Submitted:
26 July 2023
Posted:
28 July 2023
You are already at the latest version
Abstract
Keywords:
1. Introduction
2. Materials and Methods
2.1. Semi-Supervised Learning
2.2. YOLOv5 DL Model
2.3. Deep Sort Algorithm
2.4. Neo-Deep Sort Algorithm
2.5. Final Model
3. Results and Discussion
3.1. Broiler Pens and Data Collection
3.2. Semi-Supervised YOLOv5 Training
3.2.1. Primary YOLOv5 Model Training
3.2.2. Labelling Images with the Primary YOLOv5 Model
3.2.3. Final YOLOv5 Model Training
3.3. Final Model: YOLOv5-Neo-DeepSort Application
3.3.1. Broiler Detection Levels
3.3.2. Broiler Tracking Performance
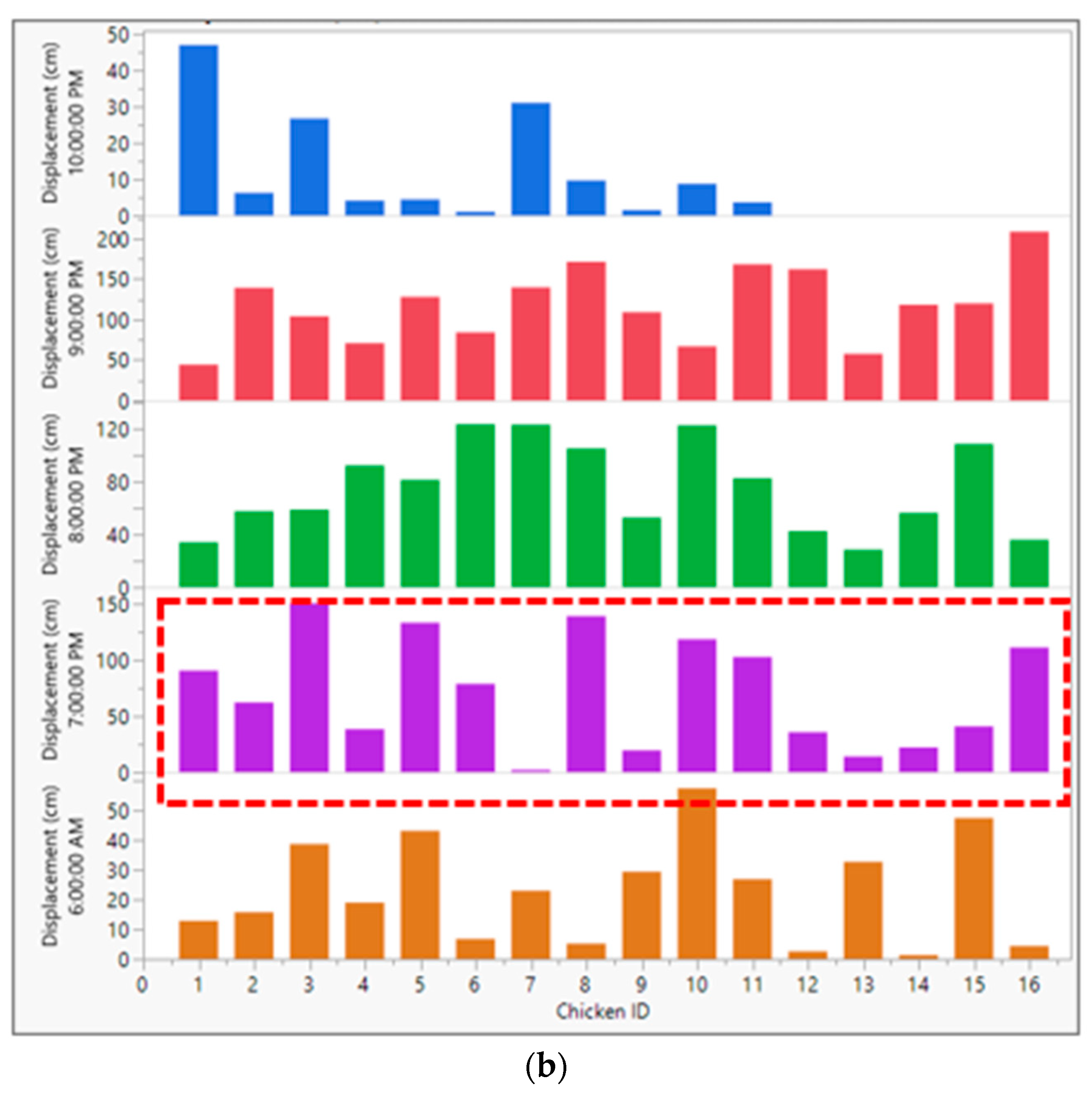
3.3.3. Broiler Flock Mobility Level
3.3.3.1. Total Displacement of Broilers at Flock Level
3.3.3.2. Flock Speed Levels
3.3.3.3. New Algorithm Application
5. Conclusions
Funding
References
- Gallardo, R.K.; Sauer, J. Adoption of Labor-Saving Technologies in Agriculture. Annual Review of Resource Economics 2018, 10, 185–206. [Google Scholar] [CrossRef]
- Granquist, E.G.; Vasdal, G.; de Jong, I.C.; Moe, R.O. Lameness and its relationship with health and production measures in broiler chickens. Animal 2019, 13, 2365–2372. [Google Scholar] [CrossRef] [PubMed]
- Gocsik, E.; Silvera, A.M.; Hansson, H.; Saatkamp, H.W.; Blokhuis, H.J. Exploring the economic potential of reducing broiler lameness. Br Poult Sci 2017, 58, 337–347. [Google Scholar] [CrossRef] [PubMed]
- Knowles, T.G.; Kestin, S.C.; Haslam, S.M.; Brown, S.N.; Green, L.E.; Butterworth, A.; Pope, S.J.; Pfeiffer, D.; Nicol, C.J. Leg disorders in broiler chickens: Prevalence, risk factors and prevention. PLoS ONE 2008, 3, e1545. [Google Scholar] [CrossRef] [PubMed]
- Okinda, C.; Nyalala, I.; Korohou, T.; Okinda, C.; Wang, J.; Achieng, T.; Wamalwa, P.; Mang, T.; Shen, M. A review on computer vision systems in monitoring of poultry: A welfare perspective. Artificial Intelligence in Agriculture 2020, 4, 184–208. [Google Scholar] [CrossRef]
- Aydin, A. Using 3D vision camera system to automatically assess the level of inactivity in broiler chickens. Computers and Electronics in Agriculture 2017, 135, 4–10. [Google Scholar] [CrossRef]
