Submitted:
23 June 2023
Posted:
26 June 2023
You are already at the latest version
Abstract
Keywords:
1. Introduction
2. Study Area and Environmental Framework

3. Materials and Methods
3.1. Hydrometeorological Records and Field Survey Datasets Collected during the Monitoring Period
| Event / field survey |
Date | P (mm) |
Rainfall duration (h) | I1h (mm h-1) |
I30’ (mm h-1) |
Qp (m3 s-1) | |||
|---|---|---|---|---|---|---|---|---|---|
| UPR | MDR | LWR | |||||||
| UAV-SfM | 18 September, 2018 | ||||||||
| Peak flow | 18 November, 2018 | 35.6 | 9.3 | 17.6 | 32.4 | 0.1 | 0.1 | 0.2 | |
| TLS | 29 November, 2018 | ||||||||
| Peak flow | 19-20 April, 2019 | 123.2 | 21.2 | 37.3 | 46.0 | 21.9 | 31.3 | 46.1 | |
| UAV-SfM / TLS | 5 September, 2019 | ||||||||
| Peak flow | 12 September, 2019 | 93.9 | 16.9 | 20.2 | 26.4 | 8.4 | 10.9 | 15.1 | |
| Peak flow | 2 December, 2019 | 59.3 | 20.3 | 9.8 | 17.8 | 1.2 | 1.7 | 2.9 | |
| TLS | 16 January, 2020 | ||||||||
| Peak Flow | 20 January, 2020 | 66.3 | 20.8 | 10.6 | 12.8 | 2.7 | 3.6 | 5 | |
| Peak flow | 23-24 March, 2020 | 119.3 | 34.2 | 22.9 | 28.8 | 11.6 | 15.4 | 20.8 | |
| UAV-SfM / TLS | 26 July, 2020 | ||||||||
| Peak flow | 9 January, 2021 | 41.0 | 34.0 | 2.7 | - | 0.3 | 0.4 | 0.8 | |
| Peak flow | 7 March, 2021 | 35.4 | 22.1 | 5.6 | 10.6 | 0.1 | 0.2 | 0.3 | |
| Peak flow | 23 May, 2021 | 36.7 | 14.5 | 7.7 | 14.4 | 0.1 | 0.1 | 0.2 | |
| Peak flow | 16-17 March, 2022 | 92.0 | 28.2 | 29.6 | 34.2 | 12.9 | 16.3 | 22.8 | |
| Peak flow | 4-5 April, 2022 | 55.1 | 39.2 | 5.4 | 5.6 | 0.6 | 0.9 | 1.3 | |
| UAV-SfM | 10 February, 2023 | ||||||||
3.1.1. Obtaining HRDoDs from HRMDT Datasets in the Monitoring Phase
3.1.2. Discarding other, Lower Resolution DTMs
3.2. Estimation of Changes in Bed Elevation and Sediment Budgets Using HRDoDs
3.3. Using GeoWEPP to Simulate Retrospective Peak Discharges and Sediment Yield Rates

3.3.1. Input Data Entered into the Model
- a)
- Weather data. Daily precipitation data (mm), minimum temperature (°C), and maximum temperature (°C) corresponding to a period of 18 years (2000-2018) were obtained for the meteorological stations of Mazarrón (I.O.E), Mazarrón/Las Torres, Azohía (Cedacero), and Perín.
- b)
- Soil data. Different physical and chemical properties of the soil were considered, using data provided by the project LUCDEME (Fight against Desertification in the Mediterranean), prepared by Alias and Ortiz (1986–2004) for the Region of Murcia. These included the hydraulic conductivity, bulk density, organic matter content, and depth of each soil horizon, as well as the percentages of clay, silt, and sand.
- c)
- Topographic features. The watershed boundaries, including those of sub-catchments, and the drainage network and slope distribution were obtained by applying TOPAZ (a topographic parameterization program developed by the United States Department of Agriculture -USDA-ARS-), using the 5x5 m LIDAR DTM from the National Geographic Institute (IGN).
- d)
- Land uses. The land uses introduced in the WEPP application were obtained from Land Occupation Maps in Spain at a scale of 1:100,000, within the framework of the European project CORINE Land Cover, using the updates of 2000, 2006, 2012, and 2018 (IGN web page).
3.3.2. Simulation Analysis of Runoff and Sediment: the Sensitivity of The Model’s Parameters, Calibration, and Validation
| Upper RCR | Middle RCR | Lower RCR | |||||||||||||
|---|---|---|---|---|---|---|---|---|---|---|---|---|---|---|---|
| EC | Qobs | Qsim | dif. % | PBIAS % | NS | Qobs | Qsim | dif. % | PBIAS % | NS | Qobs | Qsim | dif. % | PBIAS % | NS |
| 2 | 11.6 | 9.84 | -17.93 | -10.495 | 0.724 | 15.4 | 13.95 | -10.37 | -5.536 | 0.944 | 20.8 | 19.75 | -5.32 | 0.030 | 0.997 |
| 1 | 21.9 | 26.63 | 17.75 | 31.3 | 33.45 | 6.44 | 45.1 | 45.54 | 0.97 | ||||||
| 3 | 8.4 | 9.83 | 14.59 | 10.9 | 13.38 | 18.55 | 15.1 | 15.68 | 3.71 | ||||||
3.4. A Retrospective Approach to Map and Detect Previous Morphological Channel Changes and Sediment Budgets

| EC | Flow stage | Peak discharge (m3 s-1) |
Morphological channel adjustments | Occurrence | Return period (years) | AEP (p.u.) | |
