Preprint
Article

This version is not peer-reviewed.

Readers Theater in Virtual Reality

A peer-reviewed article of this preprint also exists.

Submitted:

17 July 2023

Posted:

18 July 2023

You are already at the latest version

Abstract
Appropriate techniques for promoting reading fluency are difficult to implement in the classroom. There is little time to provide students with individualized feedback on reading aloud or to moti-vate them to do so. In this context, VR can be beneficial for learning, to provide individualized feedback and for increasing learners' engagement. Studies analyzing established methods of lan-guage learning in school in VR seem to be lacking so far. Therefore, this study project was the first to analyze the acceptance of students towards the implementation of a concept of reading fluency training with students at a secondary school in VR. The study method was developed based on the Technology Acceptance Model. The VR environment developed is web-based and provides indi-vidual and collaborative opportunities for training reading fluency, giving, and receiving feed-back, and deepening content understanding of the reading texts. To analyze the acceptance of the VR environment, 5 guided interviews were conducted. The results show that despite technical challenges with the VR environment, students accepted and appreciated the reading fluency training in VR. The integration of established concepts of reading fluency training in foreign lan-guage classrooms has great potential as additional added value can be created to address the challenges of face-to-face instruction.
Keywords: 
;  ;  ;  ;  ;  

1. Introduction

In the past, reading aloud was commonly employed in first language (L1) and second language (L2) learning to train reading fluency, referring to the skill of reading accurately, in a meaningful way, and with appropriate expression. Reading fluency training has gained popularity in L1 education after studies made it evident that reading competence in L1 is closely linked to reading fluency [1]. While the research findings are limited, evidence suggests that reading fluency is also important for L2 learners [2,3].
Repeated reading of the same text, assisted reading, and model reading have been proven to affect reading fluency positively [1]. However, these techniques consume an extensive amount of time and resources, accordingly, appropriate reading fluency instruction can hardly be met in school settings, as teachers already face a number of challenges such as the growing heterogeneity in classrooms [4]. Subsequently, there is little to no time for each student to read aloud and receive sufficient feedback from the teacher. Additionally, motivating students to read aloud sometimes proves difficult, as some perceive reading aloud activities as monotonous [5]. Therefore, reading fluency training needs to be developed further by individualizing the learning process and the student support as well as making it more appealing. Also, training should reach beyond scholarly settings, giving students the chance to practice at home and allowing for “seamless learning” [6] (p.98).
The overall objective of this project is therefore to evaluate students’ acceptance of a technology-based learning activity based on Virtual Reality (VR) and corresponding learning environments. The principle learning design draws from the Multilingual Readers’ Theater (MELT), in which groups of students practice reading fluency using multilingual, dialogical texts until they are able to read them aloud fluently and expressively and present them in plenum. The readers’ theater (RT) is one of the reading aloud methods able to achieve significant improvement in the area of reading fluency with regard to correct word recognition, reading speed and prosody while also significantly increasing motivation to read among young learners [7,8]. MELT, and the RT it is based upon, are already cooperative role-playing based, narrative approaches, providing an excellent starting point for our research on the development of cooperative, VR-based methods to foster foreign language learning.
The development of a digital system based on the previous approaches promises increased efficiency, easier structuring of the learning process, online collaboration, seamless learning at home and at school, and a more satisfying user experience for the digital natives, among others. The addition of layers of VR aims at providing students with a realistic and motivating learning experience that allows for flexible collaboration options. Against this background, the specific objective of the project is to answer the question to what extent students accept the use of MELT in the foreign language classroom in a VR environment. Furthermore of interest is what specific internal (such as e.g. the motivation of students) and external factors (such as e.g. the design and features of the VR learning environment) influence students’ acceptance of VR applications in foreign language classrooms. Subsequently, the potentials of an VR application in relation to MELT are to be worked out. This results in the following research questions:
  • What internal and external factors influence students’ intentions to use and accept VR in the context of MELT?
  • To what extent do students accept the performance of the reading fluency training phase of MELT in a VR application?
  • To what extent does VR have the potential to be used in foreign language classrooms to complement MELT?
This paper is organized as follows. First, related work is presented, specifically with respect to reading fluency and related technology-based approaches, as the Technology Acceptance Model, and the application of VR in school-related learning scenarios in language learning. Then, the VR conception and design are described, followed by the methodology of the study. Finally, the results are discussed, the research questions are addressed, conclusions are drawn, and implications for future design of VR applications in foreign language teaching are presented.

2. Related Work

2.1. Reading Fluency

Reading fluency (RF), as a central factor in literacy, requires the mastery of accuracy, automaticity, and prosody [9]. Strategies that have high potential for training RF are repeated reading and assisted reading [10]. Repeatedly reading a text intends to strengthen automaticity in word recognition so that the readers’ cognitive resources can tend toward comprehension rather than the decoding of individual words [11]. Assisted reading describes "oral reading of a text while simultaneously listening to a fluent rendering of the same text" [12] (p.514) which can be supplied by a partner, choral reading in a group, or audio recording. Practicing assisted reading speeds up the learning progress, especially for text comprehension [12]. In combination with repeated reading, assisted repeated reading benefits reading speed, word recognition, as well as overall comprehension [13].
Even though RF is a central skill for educational, occupational, and societal success, it is rarely explicitly tackled in classroom settings; likely a result of the limitations of the methods. Most reading interventions require extensive time and human resources, both of which are scarce, especially as teachers face growing heterogeneity in the classroom, among other difficulties [4,14]. Further, weak readers cannot make up ground by only practicing in school [15]. Additionally, assisted and repeated reading rely on reading the same text multiple times, a monotonous task that potentially lowers students' motivation and prevents them from staying engaged for longer periods of time, therefore failing to use interventions to their full potential [5].

2.2. Readers Theater

RT embeds repeated and assisted reading in a meaningful and motivational context, as the method focuses on practicing a script that will eventually be performed in front of an audience [16]. "Readers Theatre, as well as other kinds of performance, gives students an authentic reason to engage in repeated reading of texts", Worthy and Prater [17] (p.295) note. Moreso, the method focuses on meaning and comprehension instead of reading rate [16,17]. Other than in regular theater, props, costumes, and stage settings are rarely used in readers theater, consequently, the actors need to convey meaning by using appropriate intonation, rate, and accentuation [16,18]. Also, there is no intention for learning the script by heart, instead the performers read from visible scripts. This shifts the purpose from memorization towards decoding words and adding them to the readers’ visual vocabulary [19]. Additionally, the readers can focus on precise and expressive oral reading, thus practicing prosody.
While the traditional RT is constructed monolingually, its multilingual version allows practicing RF in several languages at once. MELT recognizes multilingualism in heterogeneous classrooms, allowing the inclusion of school language, foreign languages, and students' native tongues [20]. Furthermore, it is able to provide a cooperative learning setting in which the heterogeneity of the students is seen as a resource. In this setting, students with stronger reading skills support those with weaker skills by acting as reading models and providing feedback [19]. Kutzelmann et al. [20] have created an eight-phase-plan to guide teachers through the implementation of MELT in their classrooms (see Figure 1).
Besides thoroughly training RF in multiple languages, MELT potentially impacts other areas of foreign language learning, including listening comprehension, pronunciation, and vocabulary training [20]. The method further aims at promoting social learning and reducing fear associated with speaking foreign languages, as MELT’s means of practice depends on group interaction. A study documented the high acceptance of the design on the part of the teachers and learners [19]. Teachers also acknowledged the concept's potential in terms of promoting RF, second language learning and beyond, but a comprehensive quantitative evaluation is still pending [19]. ​​

2.3. Digital Technologies and Reading Fluency Training

Digital approaches specifically targeted at the enhancement of RF used to be scarce. The Peabody Literacy Lab [21], a technology-based intervention for older struggling readers, consists of a reading lab, a word lab and a spelling lab. Instructions and feedback are provided by an animated tutor. Compared to a control group, the system was found to depict significant effects in fostering auditory vocabulary, literal comprehension, inferential comprehension, and total reading comprehension.
Automatic speech recognition (ASR) was employed by Adams [22] and Mostow et al. [23]. In both cases, a Reading Assistant [22] or Reading Tutor [23] listens to a student reading aloud and provides feedback. Mostow’s development provides feedback and gives supporting functions. Reading skills of students whose first language is English and also of students learning English as a second language [24] were improved in proof-of-concept studies. Adam’s system additionally creates performance reports to assist teachers in monitoring students' growth. In a 17-week study of grade 2–5 classrooms, she found that students using Reading Assistant showed significantly greater gains in RF than students in the control group.
One study added the technology of podcasting to the traditional RT [25]. During the ten-week intervention, students practiced a new theater script each week, recorded and published their podcasts online. Results showed that publishing the podcasts online not only increased the authenticity of the RT for the students but also allowed them to self-evaluate, revise and improve their reading performance.
Furthermore, RF training has been enhanced with digital tools related to gamification [26,27]. For instance, GameLet implements meaningful digital media-based gamification mechanisms for the purpose of increasing pupil motivation in self-directed, individual and cooperative learning in RF training [28].
Until recently, the few technology-based approaches to complement classroom activities linked to RT assessments and feedback were limited to the evaluation of multiple-choice tests. More comprehensive approaches to the automatic assessment, e.g., by providing meaningful feedback, were largely missing. However, in March 2023, the Klett publishing house launched the new reading tutor LaLeTu, which measures and promotes reading fluency with the help of an AI [29]. According to information on the publisher's website, the speech technology records and evaluates students’ reading samples in terms of reading speed, sentence stress and reading errors. Allegedly, the AI hears reading errors, long pauses and incorrect intonations and also has no difficulty with dialects and accents. Children receive feedback and the teacher obtains an individualized analysis of reading performance. A playful reward system for reading motivation rounds off the offer. However, no studies have been published yet.

