisture and soil salinity during the experimental period was analyzed in this study, and the results are shown in Table 3. The results of the correlation analysis are shown in Table 3, from which it can be seen that the correlation coefficient between cumulative evaporation of soil moisture and cumulative soil salinity is 0.848, which belongs to a highly positive correlation, i.e., the greater the evaporation of soil moisture, the greater the cumulative soil salinity.

3.2. Effects of different treatments on water-salt distribution in agricultural soils

3.2.1. Moisture distribution characteristics

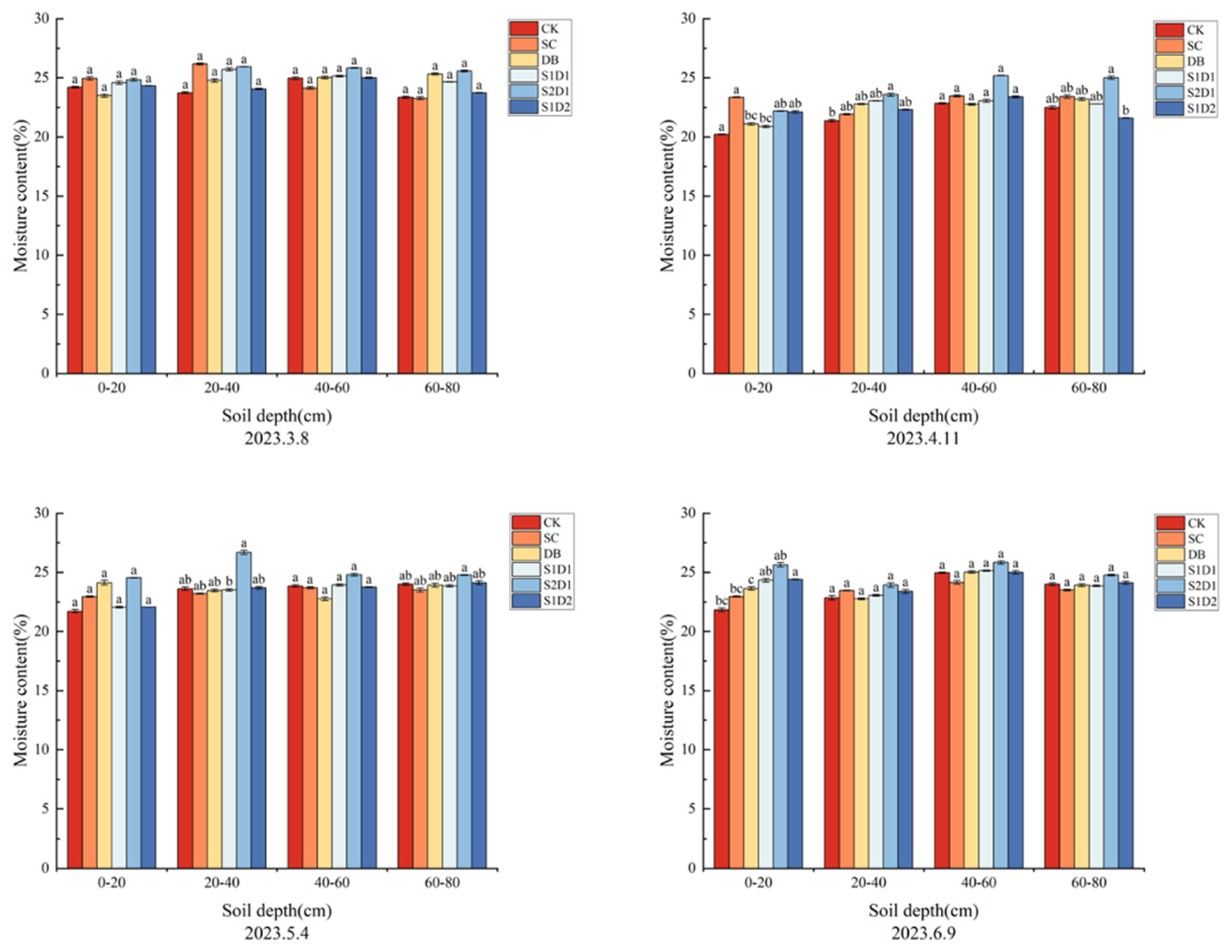
During the experimental period, soil moisture content was mainly affected by straw treatment, rainfall, evaporation and temperature, and the distribution of soil moisture in the farmland was complicated. Figure 7 shows the changes of soil profile moisture content in different periods of each treatment. From the figure, it can be seen that there are obvious differences in soil profile moisture content between different treatments due to different moisture retention effects. On March 8, 2023, influenced by rainfall factors, there was no significant difference between the soil layers of different treatments. Compared with CK, SC treatment had relatively higher soil moisture content in the 0-40 cm soil layer, DB treatment could increase soil moisture content in the 20-80 cm soil layer. Both S1D1 and S2D1 treatments increased soil moisture content in all soil horizons of the soil, with the S2D1 treatment having higher moisture content in all soil horizons, whereas soil moisture content in all soil horizons of the S1D2 treatment did not differ significantly from that of CK. On April 11, 2023, the soil surface moisture content varied significantly among treatments due to reduced rainfall. Compared to CK, the SC treatment increased soil moisture content in the 0-20 cm soil layer by 16%, and the moisture content in all other soil layers was also higher than that of CK, but no significant difference existed. The DB and S1D1 treatments increased soil moisture content in all soil layers, but none of them had significant differences. The S2D1 treatment also increased soil moisture content in all soil layers, especially in the 40-80 cm layer, which had significant differences compared to CK. S1D2 treatment did not differ significantly from CK in terms of soil moisture content in all soil horizons. On May 4, 2023, the SC treatment increased soil moisture content in the 0-20 cm soil layer, but there was no significant difference. The DB treatment had relatively higher soil moisture content in the 0-20 cm soil layer compared to CK, but the moisture content in the 20-80 cm layer was lower than that of CK. The S1D1 and S1D2 treatments did not have significant differences in soil moisture content in all layers compared to CK. The S2D1 treatment had the best water retention with higher water content in all soil layers. On June 9, 2023, the soil moisture content in the 0-20 cm soil layer of each treatment differed significantly, among which the S2D1 treatment had the highest moisture content, which was 17.4% higher than that of CK, and there was no significant difference between treatments in other soil layers compared to CK.
It can be seen that the different treatments can play a certain role in water retention, of which the S2D1 treatment can significantly inhibit the evaporation and dissipation of soil moisture and has the best effect of water and moisture retention, which is consistent with the results of the indoor soil column test.