|---|---|---|---|---|---|---|---|
| No. of events | Times/year | ||||||
| 1 | Overflow | >30 | Fluvial system changes | 4 | 0.15 | 6.75 | 0.12 |
| 2 | Bankfull | 15-30 | Changes in channel form | 10 | 0.37 | 2.70 | 0.39 |
| 3 | Sub-bankfull | 7.5-15 | Moderate channel changes | 13 | 0.48 | 2.08 | 0.64 |
| 4 | Sub-half-bankfull | < 7.5 | Minor bedform adjustments | 39 | 1.44 | 0.69 | 0.84 |
| Monitoring period | ECP | Event sequence | UPR | MDR | ||||
|---|---|---|---|---|---|---|---|---|
| UVL | UVR | UVSC | UVL | UVR | UVSC | |||
| September 2018 to September 2019 | A | 1 | 0.128 | 0.231 | 0.359 | 0.086 | 0.218 | 0.304 |
| September 2019 to July 2020 | B | 3-4-2 | 0.229 | 0.237 | 0.466 | 0.235 | 0.317 | 0.552 |
| September 2018 to July 2020 | C | 1-3-4-2 | 0.087 | 0.110 | 0.197 | 0.124 | 0.186 | 0.310 |
| July 2020 to February 2023 | D | 2 | 0.120 | 0.153 | 0.273 | 0.294 | 0.150 | 0.444 |
| September 2019 to February 2023 | E | 3-4-2-2 | 0.126 | 0.073 | 0.199 | 0.130 | 0.100 | 0.230 |
| September 2018 to February 2023 | F | 1-3-4-2-2 | 0.067 | 0.153 | 0.220 | 0.085 | 0.144 | 0.229 |
| Date | EC | ECP | UPR | MDR | ||||||||||
|---|---|---|---|---|---|---|---|---|---|---|---|---|---|---|
| QpOB | QpS | DSL | UCROB | UCRS | CF | QpOB | QpS | DSL | UCROB | UCRS | CF | |||
| 18/12/2016 | 4 | B | 2.7 | 2.16 | -0.20 | 0.05 | 0.04 | 1.128 | 3.6 | 4.16 | 0.16 | 0.06 | 0.07 | 1.053 |
| 01/11/2015 | 4 | 2.7 | 4.17 | 0.54 | 0.05 | 0.08 | 3.6 | 4.69 | 0.30 | 0.06 | 0.08 | |||
| 29/09/2014 | 3 | 8.4 | 7.34 | -0.13 | 0.15 | 0.13 | 10.9 | 8.44 | -0.23 | 0.18 | 0.14 | |||
| 06/10/2013 | 2 | 11.6 | 14.97 | 0.29 | 0.21 | 0.27 | 15.4 | 17.97 | 0.17 | 0.25 | 0.30 | |||
| 28/09/2012 | 2 | D | 12.9 | 15.59 | 0.21 | 0.27 | 0.33 | 1.209 | 16.3 | 18.74 | 0.15 | 0.44 | 0.51 | 1.149 |
| 30/08/2012 | 2 | D | 12.9 | 13.89 | 0.08 | 0.27 | 0.29 | 1.077 | 16.3 | 16.60 | 0.02 | 0.44 | 0.45 | 1.018 |
| 15/06/2010 | 2 | D | 12.9 | 12.54 | -0.03 | 0.27 | 0.27 | 0.972 | 16.3 | 15.08 | -0.08 | 0.44 | 0.41 | 0.925 |
| 14/12/2009 | 4 | C | 2.7 | 6.36 | 1.35 | 0.01 | 0.03 | 1.644 | 3.6 | 7.32 | 1.00 | 0.02 | 0.04 | 1.569 |
| 28/09/2009 | 1 | 21.9 | 34.93 | 0.59 | 0.10 | 0.15 | 31.3 | 50.07 | 0.60 | 0.16 | 0.25 | |||
| 27/09/2009 | 2 | 11.6 | 20.32 | 0.75 | 0.05 | 0.09 | 15.4 | 24.67 | 0.60 | 0.08 | 0.12 | |||
| 29/03/2009 | 3 | 8.4 | 11.73 | 0.40 | 0.04 | 0.05 | 10.9 | 14.07 | 0.29 | 0.06 | 0.07 | |||
| 24/11/2007 | 2 | B | 11.6 | 13.52 | 0.17 | 0.27 | 0.32 | 1.256 | 15.4 | 16.24 | 0.05 | 0.32 | 0.34 | 1.151 |
| 19/10/2007 | 3 | 8.4 | 11.59 | 0.38 | 0.20 | 0.27 | 10.9 | 14.04 | 0.29 | 0.23 | 0.29 | |||
| 27/04/2007 | 2 | C | 11.6 | 13.63 | 0.18 | 0.05 | 0.06 | 1.344 | 15.4 | 16.30 | 0.06 | 0.08 | 0.08 | 1.186 |
| 03/11/2006 | 1 | 21.9 | 34.03 | 0.55 | 0.10 | 0.15 | 31.3 | 42.22 | 0.35 | 0.16 | 0.21 | |||
| 14/09/2006 | 3 | 8.4 | 7.87 | -0.06 | 0.04 | 0.03 | 10.9 | 9.07 | -0.17 | 0.06 | 0.05 | |||
| 22/11/2005 | 4 | 2.7 | 4.42 | 0.64 | 0.01 | 0.02 | 3.6 | 4.97 | 0.38 | 0.02 | 0.03 | |||
| 15/11/2005 | 3 | B | 8.4 | 10.27 | 0.22 | 0.17 | 0.21 | 1.334 | 10.9 | 12.28 | 0.13 | 0.20 | 0.23 | 1.266 |
| 29/03/2004 | 4 | 2.7 | 1.93 | -0.29 | 0.06 | 0.04 | 3.6 | 2.02 | -0.44 | 0.07 | 0.04 | |||
| 19/11/2003 | 2 | 11.6 | 18.09 | 0.56 | 0.24 | 0.37 | 15.4 | 23.57 | 0.53 | 0.28 | 0.44 | |||
| 18/11/2003 | 3 | B | 8.4 | 7.56 | -0.10 | 0.17 | 0.16 | 1.408 | 10.9 | 8.71 | -0.20 | 0.20 | 0.16 | 1.271 |
| 06/05/2002 | 2 | 11.6 | 18.52 | 0.60 | 0.24 | 0.38 | 15.4 | 22.53 | 0.46 | 0.28 | 0.42 | |||
| 04/03/2002 | 4 | 2.7 | 5.89 | 1.18 | 0.06 | 0.12 | 3.6 | 6.75 | 0.87 | 0.07 | 0.12 | |||
| 10/10/2001 | 4 | E | 2.7 | 5.79 | 1.14 | 0.01 | 0.03 | 2.067 | 3.6 | 6.57 | 0.82 | 0.01 | 0.03 | 1.597 |
| 25/10/2000 | 4 | 2.7 | 5.65 | 1.09 | 0.01 | 0.03 | 3.6 | 7.02 | 0.95 | 0.01 | 0.03 | |||
| 23/10/2000 | 1 | 21.9 | 62.44 | 1.85 | 0.10 | 0.28 | 31.3 | 81.52 | 1.00 | 0.12 | 0.24 | |||
| 27/02/1999 | 3 | 8.4 | 8.51 | 0.01 | 0.04 | 0.04 | 10.9 | 9.87 | -0.09 | 0.04 | 0.04 | |||
| 02/12/1998 | 3 | 8.4 | 8.78 | 0.04 | 0.04 | 0.04 | 10.9 | 10.21 | -0.06 | 0.04 | 0.04 | |||
