Submitted:
04 July 2023
Posted:
05 July 2023
You are already at the latest version
Abstract
Keywords:
1. Introduction
2. Materials and Methods
3. Results
3.1. General Characterization of the Films Thickness and Microstructure


3.2. X-ray Diffraction Study
3.3. Dielectric Constant, Polarization, Coercive Field
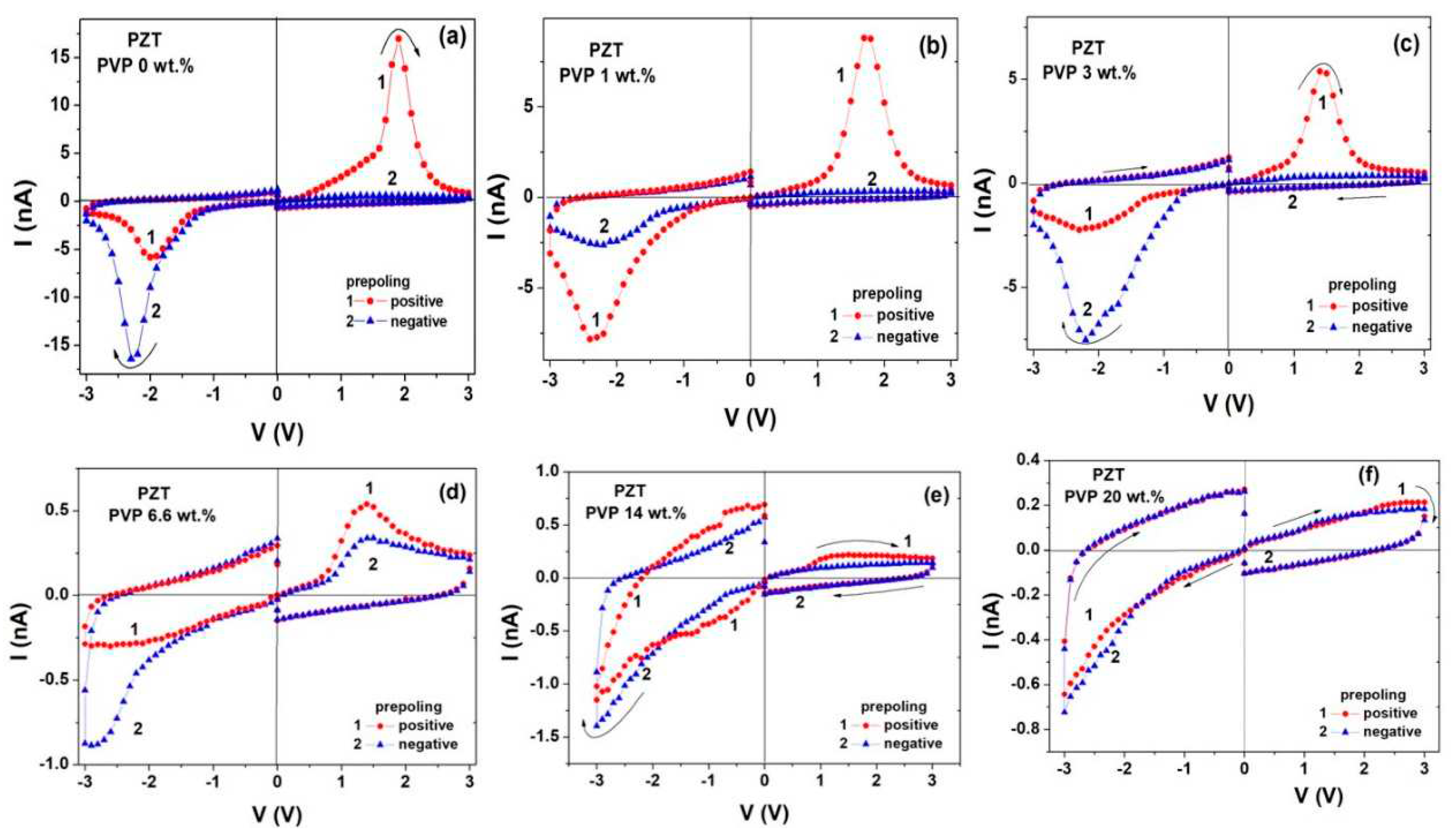
3.4. Polarization Dependences of the Transient Current
3.5. Polarization Dependences of the Short-Circuited Photocurrent
3.6. Local Current Study by c-AFM
4. Discussion
4.1. Structure - Polarization
4.2. Рolarization Dependences of the Transient Current
4.3. Рolarization Dependences of the Photocurrent
4.4. Local Current Study
5. Conclusions
Author Contributions
Funding
Data Availability Statement
Acknowledgments
Conflicts of Interest
Sample Availability
References
- Li, J.F.; Takagi, K.; Ono, M.; Pan, W.; Watanabe, R.; Almajid, A.; Taya, M. Fabrication and evaluation of porous piezoelectric ceramics and porosity-graded piezoelectric actuators. Journal of the American Ceramic Society 2003, 86, 1094–1098. [Google Scholar] [CrossRef]
- Shaw, C.P.; Whatmore, R.W.; Alcock, J.R. Porous, functionally gradient pyroelectric materials. Journal of the American Ceramic Society 2007, 90, 137–142. [Google Scholar] [CrossRef]
- Nie, H.; Yu, Y.; Liu, Y.; He, H.; Wang, G.; Dong, X. Enhanced shock performance by disperse porous structure: A case study in PZT95/5 ferroelectric ceramics. Journal of the American Ceramic Society 2017, 100, 5693–5699. [Google Scholar] [CrossRef]
- Roscow, J.; Zhang, Y.; Taylor, J.; Bowen, C. R. Porous ferroelectrics for energy harvesting applications. European Physical Journal: Special Topics 2015, 224, 2949–2966. [Google Scholar] [CrossRef]
- Mercadelli, E.; Galassi, C. How to make porous piezoelectrics? Review on processing strategies. IEEE Transactions on Ultrasonics, Ferroelectrics, and Frequency Control 2020, 68, 217–228. [Google Scholar] [CrossRef]
- Corkovic, S.; Whatmore, R.W.; Zhang, Q. Sol-gel fabrication of PZT thick films for MEMS. Integrated Ferroelectrics 2007, 88, 93–102. [Google Scholar] [CrossRef]
- Kozuka, H.; Kajimura, M.; Hirano, T.; Katayama, K. Crack-free, thick ceramic coating films via non-repetitive dip-coating using polyvinylpyrrolidone as stress-relaxing agent. Journal of Sol-Gel Science and Technology 2000, 19, 205–209. [Google Scholar] [CrossRef]
- Kozuka, H.; Kajimura, M. Achievement of crack-free BaTiO3 films over 1 μm in thickness via non-repetitive dip-coating. Chemistry Letters 1999, 10, 1029–1030. [Google Scholar] [CrossRef]
- Kozuka, H.; Takenaka, S. Single-Step Deposition of Gel-Derived Lead Zirconate Titanate Films: Critical Thickness and Gel Film to Ceramic Film Conversion. Journal of the American Ceramic Society 2002, 85, 2696–2702. [Google Scholar] [CrossRef]
