Submitted:
13 July 2023
Posted:
14 July 2023
You are already at the latest version
Abstract
Keywords:
1. Introduction
2. Materials and Methods
2.1. Obtaining peels from the four citrus fruits
2.2. Chemical reagents used
2.3. Characteristics of the essential oils of citrus peels
2.3.1. Antioxidant capacity of essential oils by the DPPH (2,2-diphenyl-1-picrylhydrazyl) method
2.3.2. Antioxidant capacity of essential oils with the ABTS.+ method
2.3.3. Total phenolic content determination
2.3.4. Total flavonoid content determination
2.3.5. Measurement of refractive index and density of essential oils
2.3.6. Thermal properties of citrus peel essential oils
2.3.7. Raman mapping of essential oil composition
2.3.8. Quantification of chemical compounds of essential oils by HPLC.
2.4. Data analysis
3. Results and discussion
3.1. Yield of essential oils from citrus peels
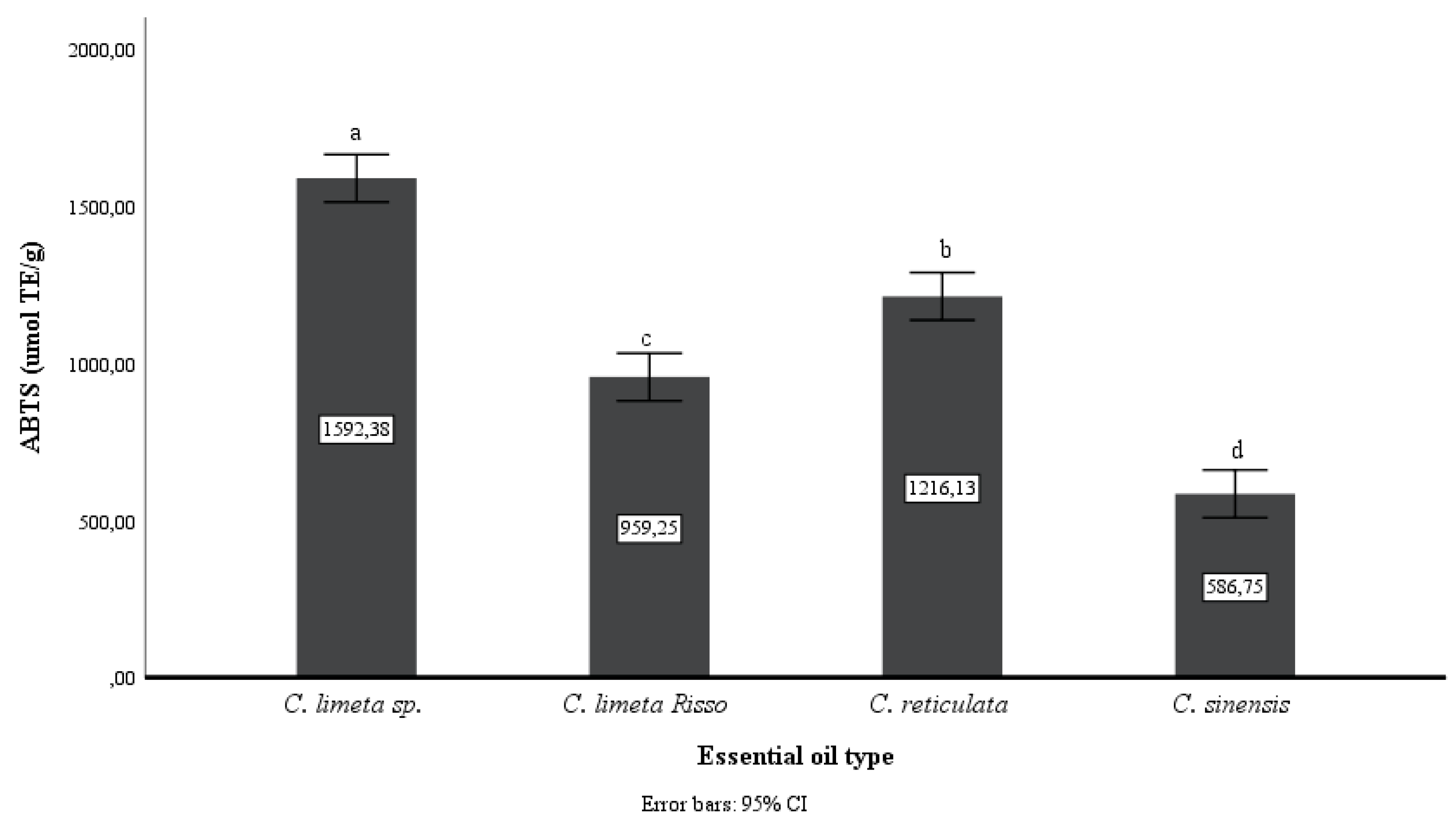
3.2. Antioxidant capacity of citrus peel essential oil
3.3. Total flavonoid and phenolic content
3.4. Refractive index and density of essential oils
3.5. Thermal behavior of the essential oils (DSC)
3.6. Raman spectroscopy of citrus peel essential oils
| Link type* | Citrus essential oil source | ||||||
|---|---|---|---|---|---|---|---|
| C. sinensis | C. limetta sp. | C. reticulata | C. limetta Risso | ||||
| 264.18 | |||||||
| 283.54 | |||||||
| 324.41 | 320.11 | 322.25 | 315.82 | ||||
| 343.73 | 343.76 | ||||||
| 442.48 | 438.19 | 438.39 | 442.48 | ||||
| 496.16 | 468.25 | 481.41 | 478.98 | ||||
| 539.09 | 502.92 | 547.68 | |||||
| 548.08 | |||||||
| 534.8 | 599.7 | ||||||
| 646.43 | 639.99 | 647.02 | 646.43 | ||||
| 706.55 | 770.95 | 767.46 | 712.99 | ||||
| 766.66 | 766.66 | ||||||
| C-C | 803.15 | 809.59 | 808.33 | 805.3 | |||
| C1–C2 | 893.32 | 897.61 | 892.21 | 891.17 | |||
| δ(=C–H) | 923.38 | 931.96 | 923.38 | ||||
| C-C | 1028.57 | 1035.01 | 1014.8 | 1019.98 | |||
| υ(C–C) | 1082.24 | 1084.39 | 1087.93 | 1084.39 | |||
| C-C | 1116.59 | 1127.32 | 1126.64 | 1118.74 | |||
| C-C | 1157.38 | 1165.97 | 1163.2 | 1161.67 | |||
| 1213.2 | |||||||
| 1245.4 | 1223.93 | ||||||
| C -H | 1303.37 | 1311.95 | 1309.45 | 1303.37 | |||
| 1378.5 | 1384.95 | 1378.28 | 1384.95 | ||||
| C -H | 1442.91 | 1447.2 | 1444.95 | 1445.06 | |||
| C -H | 1550.34 | ||||||
| 1580.45 | |||||||
| C = C | 1651.15 | 1651.15 | 1651.43 | 1649.01 | |||
| C = C | 1683.36 | 1683.36 | 1683.69 | 1681.21 | |||
| 2731.01 | |||||||
| C -H | 2887.73 | 2892.02 | 2883.82 | 2892.02 | |||
| C -H | 2919.93 | 2922.08 | 2920.38 | 2924.23 | |||
| C -H | 2969.31 | 2975.75 | 2974.15 | 2975.75 | |||
| =C-H | 3014.39 | ||||||
| 3088.14 | 3089.53 | ||||||
3.7. Quantification of phenolic compounds in UHPLC
4. Conclusions
Author Contributions
Funding
Data Availability Statement
Acknowledgments
Conflicts of Interest