| 24/05/1998 | 2 | B | 11.6 | 16.98 | 0.46 | 0.24 | 0.35 | 1.255 | 15.4 | 20.69 | 0.34 | 0.28 | 0.38 | 1.132 |
| 14/05/1998 | 4 | 2.7 | 4.18 | 0.55 | 0.06 | 0.09 | 3.6 | 4.71 | 0.31 | 0.07 | 0.09 | |||
| 07/10/1997 | 3 | 8.4 | 7.32 | -0.13 | 0.17 | 0.15 | 10.9 | 8.45 | -0.22 | 0.20 | 0.16 | |||
| 14/10/1996 | 2 | D | 12.9 | 14.87 | 0.15 | 0.27 | 0.31 | 1.153 | 16.3 | 17.79 | 0.09 | 0.44 | 0.48 | 1.091 |
3.5. Establishment of Spatial Patterns in Stream Power Based on Monitored and Simulated Peak Discharges
4. Results and Discussion
4.1. Retrospective Simulation of Peak Flows and Potential Sediment Inputs Using GeoWEPP


| PECP | EC | ECP | UPR | MDR | ||
|---|---|---|---|---|---|---|
| ASIP (t) | CSIP (t) | ASIP (t) | CSIP (t) | |||
| July 2020 – Feb. 2023 | 2 | D | 2208.1 | 2208.1 | 4222.0 | 4222.0 |
| Sep. 2019 - July 2020 | 3-4-2 | B | 1907.6 | 3815.1 | 2708.2 | 9694.8 |
| Sep. 2018 - Sep.2019 | 1 | A | 4712.4 | 4712.4 | 9694.8 | 9694.8 |
| Oct. 2013 – Sep. 2018 | 4-4-3-2 | B | 1181.2 | 4724.7 | 2112.8 | 2112.8 |
| Sep. 2012 – Oct. 2013 | 2 | D | 2760.7 | 2760.7 | 5000.6 | 5000.6 |
| Aug. 2012 – Sep. 2012 | 2 | D | 2200.1 | 2200.1 | 4364.0 | 4364.0 |
| June 2010 – Aug. 2012 | 2 | D | 1977.0 | 1977.0 | 3889.2 | 3889.2 |
| March 2009 – June 2010 | 4-1-2-3 | C | 3343.8 | 13375.4 | 7144.4 | 28577.6 |
| Oct. 2007 – March 2009 | 2-3 | B | 2159.9 | 4319.8 | 3963.9 | 7927.9 |
| Nov. 2005 – Oct. 2007 | 2-1-3-4 | C | 3411.1 | 10233.3 | 6082.3 | 18246.8 |
| Nov. 2003 – Nov. 2005 | 3-4-2 | B | 1670.5 | 5011.6 | 3349.8 | 10049.5 |
| March 2002 – Nov. 2003 | 3-2-4 | B | 1706.8 | 5120.5 | 3243.5 | 9730.5 |
| Dec. 1998 - March 2002 | 4-4-1-3-3 | E | 3262.1 | 16310.5 | 6990.3 | 34951.6 |
| Oct. 1997 – Dec. 1998 | 2-4-3 | B | 1500.7 | 4502.1 | 2826.0 | 8478.0 |
| Oct. 1996 – Oct. 1997 | 2 | D | 2612.0 | 2612.0 | 4711.0 | 4711.0 |
4.2. Retrospective Changes in Bed Elevation and Sediment Budgets Derived from SfM-MVS Generated HRDTMs and the Resulting DoDs

| TAI | TNVD | ANTD | PI | TASL | TASR | UVSL | UVSR | SD * | ||||||
|---|---|---|---|---|---|---|---|---|---|---|---|---|---|---|
| Period | RCR | m2 | m3 | Error (p.u.) | m | Error (p.u.) | (p.u) | m2 | m2 | m3 m-2 | Error (p.u.) | m3 m-2 | Error (p.u.) | m |
| 2016- 2022 (1) | UPR | 2407 | 440.1 | 0.112 | 0.183 | 0.112 | 0.442 | 155.3 | 2251.4 | 0.185 | 0.169 | 0.208 | 0.192 | 0.188 |
| MDR | 3956 | 692.3 | 0.175 | 0.175 | 0.175 | 0.459 | 364.0 | 3591.9 | 0.085 | 0.115 | 0.201 | 0.189 | 0.106 | |
| 2009 -2016(2) | UPR | 2435 | -366.7 | -0.089 | -0.151 | -0.089 | -0.448 | 2261.2 | 173.7 | 0.172 | 0.196 | 0.122 | 0.174 | 0.156 |
| MDR | 4040 | -501.4 | -0.106 | -0.124 | -0.106 | -0.463 | 3743.6 | 296.8 | 0.139 | 0.206 | 0.067 | 0.156 | 0.116 | |
| Period | RCR | TAI | TNVD | ANTD | PI | TASL | TASR | UVSL | UVSR | SD* |
|---|---|---|---|---|---|---|---|---|---|---|
| 2016 – 2022 (1) | UPR | 0.09 | -0.23 | -0.30 | 0.01 | 0.47 | 0.04 | -0.64 | -0.26 | -0.43 |
| MDR | 0.15 | -0.33 | -0.43 | -0.18 | 0.60 | 0.04 | 0.00 | -0.28 | 0.17 | |
| 2009 - 2016 (2) | UPR | 0.04 | -0.16 | -0.22 | 0.09 | -0.64 | 0.69 | -0.12 | 0.16 | -0.37 |
| MDR | 0.04 | -0.88 | -0.32 | -0.51 | -0.53 | 0.79 | 0.11 | 0.66 | 0.34 |

| TAI | TNVD | ANTD | PI | TASL | TASR | UVSL | UVSR | *SD | ||||||
|---|---|---|---|---|---|---|---|---|---|---|---|---|---|---|
| PECP | RCR | m2 | m3 | Error (u.p.) | m | Error (u.p.) | p.u. | m2 | m2 | m3 m-2 | Error (p.u.) | m3 m-2 | Error (p.u.) | m |
| JUL20- FEB23 |
UPR | 2730 | 395.2 | 0.063 | 0.145 | 0.063 | 0.477 | 81.2 | 2649.3 | 0.120 | 0.057 | 0.153 | 0.079 | 0.136 |
| MDR | 4532 | 118.7 | 0.054 | 0.026 | 0.054 | 0.069 | 1266.0 | 3266.2 | 0.294 | 0.086 | 0.150 | 0.113 | 0.146 | |
| SEP19- JUL20 |
UPR | 2976 | -575.3 | -0.048 | -0.193 | -0.048 | -0.420 | 2744.1 | 232.2 | 0.229 | 0.043 | 0.237 | 0.040 | 0.162 |
| MDR | 4707 | -742.2 | -0.055 | -0.158 | -0.055 | -0.319 | 4043.8 | 663.4 | 0.235 | 0.042 | 0.317 | 0.030 | 0.243 | |
| SEP18- SEP19 |
UPR | 2763 | 613.2 | 0.044 | 0.222 | 0.044 | 0.486 | 67.3 | 2695.1 | 0.128 | 0.070 | 0.231 | 0.043 | 0.118 |