- Saegusa, T.; Chujo, Y. Macromolecular engineering on the basis of the polymerization of 2-oxazolines. Makromolekulare Chemie. Macromolecular Symposia 1991, 51, 1–10. [Google Scholar] [CrossRef]
- Saegusa, T.; Chujo, Y. An Organic/Inorganic Hybrid Polymer. Journal of Macromolecular Science: Part A - Chemistry 1990, 27, 1603–1612. [Google Scholar] [CrossRef]
- Kozuka, H.; Kajimura, M. Single-Step Dip Coating of Crack-Free BaTiO3 Films > 1 μm Thick: Effect of Poly(vinylpyrrolidone) on Critical Thickness. Journal of the American Ceramic Society 2000, 83, 1056–1062. [Google Scholar] [CrossRef]
- Komandin, G.A.; Porodinkov, O.E.; Spektor, I.E.; Volkov, A.A.; Vorotilov, K.A.; Seregin, D.S.; Sigov, A.S. Terahertz-infrared electrodynamics of lead zirconate-titanate films on a platinum sublayer. Physics of the Solid State 2015, 57, 1155–1159. [Google Scholar] [CrossRef]
- Komandin, G.A.; Porodinkov, O.E.; Spektor, I.E.; Volkov, A.A.; Vorotilov, K.A.; Seregin, D.S.; Sigov, A.S. The Mechanisms of Absorption of Terahertz and Infrared Radiation in PZT Films. Physics of the Solid State 2018, 60, 1226–1234. [Google Scholar] [CrossRef]
- Ohya, Y.; Yahata, Y.; Ban, T. Dielectric and piezoelectric properties of dense and porous PZT films prepared by sol-gel method. Journal of Sol-Gel Science and Technology 2007, 42, 397–405. [Google Scholar] [CrossRef]
- Stancu, V.; Boerasu, I.; Lisca, M.; Pintilie, L.; Popescu, M.; Sava, F. Structural and microstructural properties of porous PZT films. Journal of Optoelectronics and Advanced Materials 2006, 8, 1492–1497. [Google Scholar]
- Suyal, G.; Setter, N. Enhanced performance of pyroelectric microsensors through the introduction of nanoporosity. Journal of the European Ceramic Society 2004, 24, 247–251. [Google Scholar] [CrossRef]
- Zhang, Q.; Corcovic, S.; Shaw, C.P.; Huang, Z.; Whatmore, R.W. Effect of porosity on the ferroelectric properties of Sol-Gel prepared Lead Zirconate Titanate thin films. Thin Solid Films 2005, 488, 258–264. [Google Scholar] [CrossRef]
- Seregin, D.S.; Vorotilov, K.A.; Sigov, A.S.; Zubkova, E.N.; Abdullaev, D.A.; Kotova, N.M.; Vishnevskiy, A.S. Formation and properties of porous films of lead zirconate titanate. Physics of the Solid State 2015, 57, 499–502. [Google Scholar] [CrossRef]
- Seregin, D.; Vorotilov, K.; Sigov, A.; Kotova, N. Porous PZT films prepared by PVP assisted sol-gel process. Ferroelectrics 2015, 484, 43–48. [Google Scholar] [CrossRef]
- Stancu, V.; Lisca, M.; Boerasu, I.; Pintilie, L.; Kosec, M. Effects of porosity on ferroelectric properties of Pb(Zr0.2Ti0.8)O3 films. Thin Solid Films 2007, 515, 6557–6561. [Google Scholar] [CrossRef]
