Submitted:
26 July 2023
Posted:
27 July 2023
You are already at the latest version
Abstract
Keywords:
1. Introduction
2. Materials and Methods
2.1. Neuropsychological Assessment
2.2. Statistical Methods
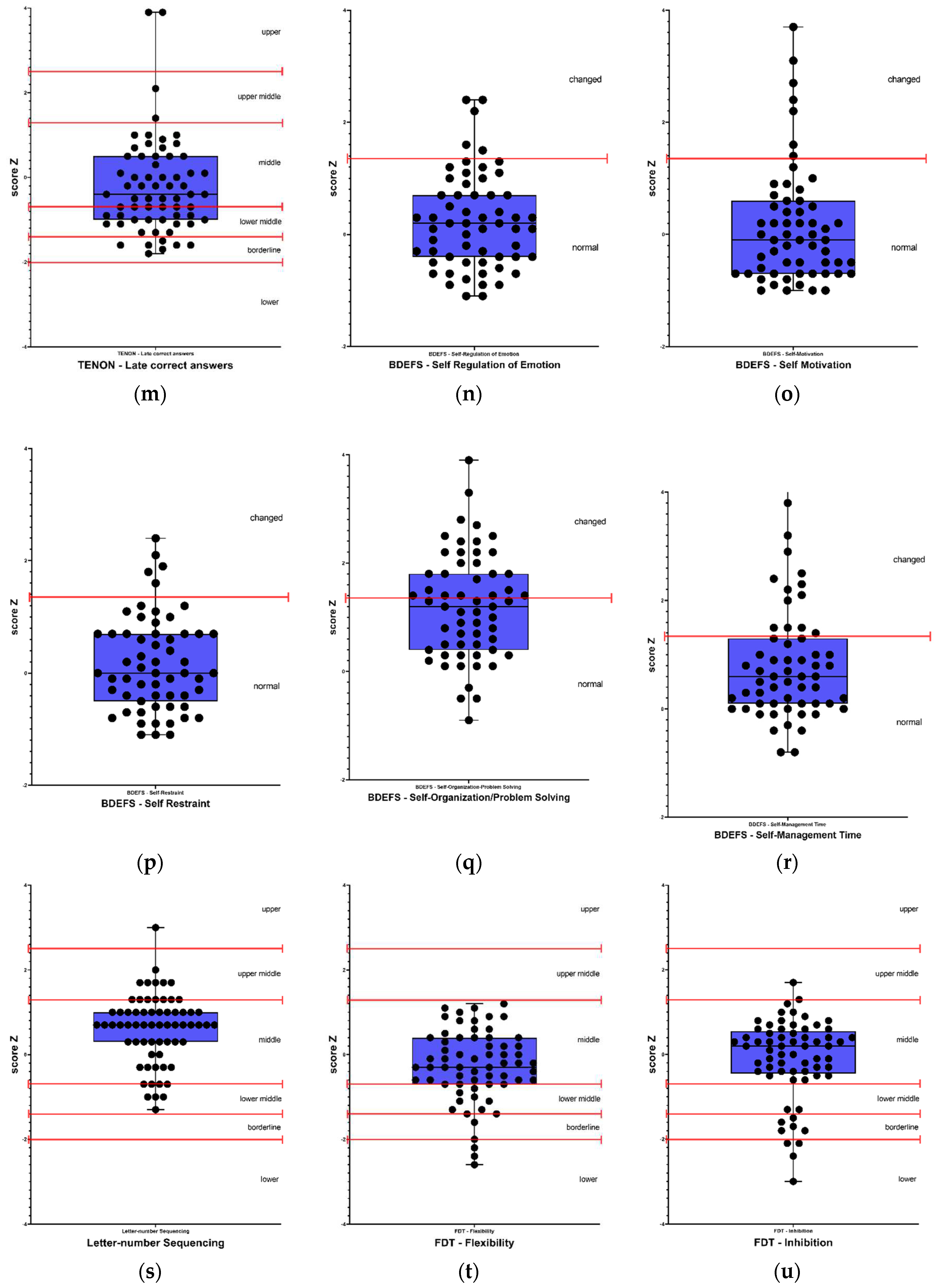
3. Results
3.1. Demographic Characteristics
3.2. Cognitive Impairments
3.3. Variables Associated with Cognitive Impairments
4. Discussion
5. Conclusions
Author Contributions
Funding
Institutional Review Board Statement
Informed Consent Statement
Data Availability Statement
Conflicts of Interest
References
- WHO, “COVID-19 Weekly Epidemiological Update,” 2023.