3.2.2. Salt distribution characteristics

Figure 8 shows the distribution of average soil salinity in different treatments during the experimental period. As shown in the figure, all treatments had higher salinity in the 0-20 cm soil layer, indicating that there was an obvious salt epimerization phenomenon. Among them, the soil salinity of CK was the most obvious, and the average soil salinity reached 12.82g/kg, while the S1D2 had the lowest salinity, indicating that it had the best effect of inhibiting the return of salts to the soil surface layer. The soil salinity of each treatment in the 20-40cm soil layer reached the lowest value in the whole soil layer, among which the average soil salinity of S2D1 was the lowest, 4.07g/kg, indicating that S2D1 could effectively reduce the salinity of the soil till layer. And then the average soil salinity of each treatment in the 40-80 cm soil layer increased, but it was still less than the salinity of the 0-20 cm soil layer. Among them, the soil salinity of DB was the lowest, but there was no significant difference with S2D1, indicating that both of them could effectively inhibit the salt return to the deep soil.
Table 4 shows the salt inhibition rate of different treatments compared with CK during the experimental period. From the table, it can be learned that there are significant differences in the salt suppression effect of different treatments in different soil layers, and the general trend is that with the deepening of the soil layer the salt inhibition rate of the treatments gradually decreases, and the salt suppression effect is weakened. In the 0-20cm soil layer, the salt suppression effect of each treatment was the best, and the salt inhibition rate of SC, DB, S1D1, S2D1, S1D2 were 35.46%, 44.76%, 50.98%, 54.80%, and 37.30%, respectively, of which the salt inhibition rate of S2D1 was the highest, which indicated that the S2D1 could effectively inhibit the return of salt to the surface layer of the soil. In the 20-40 cm soil layer, the salt inhibition rate of S2D1 was still the highest at 49.47%, which indicated that S2D1 could significantly reduce the salt content of soil tillage layer and alleviate the salt damage effect of saline soil on crops. In the 40-80 cm soil layer, the salt inhibition rate of DB was the highest, followed by the salt suppression effect of straw mulching + deep burial treatments (S1D1, S2D1, S1D2), while there was no significant difference in the salt suppression effect of SC compared with CK. This indicates that deep buried straw can significantly inhibit the salt return to the deep soil layer, and surface mulched straw can only inhibit the salt return to the surface layer of the soil, and the inhibition effect on the deep soil salinity is poor.
In conclusion, the different treatments had the effect of salt control and salt suppression on all soil layers, among which the salt suppression effect of S2D1 treatment on 0-40cm soil layer was particularly significant, which was consistent with the results of the soil column test. In the 40-80cm soil layer, the salt inhibition rate of each treatment decreased, among which DB treatment had the best salt suppression effect on deep soil, and the salt inhibition rate of S2D1 treatment was lower than that of DB but there was no significant difference.