| MDR | 4885 | 1013.1 | 0.046 | 0.207 | 0.046 | 0.486 | 168.1 | 4717.0 | 0.086 | 0.102 | 0.218 | 0.046 | 0.106 | |
| OCT13- SEP18 |
UPR | 2551 | -680.5 | -0.112 | -0.267 | -0.112 | -0.494 | 2516.7 | 34.7 | 0.272 | 0.198 | 0.127 | 0.109 | 0.105 |
| MDR | 4490 | -716.1 | -0.106 | -0.159 | -0.106 | -0.306 | 3873.6 | 616.9 | 0.243 | 0.206 | 0.368 | 0.185 | 0.186 | |
| SEP12- OCT13 |
UPR | 2543 | 443.8 | 0.089 | 0.174 | 0.089 | 0.485 | 51.9 | 2491.4 | 0.129 | 0.095 | 0.181 | 0.099 | 0.077 |
| MDR | 4155 | 336.3 | 0.093 | 0.081 | 0.093 | 0.272 | 1032.9 | 3122.0 | 0.136 | 0.112 | 0.153 | 0.123 | 0.164 | |
| AUG12- SEP12 |
UPR | 2543 | 395.3 | 0.146 | 0.155 | 0.146 | 0.485 | 51.9 | 2491.4 | 0.115 | 0.122 | 0.161 | 0.148 | 0.069 |
| MDR | 4155 | 298.0 | 0.157 | 0.072 | 0.157 | 0.272 | 1032.9 | 3122.0 | 0.121 | 0.158 | 0.135 | 0.141 | 0.146 | |
| JUN10 – AUG12 |
UPR | 2543 | 356.8 | 0.167 | 0.140 | 0.167 | 0.485 | 51.9 | 2491.4 | 0.104 | 0.186 | 0.145 | 0.109 | 0.062 |
| MDR | 4155 | 270.7 | 0.189 | 0.065 | 0.189 | 0.272 | 1032.9 | 3122.0 | 0.110 | 0.199 | 0.123 | 0.098 | 0.132 | |
| MAR09 JUN10 |
UPR | 2542 | -755.9 | -0.129 | -0.297 | -0.129 | -0.494 | 2508.5 | 33.9 | 0.303 | 0.202 | 0.146 | 0.133 | 0.118 |
| MDR | 4155 | -894.3 | -0.187 | -0.215 | -0.187 | -0.434 | 3746.1 | 408.5 | 0.257 | 0.274 | 0.166 | 0.145 | 0.176 | |
| OCT07- MAR09 |
UPR | 2542 | -78.5 | -0.196 | -0.031 | -0.196 | -0.120 | 1438.2 | 1104.2 | 0.141 | 0.143 | 0.112 | 0.089 | 0.177 |
| MDR | 4155 | 112.4 | -0.213 | 0.027 | -0.213 | 0.074 | 1900.3 | 2254.4 | 0.169 | 0.153 | 0.193 | 0.149 | 0.252 | |
| NOV05- OCT07 |
UPR | 2542 | -802.9 | -0.229 | -0.316 | -0.229 | -0.494 | 2508.5 | 33.9 | 0.322 | 0.224 | 0.156 | 0.144 | 0.125 |
| MDR | 4155 | -983.7 | -0.258 | -0.237 | -0.258 | -0.434 | 3746.1 | 408.5 | 0.282 | 0.239 | 0.182 | 0.175 | 0.194 | |
| NOV03- NOV05 |
UPR | 2542 | -64.2 | -0.216 | -0.025 | -0.216 | -0.120 | 1438.2 | 1104.2 | 0.115 | 0.106 | 0.092 | 0.107 | 0.145 |
| MDR | 4155 | 85.0 | -0.224 | 0.020 | -0.224 | 0.074 | 1900.3 | 2254.4 | 0.128 | 0.125 | 0.146 | 0.127 | 0.191 | |
| MAR02- NOV03 |
UPR | 2533 | -496.9 | -0.285 | -0.196 | -0.285 | -0.407 | 2128.1 | 405.0 | 0.260 | 0.259 | 0.140 | 0.121 | 0.219 |
| MDR | 4153 | -771.8 | -0.297 | -0.186 | -0.297 | -0.455 | 3845.1 | 308.1 | 0.211 | 0.189 | 0.125 | 0.095 | 0.160 | |
| DEC98- MAR02 |
UPR | 2542 | -847.4 | -0.219 | -0.333 | -0.219 | -0.494 | 2508.5 | 33.9 | 0.340 | 0.287 | 0.164 | 0.133 | 0.132 |
| MDR | 4155 | -987.5 | -0.246 | -0.238 | -0.246 | -0.434 | 3746.1 | 408.5 | 0.284 | 0.256 | 0.183 | 0.148 | 0.194 | |
| OCT97- DEC98 |
UPR | 2533 | -754.6 | -0.253 | -0.298 | -0.253 | -0.494 | 2502.2 | 30.9 | 0.303 | 0.288 | 0.142 | 0.185 | 0.116 |
| MDR | 4153 | -879.2 | -0.267 | -0.212 | -0.267 | -0.434 | 3745.1 | 408.0 | 0.253 | 0.249 | 0.163 | 0.149 | 0.173 | |
| OCT96- OCT97 |
UPR | 2533 | 421.5 | 0.267 | 0.166 | 0.267 | 0.486 | 50.0 | 2483.1 | 0.121 | 0.166 | 0.172 | 0.179 | 0.073 |
| MDR | 4153 | 319.2 | 0.288 | 0.077 | 0.288 | 0.272 | 1032.4 | 3120.7 | 0.129 | 0.172 | 0.145 | 0.195 | 0.156 | |
| UPR | MDR | |||||||||||
|---|---|---|---|---|---|---|---|---|---|---|---|---|
| PECP | TAI | TNVD | NVD* | CNVD | ANTD | CNTD | TAI | TNVD | NVD* | CNV | ANTD | CNTD |
| July 2020 – Feb. 2023 | 2730 | 395.2 | 14.5 | 14.5 | 0.15 | 0.15 | 4532 | 118.7 | 2.6 | 2.6 | 0.03 | 0.03 |
| Sep. 2019 - July 2020 | 2976 | -575.3 | -19.3 | -4.8 | -0.19 | -0.04 | 4707 | -742.2 | -15.8 | -13.1 | -0.16 | -0.13 |
| Sep. 2018- Sep.2019 | 2763 | 613.2 | 22.2 | 17.4 | 0.22 | 0.18 | 4885 | 1013.1 | 20.7 | 7.6 | 0.21 | 0.08 |
| Oct. 2013 – Sep 2018 | 2551 | -680.5 | -26.7 | -9.3 | -0.27 | -0.09 | 4490 | -716.1 | -15.9 | -8.3 | -0.16 | -0.08 |
| Sep. 2012 – Oct. 2013 | 2543 | 443.8 | 17.5 | 8.2 | 0.17 | 0.08 | 4155 | 336.3 | 8.0 | -0.3 | 0.08 | 0.00 |
| Aug. 2012 – Sep. 2012 | 2543 | 395.3 | 15.5 | 23.7 | 0.16 | 0.24 | 4155 | 298.0 | 7.2 | 6.9 | 0.07 | 0.07 |
| June 2010 – Aug. 2012 | 2543 | 356.8 | 14.0 | 37.7 | 0.14 | 0.38 | 4155 | 270.7 | 6.5 | 13.4 | 0.07 | 0.14 |
| March 2009 – June 2010 | 2542 | -755.9 | -29.7 | 8.0 | -0.30 | 0.08 | 4155 | -894.3 | -21.5 | -8.1 | -0.22 | -0.08 |
