Submitted:
19 June 2023
Posted:
20 June 2023
You are already at the latest version
Abstract
Keywords:
1. Introduction
2. Materials and Methods
2.1. Participants, experimental set-up, and protocol
2.2. Data analysis
- Mann–Whitney U test (2-tails, significance level: α = 0.05) to verify the eventual presence of differences between males and females;
- Mann–Whitney U test (2-tails, significance level: α = 0.05) to verify the eventual presence of differences among the three test modalities (rFR, lFR, lLA);
- Wilcoxon test (2-tails, significance level: α = 0.05) to investigate the eventual presence of statistical differences among normal movements, visual – abrupt movements, and acoustic – abrupt movements for each modality.
- considering all participants (all);
- excluding the outliers, automatically identified as participants with acceleration RMS values exceeding 1.5 times the interquartile range above the 75th quartile or below the 25th quartile (no_o);
- considering only the participants who performed the retest after less than 45 days from the test (u_45);
- considering only the participants who performed the retest after at least 45 days from the test (o_45).
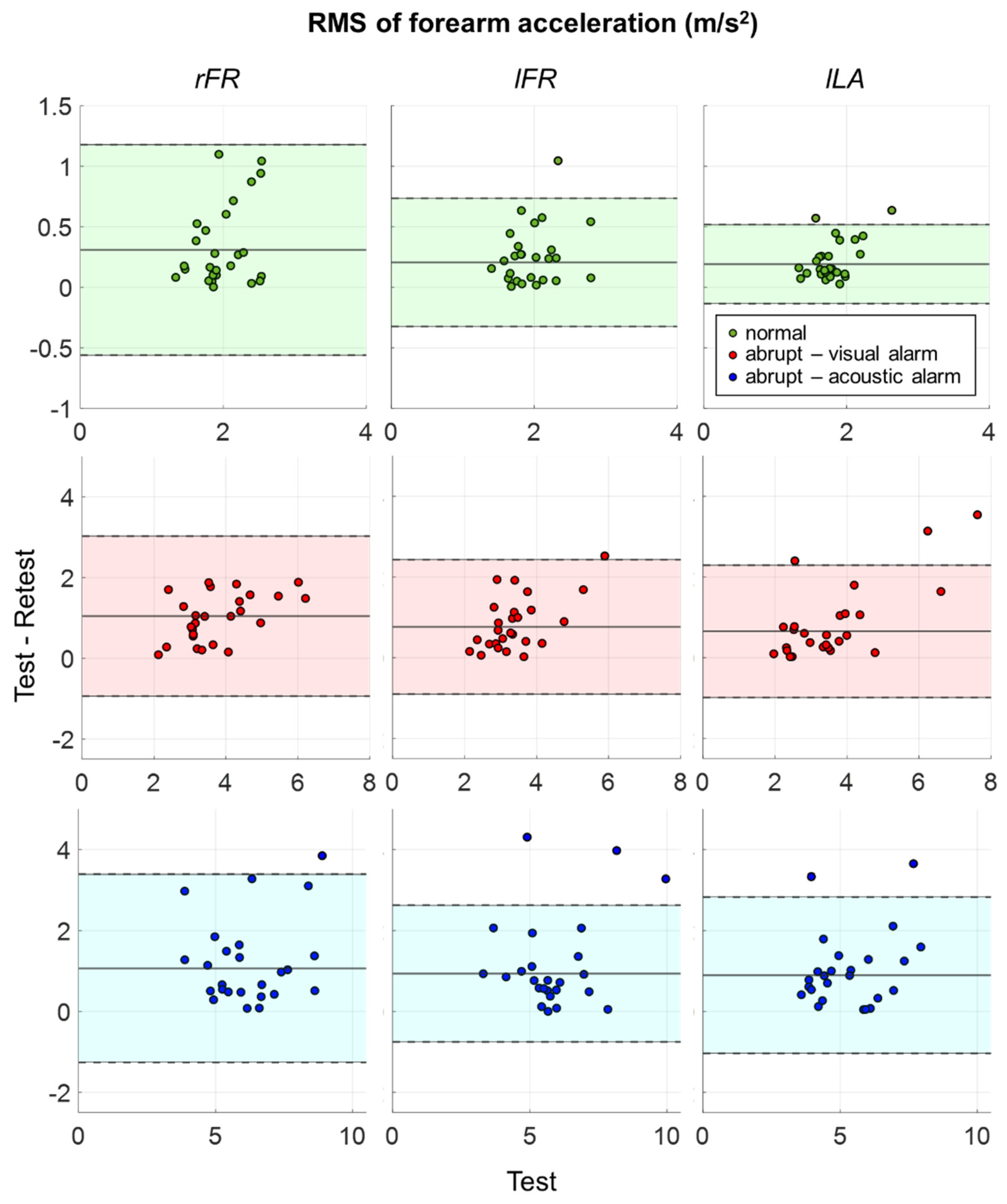
3. Results
4. Discussions
5. Conclusions
Author Contributions
Funding
Conflicts of Interest
References
- ISO/TS 15066:2016 (2016) Robots and robotic devices - Collaborative robots. Geneva.