4. Discussion

4.1. Effect on soil water evaporation

Soil moisture evaporation, the primary pathway for water vapor to enter the atmosphere from the soil surface, constitutes a significant source of inefficient soil moisture loss. This process is influenced by various factors such as temperature, humidity, wind speed, and atmospheric pressure. Straw mulching, an effective technique for conserving soil moisture, has been observed to increase the water content in the topsoil (0-5 cm) layer and reduce evaporation rates regardless of soil type. In comparison with bare soil, straw mulching reduced the evaporation rate by 26% as groundwater salinity increased[26] . Straw mulching mitigates energy exchange between the soil and the atmosphere, thereby stabilizing soil temperature, inhibiting soil evaporation, and enhancing soil water content. The presence of straw mulch on the soil surface modifies the soil moisture evaporation interface from a soil-atmosphere to a straw-atmosphere one. The discontinuity between the straw and the soil hinders soil moisture from reaching the heat necessary for evaporation, consequently decelerating the rate of soil moisture evaporation within the soil column. The quantity of straw mulch is a critical factor affecting soil moisture evaporation, and the impact of varying amounts of straw mulch on evaporation differs. Research indicates that 3-10 t/hm^2 of straw mulch can decrease ineffective evaporation in the soil by 20%-90%; however, increasing the mulch amount to suppress evaporation beyond this range becomes less effective [27] . The thickness of the straw mulch layer also influences the inhibition of soil water evaporation. As the thickness of the straw mulch increases, soil water evaporation is effectively restrained, and the cumulative soil evaporation diminishes accordingly. When the straw mulch thickness exceeds 10 cm, the impact of other external factors on daily soil evaporation is notably reduced; however, even at a thickness of 30 cm, these external environmental effects on soil moisture evaporation cannot be entirely eliminated[28] . Given the limited influence of the surface straw mulch layer on deep soil moisture transport, some researchers have proposed inhibiting soil moisture evaporation by burying the straw layer to further optimize soil moisture utilization. Studies have demonstrated that placing the straw layer 25 cm below the soil can impede water infiltration and significantly enhance the water storage capacity and efficiency of the 0-25 cm soil layer. When the upper limit of irrigation water does not surpass the field water holding capacity, the water storage efficiency of the 0-25 cm soil layer attains 89%-91% after six days[29] . Different straw mulching or burial techniques can suppress soil moisture evaporation to varying extents. Consequently, some researchers have suggested that employing straw mulching + deep burial model can further inhibit soil moisture evaporation. Studies reveal that the efficacy of straw mulching + deep burial model surpasses that of single straw mulching model, and a correlation exists between the depth of straw burial and soil moisture evaporation under straw mulching + deep burial model. The most advantageous approach for inhibiting soil moisture evaporation involves burying the upper layer at a depth of 80 mm and the lower layer at a depth of 300 mm[30] .
The application of straw mulching + deep burial model, consisting of deep straw mulch and surface straw mulch, can significantly enhance soil water content and water storage at the end of infiltration. This method not only inhibits water evaporation from the deep soil layer but also minimizes water loss from the surface soil layer, resulting in high water content across all soil layers and improved soil water use efficiency. In this study, we conducted an experiment to investigate the effects of straw layering treatments on soil water evaporation. The results of the soil column experiment showed that after 45 days of evaporation, the soil water evaporation inhibition rates for SC, DB, S1D1, S2D1, and S1D2 treatments were found to be 29.3%, 27.82%, 37.46%, 65.89%, and 54.54%, respectively. The results indicate that the straw mulching + deep burial treatment is more effective in reducing soil water evaporation than single layer straw mulching. Among the treatments, the S2D1 treatment (a 2:1 ratio of soil surface cover to the amount of straw buried 40cm below the soil surface) demonstrated the most effective suppression of evapotranspiration, which was consistent with the findings of the field experiment. Therefore, it can be learned that the straw mulching + deep burial model significantly improves soil water retention and evaporation inhibition, contributing to enhanced soil water use efficiency in the context of soil ecology.