References
- Rafiq, S.; Kaul, R.; Sofi, S.; Bashir, N.; Nazir, F.; Ahmad, G. Citrus Peel as a Source of Functional Ingredient: A Review. J. Saudi Soc. Agric. Sci. 2018, 17, 351–358. [Google Scholar] [CrossRef]
- Cvjetko, M.; Vidović, S.; Radojčić, I.; Jokić, S. New Perspective in Extraction of Plant Biologically Active Compounds by Green Solvents. Food Bioprod. Process. 2018, 109, 52–73. [Google Scholar] [CrossRef]
- Gómez-Mejía, E.; Rosales-Conrado, N.; León-González, M.; Madrid, Y. Citrus Peels Waste as a Source of Value-Added Compounds: Extraction and Quantification of Bioactive Polyphenols. Food Chem. 2019, 295, 289–299. [Google Scholar] [CrossRef]
- Satari, B.; Karimi, K. Citrus Processing Wastes: Environmental Impacts, Recent Advances, and Future Perspectives in Total Valorization. Resour. Conserv. Recycl. 2018, 129, 153–167. [Google Scholar] [CrossRef]
- Yingngam, B.; Brantner, A.; Treichler, M.; Brugger, N.; Navabhatra, A.; Nakonrat, P. Optimization of the Eco-Friendly Solvent-Free Microwave Extraction of Limnophila Aromatica Essential Oil. Ind. Crops Prod. 2021, 165, 113443. [Google Scholar] [CrossRef]
- Dao, P.; Tran, N.Y.T.; Tran, Q.; Bach, G.; Lam, T. Kinetics of Pilot-Scale Essential Oil Extraction from Pomelo (Citrus Maxima) Peels: Comparison between Linear and Nonlinear Models. Alexandria Eng. J. 2022, 61, 2564–2572. [Google Scholar] [CrossRef]
- Erandi, N.; Fan, M.; Choi, Y.; Kim, E. Citrus Peel as a Renewable Bioresource : Transforming Waste to Food Additives. J. Funct. Foods 2022, 95, 105163. [Google Scholar] [CrossRef]
- Brahmi, F.; Mokhtari, O.; Legssyer, B.; Hamdani, I.; Asehraou, A.; Hasnaoui, I.; Rokni, Y.; Diass, K.; Oualdi, I.; Tahani, A. Chemical and Biological Characterization of Essential Oils Extracted from Citrus Fruits Peels. Mater. Today Proc. 2021, 45, 7794–7799. [Google Scholar] [CrossRef]
- Wei, L.; Yu, X.; Li, H.; Zhu, M.; Pu, D.; Lu, Q.; Bao, Y.; Zu, Y. Optimization of Solvent-Free Microwave Extraction of Essential Oil from the Fresh Peel of Citrus Medica L. Var. Arcodactylis Swingle by Response Surface Methodology, Chemical Composition and Activity Characterization. Sci. Hortic. (Amsterdam). 2023, 309. [Google Scholar] [CrossRef]
- Teigiserova, D.; Tiruta-Barna, L.; Ahmadi, A.; Hamelin, L.; Thomsen, M. A Step Closer to Circular Bioeconomy for Citrus Peel Waste: A Review of Yields and Technologies for Sustainable Management of Essential Oils. J. Environ. Manage. 2021, 280, 111832. [Google Scholar] [CrossRef]
- Lopresto, C.; Meluso, A.; Di Sanzo, G.; Chakraborty, S.; Calabrò, V. Process-Intensified Waste Valorization and Environmentally Friendly d-Limonene Extraction. Euro-Mediterranean J. Environ. Integr. 2019, 4. [Google Scholar] [CrossRef]