- Zhang, Y.; Roscow, J.; Lewis, R.; Khanbareh, H.; Topolov, V.Y.; Xie, M.; Bowen, C.R. Understanding the effect of porosity on the polarisation-field response of ferroelectric materials. Acta Materialia 2018, 154, 100–112. [Google Scholar] [CrossRef]
- Podgorny, Y.; Vorotilov, K.; Lavrov, P.; Sigov, A. Leakage currents in porous PZT films. Ferroelectrics 2016, 503, 77–84. [Google Scholar] [CrossRef]
- Podgornyi, Y.V.; Vorotilov, K.A.; Sigov, A.S. Determination of the Steady State Leakage Current in Structures with Ferroelectric Ceramic Films. Physics of the Solid State 2018, 60, 433–436. [Google Scholar] [CrossRef]
- Izyumskaya, N.; Alivov, Y.I.; Cho, S.J.; Morkoç, H.; Lee, H.; Kang, Y.S. Processing, structure, properties, and applications of PZT thin films. In Critical Reviews in Solid State and Materials Sciences 2007, 32, 111–202. [Google Scholar] [CrossRef]
- Delimova, L.A.; Guschina, E.V.; Seregin, D.S.; Vorotilov, K.A.; Sigov, A.S. Unexpected behavior of transient current in thin PZT films caused by grain-boundary conduction. J. Appl. Phys. 2017, 121, 224104. [Google Scholar] [CrossRef]
- Krishtab, M.; Afanas’Ev, V.; Stesmans, A.; De Gendt, S. Leakage current induced by surfactant residues in self-assembly based ultralow-k dielectric materials. Appl. Phys. Lett. 2017, 111, 032908. [Google Scholar] [CrossRef]
- Sigov, A.S.; Vorotilov, K.A.; Zhigalina, O.M. Effect of Lead Content on Microstructure of Sol-Gel PZT Structures. Ferroelectrics 2012, 433, 146–157. [Google Scholar] [CrossRef]
- Vorotilov, K.; Sigov, A.; Seregin, D.; Podgorny, Yu.; Zhigalina, O.; Khmelenin, D. Crystallization behavior of PZT in multilayer heterostructures. Phase Trans. 2013, 86, 1152–1165. [Google Scholar] [CrossRef]
- Newnham, R.E.; Skinner, D.P.; Cross, L.E. Connectivity and Piezoelectric-Pyroelectric Composites. Mater Res Bull 1978, 13, 525–536. [Google Scholar] [CrossRef]
- Atanova, A. V.; Zhigalina, O.M.; Khmelenin, D.N.; Orlov, G.A.; Seregin, D.S.; Sigov, A.S.; Vorotilov, K.A. Microstructure Analysis of Porous Lead Zirconate–Titanate Films. Journal of the American Ceramic Society 2022, 105, 639–652. [Google Scholar] [CrossRef]
- Vishnevskiy, A.S.; Naumov, S.; Seregin, D.S.; Wu, Y.-H.; Chuang, W.-T.; Rasadujjaman, M.; Zhang, J.; Leu, J.; Vorotilov, K.A.; Baklanov, M.R. Effects of Methyl Terminal and Carbon Bridging Groups Ratio on Critical Properties of Porous Organosilicate-Glass Films. Materials 2020, 13, 4484. [Google Scholar] [CrossRef] [PubMed]
- Wersin, W.; Lubits, K.; Mohaupt, J. Dielectric, Elastic and Piezoelectric Properties of porous PZT ceramics. Ferroelwectrics 1986, 68, 77–97. [Google Scholar] [CrossRef]
- Delimova, L.A.; Zaitseva, N.V.; Ratnikov, V.V.; Yuferev, V.S.; Seregin, D.S.; Vorotilov, K.A.; Sigov, A.S. Comparison of Characteristics of Thin PZT Films on Si-on-Sapphire and Si Substrates. Physics of the Solid State 2021, 63, 1224–1231. [Google Scholar] [CrossRef]