2.4. VR and Learning

For some years now, VR has been considered a strong contender in the world of learning technology. VR technologies are ascribed a high potential for generating added value in the context of learning applications. Studies have shown positive effects of VR on learning [30]. The chances of improving teaching/learning processes through the use of VR are derived, among other things, from the high degree of immersion [31] that is achieved with these techniques, and which can also address learners emotionally. The teaching/learning environment and the experienced environment merge into an environment in which learners immerse themselves. At the same time, VR offers additional opportunities for interaction, with the potential to improve individualization and flexibility of learning processes and to strengthen cooperation between learners. Both aspects can be expected to provide strong arguments for initiating more successful and sustainable teaching/learning processes.
Even though VR still is a relatively new technology in foreign language learning, it has been applied in this domain [32,33,34], mostly in the context of vocabulary learning and communicative processes training, targeted at fostering communicative skills. However, applications at school level which focus on training RF in a second language, to our knowledge, do not exist. Nevertheless, two studies which used VR as means to assess reading fluency were found. In one recent study, Mirlaut et al. have used VR glasses to assess beginning readers’ reading behavior and measure their RF with the One-Minute Reading test [35]. This study did focus on native speakers, yet it showed that VR could generally be used as a legitimate tool for studying reading behavior [35]. As part of a master’s thesis, the impact of reading in VR on the reading fluency of dyslexic students was explored [36]. The outcome of the study suggests that reading in VR may positively affect dyslexic readers, as it allows the adjustment of fonts, text size, words per line, etc.
In general, applications of VR in school settings first and foremost appear to be linked to leveraging motivational aspects [37]. More comprehensive conceptualizations of learning scenarios linked to established methods in language learning at school and approaches to integrate classroom teaching with appropriate virtual learning methods appear to be missing so far.

2.5. Technology-Acceptance Model

The perception of technologies by individuals can impact how they will use them in a specific environment [38]. In this context, Davis et al. [39] developed the Technology-Acceptance Model (TAM), which was specifically designed to explain the user acceptance of a specific type of technology - in this work: a VR application. According to Davis et al. [39], there are two key factors that could influence users’ attitude and intention to use a technology (see Figure 2): perceived ease of use and perceived usefulness. Perceived usefulness refers to whether users attribute a certain added value to the technology, e.g. making training of reading fluency easier or funnier. Perceived ease of use is defined as the estimated effort that is required using a technology. Since perceived ease of use and perceived usefulness are indicated as the most important factors influencing technology acceptance, they also play a central role in the context of this research.
According to the model, the actual behavior of an individual is decided by its behavioral intention to use a specific technology. The behavioral intention to use a technology expresses the person’s intentions to use the technology in question in the future [39]. Accordingly, users are more likely to accept technologies that they find useful and that are easy to use than those with little added value and complicated applications [40]. In the meantime, the TAM has been used in a large number of studies to examine attitudes towards new technologies [41]).

3. Concept and Design

3.1. Learning Objectives

The objectives behind the learning activities are, on the one hand, important for the development and promotion of good RF. On the other hand, the learning objectives were developed based on the general limitations and challenges of MELT, e.g. the growing heterogeneity in classrooms [4], the little time for each student to receive feedback from the teacher, and the difficulty to motivate students to do reading aloud activities [28]. Therefore, with the implementation of MELT in a VR school environment we hoped to develop engaging, motivating reading tasks; personalized and intensified individual RF training and feedback options, and flexible collaboration opportunities for MELT in time and space. Based on this, the overarching learning objective for the VR training session is that the students improve their RF by practicing their script within the VR environment in a small group. This is achieved by the following sub-learning objectives:
  • The students can use the VR environment to communicate and cooperate effectively with learning partners;
  • They are able to give and receive feedback on their performance of the text;
  • They are able to move through the VR environment, and interact appropriately with its features to improve their RF;
  • They gain a deepened understanding of the story and its characters by interacting with props and images provided in the VR environment.

3.2. Learning Scenario

Based on the learning objectives described in the previous chapter, the learning scenario of the VR environment was developed.

3.2.1. Sub-scenario of MELT Phases

For the implementation of the MELT concept in VR, only specific phases were picked out from the overall concept of RF training. Based on the challenges of collaborative practice that occur in the classroom, e.g., limited spatial capacities at schools, phases of the collaborative RF training of MELT in particular were implemented in the VR training phase and taken into account accordingly in the design of the VR environment. This was done in an effort to address the challenges of traditional classroom instruction and to explore alternative design options for conducting MELT in VR. Thus, the focus was on the phase of collaborative RF training in different small groups of 3-4 students (n = 7). This correlated with phase 6 of the eight phases to MELT, as introduced by Kutzelmann et al. [20] (see Figure 1).

3.2.2. VR Concept (Implementation of MELT in VR Concept)

To address the challenges of RF training in presence as described in the previous chapter, the VR environment is based on the development of different virtual classrooms. For this purpose, a VR school environment was designed, consisting of three large classrooms (see Figure 3a) and five small breakout rooms (see Figure 3b).
In general, all of the eight VR rooms should be used for collaborative reading fluency training, i.e. read the MELT script out loud and give each other feedback. The collaborative reading training could take place both in tandem and in small groups (with three to four students per group). In addition, the VR school environment also provides ample space to conduct individual practice periods in which each student practices the MELT script on their own. However, since this was not the focus of this study project, this aspect will not be discussed further on.
In addition to the overarching goal of collaborative reading training, the learners were given additional tasks in two of the larger classrooms and in the smaller group rooms.
The main purpose of two of the larger classrooms was to create a space where the whole class, or in this case the study participants and the teacher, could come together for two different reasons: First, to get specific instructions from the teacher about the RF exercises to be carried out, i.e. what exactly the task to be completed is, in what time it is to be completed and how the groups are composed. Second, students should gather into their respective groups, split their roles, and choose an individual avatar and familiarize with it.
In the third of the large classrooms, the different student groups were to present their scene to one another and receive feedback from the teacher and the other classmates. This means that both a final rehearsal and a performance of the MELT script could be carried out in this classroom.
The smaller group work rooms were also designed to enable collaborative practice in small groups. Since these smaller rooms had to be entered via a link that opened a new browser window, they primarily served to offer the groups space for undisturbed reading training. This degree of intimacy and privacy should also be used by the teachers to give the groups individual feedback about their RF performance in a protected atmosphere.