- Y. Huang et al., “COVID Symptoms, Symptom Clusters, and Predictors for Becoming a Long-Hauler: Looking for Clarity in the Haze of the Pandemic,” medRxiv the preprint sever for helth sciences, Mar. 2021. [CrossRef]
- L. L. O’Mahoney et al., “The prevalence and long-term health effects of Long Covid among hospitalised and non-hospitalised populations: A systematic review and meta-analysis,” EClinicalMedicine, vol. 55, Jan. 2023. [CrossRef]
- H. E. Davis et al., “Characterizing long COVID in an international cohort: 7 months of symptoms and their impact,” EClinicalMedicine, vol. 38, Aug. 2021. [CrossRef]
- M. C. Campos, T. Nery, A. C. Starke, A. C. de Bem Alves, A. E. Speck, and A. S Aguiar, “Post-viral fatigue in COVID-19: A review of symptom assessment methods, mental, cognitive, and physical impairment,” Neuroscience and Biobehavioral Reviews, vol. 142. Elsevier Ltd, Nov. 01, 2022. [CrossRef]
- M. Ariza et al., “Neuropsychological impairment in post-COVID condition individuals with and without cognitive complaints,” Front Aging Neurosci, vol. 14, Oct. 2022. [CrossRef]
- P. Guo et al., “COVCOG 1: Factors Predicting Physical, Neurological and Cognitive Symptoms in Long COVID in a Community Sample. A First Publication From the COVID and Cognition Study,” Front Aging Neurosci, vol. 14, Mar. 2022. [CrossRef]
- T. Eilam-Stock, A. George, M. Lustberg, R. Wolintz, L. B. Krupp, and L. E. Charvet, “Telehealth transcranial direct current stimulation for recovery from Post-Acute Sequelae of SARS-CoV-2 (PASC),” Brain Stimulation, vol. 14, no. 6. Elsevier Inc., pp. 1520–1522, Nov. 01, 2021. [CrossRef]
- M. Calabria et al., “Post-COVID-19 fatigue: the contribution of cognitive and neuropsychiatric symptoms,” J Neurol, vol. 269, no. 8, pp. 3990–3999, Aug. 2022. [CrossRef]
- B. Biagianti et al., “Cognitive Assessment in SARS-CoV-2 Patients: A Systematic Review,” Frontiers in Aging Neuroscience, vol. 14. Frontiers Media S.A., Jul. 01, 2022. [CrossRef]
- Lauria et al., “Neuropsychological Measures of Long COVID-19 Fog in Older Subjects,” Clinics in Geriatric Medicine, vol. 38, no. 3. W.B. Saunders, pp. 593–603, Aug. 01, 2022. [CrossRef]
- K. Krishnan, A. K. Miller, K. Reiter, and A. Bonner-Jackson, “Neurocognitive Profiles in Patients With Persisting Cognitive Symptoms Associated With COVID-19,” Archives of Clinical Neuropsychology, vol. 37, no. 4, pp. 729–737, Jun. 2022. [CrossRef]
- L. Diana et al., “Monitoring cognitive and psychological alterations in COVID-19 patients: A longitudinal neuropsychological study,” J Neurol Sci, vol. 444, Jan. 2023. [CrossRef]
- L. Muccioli et al., “Cognitive and functional connectivity impairment in post-COVID-19 olfactory dysfunction.,” Neuroimage Clin, vol. 38, p. 103410, Apr. 2023. [CrossRef]