- Long, T.; Lv, X.; Xu, Y.; Yang, G.; Xu, L.Y.; Li, S. Supercritical Fluid CO2 Extraction of Three Polymethoxyflavones from Citri Reticulatae Pericarpium and Subsequent Preparative Separation by Continuous High-Speed Counter-Current Chromatography. J. Chromatogr. B Anal. Technol. Biomed. Life Sci. 2019, 1124, 284–289. [Google Scholar] [CrossRef] [PubMed]
- Uwineza, P.; Waśkiewicz, A. Recent Advances in Supercritical Fluid Extraction of Natural Bioactive Compounds from Natural Plant Materials. Molecules 2020, 25. [Google Scholar] [CrossRef] [PubMed]
- Visakh, N.; Pathrose, B.; Chellappan, M.; Ranjith, M.; Sindhu, P.; Mathew, D. Chemical Characterisation, Insecticidal and Antioxidant Activities of Essential Oils from Four Citrus Spp. Fruit Peel Waste. Food Biosci. 2022, 50, 102163. [Google Scholar] [CrossRef]
- Negro, V.; Ruggeri, B.; Mancini, G.; Fino, D. Recovery of D-Limonene through Moderate Temperature Extraction and Pyrolytic Products from Orange Peels. J. Chem. Technol. Biotechnol. 2017, 92, 1186–1191. [Google Scholar] [CrossRef]
- Chua, L.Y.W.; Chong, C.H.; Chua, B.L.; Figiel, A. Influence of Drying Methods on the Antibacterial, Antioxidant and Essential Oil Volatile Composition of Herbs: A Review. Food Bioprocess Technol. 2019, 12, 450–476. [Google Scholar] [CrossRef]
- Farahmandfar, R.; Tirgarian, B.; Dehghan, B.; Nemati, A. Comparison of Different Drying Methods on Bitter Orange (Citrus Aurantium L.) Peel Waste: Changes in Physical (Density and Color) and Essential Oil (Yield, Composition, Antioxidant and Antibacterial) Properties of Powders. J. Food Meas. Charact. 2020, 14, 862–875. [Google Scholar] [CrossRef]
- Farahmandfar, R.; Tirgarian, B.; Dehghan, B.; Nemati, A. Changes in Chemical Composition and Biological Activity of Essential Oil from Thomson Navel Orange (Citrus Sinensis L. Osbeck) Peel under Freezing, Convective, Vacuum, and Microwave Drying Methods. Food Sci. Nutr. 2020, 8, 124–138. [Google Scholar] [CrossRef]
- Tunç, M.; Odabaş, H. Single-Step Recovery of Pectin and Essential Oil from Lemon Waste by Ohmic Heating Assisted Extraction/Hydrodistillation: A Multi-Response Optimization Study. Innov. Food Sci. Emerg. Technol. 2021, 74. [Google Scholar] [CrossRef]
- Shaw, D.; Dutt, A.; Paul, V.; Agarwal, A. Valorization of Essential Oils from Citrus Peel Powder Using Hydro- Distillation. Sustain. Chem. Pharm. 2023, 32, 101036. [Google Scholar] [CrossRef]
- Ademosun, A. Citrus Peels Odyssey: From the Waste Bin to the Lab Bench to the Dining Table. Appl. Food Res. 2022, 2, 100083. [Google Scholar] [CrossRef]
- Panwar, D.; Saini, A.; Panesar, P.S.; Chopra, H.K. Unraveling the Scientific Perspectives of Citrus By-Products Utilization: Progress towards Circular Economy. Trends Food Sci. Technol. 2021, 111, 549–562. [Google Scholar] [CrossRef]
