Submitted:
17 July 2023
Posted:
19 July 2023
You are already at the latest version
Abstract
Keywords:
1. Introduction
2. Materials and Methods
2.1. Samples
2.2. Rice Cooking Method
2.3. Back Extrusion Test
2.4. The Repeatability and Reproducibility of the Measurement of Texture Properties
3. Results and Discussion
3.1. The Repeatability and Reproducibility of the Measurement of Texture Properties
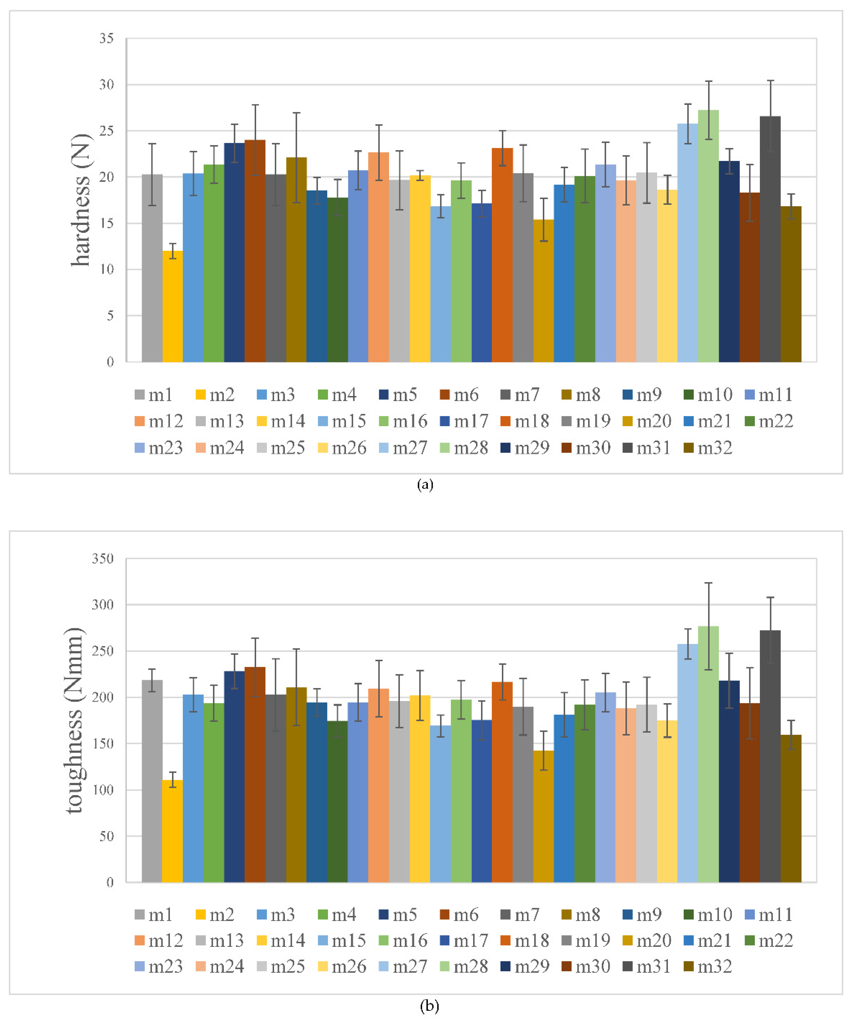
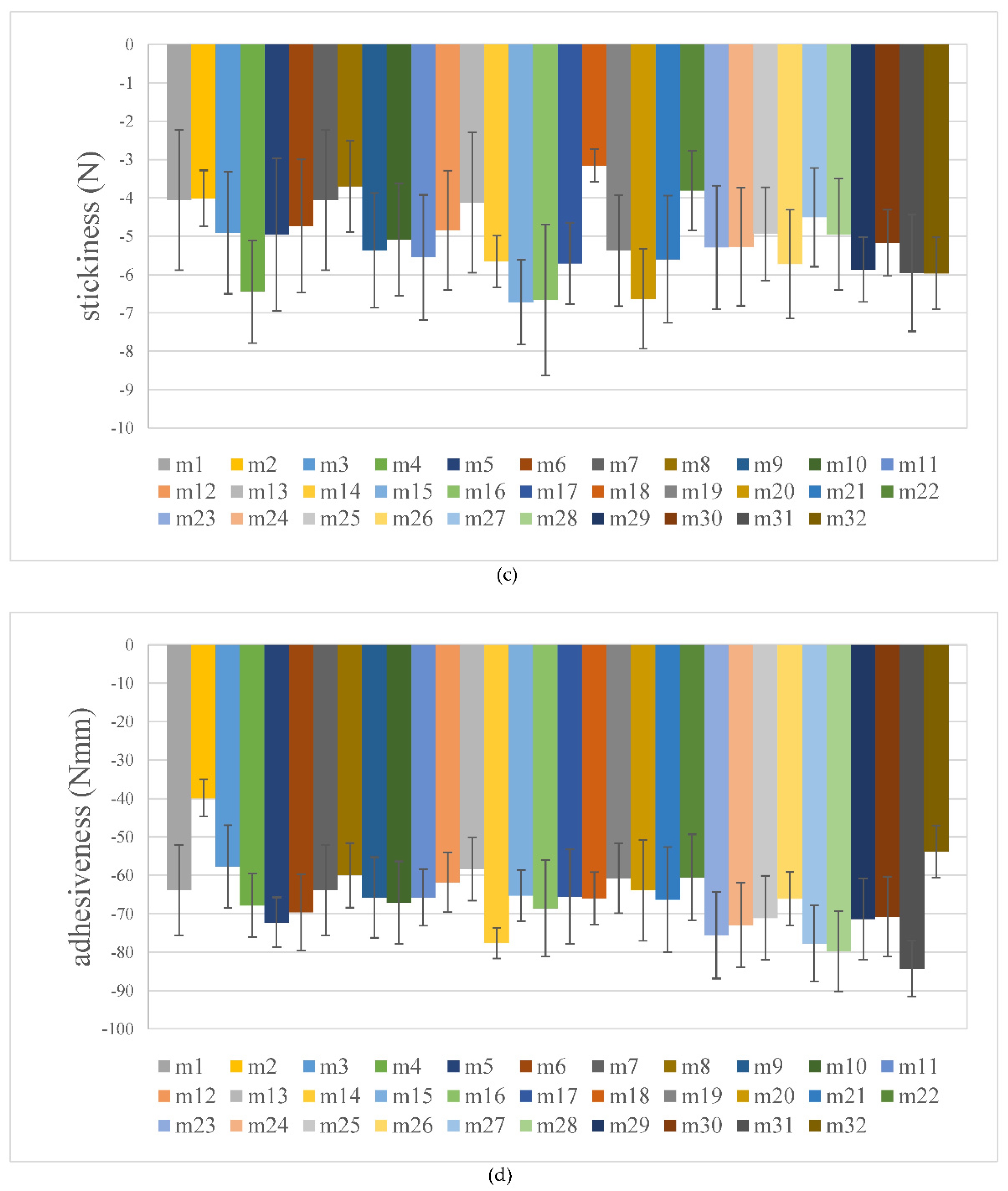
3.2. Effect of Different Soaking and Aging Duration in the Production of Khao Dawk Mali 105 (KDML 105) GBR on Cooked GBR Texture
3.3 The Sensitivity of BE Test on Texture Properties of Cooked GBR Rice
4. Conclusions
Author Contributions
Funding
Data Availability Statement
Acknowledgments
Conflicts of Interest
References
- Yodpitak, S.; Mahatheeranont, S.; Boonyawan, D.; Sookwong, P.; Roytrakul, S.; Norkaew, O. Cold plasma treatment to improve germination and enhance the bioactive phytochemical content of germinated brown rice. Food Chem 2019, 289, 328–339. [Google Scholar] [CrossRef] [PubMed]
- Nguyen, B.C.Q.; Shahinozzaman, M.; Tien, N.T.K.; Thach, T.N.; Tawata, S. Effect of sucrose on antioxidant activities and other health-related micronutrients in gamma-aminobutyric acid (GABA)-enriched sprouting Southern Vietnam brown rice. J. Cereal Sci 2020, 93, 102985. [Google Scholar] [CrossRef]
- Ren, C.; Hong, B.; Zheng, X.; Wang, L.; Zhang, Y.; Guan, L.; Yao, X.; Huang, W.; Zhou, Y.; Lu, S. Improvement of germinated brown rice quality with autoclaving treatment. Food Sci. Nutr 2020, 8, 1709–1717. [Google Scholar] [CrossRef]
- Munarko, H.; Sitanggang, A.B.; Kusnandar, F.; Budijanto, S. Germination of five Indonesian brown rice: evaluation of antioxidant, bioactive compounds, fatty acids and pasting properties. Food Sci. Technol 2021, 42, e19721. [Google Scholar] [CrossRef]
- Cho, D.H.; Lim, S.T. Germinated brown rice and its bio-functional compounds. Food Chem 2016, 196, 259–271. [Google Scholar] [CrossRef] [PubMed]
- Ca ́ceres, P.J.; Pen ̃as, E.; Martinez-Villaluenga, C.; Amigo, L.; Frias, J. Enhancement of biologically active compounds in germinated brown rice and the effect of sun-drying. J. Cereal Sci 2017, 73, 1–9. [Google Scholar] [CrossRef]