- Digo E, Antonelli M, Cornagliotto V, Pastorelli S, Gastaldi L (2020) Collection and analysis of human upper limbs motion features for collaborative robotic applications. Robotics 9:33. [CrossRef]
- Digo E, Gastaldi L, Antonelli M, Pastorelli S, Cereatti A, Caruso M (2022) Real-time estimation of upper limbs kinematics with IMUs during typical industrial gestures. Procedia Comput Sci 200:1041–1047. [CrossRef]
- Boldo M, Bombieri N, Centomo S, De Marchi M, Demrozi F, Pravadelli G, Quaglia D, Turetta C (2022) Integrating Wearable and Camera Based Monitoring in the Digital Twin for Safety Assessment in the Industry 4.0 Era. Lecture Notes in Computer Science (including subseries Lecture Notes in Artificial Intelligence and Lecture Notes in Bioinformatics) 13704 LNCS:184–194. [CrossRef]
- De Feudis I, Buongiorno D, Grossi S, Losito G, Brunetti A, Longo N, Di Stefano G, Bevilacqua V (2022) Evaluation of Vision-Based Hand Tool Tracking Methods for Quality Assessment and Training in Human-Centered Industry 4.0. Applied Sciences 2022, Vol 12, Page 1796 12:1796. [CrossRef]
- Cohen Y, Faccio M, Galizia FG, Mora C, Pilati F (2017) Assembly system configuration through Industry 4.0 principles: the expected change in the actual paradigms. IFAC-PapersOnLine 50:14958–14963. [CrossRef]
- Meziane R, Li P, Otis MJD, Ezzaidi H, Cardou P (2014) Safer hybrid workspace using human-robot interaction while sharing production activities. ROSE 2014 - 2014 IEEE International Symposium on RObotic and SEnsors Environments, Proceedings 37–42. [CrossRef]
- Kirschner RJ, Burr L, Porzenheim M, Mayer H, Abdolshah S, Haddadin S (2021) Involuntary motion in human-robot interaction: Effect of interactive user training on the occurrence of human startle-surprise motion. ISR 2021 - 2021 IEEE International Conference on Intelligence and Safety for Robotics 28–32. [CrossRef]
- Görür OC, Rosman B, Sivrikaya F, Albayrak S (2018) Social Cobots: Anticipatory Decision-Making for Collaborative Robots Incorporating Unexpected Human Behaviors. ACM/IEEE International Conference on Human-Robot Interaction 398–406. [CrossRef]
- Rosso V, Gastaldi L, Pastorelli S (2022) Detecting Impulsive Movements to Increase Operators’ Safety in Manufacturing. Mechanisms and Machine Science 108 MMS:174–181. [CrossRef]
- Polito M, Digo E, Pastorelli S, Gastaldi L (2023) Deep Learning Technique to Identify Abrupt Movements in Human-Robot Collaboration. 73–80. [CrossRef]
- Digo E, Pastorelli S, Gastaldi L (2022) A Narrative Review on Wearable Inertial Sensors for Human Motion Tracking in Industrial Scenarios. Robotics 11:. [CrossRef]
- Añazco EV, Han SJ, Kim K, Lopez PR, Kim TS, Lee S (2021) Hand gesture recognition using single patchable six-axis inertial measurement unit via recurrent neural networks. Sensors (Switzerland) 21:1–14. [CrossRef]
- Rivera P, Valarezo E, Choi M-T, Kim T-S Recognition of Human Hand Activities Based on a Single Wrist IMU Using Recurrent Neural Networks. [CrossRef]
- Sopidis G, Haslgrübler M, Azadi B, Anzengruber-Tánase B, Ahmad A, Ferscha A, Baresch M, Baresch M 2022 Micro-activity recognition in industrial assembly process with IMU data and deep learning. [CrossRef]
- Bangaru SS, Wang C, Aghazadeh F (2020) Data quality and reliability assessment of wearable emg and IMU sensor for construction activity recognition. Sensors (Switzerland) 20:1–24. [CrossRef]
- Teufl W, Miezal M, Taetz B, Fröhlich M, Bleser G (2018) Validity, test-retest reliability and long-term stability of magnetometer free inertial sensor based 3D joint kinematics. Sensors (Switzerland) 18:. [CrossRef]
- Wilmes E, Bastiaansen BJC, de Ruiter CJ, Vegter RJK, Brink MS, Weersma H, Goedhart EA, Lemmink KAPM, Savelsbergh GJP (2023) Construct Validity and Test-Retest Reliability of Hip Load Compared With Playerload During Football-Specific Running, Kicking, and Jumping Tasks. Int J Sports Physiol Perform 18:3–10. [CrossRef]
- Henriksen M, Lund H, Moe-Nilssen R, Bliddal H, Danneskiod-Samsøe B (2004) Test-retest reliability of trunk accelerometric gait analysis. Gait Posture 19:288–297. [CrossRef]
- Weir JP (2005) QUANTIFYING TEST-RETEST RELIABILITY USING THE INTRACLASS CORRELATION COEFFICIENT AND THE SEM.