| Oct. 2007 – March 2009 | 2542 | -78.5 | -3.1 | 4.9 | -0.03 | 0.05 | 4155 | 112.4 | 2.7 | -5.4 | 0.03 | -0.05 |
| Nov. 2005 – Oct. 2007 | 2542 | -802.9 | -31.6 | -26.7 | -0.32 | -0.27 | 4155 | -983.7 | -23.7 | -29.1 | -0.24 | -0.29 |
| Nov. 2003 – Nov. 2005 | 2542 | -64.2 | -2.5 | -29.2 | -0.03 | -0.30 | 4155 | 85.0 | 2.1 | -27.0 | 0.02 | -0.27 |
| March 2002 – Nov. 2003 | 2533 | -496.9 | -19.6 | -48.8 | -0.20 | -0.50 | 4153 | -771.8 | -18.6 | -45.6 | -0.19 | -0.46 |
| Dec. 1998 – March 2002 | 2542 | -847.4 | -33.3 | -82.1 | -0.33 | -0.83 | 4155 | -987.5 | -23.8 | -69.4 | -0.24 | -0.70 |
| Oct. 1997 – Dec. 1998 | 2533 | -754.6 | -29.9 | -112.0 | -0.30 | -1.13 | 4153 | -879.2 | -21.2 | -90.6 | -0.21 | -0.91 |
| Oct. 1996 – Oct. 1997 | 2533 | 421.5 | 16.6 | -95.4 | 0.17 | -0.96 | 4153 | 319.2 | 7.7 | -82.9 | 0.08 | -0.83 |

4.3. Retrospective Changes in Bed Elevation and Sediment Budgets Derived from TLS-Generated HRDEMs and the Resulting DoDs

| RCR | Upper RCR | Middle RCR | ||||
|---|---|---|---|---|---|---|
| Period | ANTD | CNTD | St. Dev. | ANTD | CNTD | St. Dev. |
| 2016-2020 | 0.06 | 0.06 | 0.04 | 0.04 | 0.04 | 0.06 |
| 2012-2016 | -0.04 | 0.02 | 0.12 | -0.01 | 0.03 | 0.09 |
| 2007-2012 | -0.28 | -0.26 | 0.33 | -0.13 | -0.10 | 0.21 |
| 2002-2007 | -0.22 | -0.48 | 0.58 | -0.12 | -0.22 | 0.37 |
| 1996-2002 | -0.25 | -0.73 | 0.82 | -0.29 | -0.51 | 0.63 |

4.4. Spatio-Temporal Patterns in Stream Power Derived from Monitored and Simulated Peak Discharges
| PECP | ω | δω/δs | ε | εc | ||||
|---|---|---|---|---|---|---|---|---|
| UPR | MDR | UPR | MDR | UPR | MDR | UPR | MDR | |
| JUL20-FEB23 | 204.9 | 122.2 | 1.01 | -0.76 | 89.40 | 73.45 | 1.34 | 0.73 |
| SEP19-JUL20 | 156.6 | 256.1 | 0.38 | -0.79 | 72.35 | 59.42 | 0.84 | 1.19 |
| SEP18-SEP19 | 214.1 | 154.2 | 0.82 | -1.06 | 108.15 | 50.22 | 1.25 | 0.79 |
| OCT13-SEP18 | 212.1 | 129.8 | 1.22 | -1.35 | 98.92 | 39.15 | 1.44 | 0.69 |
| SEP12-OCT13 | 117.1 | 270.4 | 0.64 | -1.01 | 47.91 | 85.33 | 1.05 | 1.37 |
| AUG12-SEP12 | 210.2 | 104.1 | 1.08 | -1.42 | 92.50 | 31.02 | 1.57 | 0.62 |
| JUN10-AUG12 | 184.4 | 113.1 | 0.60 | -0.51 | 91.01 | 33.63 | 1.05 | 0.66 |
| MAR09-JUN10 | 218.4 | 148.3 | 0.78 | -1.62 | 104.01 | 49.31 | 1.20 | 0.76 |
| OCT07-MAR09 | 230.8 | 183.8 | 1.24 | -1.21 | 133.17 | 53.96 | 1.59 | 0.86 |
| NOV05-OCT07 | 265.5 | 240.2 | 1.06 | -1.21 | 126.97 | 82.78 | 1.47 | 1.09 |
| NOV03-NOV05 | 153.6 | 112.9 | 0.38 | -0.37 | 73.31 | 77.56 | 0.85 | 1.03 |
| MAR02 -NOV03 | 143.6 | 102.8 | 0.34 | -0.20 | 66.12 | 69.44 | 0.76 | 0.92 |
| DEC98-MAR02 | 270.7 | 240.4 | 1.34 | -1.52 | 157.30 | 120.86 | 1.82 | 1.12 |
| OCT97-DEC98 | 261.7 | 234.2 | 0.82 | -0.95 | 117.06 | 70.75 | 1.15 | 0.95 |
| OCT96-OCT97 | 144.5 | 97.1 | 0.26 | -0.15 | 64.46 | 48.38 | 0.75 | 0.74 |

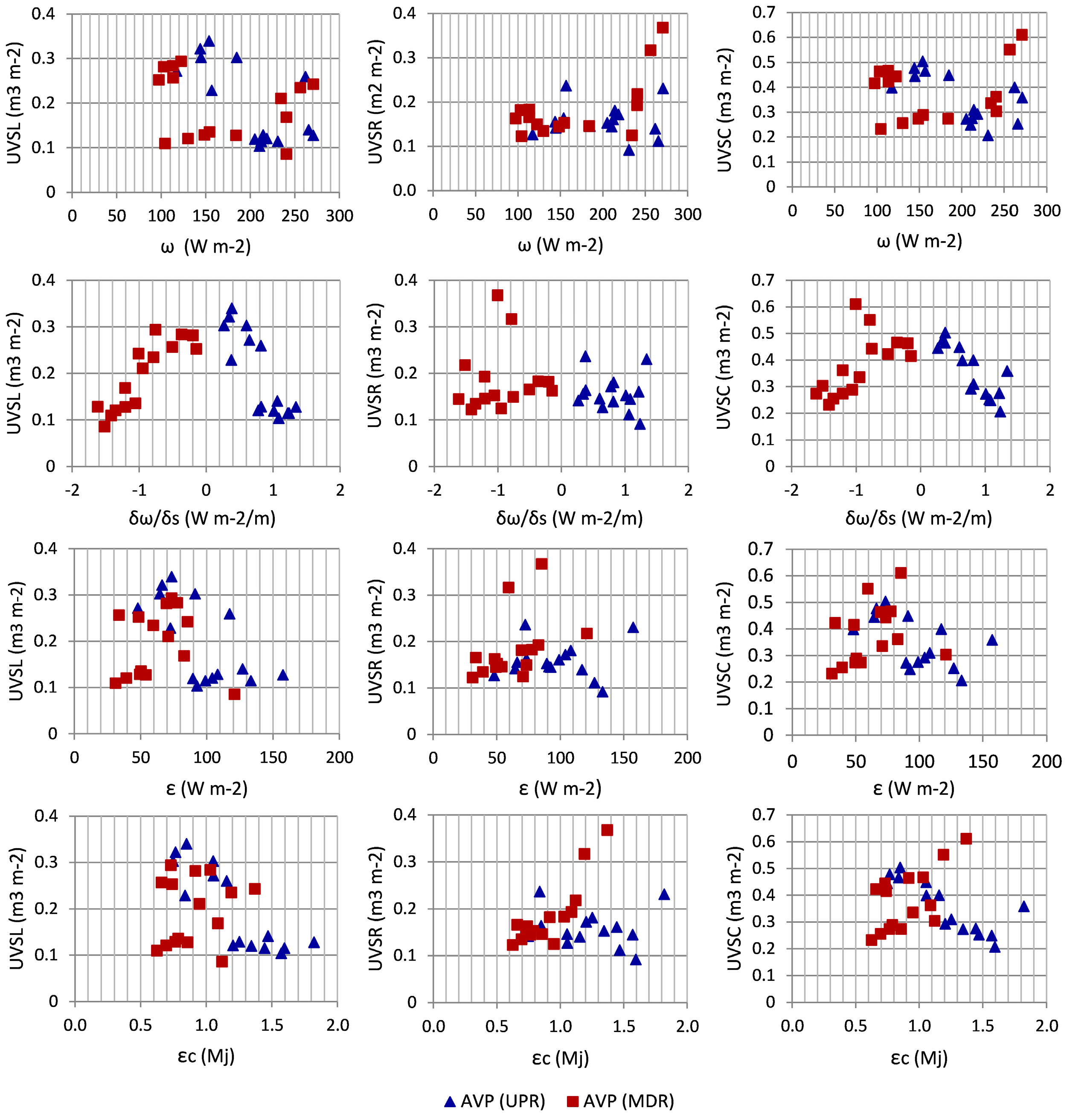
4.5. Relationships between Morphological Bed Adjustments and Temporal Changes in Potential Sediment Inputs and Stream Power


| RCR | Relationship | Regression equation | Function | r2 |
|---|---|---|---|---|
| UPR | UVSL vs ∂ω/∂s | UVSL = 0.093 ∂ω/∂s2 – 0.363 ∂ω/∂s + 0.419 | Polynomial | 0.73 |
| ANTD vs ∂ω/∂s | ANTD = 0.485 ∂ω/∂s – 0.450 | Linear | 0.64 | |
| ANTD vs εc | ANTD = 0.524 εc – 0.698 | Linear | 0.65 | |
| UVSC vs ∂ω/∂s | UVSC = 0.192 ∂ω/∂s2 - 0.533 ∂ω/∂s + 0.638 | Polynomial | 0.75 | |
| UVSL vs εc | UVSL = 0.178 εc2 – 0.670 εc + 0.732 | Polynomial | 0.75 | |
| UVSC vs εc | UVSC = 0.319 εc2 – 1.027 εc + 1.10 | Polynomial | 0.78 | |
| MDR | ANTD vs ∂ω/∂s | ANTD = -0.269 ∂ω/∂s – 0.309 | Linear | 0.72 |
| ANTD vs ASY | ANTD = -5E-09 ASY2 + 0.0001 ASY – 0.48 | Polynomial | 0.67 | |
| UVSL vs ∂ω/∂s | UVSL = -0.076 ∂ω/∂s2 + 0.003 ∂ω/∂s + 0.282 | Polynomial | 0.81 | |
| UVSR vs εc | UVSR = 0.608 εc2 – 0.905 εc + 0.479 | Polynomial | 0.89 | |
| UVSL vs ASY | UVSL = 121.01 ASY-0.78 | Power | 0.64 |


5. Conclusions
Author Contributions
Funding
Data Availability Statement
Acknowledgments
Conflicts of Interest
Notations
| ∂ω/∂s | Mean stream power gradient [Wm−3] |
| ε | Excess energy per unit bed area (Wm−2) |