- Techo, J.; Soponronnarit, S.; Devahastin, S.; Wattanasiritham, L.S.; Thuwapanichayanan, R.; Prachayawarakorn, S. Effects of heating method and temperature in combination with hypoxic treatment on γ-aminobutyric acid, phenolics content and antioxidant activity of germinated rice. Int. J. Food Sci. Technol 2018, 54, 1330–1341. [Google Scholar] [CrossRef]
- Neamsorn, N.; Inprasit, C.; Terdwongworakul, A. Water absorption of RD31 paddy during soaking in parboiling process. TSAE Journal 2017, 23, 1–8. [Google Scholar]
- Wang, Z.; Wang, J.; Chen, X.; Li, E.; Li, S.; Li, C. Mutual relations between texture and aroma of cooked rice-a pilot study. Foods 2022, 11, 3738. [Google Scholar] [CrossRef]
- Chao, S.; Mitchell, J.; Prakash, S.; Bhandari, B.; Fukai, S. Effects of variety, early harvest, and germination on pasting properties and cooked grain texture of brown rice. J. Texture Stud 2022, 53, 503–516. [Google Scholar] [CrossRef]
- Kaosa-ard, T.; Songsermpong, S. Influence of germination time on the GABA content and physical properties of germinated brown rice. As. J. Food Ag-Ind 2012, 5, 270–283. [Google Scholar]
- Singh, K.; Simapisan, P.; Decharatanangkoon, S.; Utama-ang, N. Effect of soaking temperature and time on GABA and total phenolic content of germinated brown rice (Phitsanulok 2). Curr. J. Appl. Sci. Technol 2017, 17, 224–232. [Google Scholar]
- Zhu, C.; Yang, L.; Nie, P.; Zhong, L.; Wu, Y.; Sun, X.; Song, L. Effects of hydrogen-rich water on the nutritional properties, volatile profile and texture of germinated brown rice. Int. J. Food Sci. Technol 2022, 57, 7666–7680. [Google Scholar] [CrossRef]
- Guan, H.; Wu, Y.; Liu, X. ; Effect of microwave precooking and freeze-drying on the quality of the germinated brown rice. J. Food Process. Preserv 2023, 2023, 3610644. [Google Scholar] [CrossRef]
- Cheevitsopon, E.; Klakankhai, T.; Kladsuk, S.; Sonsanguan, N.; Phanomsophon, T.; Sirisomboon, P.; Pornchaloempong, P. Texture properties of cooked rice evaluated by sensory test interpreted by instrument tests. Proceedings of The XX CIGR World Congress 2022, Sustainable Agricultural Production-Water, Land, Energy and Food, Kyoto International Conference Center, Kyoto, Japan, 5th - 9th December 2022. [Google Scholar]