3.2.3. VR Design

For the development of the VR learning environment, a VR school model was used that had already been made publicly available by the selected VR software, Hubs by Mozilla. The model already represented a school environment with a total of eight different classrooms. To adapt the model to the specific needs of conducting MELT in VR, some modifications were made based on the model developed by Hubs: tables and chairs were partially removed from the large classrooms, a stage and a partition wall were integrated, and avatars, shelves with props, and the MELT theater script were added.
The following now describes how the individual rooms are designed based on the tasks and functions that should take place in the individual rooms.
Practicing reading aloud cooperatively: In order to enable cooperative reading training in the rooms and to offer the students a wide range of cooperation opportunities, all rooms were equipped with chairs and tables analogous to real classrooms, but they were arranged very differently and can therefore be used for different reading tasks. One of the large classrooms was furnished with free-standing chairs with a foldable backrest, the other one with various group tables. In both large classrooms, a free area without chairs and tables was set up for free use in the front area. A stage was integrated into the third large classroom to conduct final rehearsals and reading performances in the entire class. Hence the chairs in this room were arranged in rows staggered upwards, analogous to a lecture hall or theater hall, so that all students have a good view of the stage.
The five smaller classrooms, on the other hand, were all set up identically: In order to create a pleasant discussion atmosphere for feedback and at the same time to offer space for collaborative practice in smaller student groups, a small meeting table with a number of six chairs was integrated into all five smaller VR group rooms.
To support collaborative reading, the RT scripts were integrated directly into all of the eight classrooms as a digital version. On the one hand, the MELT scripts were uploaded to each classroom in advance by the study instructors and pinned on the available media walls (see Figure 4a). Second, each individual student had the additional option of viewing the RT scripts in the form of individual flashcards (see Figure 4b). They automatically moved these along as they moved their avatar to provide students with flexible and space-independent reading training.
In addition, audio zones were set up for all of the different rooms so that students can only hear each other within one room. The closer students place their avatars to each other, the louder their voices become. This opens up two reading possibilities: enough spaces to run different reading formats at the same time, according to the individual needs of the students and enough spaces to receive feedback in a private and protected atmosphere.
Support further understanding of story and characters in the MELT script: To improve the overall prosodic composition of the reading, it is necessary to get a literary understanding of the content of the MELT scripts [28]. For this purpose, various props in the form of 3D objects (see Figure 5a) were integrated into the VR environment to visualize central elements. Students could use these during cooperative reading to highlight the content of their script or to give more expression to their own role or the content of the readers' theater. Furthermore, posters were also integrated into the environment that illustrated central elements, characters, and contents of the RT (see Figure 5b).
To support the students' engagement with their roles and characters, they were allowed to choose a personal avatar. In addition to avatars already provided by Mozilla Hubs in an internal collection (see Figure 6a), additional and pre-designed avatars were provided directly in the VR environment (see Figure 6b), designed to reflect the roles and content of the underlying MELT scenario. In order to spatially delimit the choice of an avatar from the reading training area, the back of one of the large classrooms was separated from the rest of the classroom by a room divider to create a walk-in cloakroom. A mirror wall was also integrated into this area, which should enable the students to look at the self-chosen avatar and become familiar with it, since the field of view of the students represents a first perspective.
Asking for, giving, and receiving feedback: Since the representation by means of an avatar causes the elimination of nonverbal behavior, and thus the facial expressions and gestures during reading, it is also important in VR that the students receive feedback on their expression and intonation while reading. To provide feedback to each other, both auditory and visual options were available in the VR environment. Students could respond to what a classmate read aloud using two features provided in Mozilla Hubs: The first opened a menu where one selects an emoji to spawn in the room. For the second feedback option the chat function of the VR environment could be used. In addition, there was also the possibility to give more detailed oral feedback to the other students. The smaller rooms were specially designed for this purpose, offering a more private and protected atmosphere than the large classrooms. This trains their perception of what good fluent reading is and supports their own development.
In addition, it was planned that the teacher or, in this case, the head of the study, would also join the VR environment with an iPad and avatar and, like in the classroom, also support the students as a coach when carrying out the exercises (e.g. by giving feedback). However, this could not be realized due to technical problems in the study, which the teachers were busy solving.

3.2.4. Interaction Design

Since the students already use iPads for their lessons in their everyday school life, this technology was also selected for the study project in order not to overwhelm the students by using an unfamiliar technology and VR software. In the following, therefore, the interaction design is described in relation to the use of the VR software on an iPad.The complete operation of the VR software was carried out using various commands with the finger.
Avatar selection: By tapping on the respective avatar once, a button "Choose an avatar" appeared. With a simple click on this button, the avatar could be selected and automatically changed its appearance.
Avatar navigation: The avatar could be moved forward by zooming in on the appropriate spot with two fingers. A backward movement could be done by zooming out with two fingers. Swiping left or right rotated the avatar in that direction. Simultaneous movement and rotation could be performed using on-screen joysticks. With the help of these commands, one's own avatar could be moved through all rooms.
Seat avatar: To place the avatar on a chair, two fingers had to be tapped simultaneously on the iPad screen and then it was possible to select a chair.
Use of flashcards: Flashcards with the MELT text could be displayed by tapping the screen with two fingers and then selecting the magnifying glass icon. The entire MELT text was divided into different index card pages. Three roles were displayed on each index card page. After reading these, the students had to manually switch to the next page of flashcards. This could be displayed by tapping the index card once with your finger. An arrow menu (left arrow (back one page) and right arrow (next page)) was then displayed and the students could navigate to the next flashcard page by tapping on the desired arrow.
Prop usage: The props could be controlled using a custom object menu that appears when you tap on each object. To rotate the object, the rotate icon had to be tapped and at the same time the direction of rotation had to be specified by moving your finger. Following the same principle, an object could be enlarged by holding the zoom in icon and either moving your finger away from the object (zoom in) or towards the object (zoom out). While holding the object with a finger, it can be freely moved through the VR environment and shifted from one room to another.

4. Methodology

4.1. Study Design

The study was inspired by the idea of a design or feasibility study. The objective of this study was to investigate the acceptance and potential of MELT - a RF training format - when performed with students in a VR application. From this, design recommendations for the future use of VR in the context of MELT should be derived. In this context, requirements surveys were conducted to analyze the challenges of traditional face-to-face instruction in foreign language classes or the limitations of implementing MELT in the classroom. It was found that implementing MELT in the classroom, as well as collaborative RF training in student groups in particular, is difficult due to space limitations in schools and classrooms, so digital supplements are needed for flexible learning and to facilitate the implementation of RF training as well as collaborative RF practice. In particular, the study focused on testing collaborative RF training in different small groups (with three to four students each) (see chapter 3.2).
The general approach was to make the study design as realistic as possible. Following on from this, the requirement arose to implement the planned study design and the associated data collection in a real school and with real users, i.e. students and teachers. For this, the VR study was carried out in the concrete context of a MELT intervention in a real school. This means that the concept of MELT was first explained to the students in presence in the classroom, and they first got to know and tried out all phases of MELT in presence. Only one phase, the collaborative RF training, was then carried out with part of the class in the VR environment. In addition, the study design relied on technologies that were already available in the school and with which the students were therefore already familiar, such as iPads on which the students could test the VR environment and participate in the study. Since the VR software was freely accessible via the Internet and did not have to be paid for separately or installed on the iPads, it was possible to create very realistic study conditions in this aspect as well, which can also be used in and transferred to normal everyday school life.