4.2. Effect soil salinity dynamics

Mulching treatments can suppress soil water evaporation and prevent soil salt accumulation. Research findings suggest that mulching effectively reduces soil salinity in the 0-20 cm layer, and the inhibitory effect on upper soil salinity intensifies as the salt concentration increases[31] . Employing straw, biochar, and peat as salt barrier materials influences the distribution of water and salt in coastal saline soils, with the straw layer being the most effective in controlling salt accumulation[32] . The surface layer of straw mulch can efficiently hinder the movement of salts from deeper soil layers to the surface, and the salinity difference between surface and deep soil layers gradually diminishes as the amount of straw mulch increases. When the straw mulch quantity reached 7500 kg/ha, the salt content of the 0-10 cm soil layer decreased by 3.21%[33] . The soil desalination degree increases with the thickness of the straw mulch. However, secondary salinization may occur as a thicker straw layer enhances the upward salt movement rate during evaporation[34] . Surface straw mulch can reduce the total salt mass deposited in the 0-100 cm soil layer, but the salt content in the 0-20 cm layer significantly increases over time[35] . Consequently, some studies have proposed using buried straw compartments to control soil salinity. These investigations demonstrate that straw compartments enhance irrigation drenching effects during the infiltration phase and inhibit salt return to the soil surface during the evaporative phase[36] . Burying the straw barrier at a 40 cm depth can disrupt soil continuity, thereby inhibiting salt aggregation and reducing soil salinity[37] . However, the deep burial of the straw barrier only impedes the upward movement of salts below the barrier and does not decrease salt aggregation above the barrier to the soil surface.
In this study, we employed a combination of surface mulching and deep burial techniques to mitigate the transport of salts from the deep soil layers to the upper layers and to reduce the accumulation of salts on the soil surface. Our experimental results revealed that during the leaching and infiltration stage, the leaching rates in the 0-40 cm soil layer for CK, SC, DB, S1D1, S2D1, S1D2 treatments were 68.45%, 70.22%, 55.98%, 83.31%, 68.46%, and 76.30%, respectively. Compared to the CK, the SC treatment (surface-covered straw) did not show significant changes, while the straw mulching + deep burial treatments (S1D1, S2D1, S1D2) were more effective in enhancing soil dewatering and desalination rates. Among these treatments, S1D1 treatment (a 1:1 ratio of soil surface cover to the amount of straw buried 40cm below the soil surface) exhibited the highest desalinization rate, with a 14.83% increase in soil desalinization compared to the CK. During the water evaporation phase, the soil resalinization rate at 0-40 cm depth in the S2D1 treatment (a 2:1 ratio of soil surface cover to the amount of straw buried 40cm below the soil surface) was 207.71% lower than that in the CK. In the field experiment, the S2D1 treatment had the best effect on controlling salinity in the soil surface layer and soil tillage layer, with salt suppression rates of 54.80% and 49.47% in the 0-20 cm and 20-40 cm soil layers. This result indicates that S2D1 treatment is more effective at inhibiting soil resalinization and promoting soil salinity control and salt suppression. Consequently, employing straw mulching + deep burial model may prove to be a superior method for improving saline soils.

4.3. Soil water and salt transport patterns

In accordance with the principle of "Salt comes with water, salt goes with water," the migration of soil salinity is closely associated with water movement. As soil water evaporates, the salts within the soil progressively migrate to the surface, leading to a continuous build-up of salinity in each soil layer, a phenomenon referred to as salt return. During the evaporation process, salts from deeper soil strata ascend to the surface along with soil moisture, and upon evaporation, these salts accumulate on the soil surface. Conversely, during precipitation or irrigation events, water infiltration facilitates the downward transportation of salts to the deeper soil layers[38] . In this study, the relationship between soil moisture and salinity under straw mulch treatments was examined by correlating the cumulative evaporation of soil moisture with the cumulative salinity of the soil. The findings demonstrated a strong correlation between the migration of soil salinity and moisture movement. Both water and salt transport exhibit distinct characteristics and follow specific patterns, with the accumulation of soil salts increasing as soil water evaporation escalates. Given that water serves as a natural solvent for soil salts, dissolving and carrying various mineral salts during transport, water movement plays a pivotal role in the soil water-salt transport process. These results suggest that implementing straw mulching as a means to suppress soil water evaporation is a viable strategy for reducing salt accumulation in the soil.

5. Conclusions

The effects of different straw mulching methods on soil evapotranspiration properties and salt distribution were preliminarily investigated through indoor soil column simulation tests. The primary findings of these investigations are summarized below.
(1) Straw mulching has been demonstrated to be efficient in mitigating soil water evaporation, with varying degrees of effectiveness observed in different treatment methods. The hierarchy of evaporation suppression, in descending order of efficacy, is as follows: S2D1 > S1D2 > S1D1 > SC > DB. Straw mulching + deep burial model exhibits superior performance in reducing soil water evaporation compared to single-layer straw mulching. Specifically, S2D1 treatment (a 2:1 ratio of soil surface cover to the amount of straw buried 40cm below the soil surface) had the most obvious effect and the cumulative evaporation of soil moisture was 65.85% lower than that of CK (the control treatment), which had the best effect of inhibiting evaporation.
(2) In the drenching and infiltration stage, S1D1 treatment (a 1:1 ratio of soil surface cover to the amount of straw buried 40cm below the soil surface) had the best drenching effect and the highest desalination rate. In the evaporation phase, S2D1 treatment had much lower salt levels than CK, indicating that the S2D1 treatment had the best inhibition effect on soil salinity reversal.
(3) There was a significant positive correlation between the cumulative evaporation of soil water and cumulative soil salinity, which meant that the cumulative soil salinity increased with the cumulative evaporation of soil water.
The effects of different straw mulching methods on soil water and salt transport in agricultural soils were investigated through a microzone test as a validation test, and the results were consistent with the soil column test, with specific conclusions as follows.
(1) Different treatments could reduce the evaporation of soil moisture, but the moisture retention effect and duration were different. Among them, the S2D1 treatment maintained high soil water content in all soil layers during all periods of the experiment, which could obviously inhibit the evaporation and dissipation of soil moisture.
(2) Different treatments can inhibit soil salinity return to a certain extent in all soil layers. All treatments could keep the soil salinity in the 0-40 cm soil layer at a lower level, among which the S2D1 treatment had the best effect on salt suppression in the surface soil. In the 40-80 cm soil layer, the best soil salinity suppression was DB treatment (straw buried at 40 cm below soil surface) .