| εc | Accumulated excess energy (MJ) |
| γ | Specific weight of water (Nm−3), |
| Ω | Cross-sectional stream power [W m−1] |
| ω | Mean stream power [Wm−2] |
| ωc | Critical mean stream power [W m−2] |
| qp | Peak unit flow (m3s−1) |
| r2 | Determination coefficient |
| Sw | Water surface slope [m m−1] |
| w | Water-surface width (m) |
| AEP | Annual exceedance probability (per unit) |
| ANTD | Average net thickness difference (m) for the area of interest |
| ASYP | Average sediment yield per sub-period (t) |
| AVP | Average values for each PCEP sub-period |
| CNTD | Cumulative net thickness difference (m) |
| CNVD | Cumulative Net Volume Difference per 100 m² (m³) |
| CSYP | Accumulated sediment yield per sub-period (t) |
| CUV | Cumulative unit volume |
| DEM | Digital Elevation Model |
| DoD | DEM of Difference |
| DSL | Dissimilarity level between QpS(i) and QpOB(i) |
| 3DPC | 3D point cloud |
| EC | Event class |
| ECP | Event class pattern |
| EGBS | Ephemeral gravel-bed stream |
| GCPs | Ground Control Points |
| CF | Change factor |
| GNSS | Global Navigation Satellite System |
| HRDEM | High-resolution Digital Elevation Model |
| HRDoD | High-resolution DEM of Difference |
| HRDTM | High-resolution Digital Terrain Model |
| MDR | Middle reach |
| MVS | Multi-View Stereo |
| NPAO | National Plan of Aerial Orthophotography |
| NVD* | Net Volume Difference per 100 m² (m³) |
| PBSA | Pilot bed survey area |
| PECP | Sub-period defined according to the ECP |
| PI | Percent imbalance (departure from equilibrium) |
| QpOB(i) | Observed peak discharge (m3 s-1) for event i |
| QpS(i) | Predicted peak discharge (m3 s-1) for event i |
| RCR | Reference channel reach |
| RP | Return period (years) |
| SD* | Standard deviation of the net thickness differences (m) |
| SfM | Structure from Motion |
| SL | Surface lowering |
| SR | Surface raising |
| TAI | Total area of interest (m2) |
| TASL | Total area of surface lowering (m2) |
| TASR | Total area of surface raising (m2) |
| TLS | Terrestrial Laser Scanner |
| TNVD | Total net volume difference (m3) |
| UAV | Unmanned aerial vehicles |
| UCROB(i) | Observed unit change rate (m3 m-2) for event i |
| UCRS(i) | Simulated unit change rate (m3 m-2) for event i |
| UPR | Upper reach |
| UVSC | Average unit volume of total morphological change (m3m−2) |
| UVSC(ECP) | Unit volume of cumulative changing surface for a given ECP (m3 m-2) |
| UVSL | Average unit volume of surface lowering (m3m−2) |
| UVSR | Average unit volume of surface raising (m3m−2) |
| VSL | Total volume of lowered surfaces |
| VSR | Total volume of raised surfaces |
References
- Hooke, J.M. Human impacts on fluvial systems in the Mediterranean region. Geomorphology 2006;79. [CrossRef]
- Segura-Beltrán, F.; Sanchis-Ibor, C. Assessment of channel changes in a Mediterranean ephemeral stream since the early twentieth century. The Rambla de Cervera, eastern Spain. Geomorphology 2013;201. [CrossRef]
- Ortega, J.A.; Razola, L.; Garzón, G. Recent human impacts and change in dynamics and morphology of ephemeral rivers. Natural Hazards and Earth System Sciences 2014;14. [CrossRef]
- Conesa-García, C.; Puig-mengual, C.; Riquelme, A.; Tomás, R.; Martínez-capel, F.; García-lorenzo, R.; et al. Combining sfm photogrammetry and terrestrial laser scanning to assess event-scale sediment budgets along a gravel-bed ephemeral stream. Remote Sens (Basel) 2020;12. [CrossRef]
- Conesa-García, C.; Puig-Mengual, C.; Riquelme, A.; Tomás, R.; Martínez-Capel, F.; García-Lorenzo, R.; et al. Changes in stream power and morphological adjustments at the event-scale and high spatial resolution along an ephemeral gravel-bed channel. Geomorphology 2022;398. [CrossRef]
- Conesa Garcia, C. Torrential flow frequency and morphological adjustments of ephemeral channels in south-east Spain. River geomorphology 1995, 1995, 169–92. [Google Scholar]
- Benito, G.; Thorndycraft, V.R.; Rico, M.T.; Sánchez-Moya, Y.; Sopeña, A.; Botero, B.A.; et al. Hydrological response of a dryland ephemeral river to southern African climatic variability during the last millennium. Quat Res 2011;75. [CrossRef]