4.2. Subjects and procedure

The study was conducted at a Secondary school in Ravensburg (Germany). Both the students and their parents were informed about the research project in advance. In order to participate in the interviews, a written declaration of consent was requested from the parents and students. However, the students could independently decide whether to participate in the study.
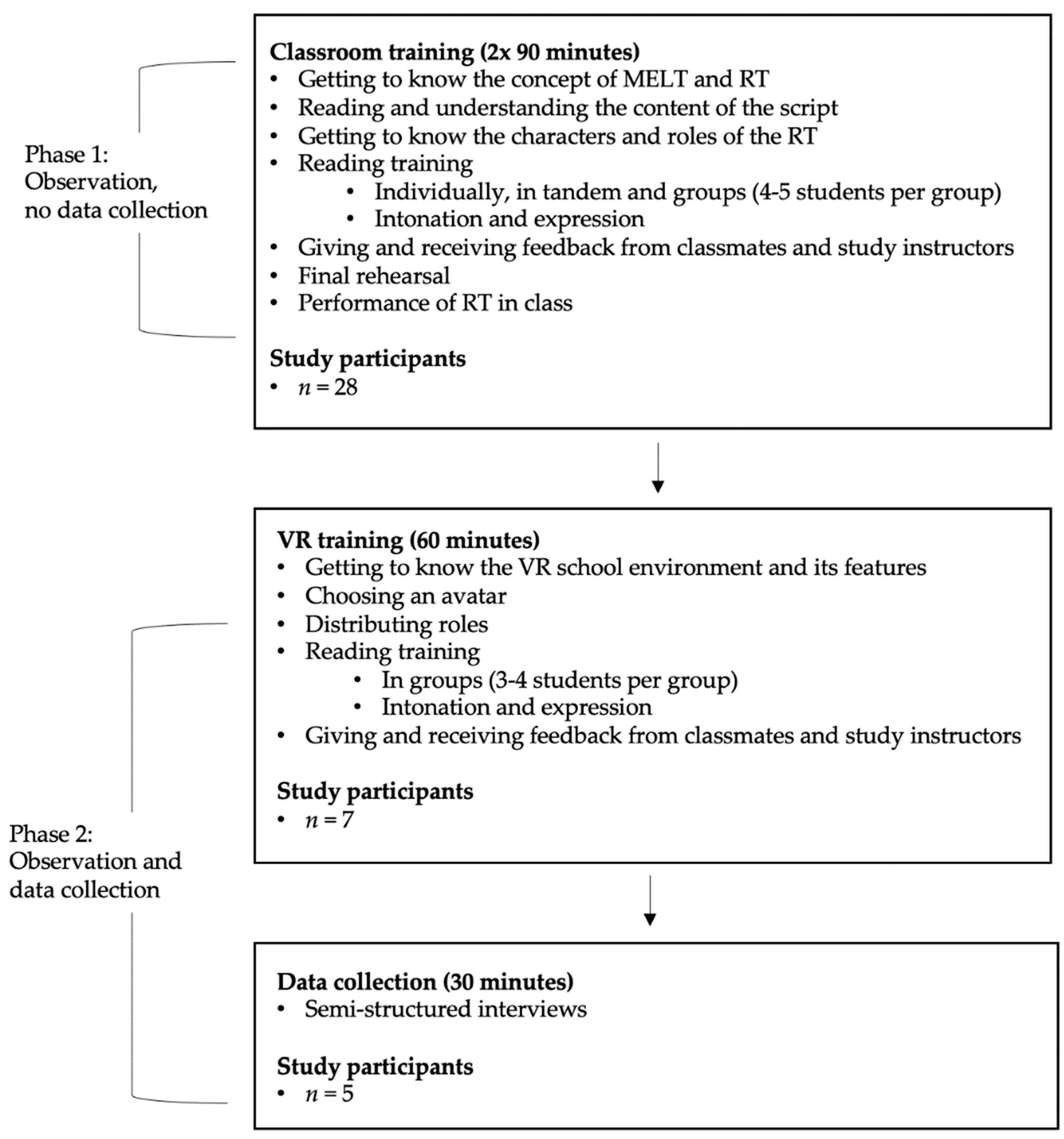
The sample consisted of students (n = 28) in a bilingual English class in Grade nine, aged 14 years. Because the students had no prior experience with the concept of MELT so far, the study (incl. data collection) was preceded by two hours of classroom training (90 minutes each) in order to introduce the students to the method. The two training sessions were, however, used solely for introductory reasons and therefore, were not analyzed empirically. In total, the study consisted of two different study phases that built on each other (see Figure 7).
The study started with two synchronous classroom training sessions, based on the eight phases of MELT introduced by Kutzelmann et al. [20]. Due to the limited time available, each phase was shortened to fit the timeframe of 90 minutes per session. The classroom training was conducted with the following learning objectives in mind:
  • Know the general concept of MELT;
  • Know and understand the story and characters in the MELT script (writing a table of consent);
  • Understand and learn the vocabulary used in the MELT script;
  • Practice reading the role aloud with others (intonation, emotions etc.);
  • Give and receive feedback on group members’ reading aloud production.
The classroom training sessions took place five and seven days before the VR study in the usual classroom of the sample and were attended by all students present during those two days. An overview of the contents addressed in classroom training can be found in Figure 7.
Following the classroom training sessions, students who had completed the required declaration of consent (n = 7) participated in a synchronous VR training session (60 minutes). First, all students were shown the VR environment and its general functions (audio, chat, navigation, etc.) together in the classroom (five minutes). However, the study itself took place in a different building where the school’s computer room was located. For this purpose, the students, accompanied by the two study directors, changed the building after the joint introduction in the classroom. There, the students were given the task of independently looking around the VR environment, exploring its different spaces, and getting a feel for how to use and navigate it using an avatar (15 minutes). During the treatment, each student was assigned a single iPad (tablet).
After the self-exploration phase, students had to get together in small groups and to perform reading training, i.e., acting out or reading aloud one of the scenes of the MELT play. For the VR training session, only one phase of MELT was applied - the collaborative RF training. The previous phases (such as getting to know the play) were already covered by the classroom training. For this, they were to choose an appropriate avatar, meet with their group (three to four students per group). They were left free to decide which practice room to choose and whether and how to integrate props into their reading training. Subsequent phases of MELT (such as performance of MELT script) could not be realized due to time constraints.
While students were undertaking the VR activities, they were observed by two study directors using guided, structured observation notes in order to identify aspects concerning e.g., RF, repetition, motivation and the collaboration and communication within the reading groups (see chapter 5.2). After the activities were completed, some students (n = 5) were asked to provide additional qualitative feedback. Therefore, one of the study directors conducted semi-structured interviews with five students to elicit to what extent students have accepted the implementation of MELT in the VR school environment and why (not).

4.3. Investigation tools

4.3.1. VR software

There are various software applications that could be used to create VR environments for specific learning scenarios [42]. In the context of this study, we used the Mozilla Hubs platform [43], which features the creation and usage of virtual 3D rooms to facilitate various communication scenarios, e.g., in educational contexts. Mozilla Hubs is a web-based application that works on a browser and supports many devices. It can be used for a fully immersive experience with head-mounted-displays as well as for 2D web browser applications (desktop, laptop, smartphone, or tablet). The Mozilla Hubs rooms are private. Participants can enter a specific room by clicking on a web link generated by the room creator. Due to this, the usage of Mozilla Hubs is not requiring further software installation. This ease of availability was one of the reasons why we chose this application [44]. In addition, we selected Mozilla Hubs because of its free usage option, which addresses current concerns and risks of using VR in an educational context or classroom [45]. Users are represented as avatars. For this, they can choose from a large selection of pre-generated avatars or create an avatar with 3D modeling tools like Blender. Further features of Mozilla Hubs include display and media sharing (PDFs, images, videos, audios, 3D models, etc.), voice and text chat, live reactions via emojis, etc.

4.3.2. Observation notes

Observation notes were taken during the VR training session by the two researchers located in the room with the participants. For systematic recording of observations and subsequent comparability between the different observers, an observation protocol was developed with the following categories (see Appendix): reading repetitions, reading of the RT script, design of the practice phases, communication within the groups, avatar and props, avatar movement and navigation, technique, and other notes / observations.

4.3.3. Construction interview questionnaire

In addition to the observation notes and to answer the research questions, semi-structured interviews with the students were conducted, directly following the VR exercise phase. Overall, the interview guide was divided into four parts: (1) demographic information, (2) acceptance of the VR RT (perceived ease of use and perceived usefulness), (3) effects of the VR RT (joy, motivation, first impression) and (4) behavioral intention to use the VR RT. The first part served to collect demographic information (1), consisting of a total of four questions about students’ media consumption (“What technical devices do you own?”, “How and for what do you use media in your everyday life / at school?”) and previous experiences using VR applications (“What experience have you already had with VR applications?”).
Interview section two was used to analyze student acceptance of the VR school environment (2) and the implementation of the RT in this environment. The questions were based on Davis et al. [39] original Technology Acceptance Model questionnaire, but their content was adapted to the specific format of the RT in the VR school environment and translated into German. As postulated by Davis et al. [39], student acceptance was thereby divided into perceived ease of use and perceived usefulness. The five questions about perceived usefulness were primarily related to the practice phase, reading tasks or the avatar use of the students during the performance of the RT in the VR environment (“What did you like/dislike about the VR practice phase?”, “What did you like/dislike about the VR practice phase compared to face-to-face practice?”, “How did you feel about performing the reading practice tasks in VR?”, “What was easier/harder about performing the reading exercise in VR than in presence?”, “What did you find helpful/disruptive about the VR environment in order to complete the exercise?”, “How did you feel about being able to step into your role in the play through an avatar?”).
The 4 questions on perceived ease of use focused primarily on the VR school environment and how students interact with it (“What did you like/dislike about the VR school environment?”, “What did you like/dislike about the VR environment compared to face-to-face practice?”, “How did you get along with the VR school environment?”, “Have any (technical) problems arisen during the reading exercise in the VR school environment, if so - which ones?”).
The third part of the questionnaire was related to what effects (3), e.g. general impression or joy, the implementation of the RT in the VR school environment had on the students (“What was your first impression of the VR environment or practice phase?”, “How much did you enjoy today’s practice period in VR compared to the practice period face-to-face?”, “Did you feel more like practicing the play in the VR environment than in presence? Why?”).
The last interview section was to find out more about the reasons if and why students can imagine using VR at school/in foreign language classes/in relation to RT (4) in the future (“What do you think are the advantages/disadvantages of doing a reader’s theater in VR compared to being present?”, “Would you like to learn more using VR applications in school/foreign language class/in relation to RT in the future? And why?”).

