Submitted:
09 July 2023
Posted:
10 July 2023
You are already at the latest version
Abstract

Keywords:
1. Introduction
2. Materials and Methods
3. Julicher-Seifert variational approach
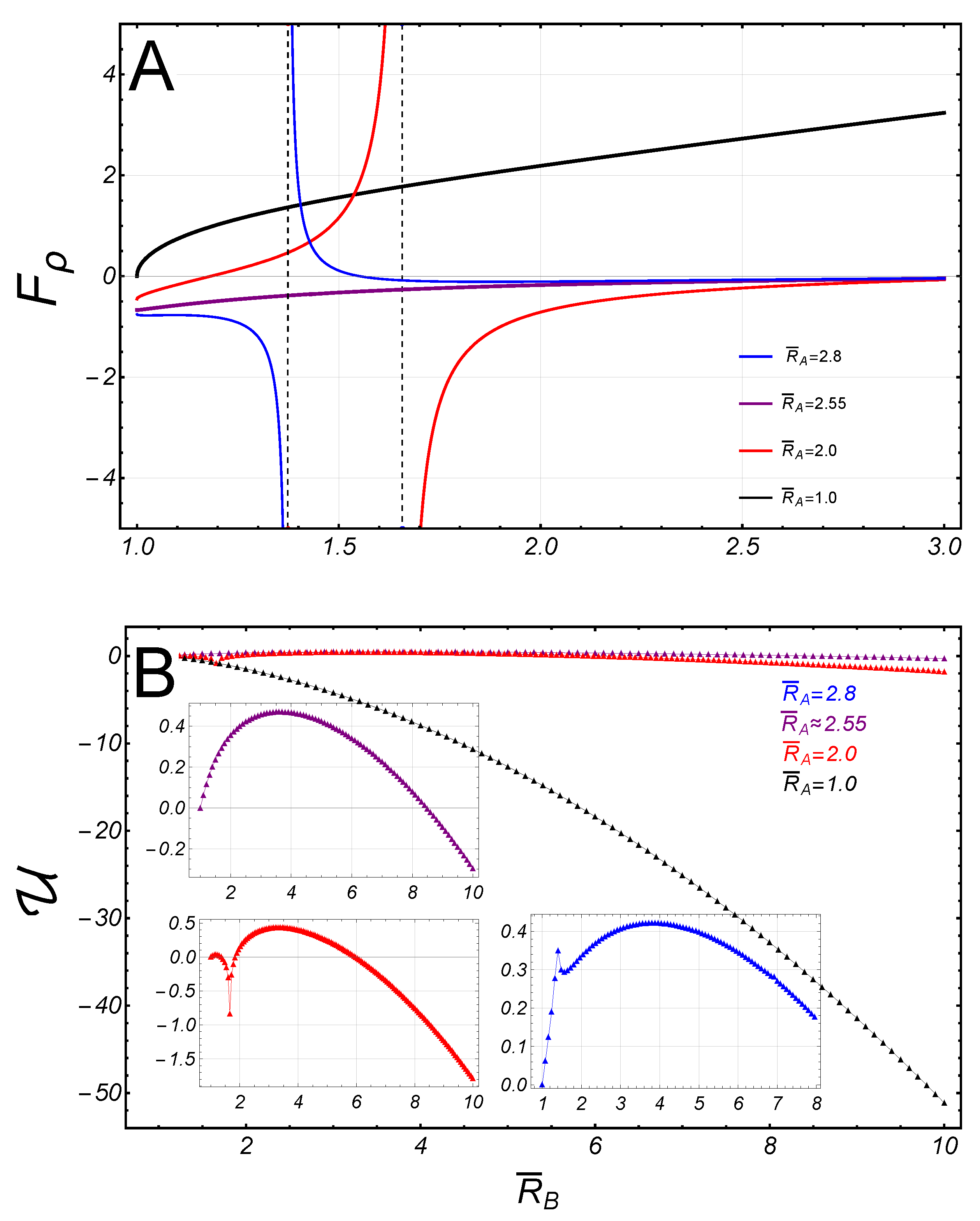
4. Results: Catenoidal necks
4.1. Inhomogeneous solutions: necking forces
4.1.1. Symmetric solutions
4.1.2. Asymmetric solutions
4.1.3. Solutions on the separatrix
4.1.4. The fixed radii, .
5. Discussion
Author Contributions
Funding
Acknowledgments
Conflicts of Interest
References
- U.S. Eggert, T.J. Mitchison and C.M. Field. Animal cytokinesis: from parts list to mechanisms. Annu. Rev. Biochem. 2006, 75, 543. [CrossRef]
- F.A. Barr and U. Gruneberg. Cytokinesis: placing and making the final cut. Cell 2007, 131, 847. [CrossRef]
- P. Steigemann and D.W. Gerlich. Cytokinetic abscission: cellular dynamics at the midbody. Trends Cell. Biol. 2009, 19, 606. [CrossRef]
- E. Beltrán-Heredia, V.G Almendro-Vedia, F. Monroy and F.J. Cao, Modelling the Mechanics of cell division: Influence of spontaneous membrane curvature, surface tension, and osmotic pressure. Front. Physiol. 2017, 8, 312. [CrossRef] [PubMed]
- K. Burton and D.L. Taylor. Traction forces of cytokinesis measured with optically modified elastic substrata. Nature 1997, 385, 450. [CrossRef] [PubMed]
- J.P. Fededa and D.W. Gerlich. Molecular control of animal cell cytokinesis. Nature cell biology 2012, 14, 440. [CrossRef]
- G. Di Paolo and P. De Camilli. Phosphoinositides in cell regulation and membrane dynamics. Nature 2006, 443, 651. [CrossRef]
- J. Guizetti et al. Cortical constriction during abscission involves helices of ESCRT-III–dependent filaments. Science 2011, 331, 1616. [CrossRef]
- J.H. Hurley and P.I. Hanson. Membrane budding and scission by the ESCRT machinery: It’s all in the neck. Nat. Rev. Mol. Cell Biol. 2010, 11, 556. [CrossRef] [PubMed]
- O. Avinoam, M. Schorb, C.J. Beese, J.A.G. Briggs, and M. Kaksonen. Endocytic sites mature by continuous bending and remodeling of the clathrin coat. Science 2015, 348, 1369. [CrossRef]