- Pryor, B.S.; Lisle, T.; Montoya, D.S.; Hilton, S. Transport and storage of bed material in a gravel-bed channel during episodes of aggradation and degradation: A field and flume study. Earth Surf Process Landf 2011;36. [CrossRef]
- Norman, L.M.; Sankey, J.B.; Dean, D.; Caster, J.; DeLong, S.; DeLong, W.; et al. Quantifying geomorphic change at ephemeral stream restoration sites using a coupled-model approach. Geomorphology 2017;283. [CrossRef]
- Lotsari, E.S.; Calle, M.; Benito, G.; Kukko, A.; Kaartinen, H.; Hyyppä, J.; et al. Topographical change caused by moderate and small floods in a gravel bed ephemeral river - A depth-averaged morphodynamic simulation approach. Earth Surface Dynamics 2018;6. [CrossRef]
- Moses, C.; Robinson, D.; Barlow, J. Methods for measuring rock surface weathering and erosion: A critical review. Earth Sci Rev 2014;135. [CrossRef]
- Danielle Cullen, N.; Kumar Verma, A.; Clare Bourke, M. A comparison of structure from motion photogrammetry and the traversing micro-erosion meter for measuring erosion on shore platforms. Earth Surface Dynamics 2018;6. [CrossRef]
- Snavely, N. Bundler: SfM for unordered image collections. Domain: Http://Phototour Cs Washington-Edu/Bundler/(1509 10) 2006.
- Westoby, M.J.; Brasington, J.; Glasser, N.F.; Hambrey, M.J.; Reynolds, J.M. “Structure-from-Motion” photogrammetry: A low-cost, effective tool for geoscience applications. Geomorphology 2012, 179, 300–14. [Google Scholar] [CrossRef]
- Gómez-Gutiérrez, Á.; Schnabel, S.; Berenguer-Sempere, F.; Lavado-Contador, F.; Rubio-Delgado, J. Using 3D photo-reconstruction methods to estimate gully headcut erosion. Catena (Amst) 2014;120. [CrossRef]
- Kaiser, A.; Neugirg, F.; Rock, G.; Müller, C.; Haas, F.; Ries, J.; et al. Small-scale surface reconstruction and volume calculation of soil erosion in complex moroccan Gully morphology using structure from motion. Remote Sens (Basel) 2014;6. [CrossRef]
- Kasprak, A.; Wheaton, J.M.; Ashmore, P.E.; Hensleigh, J.W.; Peirce, S. The relationship between particle travel distance and channel morphology: Results fromphysicalmodels of braided rivers. J Geophys Res Earth Surf 2015;120. [CrossRef]
- Smith, M.W.; Carrivick, J.L.; Quincey, D.J. Structure from motion photogrammetry in physical geography. Prog Phys Geogr 2016;40. [CrossRef]
- Wang, Y.; He, W.; Zhang, T.; Zhang, Y.; Cao, L. Adapting the WEPP Hillslope Model and the TLS Technology to Predict Unpaved Road Soil Erosion. Int J Environ Res Public Health 2022;19. [CrossRef]
- Singer, M.B.; Michaelides, K. How is topographic simplicity maintained in ephemeral dryland channels? Geology 2014;42. [CrossRef]
- Flatley, A.; Rutherfurd, I. Using structure from motion (SfM) to capture high resolution geomorphic units within small ephemeral channels. 20th EGU General Assembly. Conference Held 4, Viena: EGU General Assembly; 2018, p. 10896.
- Calle, M.; Alho, P.; Benito, G. Monitoring ephemeral river changes during floods with SfM photogrammetry. Journal of Iberian Geology 2018;44. [CrossRef]
- Borg Galea, A.; Sadler, J.P.; Hannah, D.M.; Datry, T.; Dugdale, S.J. Mediterranean intermittent rivers and ephemeral streams: Challenges in monitoring complexity. Ecohydrology 2019;12. [CrossRef]
- Conesa-García, C.; Pérez-Cutillas, P.; García-Lorenzo, R.; Eekhout, J.; Gómez-Gutiérrez, Á.; Millares-Valenzuela, A.; et al. Dimensionless morphological ratios versus stream power variations at bankfull stage in an ephemeral channel. Geomorphology 2020;361. [CrossRef]
- Notebaert, B.; Verstraeten, G.; Govers, G.; Poesen, J. Qualitative and quantitative applications of LiDAR imagery in fluvial geomorphology. Earth Surf Process Landf 2009;34. [CrossRef]
- Sutfin, N.A.; Shaw, J.; Wohl, E.E.; Cooper, D. A geomorphic classification of ephemeral channels in a mountainous, arid region, southwestern Arizona, USA. Geomorphology 2014;221. [CrossRef]
- Estrella, T.R. Geología de la Región de Murcia. El medio físico de la Región de Murcia, 2006, p. 11–46.
- Castillo, R.A. El patrimonio geológico de la Región de Murcia. Interlibro; 1999.