- Wang, Z.; Mei, X.; Chen, X.; Rao, S.; Ju, T.; Li, J.; Yang, Z. Extraction and Recovery of Bioactive Soluble Phenolic Compounds from Brocade Orange (Citrus Sinensis) Peels: Effect of Different Extraction Methods Thereon. Lwt 2023, 173, 114337. [Google Scholar] [CrossRef]
- Koolaji, N.; Shammugasamy, B.; Schindeler, A.; Dong, Q.; Dehghani, F.; Valtchev, P. Citrus Peel Flavonoids as Potential Cancer Prevention Agents. Curr. Dev. Nutr. 2020, 4, 4005008. [Google Scholar] [CrossRef]
- Sharma, K.; Mahato, N.; Cho, M.H.; Lee, Y.R. Converting Citrus Wastes into Value-Added Products: Economic and Environmently Friendly Approaches. Nutrition 2017, 34, 29–46. [Google Scholar] [CrossRef] [PubMed]
- Singh, B.; Singh, J.P.; Kaur, A.; Singh, N. Phenolic Composition, Antioxidant Potential and Health Benefits of Citrus Peel. Food Res. Int. 2020, 132, 109114. [Google Scholar] [CrossRef] [PubMed]
- Liu, S.; Li, S.; Chi-Tang, H. Dietary Bioactives and Essential Oils of Lemon and Lime Fruits. Food Sci. Hum. Wellness 2022, 11, 753–764. [Google Scholar] [CrossRef]
- Singh, B.; Singh, J.; Kaur, A.; Yadav, M. Insights into the Chemical Composition and Bioactivities of Citrus Peel Essential Oils. Food Res. Int. 2021, 143, 110231. [Google Scholar] [CrossRef]
- Ajikumaran, N.; Rajani, K.; Akhila, S.; Sabulal, B. Citrus Peels Prevent Cancer. Phytomedicine 2018, 50, 231–237. [Google Scholar] [CrossRef]
- Cebi, N.; Erarslan, A. Determination of the Antifungal, Antibacterial Activity and Volatile Compound Composition of Citrus Bergamia Peel Essential Oil. foods 2023, 12. [Google Scholar] [CrossRef] [PubMed]
- Maurya, A.; Mohanty, S.; Pal, A.; Chanotiya, C.; Bawankule, D. The Essential Oil from Citrus Limetta Risso Peels Alleviates Skin Inflammation: In-Vitro and in-Vivo Study. J. Ethnopharmacol. 2018, 212, 86–94. [Google Scholar] [CrossRef]
- Jin, H.; Li, H.; Yin, Z.; Zhu, Y.; Lu, A.; Zhao, D.; Li, C. Application of Raman Spectroscopy in the Rapid Detection of Waste Cooking Oil. Food Chem. 2021, 362, 130191. [Google Scholar] [CrossRef] [PubMed]
- Phat, D.; Quyen, N.; Truc, T.; Tan, V. Assessing the Kinetic Model on Extraction of Essential Oil and Chemical Composition from Lemon Peels (Citrus Aurantifolia) by Hydro-Distillation Process. Mater. Today Proc. 2021, 51, 172–177. [Google Scholar] [CrossRef]
- Guo, J.; Gao, Z.; Xia, J.; Ritenour, M.; Li, G.; Shan, Y. Comparative Analysis of Chemical Composition, Antimicrobial and Antioxidant Activity of Citrus Essential Oils from the Main Cultivated Varieties in China. Lwt 2018, 97, 825–839. [Google Scholar] [CrossRef]
- Smeriglio, A.; Alloisio, S.; Raimondo, F.; Denaro, M.; Xiao, J.; Cornara, L.; Trombetta, D. Essential Oil of Citrus Lumia Risso: Phytochemical Profile, Antioxidant Properties and Activity on the Central Nervous System. Food Chem. Toxicol. 2018, 119, 407–416. [Google Scholar] [CrossRef] [PubMed]