- K. Schild et al., “Multidomain cognitive impairment in non-hospitalized patients with the post-COVID-19 syndrome: results from a prospective monocentric cohort,” J Neurol, vol. 270, no. 3, pp. 1215–1223, Mar. 2023. [CrossRef]
- E. Herrera et al., “Cognitive impairment in young adults with post COVID-19 syndrome,” Sci Rep, vol. 13, no. 1, p. 6378, Dec. 2023. [CrossRef]
- M. Godoy-González et al., “Objective and subjective cognition in survivors of COVID-19 one year after ICU discharge: the role of demographic, clinical, and emotional factors,” Crit Care, vol. 27, no. 1, p. 188, Dec. 2023. [CrossRef]
- Kirchberger et al., “Subjective and Objective Cognitive Impairments in Non-Hospitalized Persons 9 Months after SARS-CoV-2 Infection,” Viruses, vol. 15, no. 1, p. 256, Jan. 2023. [CrossRef]
- Mannan et al., “A multi-centre, cross-sectional study on coronavirus disease 2019 in Bangladesh: clinical epidemiology and short-term outcomes in recovered individuals,” New Microbes New Infect, vol. 40, Mar. 2021. [CrossRef]
- R. Hadad et al., “Cognitive dysfunction following COVID-19 infection,” J Neurovirol, 2022. [CrossRef]
- P. Ortelli et al., “Neuropsychological and neurophysiological correlates of fatigue in post-acute patients with neurological manifestations of COVID-19: Insights into a challenging symptom,” J Neurol Sci, vol. 420, Jan. 2021. [CrossRef]
- P. Ortelli et al., “Altered motor cortex physiology and dysexecutive syndrome in patients with fatigue and cognitive difficulties after mild COVID-19,” Eur J Neurol, vol. 29, no. 6, pp. 1652–1662, Jun. 2022. [CrossRef]
- M. B. Hammerle et al., “Cognitive Complaints Assessment and Neuropsychiatric Disorders After Mild COVID-19 Infection,” Arch Clin Neuropsychol, vol. 38, no. 2, pp. 196–204, Mar. 2023. [CrossRef]
- F. Alemanno et al., “COVID-19 cognitive deficits after respiratory assistance in the subacute phase: A COVID rehabilitation unit experience,” PLoS One, vol. 16, no. 2 February, Feb. 2021. [CrossRef]
- E. N. Aiello et al., “Episodic long-term memory in post-infectious SARS-CoV-2 patients,” Neurological Sciences, vol. 43, no. 2, pp. 785–788, Feb. 2022. [CrossRef]
- Saucier et al., “Cognitive inhibition deficit in long COVID-19: An exploratory study,” Front Neurol, vol. 14, 2023. [CrossRef]
- D. Andriuta et al., “Clinical and Imaging Determinants of Neurocognitive Disorders in Post-Acute COVID-19 Patients with Cognitive Complaints,” Journal of Alzheimer’s Disease, vol. 87, no. 3, pp. 1239–1250, 2022. [CrossRef]
- C. García-Sánchez et al., “Neuropsychological deficits in patients with cognitive complaints after COVID-19,” Brain Behav, vol. 12, no. 3, Mar. 2022. [CrossRef]
- C. Delgado-Alonso et al., “Cognitive dysfunction associated with COVID-19: A comprehensive neuropsychological study,” J Psychiatr Res, vol. 150, pp. 40–46, Jun. 2022. [CrossRef]