- Ali, K.F.; De Boer, D.H. Construction of sediment budgets in large-scale drainage basins: the case of the upper Indus River. Erosion prediction in ungauged basins: integrating methods and techniques. Proceedings of an international symposium, Sapporo, Japan, 8-9 July 2003, 2003, p. 206–15. [Google Scholar]
- Puig-Mengual, C.A.; Woodget, A.S.; Muñoz-Mas, R.; Martínez-Capel, F. Spatial validation of submerged fluvial topographic models by mesohabitat units. Int J Remote Sens 2021;42. [CrossRef]
- Wheaton, J.M.; Brasington, J.; Darby, S.E.; Sear, D.A. Accounting for uncertainty in DEMs from repeat topographic surveys: Improved sediment budgets. Earth Surf Process Landf 2010;35. [CrossRef]
- Brasington, J.; Langham, J.; Rumsby, B. Methodological sensitivity of morphometric estimates of coarse fluvial sediment transport. Geomorphology 2003;53. [CrossRef]
- USDA-ARS. CLIGEN v.5.3 Stochastic Weather Generator 2014.
- Flanagan, D.C.; Ascough, J.C.; Nicks, A.D.; Nearing, M.A.; Laflen, J.M. Chapter 01. Overview of the WEPP erosion prediction model. The Water Erosion Prediction Project (WEPP) Technical Documentation 1995.
- Wu, J.Q.; Xu, A.C.; Elliot, W.J. Adapting WEPP (Water Erosion Prediction Project) for Forest Watershed Erosion Modeling. 2000 ASAE Annual International Meeting, Technical Papers: Engineering Solutions for a New Century, vol. 2, 2000.
- Maalim, F.K.; Melesse, A.M.; Belmont, P.; Gran, K.B. Modeling the impact of land use changes on runoff and sediment yield in the le sueur watershed, minnesota using GeoWEPP. Catena (Amst) 2013;107. [CrossRef]
- García-Lorenzo, R.; Conesa-García, C. Erosion and sediment yield estimated by GeoWEPP for check dam watersheds in ephemeral gullies (South-East Spain). Geomorphology and Plate Tectonics, 2009.
- Martínez Salvador, A.; Conesa García, C.; García Lorenzo, R.; Pérez Cutillas, P. Estimación de aportes sedimentarios a embalses de pequeñas cuencas mediterráneas mediante GeoWEPP. Ensayo en la cuenca vertiente del río Mula al embalse de la Cierva (cuenca del río Segura). Limnetica 2015;34. [CrossRef]
- Ascough, J.C.; Baffaut, C.; Nearing, M.A.; Liu, B.Y. The WEPP watershed model: I. Hydrology and erosion. Transactions of the American Society of Agricultural Engineers 1997;40. [CrossRef]
- Flanagan, D.C.; Ascough, J.C.; Nearing, M.A.; Laflen, J.M. The water erosion prediction project (WEPP) model. Landscape Erosion and Evolution Modeling 2001:145–99.
- Leopold, L.B.; Wolman, M.G.; Miller, J.P. Fluvial processes in geomorphology Dover Publications. New York 1964.
- Wyżga, B.; Radecki-Pawlik, A.; Galia, T.; Plesiński, K.; Škarpich, V.; Dušek, R. Use of high-water marks and effective discharge calculation to optimize the height of bank revetments in an incised river channel. Geomorphology 2020, 356, 107098. [Google Scholar] [CrossRef]
- USACE. HEC-RAS 5.0 Hydraulic Reference Manual. User’s Manual, Version 41 2016.
- Vázquez-Tarrío, D.; Borgniet, L.; Liébault, F.; Recking, A. Using UAS optical imagery and SfM photogrammetry to characterize the surface grain size of gravel bars in a braided river (Vénéon River, French Alps). Geomorphology 2017;285. [CrossRef]
- Emmett, W.W.; Wolman, M.G. Effective discharge and gravel-bed rivers. Earth Surf Process Landf 2001;26. [CrossRef]
- Doeschl-Wilson, A.B.; Ashmore, P.E. Assessing a numerical cellular braided-stream model with a physical model. Earth Surf Process Landf 2005;30. [CrossRef]
- Nicholas, A.P.; Quine, T.A. Crossing the divide: Representation of channels and processes in reduced-complexity river models at reach and landscape scales. Geomorphology 2007;90. [CrossRef]
- Nicholas, A.P.; Ashworth, P.J.; Sambrook Smith, G.H.; Sandbach, S.D. Numerical simulation of bar and island morphodynamics in anabranching megarivers. J Geophys Res Earth Surf 2013;118. [CrossRef]
- Schuurman, F.; Kleinhans, M.G. Self-formed braided bar pattern in a numerical model. Proceedings of the 7th IAHR conference on river, estuarine and coastal morphodynamics. Beijing, China, 2011.
- Sloff, K.; Mosselman, E. Bifurcation modelling in a meandering gravel-sand bed river. Earth Surf Process Landf 2012;37. [CrossRef]
- Wohl, E. Mountain rivers revisited. John Wiley & Sons; 2013.
- Robert, A. River processes: An introduction to fluvial dynamics. 2014. [CrossRef]
- Thompson, D.M. Pool–Riffle Sequences. Reference Module in Earth Systems and Environmental Sciences; Elsevier: Amsterdam, The Netherlands 2018. [Google Scholar]
- Dade, W.B.; Friend, P.F. Grain-size, sediment-transport regime, and channel slope in alluvial rivers. Journal of Geology 1998;106. [CrossRef]
- Gartner, J.D.; Dade, W.B.; Renshaw, C.E.; Magilligan, F.J.; Buraas, E.M. Gradients in stream power influence lateral and downstream sediment flux in floods. Geology 2015;43. [CrossRef]
- Wilcock, P.R.; Crowe, J.C. Surface-based Transport Model for Mixed-Size Sediment. Journal of Hydraulic Engineering 2003;129. [CrossRef]
- Török, G.T.; Baranya, S.; Rüther, N. 3D CFD modeling of local scouring, bed armoring and sediment deposition. Water 2017, 9, 56. [Google Scholar] [CrossRef]
- Lea, D.M.; Legleiter, C.J. Mapping spatial patterns of stream power and channel change along a gravel-bed river in northern Yellowstone. Geomorphology. [CrossRef]
- Zapico, I.; Laronne, J.B.; Lucía, A.; Martín-Duque, J.F. Morpho-textural implications to bedload flux and texture in the sand-gravel ephemeral Poveda Gully. Geomorphology 2018, 322, 53–65. [Google Scholar] [CrossRef]
Disclaimer/Publisher’s Note: The statements, opinions and data contained in all publications are solely those of the individual author(s) and contributor(s) and not of MDPI and/or the editor(s). MDPI and/or the editor(s) disclaim responsibility for any injury to people or property resulting from any ideas, methods, instructions or products referred to in the content. |
© 2023 by the authors. Licensee MDPI, Basel, Switzerland. This article is an open access article distributed under the terms and conditions of the Creative Commons Attribution (CC BY) license (http://creativecommons.org/licenses/by/4.0/).