- Moe-Nilssen R (1998) Test-Retest Reliability of Trunk Accelerometry During Standing and Walking.
- Koo TK, Li MY (2016) A Guideline of Selecting and Reporting Intraclass Correlation Coefficients for Reliability Research. J Chiropr Med 15:155–163. [CrossRef]
- Shechtman O (2013) The Coefficient of Variation as an Index of Measurement Reliability. pp 39–49.
- Peppoloni L, Filippeschi A, Ruffaldi E (2014) Assessment of task ergonomics with an upper limb wearable device. In: 22nd Mediterranean Conference on Control and Automation (MED 2014). IEEE, pp 340–345.
- Giannini P, Bassani G, Avizzano CA, Filippeschi A (2020) Wearable sensor network for biomechanical overload assessment in manual material handling. Sensors (Switzerland) 20:1–29. [CrossRef]
- Yan X, Li H, Li AR, Zhang H (2017) Wearable IMU-based real-time motion warning system for construction workers’ musculoskeletal disorders prevention. Autom Constr 74:2–11. [CrossRef]
- Li J, Lu Y, Nan Y, He L, Wang X, Niu D (2018) A Study on Posture Analysis of Assembly Line Workers in a Manufacturing Industry. Advances in Intelligent Systems and Computing 820:380–386. [CrossRef]
- Al-Yacoub A, Buerkle A, Flanagan M, Ferreira P, Hubbard EM, Lohse N (2020) Effective Human-Robot Collaboration through Wearable Sensors. IEEE Symposium on Emerging Technologies and Factory Automation (ETFA 2020) 2020-Septe:651–658. [CrossRef]
- Resende A, Cerqueira S, Barbosa J, Damasio E, Pombeiro A, Silva A, Santos C (2021) Ergowear: An ambulatory, non-intrusive, and interoperable system towards a Human-Aware Human-robot Collaborative framework. In: 2021 IEEE International Conference on Autonomous Robot Systems and Competitions (ICARSC). IEEE, pp 56–61.
- Škulj G, Vrabič R, Podržaj P (2021) A Wearable IMU System for Flexible Teleoperation of a Collaborative Industrial Robot. Sensors (Switzerland) 21:5871.
- Chico A, Cruz PJ, Vásconez JP, Benalcázar ME, Álvarez R, Barona L, Valdivieso ÁL (2021) Hand Gesture Recognition and Tracking Control for a Virtual UR5 Robot Manipulator. In: 2021 IEEE Fifth Ecuador Technical Chapters Meeting (ETCM). IEEE, pp 1–6.