4.4. Methodology of data evaluation

4.4.1. Evaluation procedure observation protocol

The observation protocol was completed individually by the two study directors following the VR training session. Subsequently, the two observation protocols were compared with each other in order to identify similarities or differences in the observations. The subsequent qualitative evaluation was carried out along the previously formed observation categories or criteria.

4.4.2. Evaluation procedure interview questionnaire

The interviews were subsequently evaluated using qualitative content analysis according to Mayring and Fenzl [46]. For this purpose, an iterative process was used to create a coding guide in the form of a category system with the following characteristics: main category, sub category, definition of the category, anchor example from the interview materials (see Table 1). The categories were formed both deductively along previous research findings and theories in the literature and inductively from the existing data material. Subsequently, the entire data material from the five interviews was analyzed with the help of the category system. Individual interview passages were assigned to the various categories in several iteration loops until a suitable category was found for all interview statements.

5. Results

5.1. Description of the sample

A total of n = 7 students participated in the VR training session. Their behavior was therefore included in the observation protocols. Of these, four participants were female and three participants were male. Only five of these students (four female and one male participant), however, participated in the interviews referred to in the following sample description. The average age at the time of the interviews was 14 years.
Use of technical devices in everyday life: Regarding the use of media in everyday life, it was found that participants use cell phones (n = 5), laptops (n = 3), tablets (e.g. family tablet) (n = 2), the PC (n = 1) or TV (n = 1).
Use of technical devices in school: With regard to the use of media at school, n = 3 of the participants stated that they use their iPad at school.
Estimated duration of use of technical devices per day: In terms of daily cell phone use, n = 2 students reported a daily duration of approximately two hours, n = 1 of two to three hours, and n = 1 of three hours. One student emphasized that her daily cell phone use had a fixed limit. In terms of daily iPad use at school, n = 2 students spoke of needing and using it for most of the school day. One study participant indicated that iPad use varied by subject and was approximately one to two hours per day. Overall, n = 2 of the students estimated their daily media use to be about three to four hours.
Previous experience with VR and VR environments: All participants (n = 5) reported having prior experience with different VR applications, with one person explicitly talking about not having been in a VR environment themselves: n = 3 students named a school project that involved a VR art exhibit; n = 1 student talked about having used VR outside of school, two to three times at a friend’s home. In addition, n = 2 students reported that they have also had previous experience with VR glasses.

5.2. Observation protocol

During the virtual reading training, the study participants were observed by the two study directors using a guided, structured observation protocol with nine different observation categories. The results obtained are described below along these nine observation categories.
Reading repetitions: During the first reading of the RT scene in VR, the students had trouble assigning the different RT roles and finding the appropriate page in the scripts as they read aloud in groups. In addition, while reading, the students pointed out to each other a missed cue, by saying “it’s your turn”. The second reading of the RT scene went smoothly.
Motivation to read: The students were motivated to read. It seemed as if they were even more motivated during the VR reading training than during the classroom training. For instance, after solving the technical problems, the students started to read the play on their own without being directly asked again by the study instructors. In presence, on the other hand, the students tended to occupy themselves with other things after some time. In addition, all students in a reading group had to take on a role unknown to them and read out unknown sentences. One student even had to take on two roles at the same time. The students had no inhibitions reading an unknown text and were motivated to get involved. In addition, similar group dynamics with respect to reading motivation were evident in the VR training as well as in the classroom training: one student who motivated his group to read in presence also did so in VR. Reading motivation was also evident in the fact that the students did not take breaks during the reading training. After completing the first reading session, one group asked the study leader directly for the next reading task. In presence, the students did not explicitly ask the teacher for new tasks during the practice periods.
Reading Fluency: In terms of students’ RF, no (positive/negative) differences were perceptible between the reading training in the VR school environments and the classroom training sessions.
Communication & collaboration: At the beginning of the reading training (especially when the first technical problems arose), the students sat down next to each other (in presence) and talked “in person” in order to distribute or discuss the division of the RT roles. After fixing the technical problems, one reading group spread out on different floors in the hallway (of the real school building), the other group spread out in a classroom (in presence) to practice reading.
Degree of distraction: During the reading training, most of the students were focused on their reading tasks and script. Only one student moved through the VR environment with his avatar while his group members were reading, but then felt caught by one of the study instructors.
Digital RT script: The study instructor first had to show the students how to view and use the digital RT script in the VR environment: i.e., how to keep clicking on the text (on the media walls) and how to view it in index card form. Even during the reading, some of the students needed help with setting and displaying the script. Nevertheless, all students voluntarily used the RT script available in the VR environment rather than their analog paper scripts.
Use of avatars and props: The study instructors observed that the students do not position their avatar in a special way while practicing reading. Instead, the avatars stood very spread out in the room and not exactly next to each other while reading. In presence, students did not take any special positioning during reading practice. Even while reading per se, students did not move their avatars. With regard to the use of props during the reading training, it was observed that the students were aware of the props (e.g., by talking about them in their respective groups) but did not explicitly integrate them into the reading exercises.
Movement and navigation: The students intuitively and independently moved around and explored the environment and their features with their avatar immediately upon entering the VR environment (without specific instruction from the study leader or an official warm-up phase that did not take place as planned due to technical problems). It was not apparent that the students had any inhibitions or fears about using the VR environment for reading practice.
Technique: The start of the actual reading training was delayed by audio problems: the audio was very quiet, the students heard themselves partially but not their group members. One student showed some frustration in this regard. In addition, connection problems and the performance of the Internet in the school meant that some of the students were thrown out of the environment, and re-accessing the VR environment took a lot of loading time. The students were nonetheless motivated and patiently waited for the technical problems to be resolved and searched for possible solutions themselves. Even though this took some time (approx. 30 minutes), the students then got involved in the planned reading training and carried it out.

5.3. Interview results

5.3.1. Acceptance of the VR RT

When analyzing interview results regarding study participants’ acceptance of participating in the virtual MELT, a distinction was made between perceived usefulness and perceived ease of use, as postulated by Davis et al. [39].
Perceived usefulness:
Choice of an avatar: four of the five interviewees stated that they found the free choice of an avatar very positive, two participants also described the variety of choices as positive. Various reasons were listed which were decisive for the choice of one’s own avatar: according to one’s own role in the RT play, to one’s own personality or to the appearance of the avatar (“what I find cool now”, I. 4). In addition, one person said that the choice of avatar made it easier for her to put herself in her role.
Reference to the RT play and use of props: One person stated that they found it very positive that the VR school environment was set up with props that played a role in the readers’ theater play. At the same time, one person spoke relatedly about not actively using props in the VR reading training.
Reference to the RT role: Different results emerged regarding the student’s production of their own role in RT play in the VR environment: One study participant reported that she found it easier to get into her RT role in presence because she was able to draw more parallels to acting in theater (e.g., voice changes). Another participant said that being able to choose her own avatar probably made it easier for her to get into her role.
Spatial flexibility: Three of the study participants talked about how they liked that the use of the VR environment made it possible to read flexibly with each other without having to sit in the same room.
Level of variety: All five study participants told us that they found conducting the MELT in a VR environment to be very diversified in relation to the usual school day and liked it that way. One person described this aspect as follows: “Because it’s just something new and you don’t do it every day…” (I. 5).
Expression of emotions: With regard to the expression of emotions while reading the MELT script, differentiated results can be observed: Two of the students stated that it was more difficult for them to express their emotions and hear those of other students when reading in VR than when reading in presence, e.g., because the representation of oneself in the form of an avatar cannot show a facial expression. However, one of the two goes on to say that there are not big differences: “I don’t think it’s a big difference, but you can tell that other emotions are also shown whether you’re standing opposite each other or there’s another device in between.” (I. 3). In contrast, one person perceived emotions better when reading in the VR school environment than in presence.
Immersion: The statements of three students show that they experienced slight feelings of immersion during the reading training or in the VR environment in general: “It almost felt a bit like you were really in there” (I. 1), as one student described. Another student concretized the place by creating a feeling of immersion as follows: “It felt a little bit like being in school” (I. 2).
Perceived ease of use:
Movement, navigation, and orientation: Two of the students stated that they perceived it positively that they could move freely in the VR environment with their avatar and enter the different rooms. Another study participant reported that at the beginning of the reading training in the VR environment, he had to get used to navigating by avatar and the movement worked well after about three to five minutes. One of the participants reported ongoing navigation problems, e.g. she said that she sometimes got stuck on the furniture of the environment (e.g. a chair) with her avatar. This participant also referred to differences in perception and her own field of vision between VR and presence, saying: “You couldn’t see exactly what you normally see, but you had to adjust to what you see a bit first” (I. 5).
Degree of distraction: Four of the five participants stated that the VR environment did not distract them from the reading training and exercises. One student attributed this to the fact that she generally works a lot with the iPad at school and is therefore used to it. Another student justified this by saying that she mainly saw the script and not the surroundings of the VR school environment while reading and practicing.
Digital RT script: Three of the participants stated that they perceived the presence of a digital theater script (both on the media walls and in index card form) as positive. One of the participants explained this as follows: “It's not so boring with the paper at the front, but you can have it at the bottom, press on nicely” (I. 2). At the same time, three of the study participants spoke of problems in using the digital theater script because one “...always had to press on a cross at the top, so it wasn’t so easy to see when it was your turn” (I. 2).
Design of the VR school environment: The comments of four study participants on the design and structure of the VR environment were consistently positive: They found the virtual school building and the various classrooms to be very realistic. Especially the large number of different classrooms surprised two of the study participants and as they said contributed to the fact that they felt the school building as a real representation of their real school and classrooms. In addition, one of the interviewees commented specifically on the furnishings, which she perceived “...very colorful and um clearly arranged” (I. 5).
Communication & collaboration: Communication and collaboration within one’s own group during the VR reading training was described as difficult by two participants, as it was sometimes hard to understand the other group members (mainly due to audio problems) and due to the use of the digital RT scripts it was not always clearly recognizable which person’s turn it was to read next. The possibility to hear and understand the other group members directly in the VR environment (as long as there were no sound problems) was basically perceived as very positive by two interviewees.
Perceived degree of difficulty of the exercise/reading: With regard to the perception of the students in relation to the perceived degree of difficulty of the reading training in VR different results are shown: two of the students said that they found the reading training in the VR school environment a bit more difficult than in presence in the classroom. The mentioned reasons were: communication within the group due to technical problems, use of digital script, expression of emotions. One student, on the other hand, stated that she did not perceive the reading training in the VR environment as more difficult than in presence.
Technical problems: One of the participants said that at the beginning of the reading training it was difficult to hear the other group members. Towards the end, however, the volume problems could be solved, as she explained. With regard to audio-technical aspects, one study participant also noted that she found it stupid that most of the study participants did not have headphones with them. Two students also spoke about the fact that the reading training in the VR environment was limited due to problems with the WLAN connection in the school building. These complications were evaluated differently by two students: For one of them the technical problems were “...not particularly bad now” (I. 5). The other student thought it was “...just a little bit stupid that it did not work out so perfectly then” (I. 3).