- Pereira, D.F.; Nääs, I.d.A.; Lima, N.D.d.S. Movement Analysis to Associate Broiler Walking Ability with Gait Scoring. AgriEngineering 2021, 3, 394–402. [Google Scholar] [CrossRef]
- Doornweerd, J.E.; Kootstra, G.; Veerkamp, R.F.; Ellen, E.D.; van der Eijk, J.A.J.; van de Straat, T.; Bouwman, A.C. Across-Species Pose Estimation in Poultry Based on Images Using Deep Learning. Frontiers in Animal Science 2021, 2. [Google Scholar] [CrossRef]
- Nasiri, A.; Yoder, J.; Zhao, Y.; Hawkins, S.; Prado, M.; Gan, H. Pose estimation-based lameness recognition in broiler using CNN-LSTM network. Computers and Electronics in Agriculture 2022, 197. [Google Scholar] [CrossRef]
- Fang, C.; Zhang, T.; Zheng, H.; Huang, J.; Cuan, K. Pose estimation and behavior classification of broiler chickens based on deep neural networks. Computers and Electronics in Agriculture 2021, 180. [Google Scholar] [CrossRef]
- de Alencar Nääs, I.; da Silva Lima, N.D.; Gonçalves, R.F.; Antonio de Lima, L.; Ungaro, H.; Minoro Abe, J. Lameness prediction in broiler chicken using a machine learning technique. Information Processing in Agriculture 2021, 8, 409–418. [Google Scholar] [CrossRef]
- Lin, C.-Y.; Hsieh, K.-W.; Tsai, Y.-C.; Kuo, Y.-F. Monitoring chicken heat stress using deep convolutional neural networks. In Proceedings of the 2018 Detroit, Michigan, July 29 - August 1 2018. [Google Scholar]
- Fang, C.; Huang, J.; Cuan, K.; Zhuang, X.; Zhang, T. Comparative study on poultry target tracking algorithms based on a deep regression network. Biosystems Engineering 2020, 190, 176–183. [Google Scholar] [CrossRef]
- Neethirajan, S. ChickTrack – A quantitative tracking tool for measuring chicken activity. Measurement 2022, 191. [Google Scholar] [CrossRef]
- VanVoorhis, C.W.; Morgan, B.L. Understanding power and rules of thumb for determining sample sizes. Tutorials in quantitative methods for psychology 2007, 3, 43–50. [Google Scholar] [CrossRef]
- van Engelen, J.E.; Hoos, H.H. A survey on semi-supervised learning. Machine Learning 2019, 109, 373–440. [Google Scholar] [CrossRef]
- Ouali, Y.; Hudelot, C.; Tami, M. An Overview of Deep Semi-Supervised Learning. 2020. [Google Scholar]