- Ndayishimiye, J.; Jum, D.; Soo, B. Antioxidant and Antimicrobial Activity of Oils Obtained from a Mixture of Citrus By-Products Using a Modified Supercritical Carbon Dioxide. J. Ind. Eng. Chem. 2018, 57, 339–348. [Google Scholar] [CrossRef]
- Abedigamba, O.; Mndeme, F.; Mawire, A.; Bahadur, I. Thermo-Physical Properties and Thermal Energy Storage Performance of Two Vegetable Oils. J. Energy Storage 2023, 61, 106774. [Google Scholar] [CrossRef]
- Mora-Zúñiga, A.E.; Treviño-Garza, M.Z.; Amaya, C.A.; Galindo, S.A.; Castillo, S.; Martínez-Rojas, E.; Rodríguez-Rodríguez, J.; Báez-González, J.G. Comparison of Chemical Composition, Physicochemical Parameters, and Antioxidant and Antibacterial Activity of the Essential Oil of Cultivated and Wild Mexican Oregano Poliomintha Longiflora Gray. Plants 2022, 11. [Google Scholar] [CrossRef]
- Castro-Alayo, E.M.; Torrejón-Valqui, L.; Cayo-Colca, I.S.; Cárdenas-Toro, F.P. Evaluation of the Miscibility of Novel Cocoa Butter Equivalents by Raman Mapping and Multivariate Curve Resolution–Alternating Least Squares. Foods 2021, 10. [Google Scholar] [CrossRef]
- Cruz, J.F.M.; Leite, P.B.; Soares, S.E.; Bispo, E. da S. Bioactive Compounds in Different Cocoa (Theobroma Cacao, L) Cultivars during Fermentation. Food Sci. Technol. 2015, 35, 279–284. [Google Scholar] [CrossRef]
- Lubinska-szczygeł, M.; Kuczy, A.; Polkowska, Z.; Katrich, E.; Gorinstein, S. Determination of the Major By-Products of Citrus Hystrix Peel and Their Characteristics in the Context of Utilization in the Industry. Molecules 2023, 28, 3. [Google Scholar] [CrossRef] [PubMed]
- Dhakane-Lad, J.; Kar, A. Supercritical CO2 Extraction of Lycopene from Pink Grapefruit (Citrus Paradise Macfad) and Its Degradation Studies during Storage. Food Chem. 2021, 361, 130113. [Google Scholar] [CrossRef]
- Napoli, M. Di; Castagliuolo, G.; Badalamenti, N.; Maresca, V.; Basile, A.; Bruno, M.; Varcamonti, M.; Zanfardino, A. Citrus Aurantium ‘ Crispifolia ’ Essential Oil : A Promise for Nutraceutical Applications. Molecules 2023, 3, 153–164. [Google Scholar] [CrossRef]
- Raspo, M.; Vignola, M.; Andreatta, A.; Juliani, H. Antioxidant and Antimicrobial Activities of Citrus Essential Oils from Argentina and the United States. Food Biosci. 2020, 36, 100651. [Google Scholar] [CrossRef]
- Sarrou, E.; Chatzopoulou, P.; Dimassi-Theriou, K.; Therios, I. Volatile Constituents and Antioxidant Activity of Peel, Flowers and Leaf Oils of Citrus Aurantium L. Growing in Greece. Molecules 2013, 18, 10639–10647. [Google Scholar] [CrossRef] [PubMed]
- Padilla-De la Rosa, J.D.; Manzano-Alfaro, M.D.; Gómez-Huerta, J.R.; Arriola-Guevara, E.; Guatemala-Morales, G.; Cardador-Martínez, A.; Estarrón-Espinosa, M. Innovation in a Continuous System of Distillation by Steam to Obtain Essential Oil from Persian Lime Juice (Citrus Latifolia Tanaka). Molecules 2021, 26. [Google Scholar] [CrossRef]