| ICC (3,1) | Lower limit 95% CI for ICC (3,1) |
Upper limit 95% CI for ICC (3,1) |
ICC (1,1) | Lower limit 95% CI for ICC (1,1) |
Upper limit 95% CI for ICC (1,1) |
CV (%) | ||
|---|---|---|---|---|---|---|---|---|
| rFR | all | 0.37 | -0.02 | 0.66 | 0.34 | -0.05 | 0.63 | 11.31 |
| no_o | 0.37 | -0.02 | 0.66 | 0.34 | -0.05 | 0.63 | 11.31 | |
| u45 | 0.81 | 0.51 | 0.94 | 0.82 | 0.55 | 0.94 | 5.64 | |
| o45 | -0.20 | -0.68 | 0.40 | -0.27 | -0.71 | 0.32 | 17.92 | |
| lFR | all | 0.52 | 0.17 | 0.75 | 0.52 | 0.18 | 0.75 | 9.85 |
| no_o | 0.64 | 0.33 | 0.82 | 0.65 | 0.35 | 0.83 | 8.60 | |
| u45 | 0.77 | 0.43 | 0.92 | 0.78 | 0.47 | 0.93 | 6.43 | |
| o45 | 0.09 | -0.49 | 0.61 | 0.11 | -0.46 | 0.62 | 13.83 | |
| lLA | all | 0.63 | 0.33 | 0.82 | 0.64 | 0.34 | 0.82 | 8.54 |
| no_o | 0.72 | 0.45 | 0.87 | 0.72 | 0.47 | 0.87 | 7.54 | |
| u45 | 0.75 | 0.38 | 0.91 | 0.75 | 0.39 | 0.91 | 6.50 | |
| o45 | 0.44 | -0.15 | 0.80 | 0.47 | -0.09 | 0.81 | 10.92 | |
| ICC (3,1) | Lower limit 95% CI for ICC (3,1) |
Upper limit 95% CI for ICC (3,1) |
ICC (1,1) | Lower limit 95% CI for ICC (1,1) |
Upper limit 95% CI for ICC (1,1) |
CV (%) | ||
|---|---|---|---|---|---|---|---|---|
| rFR | all | 0.34 | -0.05 | 0.64 | 0.36 | -0.02 | 0.65 | 19.08 |
| no_o | 0.34 | -0.05 | 0.64 | 0.36 | -0.02 | 0.65 | 19.08 | |
| u45 | 0.53 | 0.03 | 0.82 | 0.54 | 0.06 | 0.82 | 15.00 | |
| o45 | 0.14 | -0.45 | 0.64 | 0.18 | -0.40 | 0.66 | 23.33 | |
| lFR | all | 0.45 | 0.08 | 0.71 | 0.46 | 0.10 | 0.72 | 16.31 |
| no_o | 0.51 | 0.16 | 0.75 | 0.52 | 0.18 | 0.76 | 15.44 | |
| u45 | 0.62 | 0.15 | 0.86 | 0.64 | 0.20 | 0.87 | 12.86 | |
| o45 | 0.11 | -0.48 | 0.62 | 0.15 | -0.42 | 0.64 | 20.33 | |
| lLA | all | 0.46 | 0.09 | 0.71 | 0.43 | 0.06 | 0.70 | 16.04 |
| no_o | 0.71 | 0.43 | 0.87 | 0.68 | 0.39 | 0.85 | 12.22 | |
| u45 | 0.25 | -0.30 | 0.68 | 0.27 | -0.27 | 0.68 | 17.71 | |
| o45 | 0.77 | 0.37 | 0.93 | 0.69 | 0.25 | 0.90 | 14.08 | |
| ICC (3,1) | Lower limit 95% CI for ICC (3,1) |
Upper limit 95% CI for ICC (3,1) |
ICC (1,1) | Lower limit 95% CI for ICC (1,1) |
Upper limit 95% CI for ICC (1,1) |
CV (%) | ||
|---|---|---|---|---|---|---|---|---|
| rFR | all | 0.57 | 0.25 | 0.78 | 0.58 | 0.25 | 0.78 | 13.42 |
| no_o | 0.52 | 0.17 | 0.76 | 0.53 | 0.19 | 0.76 | 12.96 | |
| u45 | 0.62 | 0.16 | 0.86 | 0.59 | 0.12 | 0.85 | 15.64 | |
| o45 | 0.53 | -0.03 | 0.84 | 0.55 | 0.02 | 0.84 | 10.83 | |
| lFR | all | 0.50 | 0.14 | 0.74 | 0.51 | 0.16 | 0.74 | 13.65 |
| no_o | 0.78 | 0.55 | 0.90 | 0.78 | 0.71 | 0.95 | 10.34 | |
| u45 | 0.69 | 0.27 | 0.89 | 0.71 | 0.32 | 0.89 | 13.64 | |
| o45 | 0.08 | -0.50 | 0.60 | 0.11 | -0.46 | 0.62 | 13.67 | |
| lLA | all | 0.61 | 0.30 | 0.81 | 0.62 | 0.31 | 0.81 | 13.19 |
| no_o | 0.77 | 0.54 | 0.89 | 0.77 | 0.54 | 0.89 | 10.71 | |
| u45 | 0.68 | 0.26 | 0.89 | 0.70 | 0.31 | 0.89 | 14.14 | |
| o45 | 0.34 | -0.26 | 0.75 | 0.30 | -0.28 | 0.73 | 12.08 | |
Disclaimer/Publisher’s Note: The statements, opinions and data contained in all publications are solely those of the individual author(s) and contributor(s) and not of MDPI and/or the editor(s). MDPI and/or the editor(s) disclaim responsibility for any injury to people or property resulting from any ideas, methods, instructions or products referred to in the content. |
© 2023 by the authors. Licensee MDPI, Basel, Switzerland. This article is an open access article distributed under the terms and conditions of the Creative Commons Attribution (CC BY) license (http://creativecommons.org/licenses/by/4.0/).