- Reyes, V.G.; Jindal, V.K. A small sample back extrusion test for measuring texture of cooked rice. J. Food Qual 1990, 13, 109–118. [Google Scholar] [CrossRef]
- Sirisoontaralak, P.; Noomhorm, A. Changes to physicochemical properties and aroma of irradiated rice. J. Stored Prod. Res 2006, 42, 264–276. [Google Scholar] [CrossRef]
- Srisawas, W.; Jindal, V. Sensory evaluation of cooked rice in relation to water-to-rice ratio and physicochemical properties. J. Texture Stud 2007, 38, 21–41. [Google Scholar] [CrossRef]
- Parnsakhorn, S.; Noomhorm, A. Changes in physicochemical properties of parboiled brown rice during heat treatment. Agric. Eng. Int 2008, 10, 1–20. [Google Scholar]
- Shin, S.H.; Choi, W.S. Analysis of the texture characteristics of cooked rice using extrusion tests under various measurement conditions. Journal of the Korean Society of Food Science and Nutrition 2022, 51(6), 627–631. [Google Scholar] [CrossRef]
- Parnsakhorn, S.; Langkapin, J. Effect of different rice varieties on changes in anthocyanin content and physical properties of Zongzi products. J. Eng. Rmutt 2022, 20, 59–70. (in Thai). [Google Scholar]
- Zhou, Z.; Robards, K.; Helliwell, S.; Blanchard, C. Ageing of stored rice: changes in chemical and physical attributes. J. Cereal Sci 2002, 35, 65–78. [Google Scholar] [CrossRef]
- Keawpeng, I.; Venkatachalam, K. Effect of aging on changes in rice physical qualities. Int. Food Res. J 2015, 22, 2180–2187. [Google Scholar]
- Kaewsorn, K.; Sirisomboon, P. Study on evaluation of gamma oryzanol of germinated brown rice by near infrared spectroscopy. J. Innovative Opt. Health Sci 2014, 7, 1450002. [Google Scholar] [CrossRef]
- Sirisomboon, P.; Kaewsorn, K.; Thanimkarn, S.; Phetpan, K. ; Non-linear viscoelastic behavior of cooked white, brown, and germinated brown Thai jasmine rice by large deformation relaxation test. Int. J. Food Prop 2017, 20, 1547–1557. [Google Scholar] [CrossRef]
- Jindal, V.K.; Limpisut, P. Back extrusion testing of cooked rice texture, Chicago, USA, ASAE Annual Meeting 2002, No. 02 6068.