Author Contributions

Mengzhu Li and Wei Wang curated the data, analyzed the results, and wrote the original draft; Weifeng Chen and Endian Chen conceived the experiment, administrated the project, and carried out supervision; Mengzhu Li, Chunmei Yao, Weifeng Chen, Yuanbo Wang, Zanxia Wang, Xiaofang Wang and Weizhi Zhou conducted the experiment. All authors reviewed the final manuscript.

Funding

This research was funded by Key Projects of the National Natural Science Foundation of China and Shandong Joint Fund (Grant No. U1906221); Shandong Provincial Natural Science Foundation of China (ZR2022MC114); Shandong Province's Major Science and Technology Innovation Project (Grant No. 2021CXGC010704).

Institutional Review Board Statement

Not applicable.

Informed Consent Statement

Not applicable.

Data Availability Statement

All data generated or analyzed during this study are included in this article.

Conflicts of Interest

The authors declare no conflict of interest.

References

  1. Fei, Yuanhang; Dongli She; Lei Gao; Pei Xin. Micro-CT Assessment on the Soil Structure and Hydraulic Characteristics of Saline/Sodic Soils Subjected to Short-Term Amendment. Soil and Tillage Research 2019, 193, 59–70. [Google Scholar] [CrossRef]
  2. Hopmans; Jan W. ; A.S. Qureshi; I. Kisekka; R. Munns; S.R. Grattan; P. Rengasamy; A. Ben-Gal. Critical Knowledge Gaps and Research Priorities in Global Soil Salinity. Advances in Agronomy 2021, 169, 1–191. [Google Scholar]
  3. Sahab; Sinha; Ibha Suhani; Vaibhav Srivastava; Puneet Singh Chauhan; Rajeev Pratap Singh; Vishal Prasad. Potential Risk Assessment of Soil Salinity to Agroecosystem Sustainability: Current Status and Management Strategies. Science of The Total Environment 2021, 764, 144164. [Google Scholar] [CrossRef]
  4. Hongjun Yang; Jiangbao Xia; Qian Cui; Jingtao Liu; Shoucai Wei; Lu Feng; Kaikai Dong. Effects of Different Tamarix Chinensis-Grass Patterns on the Soil Quality of Coastal Saline Soil in the Yellow River Delta, China. Science of The Total Environment 2021, 772, 145501. [Google Scholar] [CrossRef]
  5. Qian Cui; Jiangbao Xia; Hongjun Yang; Jingtao Liu; Pengshuai Shao. Biochar and Effective Microorganisms Promote Sesbania Cannabina Growth and Soil Quality in the Coastal Saline-Alkali Soil of the Yellow River Delta, China. Science of The Total Environment 2021, 756, 143801. [Google Scholar] [CrossRef] [PubMed]
  6. Kesheng Li; Quanxin Li; Yuhan Geng; Chuanxiao Liu. An Evaluation of the Effects of Microstructural Characteristics and Frost Heave on the Remediation of Saline-alkali Soils in the Yellow River Delta, China. Land Degradation & Development 2021, 32, 1325–37. [Google Scholar]
  7. Si-Qi Jiang; Ya-Nan Yu; Ren-Wei Gao; Huan Wang; Jian Zhang; Rong Li; Xiao-Hua Long; Qi-Rong Shen; Wei Chen; Feng Cai. High-Throughput Absolute Quantification Sequencing Reveals the Effect of Different Fertilizer Applications on Bacterial Community in a Tomato Cultivated Coastal Saline Soil. Science of The Total Environment 2019, 687, 601–9. [Google Scholar] [CrossRef]
  8. Du, X.J.; Yan, B.W.; Xu, K.; Wang, S.Y.; Gao, Z.D.; Ren, X.Q.; Hu, S.W.; Yun, W.J. Advances in the Theory and Modeling of Water and Salt Transport in Saline Lands. Chinese Journal of Soil Science 2021, 52, 713–721. [Google Scholar]
  9. Deng, Y.P.; Sun, C.T.; Sun, Y.S.; Zhang, J.P.; Mi, Z.R.; Mao, W.B.; Sun, Y.X. Water and Salt Distribution and Evaporation Characteristics of Coastal Saline Soils under Straw Mulching Conditions. China Rural Water and Hydropower 2021, 2021, 128–133. [Google Scholar]
  10. Yin, Z.R.; Ke, Y.; Gui, L.G.; Zhang, Y.H.; Wang, P. Effect of Sand Cover on Water and Salt Transport and Growth and Yield of Lycium Barbarum in Saline Soils. Acta Agriculturae Boreali-occidentalis Sinica 2021, 30, 1382–1393. [Google Scholar]