- Mohammadi, N.; Ostovar, N. Essential Oil Composition of Polylophium Involucratum and Evaluation of Antioxidant Capacity of Seeds Ethanolic Extracts by DSC. Food Chem. Adv. 2022, 1, 100066. [Google Scholar] [CrossRef]
- Wang, H.; Xin, Y.; Ma, H.; Fang, P.; Li, C.; Wan, X.; He, Z.; Jia, J.; Ling, Z. Rapid Detection of Chinese-Specific Peony Seed Oil by Using Confocal Raman Spectroscopy and Chemometrics. Food Chem. 2021, 362, 130041. [Google Scholar] [CrossRef]
- Akolade, J.O.; Nasir-Naeem, K.O.; Swanepoel, A.; Yusuf, A.A.; Balogun, M.; Labuschagne, P. CO2-Assisted Production of Polyethylene Glycol / Lauric Acid Microparticles for Extended Release of Citrus Aurantifolia Essential Oil. J. CO2 Util. 2020, 38, 375–384. [Google Scholar] [CrossRef]
- Mahato, N.; Sinha, M.; Sharma, K.; Koteswararao, R.; Cho, M.H. Modern Extraction and Purification Techniques for Obtaining High Purity Food-Grade Bioactive Compounds and Value-Added Co-Products from Citrus Wastes. Foods 2019, 8, 1–81. [Google Scholar] [CrossRef]
- Fan, H.; Wu, Q.; Simon, J.; Shyi-Neng, L.; Chi -tang, H. Authenticity Analysis of Citrus Essential Oils by HPLC-UV-MS on Oxygenated Heterocyclic Components. J. Food Drug Anal. 2015, 23, 30–39. [Google Scholar] [CrossRef] [PubMed]




| OE type | RI (%) | Density (g/ml) | |
|---|---|---|---|
| C. sinensis | 1.475 | 73.80% | 0.9854 |
| C. limettaRisso | 1.468 | 71.30% | 1.0022 |
| C. reticulata | 1.472 | 72.80% | 0.9932 |
| C. limettasp. | 1.470 | 72% | 0.9972 |
| Muestras | Samples Heat flux (W/g) | Initial temperature (°C) | Max temperature (°C) | Enthalpy (J/g) |
|---|---|---|---|---|
| C. sinensis | -0.798 | 49.44 | 94.97 | 153.05a |
| C. limetta Risso | -0.485 | 58.38 | 118.7 | 130.78a |
| C. limetta sp. | -0.287 | 38.80 | 94.18 | 87.507b |
| C. reticulata | -0.015 | 26.19 | 91.67 | 5.4116c |
| EO type | Cumarine (TR: 11.14) | Psoralen (TR: 16.63) | p-cumaric acid |
|---|---|---|---|
| C. limettasp. | 0.28±0.00025c | ND | ND |
| C. sinensis | 0.37±0.00284b | ND | ND |
| C. limettaRisso | 0.40±0.00071a | 0.84±0.00033a | ND |
| C. reticulata | 0.29±0.00632c | 0.63±0.00042b | 0.073±0.000002a |
Disclaimer/Publisher’s Note: The statements, opinions and data contained in all publications are solely those of the individual author(s) and contributor(s) and not of MDPI and/or the editor(s). MDPI and/or the editor(s) disclaim responsibility for any injury to people or property resulting from any ideas, methods, instructions or products referred to in the content. |
© 2023 by the authors. Licensee MDPI, Basel, Switzerland. This article is an open access article distributed under the terms and conditions of the Creative Commons Attribution (CC BY) license (https://creativecommons.org/licenses/by/4.0/).