- R. Ng, G. Vargas, D. T. Jashar, A. Morrow, and L. A. Malone, “Neurocognitive and Psychosocial Characteristics of Pediatric Patients With Post-Acute/Long-COVID: A Retrospective Clinical Case Series,” Arch Clin Neuropsychol, vol. 37, no. 8, pp. 1633–1643, Dec. 2022. [CrossRef]
- M. Ariza et al., “COVID-19 severity is related to poor executive function in people with post-COVID conditions,” J Neurol, May 2023. 20 May. [CrossRef]
- S. Bonizzato, A. Ghiggia, F. Ferraro, and E. Galante, “Cognitive, behavioral, and psychological manifestations of COVID-19 in post-acute rehabilitation setting: preliminary data of an observational study,” Neurological Sciences, vol. 43, no. 1, pp. 51–58, Jan. 2022. [CrossRef]
- W. Braga et al., “Neuropsychological manifestations of long COVID in hospitalized and non-hospitalized Brazilian Patients,” NeuroRehabilitation, vol. 50, no. 4, pp. 391–400, 2022. [CrossRef]
- Ö. F. Bolattürk and A. C. Soylu, “Evaluation of cognitive, mental, and sleep patterns of post-acute COVID-19 patients and their correlation with thorax CT,” Acta Neurol Belg, Jun. 2022. [CrossRef]
- S. Albu, N. R. Zozaya, N. Murillo, A. Garciá-Molina, C. A. F. Chacón, and H. Kumru, “What’s going on following acute COVID-19? Clinical characteristics of patients in an out-patient rehabilitation program,” NeuroRehabilitation, vol. 48, no. 4, pp. 469–480, 2021. [CrossRef]
- P. Voruz et al., “Frequency of Abnormally Low Neuropsychological Scores in Post-COVID-19 Syndrome: the Geneva COVID-COG Cohort,” Archives of Clinical Neuropsychology, vol. 38, no. 1, pp. 1–11, Jan. 2023. [CrossRef]
- F. Mattioli, C. Stampatori, F. Righetti, E. Sala, C. Tomasi, and G. De Palma, “Neurological and cognitive sequelae of Covid-19: a four month follow-up,” J Neurol, vol. 268, no. 12, pp. 4422–4428, Dec. 2021. [CrossRef]
- H. Del Brutto, D. A. Rumbea, B. Y. Recalde, and R. M. Mera, “Cognitive sequelae of long COVID may not be permanent: A prospective study,” Eur J Neurol, vol. 29, no. 4, pp. 1218–1221, Apr. 2022. [CrossRef]
- S. Amalakanti, K. V. R. Arepalli, and J. P. Jillella, “Cognitive assessment in asymptomatic COVID-19 subjects,” Virusdisease, vol. 32, no. 1, pp. 146–149, Mar. 2021. [CrossRef]
- H. A. Baker, S. A. Safavynia, and L. A. Evered, “The ‘third wave’: impending cognitive and functional decline in COVID-19 survivors,” British Journal of Anaesthesia, vol. 126, no. 1. Elsevier Ltd, pp. 44–47, Jan. 01, 2021. [CrossRef]




| Demographic Characteristics | |||||
|---|---|---|---|---|---|
| Age (years) (mean (SD), MIN–MAX) | 44.42 (12.45), 23-74 | ||||
| Sex | |||||
| Female | 47 (72,3%) | ||||
| Male | 18 (27,7%) | ||||
| School education | |||||
| ≤ 12 years | 6 (9,2%) | ||||
| > 12 years | 59 (90,8%) | ||||
| Marital status | |||||
| Married | 32 (49,2%) | ||||
| Single | 23 (35,4%) | ||||
| Divorced | 5 (7,7%) | ||||
| Widowed | 5 (7,7%) | ||||
| Smoking | |||||