5.3.2. Effects of the VR RT

General impression of VR environment (usefulness, ease of use, design) and the reading fluency training: Four of the five participants were very positive about the question of their first impression of the VR environment and the reading exercises in VR. They described it in words such as: “I thought it was really good” (I. 2) or “...it was cool” (I. 3).
Sense of fun and motivation: Three of the five interviewees expressed that they liked practicing the RT play more in VR than in presence. In addition, three interviewees also talked about how they also enjoyed the reading itself more in the VR school environment than in presence. One person, on the other hand, stated that she did not enjoy the exercise or reading in VR any more or less than in presence and would like both formats or a combination of them.

5.3.3. Behavioral intention (future usage of VR RT)

Future potential of RT in VR: All study participants stated that they could imagine learning more with VR applications in the future because it is fun and offers variety. Of these, two of the interviewees specified that they would not want to use VR exclusively in class, but rather as a change from normal school lessons (e.g., two to three times a month) or as a combination of both, as one participant put it: “Well, I think it’s best to have both together somehow” (I. 3). In addition, one student said that he could imagine using VR especially in English/foreign language classes, e.g., to learn and test vocabulary, make role plays or read texts.

6. Discussion and Conclusion

Reading training formats that promote RF, such as e.g. repeated or assisted reading, are considered very time-consuming. They often do not allow teachers to respond to the individual needs of students and to give them sufficient feedback. In addition, it is very difficult to motivate students as they sometimes find reading aloud activities monotonous. Therefore, the overarching goal of this study was to determine the extent to which students would accept the implementation of a specific phase of MELT in a VR environment: that of cooperative reading fluency training. This promised increased efficiency, easier structuring of personal learning processes, individual feedback options, online collaboration, and a more satisfying and motivating user experience for the students.
Finally, we will now discuss how the learning objectives established in chapter 3.1 could be implemented through the design of the VR environment as well as the didactic structure of the VR training session. With regard to the sub-learning aim to provide opportunities for cooperative reading training, an important and surprising result of this project is related to the fact that, despite numerous technical difficulties at the beginning of the VR training session, the students had a very positive first impression of the virtual RT. In addition, the students indicated that they were very motivated and even had more fun during the virtual RF training than during the face-to-face reading training (s. chapter 5.3.2). However, two students explicitly stated that reading training in VR was still more difficult for them than in presence, mainly due to technical challenges. Furthermore, the students perceived the presence of the digital MELT script as positive, even though they described its use as challenging and complicated (s. chapter 5.3.1). Especially with a view to further testing of MELT and to simplify the collaboration of the students in VR, alternative possibilities (e.g. in relation to the digital representation of the MELT script) should be created and VR software should be tested, which enables the reading text to be displayed and operated more easily. In terms of ways to encourage giving and receiving feedback, the second sub-learning objective, it appeared that students independently discovered, but did not actively use, both the chat and emoji features to give each other feedback. Especially due to the omission of non-verbal communication elements, a student cannot tell his classmates how they feel about their performance with facial expressions or gestures. In this context, it would be important to help students understand the relevance of giving and receiving feedback in relation to their own reading fluency or to support them with this. In addition, various exercises should be integrated into the phases of collaborative reading fluency training in VR to encourage and instruct students on how to give each other feedback. For example, students could also be motivated to give feedback through a gamified approach, such as giving a virtual badge to the group that gave the most feedback to each other. With regard to the third sub-learning objective of allowing the movement and interaction within the VR environment, it became apparent that most of the students, after initial difficulties and a short familiarization phase, were able to move very well with their avatar in the VR environment. Some of the students were partly distracted from the actual exercise task by the possibility of moving with their avatar in the VR environment, as they continued to explore the environment and try out its functions, such as sitting on a chair. After a short introduction, they were also able to use the other VR features independently and intuitively (e.g. the digital MELT script). Here it can be assumed that this aspect is due to the pronounced daily media consumption or VR prior experiences of the students (s. chapter 5.2). However, it is unclear whether this improved the RF. This would require further experimental studies. With respect to the fourth sub-learning objective of gaining a better understanding of the story and its characters by interacting with props and images, the following results emerged: Students described the design of the VR environment based on the content of the MELT script (e.g., using props) as very positive, but did not actively integrate it into their reading training. The free choice of an avatar was also described as positive by the students, but only contributed to one student being able to put herself more into her MELT role (s. chapter 5.3.1). For future studies, it is therefore recommended to integrate the students more strongly in the design and development process of VR environments (e.g. when creating their own avatar), in order to promote their discussion and the process of understanding the content and roles of the MELT script. In addition, there would be other features that could be integrated into a VR environment in the future to practice and improve RF, to increase student’s acceptance or to support giving and receiving feedback: vocabulary lists, uploading and recording functions for audio files (e.g. like a recording studio) for teachers and students (incl. pronunciation of individual words), comment functions and further materials for independent reading training (e.g. from home).
Looking at the factors postulated by Davis et al. [39] to influence student’s acceptance of the VR environment (perceived usefulness and perceived ease of use), it appears that students are more likely to rate the perceived usefulness of the VR environment as positive than the perceived ease of use. Factors associated with perceived usefulness, such as the avatars, the design of the environment (in terms of its content relation to the MELT play and the roles) and the spatial flexibility of the VR environment were perceived as useful and varied. However, other factors such as the expression and perception of emotions in VR were perceived by the majority of respondents as more challenging than in presence (s. chapter 5.3.1). For the future use of MELT in a VR environment, it would be relevant to practice with the students how emotions can be explained and perceived when not facing each other face-to-face: e.g. through various exercises on intonation or voice pitch in VR. In addition, when training in presence, one could create similar conditions for practicing the expression and perception of emotions as in presence, e.g. by having the students listen to their classmates and their expression of emotions with their eyes closed and especially emphasizing the emotions of their MELT character. A paradoxical picture emerged with regard to the factors that students named in connection with the perceived ease of use of the VR environment. Despite the fact that some VR features were difficult to use (e.g. the digital script) or caused technical problems (e.g. communication via audio), the students found it positive in retrospect that they were integrated into the VR environment. Since it was not possible to carry out pre-tests under real study conditions within the scope of this study for reasons of time (i.e. to test the hardware and software in advance with the number of real study participants), pre-tests should be carried out in future studies to identify potential technical challenges and problems early and eliminate them for the real study. In this study, it was only possible to test the hardware and software in advance with regard to their functionality in the study environment with one person, one of the study leaders, but not with the students and the real number of study participants. In addition, it is advisable to carry out the actual study with several study managers who can individually support the study participants if (technical) difficulties arise.
In summary, an important and surprising result of this project is related to the fact that, despite numerous technical difficulties at the beginning of the VR training session, the students had a very positive first impression of the virtual RT and indicated that they were very motivated and even had more fun than during the face-to-face reading training (s. chapter 5.3.2). In particular, due to the high motivation and frustration tolerance of the study participants, it can be concluded that the students accepted the implementation of MELT in the VR school environment. This aspect is consistent with previous research results and findings in the specialist literature and shows that if the above mentioned improvements could be realized it seems as if the use of VR applications could potentially enable numerous design options (such as self-learning activities, personalized learning and feedback, increased motivation), which are often difficult to achieve in face-to-face settings. Following on from this, the results make it clear that carrying out the reading fluency practice phase of MELT in a VR environment has great potential. It has emerged that the refinement and transfer of an established format for training reading fluency, as in this project of the MELT concept, creates additional added value that can, among other things, counter the limitations of the setting itself (e.g. the low motivation of the students to practice reading repeatedly).
In view of the limitations of this study, it must be stated that due to the time, financial and personal resources available, an unrepresentative study was carried out. With regard to further research in this area, it is therefore essential to conduct a long-term study with a representative number of students in order to be able to draw conclusions about their acceptance of the reading fluency practice phases of MELT in a VR application and RF development over a longer period of time. In addition, it would be essential to try out the different RF training phases and formats of a RT (individual, tandem, group) in order to be able to assess how these affect the acceptance of students. It would also be exciting to explore the final performance of the MELT script in VR. In order to be able to draw conclusions about the promotion of reading fluency in VR, an experimental study design would have to be carried out.
The above results can be considered a first evaluation of acceptance of VR technologies in the context of reading fluency training at schools within the specific scenario of MELT. Next steps in this research will include a more comprehensive implementation of a VR-enhanced MELT scenario at schools and a more comprehensive evaluation over a longer time period, allowing for more informative insights on the possibilities and potentials for a permanent application of VR technologies in this context. Corresponding research activities will also investigate the influence of specific VR technologies (e.g., VR glasses), as well as usability aspects and user experience in more detail.