  11. Runya Yang; Cuixiang Zhou; Jinjin Zhu, Yinghua Pan; Junna Sun; Zhenhua Zhang. Effects of Biochar Application on Phreatic Water Evaporation and Water-Salt Distribution in Coastal Saline Soil. Journal of Plant Nutrition 2019, 42, 1243–53. [Google Scholar] [CrossRef]
  12. Fan, L.L.; Shi, H.B.; Li, R.P.; Miao, Q.F.; Wang, S.N.; Pei, W.W. Effect of straw mulch on salt migration and water use efficiency of maize by furrow irrigation. Transactions of the Chinese Society of Agricultural Machinery 2021, 52, 283–293. [Google Scholar]
  13. Carson, E. Dann; M.L. Cabrera; R. Thapa; S. Mirsky; K. Tully; C. Reberg-Horton; R. Hitchcock; F. Morari. Modeling Water Potential of Cover Crop Residues on the Soil Surface. Ecological Modelling 2021, 459, 109708. [Google Scholar]
  14. Yonghui Yang; Hao Liu; Jicheng Wu; Sensen Zhang; Cuimin Gao; Shuiqing Zhang; Darrell W. S. Tang. Soil Enzyme Activities, Soil Physical Properties, Photosynthetic Physical Characteristics and Water Use of Winter Wheat after Long-Term Straw Mulch and Organic Fertilizer Application. Frontiers in Plant Science 2023, 14, 1186376. [Google Scholar] [CrossRef]
  15. Xinjun Huang; Hengfei Wang; Meng Zhang; Rainer Horn; Tusheng Ren. Soil Water Retention Dynamics in a Mollisol during a Maize Growing Season under Contrasting Tillage Systems. Soil and Tillage Research 2021, 209, 104953. [Google Scholar] [CrossRef]
  16. Junfeng Chen; Xue Xie; Xiuqing Zheng; Jing Xue; Chunyan Miao; Qi Du; Yongxin Xu. Effect of Straw Mulch on Soil Evaporation during Freeze–Thaw Periods. Water 2019, 11, 1689. [Google Scholar] [CrossRef]
  17. Qiang Fu; Peiru Yan; Tianxiao Li; Song Cui; Li Peng. Effects of Straw Mulching on Soil Evaporation during the Soil Thawing Period in a Cold Region in Northeastern China. Journal of Earth System Science 2018, 127, 33. [Google Scholar] [CrossRef]
  18. Hiba M., Alkharabsheh; Mahmoud F., Seleiman; Omar A., Hewedy; Martin L., Battaglia; Rewaa S., Jalal; Bushra, A. Alhammad; Calogero Schillaci; Nawab Ali; Abdullah Al-Doss. Field Crop Responses and Management Strategies to Mitigate Soil Salinity in Modern Agriculture: A Review. Agronomy 2021, 11, 2299. [Google Scholar]
  19. 19. Yao Mingze; Li Bo; Wang Tieliang; Feng Xue. Effects of Straw Size in Buried Straw Layers on Water Movement in Adjacent Soil Layers. International Journal of Agricultural and Biological Engineering 2016, 9 (2). Beijing: Chinese Acad Agricultural Engineering: 74–84.
  20. Zhong, Z.Y.; Zhang, Y.; Feng, Z.Y.; Huang, C.Z.; Wang, J. Experimental Study on Simulation of Soil Water and Salt Transport by Combining Deep Burial of Straw with Mulching. Journal of Irrigation and Drainage 2019, 38, 25–30. [Google Scholar]
  21. Zhang, W.F.; Yang, S.Q.; Jin, Y.H.; Lou, S.; Liu, P. Effect of Irrigation Water under Deep Straw Burial on Soil Water and Salt Distribution and Summer Corn Yield. Transactions of the Chinese Society of Agricultural Machinery 2021, 52, 228–237. [Google Scholar]
  22. Yonggan Zhao; Huancheng Pang; Jing Wang; Long Huo; Yuyi Li. Effects of Straw Mulch and Buried Straw on Soil Moisture and Salinity in Relation to Sunflower Growth and Yield. Field Crops Research 2014, 161, 16–25. [Google Scholar] [CrossRef]
  23. Zhu, D.Y.; Xu, Z.Q.; Han, M.; Zhu, W.S.; Li, Z.C.; Hu, Y.H.; Wang, J.L. Effect of Different Material Covers on the Physicochemical Properties of Saline Soils in the Yellow River Delta. Journal of Qingdao Agricultural University(Natural Science) 2022, 39, 79–84. [Google Scholar]
  24. Fang-di Chang; Xi-quan Wang; Jia-shen Song; Hong-yuan Zhang; Ru Yu, Jing Wang, Jian Liu; Shang Wang; Hong-jie Ji; Yu-yi Li. Maize Straw Application as an Interlayer Improves Organic Carbon and Total Nitrogen Concentrations in the Soil Profile: A Four-Year Experiment in a Saline Soil. Journal of Integrative Agriculture 2023, 22. [Google Scholar]