| Yes | 6 (9,2%) | ||||
| No | 55 (84,6%) | ||||
| Former smoker | 4 (6,2%) | ||||
| Time of Long COVID | |||||
| Up to 6 months | 13 (20,3%) | ||||
| More than 6 months | 51 (79,7%) | ||||
| Clinical characteristics | |||||
| NA | ML | M | MS | S | |
| Slowed thinking/mental confusion | 5 (7,7%) | 11 (16,9%) | 16 (24,6%) | 20 (30,8%) | 13 (20%) |
| Attention difficulties | 5 (7,7%) | 10 (15,4%) | 25 (38,5%) | 11 (16,9%) | 14 (21,5%) |
| Memory difficulty | 5 (7,7%) | 9 (13,8) | 14 (21,5%) | 19 (29,2%) | 18 (27,7%) |
| Difficulty finding words | 4 (6,2%) | 6 (9,2%) | 17 (26,2%) | 19 (29,2%) | 19 (29,2%) |
| Difficulty performing more than one task at a time | 15 (23,1%) | 10 (15,4%) | 21 (32,3%) | 11 (16,9%) | 8 (12,3%) |
| Mental fatigue | 7 (10,8%) | 6 (9,2%) | 20 (30,8%) | 14 (21,5%) | 18 (27,7%) |
| Correlations | ||||||
|---|---|---|---|---|---|---|
| Long COVID | STAI - State | STAI - Trait | QIDS | Cognitive Symptoms | ||
| Time of Long COVID | 1.000 | -.300* | -.152 | .110 | -.040 | |
| ,018 | .238 | .394 | .753 | |||
| 65 | 62 | 62 | 62 | 65 | ||
| MoCa | -.057 | -.152 | .018 | .019 | -.145 | |
| .653 | .239 | .891 | .886 | .249 | ||
| 65 | 62 | 62 | 62 | 65 | ||
| WAT – Br | -.021 | -.347** | -.146 | -.204 | -.242 | |
| .870 | .006 | .258 | .112 | .053 | ||
| 65 | 62 | 62 | 62 | 65 | ||
| RAVLT – Total | -.206 | .009 | .000 | .067 | -.001 | |
| .100 | .943 | .998 | .606 | .997 | ||
| 65 | 62 | 62 | 62 | 65 | ||
| RAVLT - Immediate recall | -.080 | .034 | -.051 | -.018 | -.100 | |
| .526 | .793 | .696 | .892 | .429 | ||
| 65 | 62 | 62 | 62 | 65 | ||
| RAVLT - Delayed Recall | -.159 | .064 | .000 | -.056 | -.095 | |
| .206 | .621 | .999 | .667 | .450 | ||
| 65 | 62 | 62 | 62 | 65 | ||
| RAVLT – Recognition | -.160 | -.018 | .072 | -.114 | -.182 | |
| .204 | .890 | .578 | .377 | .146 | ||
| 65 | 62 | 62 | 62 | 65 | ||
| Rey-Osterrieth Complex Figure – Recall | -.127 | -.123 | .003 | -.017 | -.228 | |
| .312 | .342 | .982 | .896 | .068 | ||
| 65 | 62 | 62 | 62 | 65 | ||
| TEADI - Divided Attention Test | -.169 | -.102 | -.142 | .090 | -.189 | |
| .179 | .429 | .270 | .486 | .132 | ||
| 65 | 62 | 62 | 62 | 65 | ||
| TEACO - Sustained Attention Test | -.137 | -.238 | -.099 | -.089 | -.148 | |
| .276 | .062 | .442 | .492 | .240 | ||
| 65 | 62 | 62 | 62 | 65 | ||
| TENON - Immediate correct answers | -.267* | -.065 | .139 | -.223 | .075 | |
| .032 | .616 | .281 | .082 | .555 | ||
| 65 | 62 | 62 | 62 | 65 | ||
| TENON - Late correct answers | .270* | -.042 | -.214 | .223 | -.111 | |
| .030 | .743 | .095 | .082 | .379 | ||
| 65 | 62 | 62 | 62 | 65 | ||
| Semantic verbal fluency (animals) | -.180 | -.058 | .078 | -.310* | -.229 | |
| .151 | .654 | .545 | .014 | .067 | ||
| 65 | 62 | 62 | 62 | 65 | ||
| FAS - Phonemic verbal fluency | -.098 | -.161 | -.081 | -.133 | -.214 | |