Author Contributions

Conceptualization, Linda Peschke; methodology, Linda Peschke, Ute Massler and Wolfgang Müller; evaluation, Linda Peschke and Anna Kiani; writing, Linda Peschke, Anna Kiani, Ute Massler and Wolfgang Müller.

Funding

This research was partially funded by Baden-Wuerttemberg Ministry of Science, Research and Arts.

Institutional Review Board Statement

The study was conducted in accordance with the Declaration of Helsinki. Ethical review and approval were waived for this study due to general allowance of singular school studies by the school district and a specific allowance of the school administration.

Informed Consent Statement

Informed consent was obtained from all subjects involved in the study.

Data Availability Statement

We encourage all authors of articles published in MDPI journals to share their research data. In this section, please provide details regarding where data supporting reported results can be found, including links to publicly archived datasets analyzed or generated during the study. Where no new data were created, or where data is unavailable due to privacy or ethical restrictions, a statement is still required. Suggested Data Availability Statements are available in section “MDPI Research Data Policies” at https://www.mdpi.com/ethics.

Link original VR school environment

Link customized VR school environment

References

  1. National Reading Panel. Report of the National Reading Panel: teaching children to read: An evidence-based assessment of the scientific research literature on reading and its implications for reading instruction. University of Michigan Library, 2000.
  2. Grabe, W. Reading in a second language: Moving from Theory to Practice. New York: Cambridge University Press, 2009.
  3. Reynolds, D.; Goodwin, A. Supporting Students Reading Complex Texts: Evidence for Motivational Scaffolding. ERA Open 2016, 2 (4), 1–16. [CrossRef]
  4. Jamshidifarsani, H.; Garbaya, S.; Lim T.; Blazevic, P.; Ritchie, J.M. Technology-based reading intervention programs for elementary grades: An analytical review. Computers & Education 2019, 128, 427-451. [CrossRef]
  5. Massler, U.; Gantikow, A.; Haake, S.; Müller, W.; Lopes, C. GameLet: Fostering Oral Reading Fluency With a Gamified, Media-Based Approach. European Conference on Games Based Learning; Reading, 2019. [CrossRef]
  6. Milrad, M.; Wong L.-H.; Sharples, M.; Hwang G.-J; Looi, C.-K.; Ogata, H. Seamless Learning: An International Perspective on Next Generation Technology Enhanced Learning. In Handbook of Mobile Learning, Berge Z.L., Muilenburg L.Y., Eds.; Routledge: New York, USA, 2013; pp. 95-108.
  7. Mraz, M.; Nichols, W.; Caldwell, S.; Beisley, R.; Sargent, S.; Rupley, W. Improving oral reading fluency through readers theatre. Reading Horizons 2013, 52(2),163–180.
  8. Tyler, B.-J.; Chard, D. Focus on Inclusion: Using Readers Theatre to foster fluency in struggling readers: A twist on the repeated reading strategy. Reading & Writing Quarterly 2000, 16, 163-168. [CrossRef]
  9. Rasinski, T. Reading Fluency Instruction: Moving Beyond Accuracy, Automaticity, and Prosody. The Reading Teacher 2006, 59(7), 704-706. [CrossRef]
  10. Ostovar-Namaghi, S. A.; Hosseini, S. M.; Norouzi, S. Reading Fluency Techniques from the Bottom-up: A Grounded Theory. International Journal of Applied Linguistics and English Literature 2015, 4(5), 29–35. [CrossRef]
  11. Gorsuch, G.; Taguchi, E. Repeated reading for developing reading fluency and reading comprehension: The case of EFL learners in Vietnam. System 2008, 36(2), 253–278. [CrossRef]
  12. Rasinski, T.; Hoffman, J. Oral reading in the school literacy curriculum. Reading Research Quarterly 2003, 38(4), 510–522. [CrossRef]
  13. Webb, S.; Chang, A. C-S. Vocabulary Learning through Assisted and Unassisted Repeated Reading. The Canadian Modern Language Review 2012, 68 (3), 267-290.
  14. Vaughn, S.; Linan-Thompson, S.; Kouzekanani, K.; Pedrotty Bryant, D.; Dickson, S.; Blozis, S.A. Reading Instruction Grouping for Students with Reading Difficulties. Remedial and Special Education 2003, 24 (5), 301-315. [CrossRef]
  15. Hußmann, A.; Wendt, H.; Bos, W.; Bremerich-Vos, A.; Kasper, D.; Lankes, E.M.; McElvany, N.; Stubbe, T.; Valentin, R., Eds. IGLU 2016: Lesekompetenzen von Grundschulkindern in Deutschland im internationalen Vergleich. Waxman: Münster, 2017.
  16. Young, C.; Rasinski, T.. Implementing Readers Theatre as an Approach to Classroom Fluency Instruction. The Reading Teacher 2009, 63(1), 4–13. [CrossRef]
  17. Worthy, J.; Prater, K.“I thought about it all night”: Readers Theatre for reading fluency and motivation. The Reading Teacher 2002, 56 (3), 294-297.
  18. Drew, I.; Pedersen R.R. Readers Theatre: A different approach to English for struggling readers. Acta Didactica Norge 2010, 4(1), 1-18.
  19. Kutzelmann, S.; Massler, U.; Peter, K.; Götz, K.; Ilg, A., Eds. Mehrsprachiges Lesetheater: Handbuch zu Theorie und Praxis. Budrich: Leverkusen, 2017.
  20. Kutzelmann, S.; Paul, S.; Büchel, A. Mehrsprachiges Lesetheater: Ein Lautleseverfahren zur sprach- und fachübergreifenden Förderung der Leseflüssigkeit. In Praxis der Lautleseverfahren; Kutzelmann S., Rosebrock C., Eds.; Schneider Verlag Hohengehren GmbH: Baltmansweiler, Germany, 2018; pp. 111–125.
  21. Hasselbring, T. S.; Goin, L. I. Literacy instruction for older struggling readers: What is the role of technology? Reading & Writing Quarterly 2004, 20(2), pp. 123–144. [CrossRef]
  22. Adams, M. J. The Promise of Automatic Speech Recognition for Fostering Literacy Growth in Children and Adults. In International Handbook of Literacy and Technology; McKenna, M. C., Labbo, L. D., Kieffer, R. D., Eds.; Lawrence Erlbaum Associates: Hillsdale, NJ, 2006; pp. 109–128.
  23. Mostow, J.; Aist, G.; Huang, C.; Junker, B. 4-Month Evaluation of a Learner-Controlled Reading Tutor That Listens. In The Path of Speech Technologies in Computer Assisted Language Learning. From Research Toward Practice, 1st ed.; Holland M., Fisher F. P., Eds.; Routledge: New York, USA, 2007, pp. 201-219.
  24. Mills-Tettey, G. A.; Mostow, J.; Dias, M. B.; Sweet, T. M.; Belousov, S. M.; Dias, M. F.; Gong, H. Improving Child Literacy in Africa: Experiments with an Automated Reading Tour Robotics Institute. Paper 161 2009, 1-10. http://repository.cmu.edu/robotics/161.
  25. Vasinda, S.; McLeod, J.. Extending Readers Theatre: A Powerful and Purposeful Match With Podcasting. The Reading Teacher 2011, 64(7), pp. 486–497.
  26. Kapp, K. M.. The Gamification of Learning and Instruction. Pfeiffer / John Wiley & Sons, 2012.