- Podgorny, Y.; Sigov, A.; Vorotilov, K. Once again on the hysteresis loop: Leakage current consideration. Ferroelectrics 2021, 573, 1–8. [Google Scholar] [CrossRef]
- Marutake, M. A Calculation of Physical Constants of Ceramic Barium Titanate. Journal of the Physical Society of Japan 1956, 11, 807–814. [Google Scholar] [CrossRef]
- Nagata, K. Effects of porosity and grain size on hysteresis loops of piezoelectric ceramics (Pb-La)(Zr-Ti)O3. Electr. Eng. Jpn. 1980, 11, 1–8. [Google Scholar] [CrossRef]
- Delimova, L.A.; Gushchina, E.V.; Yuferev, V.S.; Grekhov, I.V. Investigation of the polarization dependence of the transient current in polycrystalline and epitaxial Pb(Zr,Ti)O3 thin films. Physics of the Solid State 2014, 56, 2451–2460. [Google Scholar] [CrossRef]
- Robertson, J.; Warren, W.L.; Tuttle, B.A.; Dimos, D.; Smith, D.M. Shallow Pb3+ hole traps in lead zirconate titanate ferroelectrics. Appl. Phys. Lett. 1993, 63, 1519–1521. [Google Scholar] [CrossRef]
- Warren, W.L.; Robertson, J.; Dimos, D.B.; Tuttle, B.A.; Smyth, D.M. Transient hole traps in PZT. Ferroelectrics 1994, 153, 303–308. [Google Scholar] [CrossRef]
- Delimova, L.A.; Yuferev, V.S. Transient carrier transport and rearrangement of Schottky barrier layers under theaction of a bias applied to the M/PZT/M structure. J. Appl. Phys. 2018, 124, 184102. [Google Scholar] [CrossRef]
- Delimova, L.A.; Yuferev, V.S. Transient carrier transport and rearrangement of space charge layers under the bias applied to ferroelectric M/PZT/M structures. J. Phys. Conf. Ser. 2019, 1400, 055003. [Google Scholar] [CrossRef]
- Meyerhofer, D. Characteristics of resist films produced by spinning. J. Appl. Phys. 1978, 49, 3993–3997. [Google Scholar] [CrossRef]
- Kotova, N. M.; Vorotilov, K. A.; Seregin, D. S.; Sigov, A. S. Role of precursors in the formation of lead zirconate titanate thin films. Inorganic Materials 2014, 50, 612–616. [Google Scholar] [CrossRef]
- Nenashev, R. N.; Kotova, N. M.; Vishnevskii, A. S.; Vorotilov, K. A. Effect of the Brij 30 porogen on the properties of sol–gel derived thin polymethylsilsesquioxane films. Inorganic Materials 2016, 52, 968–972. [Google Scholar] [CrossRef]
- Vorotilov, K.A.; Yanovskaya, M.I.; Dorokhova, O.A. Effect of annealing conditions on alkoxy-derived PZT thin films. Microstructural and CV study. Integrated Ferroelectrics 1993, 3, 33–49. [Google Scholar] [CrossRef]
- Lewis, R.W.C.; Dent, A.C.E.; Stevens, R.; Bowen, C.R. Microstrutural modelling of the polarization and properties of porous ferroelectrics. Smart Mater. Struct. 2011, 20, 085002. [Google Scholar] [CrossRef]