- Cho, D.H.; Park, H.Y.; Lee, S.K.; Park, J.; Choi, H.S.; Woo, K.S.; Kim, H.J.; Sim, E.Y.; Won, Y.J.; Lee, D.H.; Oh, S.K. Differences in physiochemical and textural properties of germinated brown rice in various rice varieties. The Korean Journal of Crop Science 2017, 62, 172–183. [Google Scholar] [CrossRef]
- Chao, S.; Mitchell, J.; Prakash, S.; Bhandari, B.; Fukai, S. Effect of germination level on properties of flour paste and cooked brown rice texture of diverse varieties. J. Cereal Sci 2021, 102, 103345. [Google Scholar] [CrossRef]
- Jiamjariyatam, R.; Kongpensook, V.; Pradipasena, P. Effects of amylose content, cooling rate and aging time on properties and characteristics of rice starch gels and puffed products. J. Cereal Sci 2015, 61, 16–25. [Google Scholar] [CrossRef]
- Munarko, H.; Sitanggang, A.B.; Kusnandar, F.; Budijanto, S. Effect of different soaking and germination methods on bioactive compounds of germinated brown rice. Int. J. Food Sci. Technol 2021, 56, 4540–4548. [Google Scholar] [CrossRef]
- Wichamanee, Y.; Teerarat, I. Production of germinated red jasmine brown rice and its physicochemical properties. Int. Food Res. J 2012, 19, 1649–1654. [Google Scholar]
- Mohan, B.H.; Malleshi, N.G.; Koseki, T. Physico-chemical characteristics and non-starch polysaccharide contents of Indica and Japonica brown rice and their malts. LWT--Food Sci. Technol 2010, 43, 784–791. [Google Scholar] [CrossRef]
- Pinkaew, H.; Thongngam, M.; Wang, Y.J.; Naivikul, O. Isolated rice starch fine structures and pasting properties changes during pre-germination of three Thai paddy (Oryza sativa L.) cultivars. J. Cereal Sci 2016, 70, 116–122. [Google Scholar] [CrossRef]
- Li, C.; Oh, S.G.; Lee, D.H.; Baik, H.W.; Chung, H.J. Effect of germination on the structures and physicochemical properties of starches from brown rice, oat, sorghum, and millet. Int. J. Biol. Macromol 2017, 105, 931–939. [Google Scholar] [CrossRef] [PubMed]
- Chao, S.; Mitchell, J.; Prakash, S.; Bhandari, B.; Fukai, S. Effect of germination level on properties of flour paste and cooked brown rice texture of diverse varieties. J. Cereal Sci 2021, 102, 103345. [Google Scholar] [CrossRef]
- Chao, S.; Mitchell, J.; Prakash, S.; Bhandari, B.; Fukai, S. Effects of variety, early harvest, and germination on pasting properties and cooked grain texture of brown rice. J. Texture Stud 2022, 53, 503–516. [Google Scholar] [CrossRef] [PubMed]



| Repeatability SD | Reproducibility SD | ||||||
|---|---|---|---|---|---|---|---|
| Sample Number | Duplicate.a | Duplicate.b | Diff. a-b | Sample number | Duplicate.a | Duplicate.b | Diff. a-b |
| 5,17 | 21.16 | 21.90 | -0.74 | 11,18 | 19.49 | 20.89 | -1.40 |
| 28,33 | 19.83 | 18.54 | 1.29 | 28,34 | 18.81 | 18.54 | 0.27 |
| 38,57 | 12.75 | 12.11 | 0.64 | 44,58 | 25.02 | 23.46 | 1.56 |