- S.J. Singer and G.L. Nicolson. The fluid mosaic model of the structure of cell membranes. Science 1972, 175, 720.
- K. Simons and E. Ikonen. Functional rafts in cell membranes. Nature 1997, 387, 569. [CrossRef] [PubMed]
- D. Lingwood and K. Simons. Lipid rafts as a membrane-organizing principle. Science 2010, 327, 46. [CrossRef] [PubMed]
- G. Vereb et al. Dynamic, yet structured: The cell membrane three decades after the Singer–Nicolson model. Proc. Natl. Acad. Sci. 2003, 100, 8053. [CrossRef]
- T.R. Shaw, S. Ghosh, and S.L. Veatch. Critical phenomena in plasma membrane organization and function. Annu. Rev. Phys. Chem. 2021, 72, 1.
- S.M. Rafelskiand W.F. Marshall. Building the cell: de- sign principles of cellular architecture. Nat. Rev. Mol. Cell Biol. 2008, 9, 593. [CrossRef]
- H.T. McMahon and J.L. Gallop. Membrane curvature and mechanisms of dynamic cell membrane remodeling. Nature 2005, 438, 590. [CrossRef] [PubMed]
- S. Aimon, A. Callan-Jones, A. Berthaud, M. Pinot, G.E. Toombesand and P. Bassereau. Membrane shape modulates transmembrane protein distribution. Dev. Cell 2014, 28, 212. [CrossRef]
- T. Baumgart, B.R. Capraro, C. Zhu and S.L. Das. Thermodynamics and mechanics of membrane curvature generation and sensing by proteins and lipids. Annu. Rev. Phys. Chem 2011, 62, 483. [CrossRef]
- Z. Shi and T. Baumgart. Membrane tension and peripheral protein density mediate membrane shape transitions. Nat. Commun. 2015, 6, 5974. [CrossRef]
- J. Zimmerberg and M.M. Kozlov. How proteins produce cellular membrane curvature. Nat. Rev. Mol. Cell Biol. 2006, 7, 9. [CrossRef] [PubMed]
- R. Lipowsky. Spontaneous tubulation of membranes and vesicles reveals membrane tension generated by spontaneous curvature. Faraday Discuss. 2013, 161, 305. [CrossRef] [PubMed]
- I.K. Jarsch, F. Daste, and J.L. Gallop. Membrane curvature in cell biology: An integration of molecular mechanisms. J. Cell Biol. 2016, 214, 375. [CrossRef]
- M. Chabanon, J.C. Stachowiak and P. Rangamani. Systems biology of cellular membranes: A convergence with biophysics. WIREs Syst. Biol. Med. 2017, e1386.