- Batra, V.; Kotru, S. A simulation model for understanding the charge transport and recombination behavior in PLZT based ferroelectric photovoltaic devices. Ferroelectrics 2018, 532, 121–137. [Google Scholar] [CrossRef]













| PVP wt.% | Volume porosity,% | Number of layers | Thickness d, nm | Refractive index | Thickness per layer |
|---|---|---|---|---|---|
| 0 | 0 | 10 | 370 | 2.54 | 37 |
| 0 | 0 | 17 | 607 | 2.61 | 36 |
| 1 | 6.8 | 9 | 390 | 2.40 | 43 |
| 1 | 7.1 | 16 | 705 | 2.39 | 44 |
| 3 | 11.0 | 7 | 345 | 2.29 | 49 |
| 3 | 13.3 | 12 | 600 | 2.23 | 50 |
| 6.6 | 33.3 | 4 | 383 | 1.83 | 96 |
| 6.6 | 32.0 | 7 | 566 | 1.85 | 81 |
| 14 | * | 3 | 380 | * | 127 |
| 14 | * | 5 | 500 | * | 100 |
| 20 | * | 3 | 617 | * | 206 |
| PVP wt.% | XRD texture |
|---|---|
| 0 | (111)100% (100) 28% (200)22% |
| 1 | (110)100% (211)14% |
| 3 | (110)100% (211)7% |
| 6.6 | (110)100% (211)16% |
| 14 | (110)100% (211)5% |
| 20 | (110)100% |
| XRD reflexes | 100 | 110 | 111 | 200 | 211 |
| PZT powder reflex, % | 20% | 100% | 20% | 22% | 26% |
| Lattice constant, Å | 4.068 | 4.068 | 4.068 | 4.068 | 4.068 |
| PVP, wt.% | Lattice constant in PZT, Å | ||||
| 0 | 4.029 | 4.061 | 4.019 | ||
| 1 | 4.061 | 4.047 | |||
| 3 | 4.072 | 4.027 | |||
| 6.6 | 4.072 | 4.055 | |||
| 14 | 4.072 | 4.062 | |||
| 20 | 4.073 | ||||
| PVP, wt.% | I-V peak is observed when: | ||
|---|---|---|---|
| 0 | P//V, nonconductive grain boundaries (GB) | columnar grain structure | |
| 1 | P//V, 100% nonconductive GB | columnar grain structure porous 3-0 connectivity |
|
| 3 | |||
| 6.6 | V < 0 | there are no peaks, 100% | porous 3-3 connectivity causes a destruction of the columnar grain structure; numerous depolarizing fields induced by polarization charges at pore boundaries lead to a decrease in the polarization and vanishing the current peaks; |
| V > 0 | there are no peaks, 42% | ||
| 35% weak peaks at P>0, nonconductive GB | |||
| 23% weak peaks at P<0, conductive GB | |||
| 14 | V < 0 | there are no peaks, 100% | |
| V > 0 | there are no peaks, 70% | ||
| 15% weak plateau at P > 0 | |||
| 15% weak plateau at P < 0 | |||
| 20 | V < 0 | there are no peaks, 100% | |
| V > 0 | there are no peaks, 50% | ||
| 50% weak plateau at P > 0 | |||
Disclaimer/Publisher’s Note: The statements, opinions and data contained in all publications are solely those of the individual author(s) and contributor(s) and not of MDPI and/or the editor(s). MDPI and/or the editor(s) disclaim responsibility for any injury to people or property resulting from any ideas, methods, instructions or products referred to in the content. |
© 2023 by the authors. Licensee MDPI, Basel, Switzerland. This article is an open access article distributed under the terms and conditions of the Creative Commons Attribution (CC BY) license (http://creativecommons.org/licenses/by/4.0/).