| 35,69 | 20.57 | 22.17 | -1.60 | 47,70 | 21.30 | 19.68 | 1.62 |
| Mean | -0.11 | Mean | 0.51 | ||||
| SD | 1.31 | SD | 1.42 | ||||
| Repeatability SD | Reproducibility SD | ||||||
|---|---|---|---|---|---|---|---|
| Sample Number | Duplicate.a | Duplicate.b | Diff. a-b | Sample number | Duplicate.a | Duplicate.b | Diff. a-b |
| 5,17 | 211.90 | 218.19 | -6.28 | 11,18 | 187.66 | 207.44 | -19.78 |
| 28,33 | 189.84 | 181.21 | 8.63 | 28,34 | 181.45 | 181.21 | 0.25 |
| 38,57 | 131.20 | 109.69 | 21.51 | 44,58 | 246.03 | 233.45 | 12.58 |
| 35,69 | 208.77 | 217.08 | -8.31 | 47,70 | 199.07 | 201.73 | -2.66 |
| Mean | 3.89 | Mean | -2.40 | ||||
| SD | 13.97 | SD | 13.34 | ||||
| Repeatability SD | Reproducibility SD | ||||||
|---|---|---|---|---|---|---|---|
| Sample Number | Duplicate.a | Duplicate.b | Diff. a-b | Sample number | Duplicate.a | Duplicate.b | Diff. a-b |
| 5,17 | -5.35 | -6.55 | 1.20 | 11,18 | -5.74 | -4.65 | -1.09 |
| 28,33 | -5.76 | -5.91 | 0.15 | 28,34 | -6.64 | -5.91 | -0.73 |
| 38,57 | -4.70 | -4.11 | -0.58 | 44,58 | -6.56 | -5.79 | -0.77 |
| 35,69 | -4.50 | -3.97 | -0.54 | 47,70 | -4.61 | -4.44 | -0.17 |
| Mean | 0.06 | Mean | -0.69 | ||||
| SD | 0.83 | SD | 0.38 | ||||
| Repeatability SD | Reproducibility SD | ||||||
|---|---|---|---|---|---|---|---|
| Sample Number | Duplicate.a | Duplicate.b | Diff. a-b | Sample number | Duplicate.a | Duplicate.b | Diff. a-b |
| 5,17 | -75.53 | -69.92 | -5.61 | 11,18 | -60.35 | -74.47 | 14.11 |
| 28,33 | -63.87 | -65.19 | 1.32 | 28,34 | -65.40 | -65.19 | -0.22 |
| 38,57 | -51.85 | -50.69 | -1.16 | 44,58 | -72.51 | -71.20 | -1.30 |
| 35,69 | -61.33 | -59.73 | -1.60 | 47,70 | -77.68 | -60.51 | -17.17 |
| Mean | -1.76 | Mean | -1.15 | ||||
| SD | 2.87 | SD | 12.79 | ||||
| Hardness (N) |
Toughness (Nmm) |
Stickiness (N) |
Adhesiveness (Nmm) |
|
|---|---|---|---|---|
| max | 32.68 | 358.35 | -1.86 | -29.91 |
| min | 10.83 | 100.90 | -9.48 | -97.85 |
| mean | 20.39 | 198.95 | -5.15 | -66.45 |
| SD | 3.96 | 40.97 | 1.61 | 12.44 |
| CV (%) | 19.41 | 20.59 | 31.26 | 18.72 |
| Hardness | Toughness | Stickiness | Adhesiveness | |
|---|---|---|---|---|
| hardness | 1 | |||
| toughness | 0.966 | 1 | ||
| stickiness | 0.206 | 0.191 | 1 | |
| adhesiveness | -0.693 | -0.732 | 0.277 | 1 |
Disclaimer/Publisher’s Note: The statements, opinions and data contained in all publications are solely those of the individual author(s) and contributor(s) and not of MDPI and/or the editor(s). MDPI and/or the editor(s) disclaim responsibility for any injury to people or property resulting from any ideas, methods, instructions or products referred to in the content. |
© 2023 by the authors. Licensee MDPI, Basel, Switzerland. This article is an open access article distributed under the terms and conditions of the Creative Commons Attribution (CC BY) license (http://creativecommons.org/licenses/by/4.0/).