- G.J. Doherty and H.T. McMahon. Mediation, modulation, and consequences of membrane-cytoskeleton interactions. Annu. Rev. Biophys. 2008, 37, 65. [CrossRef]
- O. Kimchi, S.L. Veatch and B.B. Machta. Ion channels can be allosterically regulated by membrane domains near a demixing critical point. J. Gen. Physiol. 2018, 150, 1769. [CrossRef] [PubMed]
- The glycolipid GM1 reshapes asymmetric biomembranes and giant vesicles by curvature generation. Proc. Natl. Acad. Sci. 2018, 115, 5756–5761. [CrossRef]
- Thomas Litschel, et al. Beating Vesicles: Encapsulated protein oscillations cause dynamic membrane deformations. Angew. Chem. Int. Ed. 2018, 57, 16286. [CrossRef]
- Simon Christ et al, Active shape oscillations of giant vesicles with cyclic closure and opening of membrane necks. Soft Matter 2021, 17, 319. [CrossRef]
- M. Chabanon and P. Rangamani. Gaussian curvature directs the distribution of spontaneous curvature on bilayer membrane necks. Soft Matter 2018, 14, 2281. [CrossRef]
- P. B. Canham. The minimum energy of bending as a possible explanation of the biconcave shape of the red blood cell. J. Theoret. Biol. 1970, 26, 61–81. [CrossRef] [PubMed]
- W. Helfrich. Elastic properties of lipid bilayers-theory and possible experiments. Z. Naturforsch C 1973, 28, 693. [CrossRef] [PubMed]
- Spivak, M. A Comprehensive Introduction to Differential Geometry. Vol. Four, 2nd ed.; Publish or Perish Inc.: Houston, 1979. [Google Scholar]
- R. Capovilla and J. Guven. Stresses in lipid membranes. J. Phys. A: Math. Gen. 2022, 35, 6233.
- J.B. Fournier. On the stress and torque tensors in fluid membranes. Soft Matter 2007, 3.
- Ou-Yang, Z. C., W. Helfrich, Instability and deformation of a spherical vesicle by pressure. Phys. Rev. Lett. 1987, 59, 2486. [CrossRef] [PubMed]
- Ou-Yang, Z.C., W Helfrich, Bending energy of vesicle membranes: general expressions for the first, second, and third variation of the shape energy and applications to spheres and cylinders. Phys. Rev. A 1989, 39, 5280–5288. [CrossRef]
- F. Julicher and U. Seifert. Shape equations for axisymmetric vesicles: A clarification. Phys. Rev. E 1994, 49, 4728. [CrossRef]
- R. Capovilla, J. Guven and J.A. Santiago. Lipid membranes with an edge. Phys. Rev. E 2002, 66(3), 021607. [CrossRef]









Disclaimer/Publisher’s Note: The statements, opinions and data contained in all publications are solely those of the individual author(s) and contributor(s) and not of MDPI and/or the editor(s). MDPI and/or the editor(s) disclaim responsibility for any injury to people or property resulting from any ideas, methods, instructions or products referred to in the content. |
© 2020 by the authors. Licensee MDPI, Basel, Switzerland. This article is an open access article distributed under the terms and conditions of the Creative Commons Attribution (CC BY) license (https://creativecommons.org/licenses/by/4.0/).