- Redmon, J.; Divvala, S.; Girshick, R.; Farhadi, A. n.d. You Only Look Once: Unified, Real-Time Object Detection.
- Wang, H.; Zhang, S.; Zhao, S.; Wang, Q.; Li, D.; Zhao, R. Real-time detection and tracking of fish abnormal behavior based on improved YOLOV5 and SiamRPN++. Computers and Electronics in Agriculture 2022, 192. [Google Scholar] [CrossRef]
- Liu, K.; Tang, H.; He, S.; Yu, Q.; Xiong, Y.; Wang, N. Performance Validation of Yolo Variants for Object Detection. In Proceedings of the 2021 International Conference on Bioinformatics and Intelligent Computing; 2021, pp. 239–243.
- Nepal, U.; Eslamiat, H. Comparing YOLOv3, YOLOv4 and YOLOv5 for Autonomous Landing Spot Detection in Faulty UAVs. Sensors (Basel) 2022, 22, 464. [Google Scholar] [CrossRef] [PubMed]
- Parico, A.I.B.; Ahamed, T. Real Time Pear Fruit Detection and Counting Using YOLOv4 Models and Deep SORT. Sensors (Basel) 2021, 21, 4803. [Google Scholar] [CrossRef] [PubMed]
- Ge, Y.; Lin, S.; Zhang, Y.; Li, Z.; Cheng, H.; Dong, J.; Shao, S.; Zhang, J.; Qi, X.; Wu, Z. Tracking and Counting of Tomato at Different Growth Period Using an Improving YOLO-Deepsort Network for Inspection Robot. Machines 2022, 10, 489. [Google Scholar] [CrossRef]
- Wojke, N.; Bewley, A.; Paulus, D. Simple Online and Realtime Tracking with a Deep Association Metric. 2017. [Google Scholar]
- Duggan, B.M.; Hocking, P.M.; Clements, D.N. Gait in ducks (anas platyrhynchos) and chickens (gallus gallus) -Similarities in adaptation to high growth rate. Biol. Open 2016, 5, 1077–1085. [Google Scholar] [CrossRef] [PubMed]









Disclaimer/Publisher’s Note: The statements, opinions and data contained in all publications are solely those of the individual author(s) and contributor(s) and not of MDPI and/or the editor(s). MDPI and/or the editor(s) disclaim responsibility for any injury to people or property resulting from any ideas, methods, instructions or products referred to in the content. |
© 2023 by the authors. Licensee MDPI, Basel, Switzerland. This article is an open access article distributed under the terms and conditions of the Creative Commons Attribution (CC BY) license (http://creativecommons.org/licenses/by/4.0/).