  25. Shan Li; Yuanyuan Yao; Mingchuan Yang; Yanpeng Zhang; Shugang Zhang; Tianlin Shen; Fangjun Ding; Zizao Li; Wenzheng Liu; Jiutao Cui; Yuechao Yanget. Effects of Different Amendments on Aggregate Stability and Microbial Communities of Coastal Saline–Alkali Soil in the Yellow River Delta. Land Degradation & Development 2023, 34, 1694–1707. [Google Scholar]
  26. Ashkan Yusefi; Ahmad Farrokhian Firouzi; Milad Aminzadeh. The Effects of Shallow Saline Groundwater on Evaporation, Soil Moisture, and Temperature Distribution in the Presence of Straw Mulch. Hydrology Research 2020, 51, 720–38. [Google Scholar] [CrossRef]
  27. Liu, Y.Q.; Wang, J.L.; Li, Z.Z. Progress of Research on the Effect of Straw Mulch on Soil Moisture and Erosion. Research of Soil and Water Conservation 2021, 28, 429–436. [Google Scholar]
  28. Junfeng Chen; Yizhao Wei; Xiping Zhao; Jing Xue; Shuyuan Xu; Qi Du. Simulation of Soil Water Evaporation during Freeze–Thaw Periods under Different Straw Mulch Thickness Conditions. Water 2020, 12, 2003. [Google Scholar] [CrossRef]
  29. Ghulam Rasool; Shuxuan Zhang; Feng Wu; Xiangping Guo. Effects of the Buried Straw Layer on Soil Water and Nitrogen Distribution under Different Irrigation Limits. International Journal of Agricultural and Biological Engineering 2022, 15, 141–45. [Google Scholar] [CrossRef]
  30. Zhou, C.Q.; Zhao, W.J.; Wang, Z.Z.; Xu, J.T. Effect of Double Straw Mulching in Different Layers on Soil Water Evaporation. Water Saving Irrigation 2019, 30–33. [Google Scholar]
  31. Mingming Zhang; Baodi Dong; Yunzhou Qiao; Hong Yang; Yakai Wang; Mengyu Liu. Effects of Sub-Soil Plastic Film Mulch on Soil Water and Salt Content and Water Utilization by Winter Wheat under Different Soil Salinities. Field Crops Research 2018, 225, 130–40. [Google Scholar] [CrossRef]
  32. Mao Yang; Runya Yang; Yanni Li; Yinghua Pan; Junna Sun; Zhenhua Zhang. Effects of Different Biomass Materials as a Salt-Isolation Layer on Water and Salt Migration in Coastal Saline Soil. PeerJ 2021, 9, e11766. [Google Scholar] [CrossRef] [PubMed]
  33. Sun, B.; Xie, J.C.; Wang, N.; Zhu, J.W.; Zhang, J.L.; Li, C.J. Experimental Study on the Effect of Straw Mulch on Water and Salt in Salinized Soil. Bulletin of Soil and Water Conservation 2011, 31, 48–51. [Google Scholar]
  34. Hongyuan Zhang; Huancheng Pang; Yonggan Zhao; Chuang Lu; Na Liu; Xiaoli Zhang; Yuyi Li. Water and Salt Exchange Flux and Mechanism in a Dry Saline Soil Amended with Buried Straw of Varying Thicknesses. Geoderma 2020, 365, 114213. [Google Scholar] [CrossRef]
  35. Peirong Lu; Zhanyu Zhang; Zhuping Sheng; Mingyi Huang; Zemin Zhang. Effect of Surface Straw Incorporation Rate on Water–Salt Balance and Maize Yield in Soil Subject to Secondary Salinization with Brackish Water Irrigation. Agronomy 2019, 9, 341. [Google Scholar] [CrossRef]
  36. Guo, X.P.; Yang, B.; Wang,Z. C.;Chen, S.;Liu, M.H.;Chen, R. Effect of Straw Compartments on Water and Salt Transport in Coastal Saline Soils. Journal of Irrigation and Drainage 2016, 35, 22–27. [Google Scholar]
  37. Li, F.R.; Yang, J.S.; Wu, Y.K.; Yao, R.J.; Yu, S.P.; Zhang, J.B. Effects of Different Straw Burial Depths on Water and Salt Dynamics of Saline Soils in Northern Jiangsu Mudflats. Soil 2013, 45, 1101–1107. [Google Scholar]
  38. Zhou, L.; Su, T.; Zhao, L. Simulation of Water and Salt Transport Patterns in Shallow Soils with Different Soil Textures: an Example from the Jiefangzha Irrigation Area in Inner Mongolia. Water Saving Irrigation 2019, 91–95. [Google Scholar]
Figure 1. Testing Device for Different Straw Mulching Treatments.
Figure 1. Testing Device for Different Straw Mulching Treatments.
Preprints 80866 g001
Figure 2. Diurnal variation of daily evapotranspiration of different straw mulching methods.
Figure 2. Diurnal variation of daily evapotranspiration of different straw mulching methods.