| .437 | .210 | .529 | .304 | .087 | ||
| 65 | 62 | 62 | 62 | 65 | ||
| BDEFS - Self-Management Time | -.123 | .280* | -.154 | .520** | .606** | |
| .355 | .032 | .244 | .000 | .000 | ||
| 59 | 59 | 59 | 59 | 59 | ||
| BDEFS - Self-Organization/Problem Solving | .058 | .155 | -.140 | .425** | .562** | |
| .662 | .242 | .290 | .001 | .000 | ||
| 59 | 59 | 59 | 59 | 59 | ||
| BDEFS - Self-Restraint | .174 | .320* | .022 | .362** | .319* | |
| .187 | .013 | .867 | .005 | .014 | ||
| 59 | 59 | 59 | 59 | 59 | ||
| BDEFS - Self-Motivation | -.045 | .216 | -.033 | .386** | .297* | |
| .733 | .100 | .805 | .003 | .022 | ||
| 59 | 59 | 59 | 59 | 59 | ||
| BDEFS - Self-Regulation of Emotion | -.110 | .284* | -.063 | .442** | .429** | |
| .406 | .029 | .637 | .000 | .001 | ||
| 59 | 59 | 59 | 59 | 59 | ||
| Letter-number Sequencing | -.038 | -.021 | .056 | -.162 | -.248* | |
| .765 | .869 | .664 | .209 | .046 | ||
| 65 | 62 | 62 | 62 | 65 | ||
| FDT – Reading | -.102 | .071 | .094 | .073 | .165 | |
| .418 | .586 | .466 | .572 | .189 | ||
| 65 | 62 | 62 | 62 | 65 | ||
| FDT – Counting | .009 | .040 | .074 | .028 | .208 | |
| .943 | .758 | .569 | .827 | .096 | ||
| 65 | 62 | 62 | 62 | 65 | ||
| FDT – Choosing | .003 | .185 | .178 | .004 | .081 | |
| .979 | .151 | .167 | .976 | .522 | ||
| 65 | 62 | 62 | 62 | 65 | ||
| FDT – Shifting | .074 | .080 | .248 | -.068 | .058 | |
| .559 | .539 | .052 | .599 | .647 | ||
| 65 | 62 | 62 | 62 | 65 | ||
| FDT – Inhibition | .104 | .146 | .197 | -.062 | -.027 | |
| .410 | .259 | .125 | .633 | .833 | ||
| 65 | 62 | 62 | 62 | 65 | ||
| FDT – Flexibility | .068 | .059 | .226 | -.127 | .043 | |
| .590 | .648 | .078 | .325 | .733 | ||
| 65 | 62 | 62 | 62 | 65 | ||
| Rey-Osterrieth Complex Figure - Copy | .063 | -.048 | -.049 | .185 | -.124 | |
| .617 | .714 | .706 | .149 | .327 | ||
| 65 | 62 | 62 | 62 | 65 | ||
| STAI – State | -.300* | 1.000 | -.085 | .174 | .154 | |
| .018 | .511 | .176 | .231 | |||
| 62 | 62 | 62 | 62 | 62 | ||
| STAI – Trait | -.152 | -.085 | 1.000 | -.267* | -.039 | |
| .238 | .511 | .036 | .762 | |||
| 62 | 62 | 62 | 62 | 62 | ||
| QIDS | .110 | .174 | -.267* | 1.000 | .478** | |
| .394 | .176 | .036 | .000 | |||
| 62 | 62 | 62 | 62 | 62 | ||
Disclaimer/Publisher’s Note: The statements, opinions and data contained in all publications are solely those of the individual author(s) and contributor(s) and not of MDPI and/or the editor(s). MDPI and/or the editor(s) disclaim responsibility for any injury to people or property resulting from any ideas, methods, instructions or products referred to in the content. |
© 2023 by the authors. Licensee MDPI, Basel, Switzerland. This article is an open access article distributed under the terms and conditions of the Creative Commons Attribution (CC BY) license (http://creativecommons.org/licenses/by/4.0/).