  27. Deterding, S.; Dixon, D.; Khaled, R.; Nacke, L. From Game Design Elements to Gamefulness: Defining ‘Gamification’. In Proceedings of the 15th International Academic MindTrek Conference: Envisioning Future Media Environments, 2011, 9–15.
  28. Massler, U.; Müller, W.; Iurgel, I.; Haake, S.; Gantikow, A.; Hadzilacos, T. Meaningful, gamified training of reading fluency. Frontiers in Computer Science 2022, 4. [CrossRef]
  29. LaLeTu. Available online: https://www.laletu.de/home (accessed on 11.04.2023).
  30. Luo, H.; Li, G.; Feng, Q.; Yang, Y.; Zuo, M. Virtual reality in K-12 and higher education: A systematic review of the literature from 2000 to 2019. Journal of Computer Assisted Learning 2021, 37(3), 887–901. [CrossRef]
  31. Mestre, D. (n.d.). Immersion and Presence. 2023. Online: https://www.researchgate.net/publication/239553303_Immersion_and_Presence.
  32. Parmaxi, A. Virtual reality in language learning: A systematic review and implications for research and practice. Interactive Learning Environments 2023, 31(1), 172–184. [CrossRef]
  33. Dhimolea, T.K; Kaplan-Rakowski, R.; Lin L. A systematic review of research on high-immersion virtual reality for language learning. TechTrends 2022, 66(5), 810-24. [CrossRef]
  34. Symonenko, S. V.; Zaitseva, N. V.; Osadchyi, V. V.; Osadcha, K. P.; Shmeltser, E. O. Virtual reality in foreign language training at higher educational institutions. CEUR-WS.org 2022, 2547(03), 37-49.
  35. Mirlaut, J.; Albrand, J.-P.; Lassault, J.; Grainger, J.; Ziegler, J.C. Using Virtual Reality to Assess Reading Fluency in Children. Frontiers in Education 2021, 6. [CrossRef]
  36. Carrasco Orozco, M. Can Virtual Reality improve Dyslexic English students’ reading fluency and their emotional valence towards reading? Oulu: University of Oulu, 2020.
  37. Kavanagh, S.; Luxton-Reilly, A.; Wuensche, B.; Plimmer, B. A systematic review of virtual reality in education. Themes in Science and Technology Education 2017, 10(2), 85–119.
  38. Fussell, S. G.; Truong, D. Using virtual reality for dynamic learning: an extended technology acceptance model. Virtual Reality 2022, 26, 249-267. [CrossRef]
  39. Davis, F.D.; Bagozzi, P.R.; Warshaw, P. User acceptance of computer technology: a comparison of two theoretical models. Management Science 1989, Vol 35(8), 982-1003. doi: 0025-1909/89/3508/0982$01.25.
  40. Pletz, C.; Zinn, B. Technologieakzeptanz von virtuellen Lern- und Arbeitsumgebungen in technischen Domänen. Journal of Technical Education 2018, 6(4), 86-105. http://www.journal-of-technical-education.de.
  41. Aburbeian, A. M.; Owda, A: Y.; Owda, M. A Technology Acceptance Model Survey of the Metaverse Prospects. AI 2022, 3(18), 285-302. [CrossRef]
  42. Liagkou, V.; Salmas, D.; Stylios, C. Realizing Virtual Reality Learning Environment for Industry 4.0. Procedia CIRP 2019, 79, 712-717. [CrossRef]
  43. Mozilla Hubs. Available online: https://hubs.mozilla.com/ (accessed on 11.04.2023).
  44. Le, D. A.; MacIntyre, B.; Outlaw, J. Enhancing the Experience of Virtual Conferences in Social Virtual Environments. IEEE Conference on Virtual Reality and 3D User Interfaces Abstracts and Workshops 2020, 485-494. [CrossRef]
  45. Zender, R.; Buchner, J.; Schäfer, C.; Wiesche, D.; Kelly, K.; Tüshaus, L. Virtual Reality für Schüler_innen. Ein «Beipackzettel» für die Durchführung immersiver Lernszenarien im schulischen Kontext. MedienPädagogik 2022, 47(1), 26-52. [CrossRef]
  46. Mayring, P.; Fenzl, T. Qualitative Inhaltsanalyse. In Handbuch Methoden der empirischen Sozialforschung; Baur N.; Blasius J., Eds.; Springer VS: Wiesbaden, Germany, 2019; pp. 633-648. [CrossRef]
Figure 1. 8-phase structure of MELT (translated from Kutzelmann et al. [20]).
Figure 1. 8-phase structure of MELT (translated from Kutzelmann et al. [20]).
Preprints 79722 g001
Figure 2. Technology-Acceptance Model (TAM) (own illustration, based on Davis et al. [39]).
Figure 2. Technology-Acceptance Model (TAM) (own illustration, based on Davis et al. [39]).
Preprints 79722 g002
Figure 3. Available rooms in the VR school environment: (a) Example for one of the three large classrooms; (b) Example for one of the five small breakout rooms.
Figure 3. Available rooms in the VR school environment: (a) Example for one of the three large classrooms; (b) Example for one of the five small breakout rooms.
Preprints 79722 g003
Figure 4. Versions of digital MELT scripts in the VR environment: (a) Example for uploaded VR script on media wall; (b) Example for MELT script on individual flashcards.
Figure 4. Versions of digital MELT scripts in the VR environment: (a) Example for uploaded VR script on media wall; (b) Example for MELT script on individual flashcards.
Preprints 79722 g004
Figure 5. Elements supporting the further understanding of story and characters: (a) Example of a 3D object that appears in the MELT script; (b) Example of a poster which shows the main character of the MELT script.
Figure 5. Elements supporting the further understanding of story and characters: (a) Example of a 3D object that appears in the MELT script; (b) Example of a poster which shows the main character of the MELT script.
Preprints 79722 g005
Figure 6. Avatars supporting the further understanding of the characters: (a) Mozilla Hubs internal avatar collection; (b) Pre-designed avatars uploaded directly into the VR environment.
Figure 6. Avatars supporting the further understanding of the characters: (a) Mozilla Hubs internal avatar collection; (b) Pre-designed avatars uploaded directly into the VR environment.
Preprints 79722 g006
Figure 7. Procedure of the study (own illustration).
Figure 7. Procedure of the study (own illustration).
Preprints 79722 g007
Table 1. Excerpt from the coding guide (own illustration).
Table 1. Excerpt from the coding guide (own illustration).
Preprints 79722 i001
Disclaimer/Publisher’s Note: The statements, opinions and data contained in all publications are solely those of the individual author(s) and contributor(s) and not of MDPI and/or the editor(s). MDPI and/or the editor(s) disclaim responsibility for any injury to people or property resulting from any ideas, methods, instructions or products referred to in the content.
Copyright: This open access article is published under a Creative Commons CC BY 4.0 license, which permit the free download, distribution, and reuse, provided that the author and preprint are cited in any reuse.
Prerpints.org logo

Preprints.org is a free preprint server supported by MDPI in Basel, Switzerland.

Subscribe

Disclaimer

Terms of Use

Privacy Policy

Privacy Settings

© 2026 MDPI (Basel, Switzerland) unless otherwise stated