Preprints 80866 g002
Figure 3. Variation of cumulative evaporation with time in different straw mulching.
Figure 3. Variation of cumulative evaporation with time in different straw mulching.
Preprints 80866 g003
Figure 4. The Rate of Water Evaporation Inhibition under Different Straw Covering Modes.
Figure 4. The Rate of Water Evaporation Inhibition under Different Straw Covering Modes.
Preprints 80866 g004
Figure 5. The Average Evaporation Intensity under Different Straw Covering Modes.
Figure 5. The Average Evaporation Intensity under Different Straw Covering Modes.
Preprints 80866 g005
Figure 6. Different straw mulching on soil salt content in the section effects.
Figure 6. Different straw mulching on soil salt content in the section effects.
Preprints 80866 g006
Figure 7. Soil water content for different treatments in different periods.
Figure 7. Soil water content for different treatments in different periods.
Preprints 80866 g007
Figure 8. Distribution of soil salinity in different treatments.
Figure 8. Distribution of soil salinity in different treatments.
Preprints 80866 g008
Table 1. Basic properties of soils used in the experiment.
Table 1. Basic properties of soils used in the experiment.
Soil type TN
(g/kg)
AP
(mg/kg)
AK
(mg/kg)
SOM
(g/kg)
pH EC
(μs/cm)
SAR
(mmolc L-1)0.5
Total salt
(g/kg)
Bulk densit (g/cm3)
salted tidal soil 0.93 34.14 110.87 9.67 8.14 1735.5 13.1 6.4 1.39
Note: TN, total nitrogen; AP, available phosphorus; AK, available potassium; SOM, soil organic matter; EC, electrical conductivity; SAR, sodium adsorption ratio.
Table 2. Basic properties of the field soil at the beginning of the experiment.
Table 2. Basic properties of the field soil at the beginning of the experiment.
Soil depth TN
(g/kg)
AP
(mg/kg)
AK
(mg/kg)
SOM
(g/kg)
pH EC
(μs/cm)
SAR
(mmolc L-1)0.5
Total salt
(g/kg)
Bulk densit (g/cm3)
0-20cm 0.67 37.4 118.3 10.41 8.39 1764.3 13.5 6.13 1.31
20-40cm 0.53 30.2 83.47 7.18 8.36 1699.5 12.8 6.57 1.41
40-60cm 0.41 21.2 51.15 6.17 8.37 1652.3 12.1 6.11 1.46
60-80cm 0.49 22.8 52.55 6.77 8.39 1667.7 12.3 6.29 1.43
Note: TN, total nitrogen; AP, available phosphorus; AK, available potassium; SOM, soil organic matter; EC, electrical conductivity; SAR, sodium adsorption ratio.
Table 3. Water and salt related analysis.
Table 3. Water and salt related analysis.
Cumulative evaporation (mm) Cumulative salt content (g/kg)
Cumulative evaporation Pearson correlation 1 0.848*
Significance (bilateral) 0.033
The sum of square and fork product 481.1 120.8
Covariance 96.22 24.16
N 6 6
Cumulative salt content Pearson correlation 0.848* 1
Significance (bilateral) 0.033
The sum of square and fork product 120.8 42.18
Covariance 24.16 8.436
N 6 6
Note: Significant correlation at the 0.05 level.
Table 4. Water and salt related analysis.
Table 4. Water and salt related analysis.
Soil depth Salt inhibition rate(%)
SC DB S1D1 S2D1 S1D2
0-20cm 35.46 44.76 50.98 54.80 37.30
20-40cm 17.14 43.79 41.03 49.47 33.11
40-60cm 5.064 34.52 27.04 31.23 19.85
60-80cm 3.047 38.53 27.51 34.73 22.97
Disclaimer/Publisher’s Note: The statements, opinions and data contained in all publications are solely those of the individual author(s) and contributor(s) and not of MDPI and/or the editor(s). MDPI and/or the editor(s) disclaim responsibility for any injury to people or property resulting from any ideas, methods, instructions or products referred to in the content.
Copyright: This open access article is published under a Creative Commons CC BY 4.0 license, which permit the free download, distribution, and reuse, provided that the author and preprint are cited in any reuse.
Prerpints.org logo

Preprints.org is a free preprint server supported by MDPI in Basel, Switzerland.

Subscribe

Disclaimer

Terms of Use

Privacy Policy

Privacy Settings

© 2026 MDPI (Basel, Switzerland) unless otherwise stated