Submitted:
19 June 2023
Posted:
19 June 2023
You are already at the latest version
Abstract
Keywords:
1. Introduction
2. Structure and working principle of the PCB stator coreless disc motor
2.1. Integrated motor system
2.2. Calculation of main parameters of the motor
3. Optimization of Motor Parameters Based on Orthogonal Experiments
4. Response Surface Experimental Design
4.1. esponse Surface Algorithm
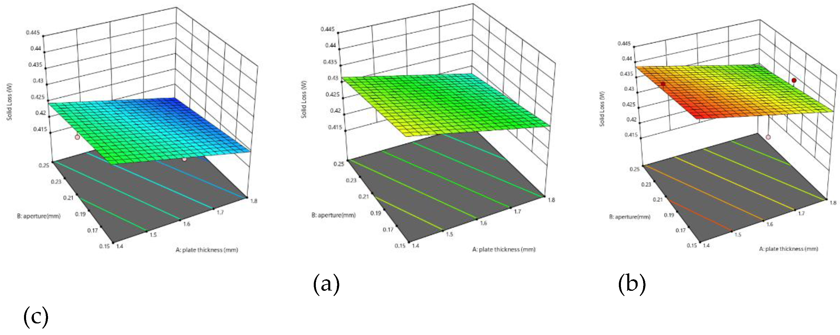
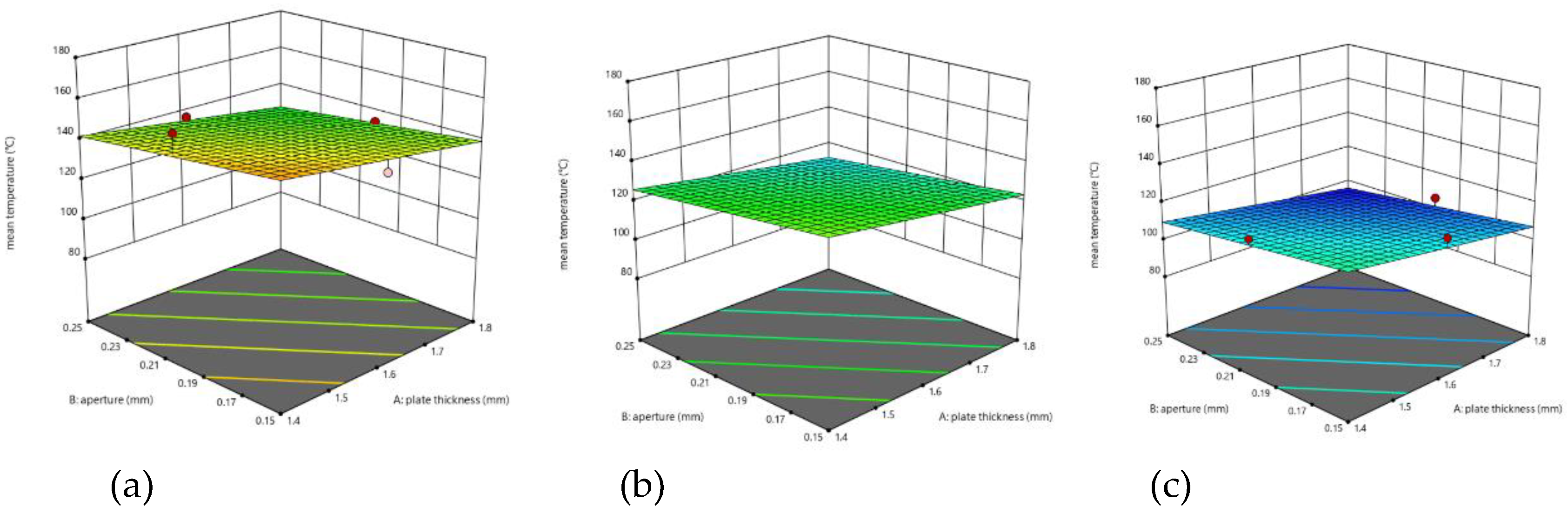
4.2. Selection of optimization objectives and factors and experimental results
5. Comparative analysis before and after optimization
6. Prototype experiment
7. Summary
References
- Sultan, H.M. Design and Modeling of a Robust Sensorless Control System for a Linear Permanent Magnet Synchronous Motor. Electronics 2021, 10. [Google Scholar] [CrossRef]
- Qiu Ruilin, Hua Qingsong, Zhang Hongxin, et al. Optimization design of permanent magnet synchronous motor rotor based on Taguchi method. Journal of Qingdao University (Engineering Technology Edition) 2020, 35, 57–61. [CrossRef]
- Wang Xiaoyuan, Huang Xudong, Li Tianyuan. Optimization design of PCB stator disc permanent magnet motor winding under high-frequency power supply conditions. Journal of China Electrical Engineering 2021, 41, 1937–1946.
- Lu Y, Li J, Qu R, et al. Electromagnetic Force and Vibration Analysis of Permanent-Magnet-Assisted Synchronous Reluctance Machines. IEEE Transactions on Industry Applications 2018, 1-1. [CrossRef]
- Zhang, W.; Xu, Y.; Zhou, G. Research on a Novel Transverse Flux Permanent Magnet Motor With Hybrid Stator Core and Disk-Type Rotor for Industrial Robot Applications. IEEE Transactions on Industrial Electronics 2021, 68-11. [Google Scholar] [CrossRef]
- Zhang C, Chen Z, Mei Q, et al. Application of Particle Swarm Optimization Combined With Response Surface Methodology to Transverse Flux Permanent Magnet Motor Optimization. IEEE Transactions on Magnetics 2017, 53, 1–7. [Google Scholar] [CrossRef]
- Abdelrahem M, Hackl C, Kennel R. Robust Predictive Control Scheme for Permanent-Magnet Synchronous Generators Based Modern Wind Turbines. Electronics 2021, 10, 1596. [Google Scholar] [CrossRef]
- Tang Renyuan. Theory and Design of Modern Permanent Magnet Motors. Mechanical Industry Press, 2016.
- Ma Y , Ching T W , Fu W N , et al. Multi-Objective Optimization of a Direct-Drive Dual-Structure Permanent Magnet Machine. IEEE Transactions on Magnetics 2019. [CrossRef]
- Silva A M, Antunes C H, Mendes A, et al. On Phase Shifting and Diversified Coil-Pitch for Enhanced Multiobjective Winding Design Optimization. IEEE Transactions on Energy Conversion 2020, 99, 1–1. [Google Scholar] [CrossRef]
- Farhan A, Johnson M, Hanson K, et al. Design of an ultra-high speed bearingless motor for significant rated power[C]//Proceedings of the IEEE Energy Conversion Congress and Exposition. Detroit, USA:IEEE,2020.
- Liu Fugui, Wang Pengfei, Lei Yu. Structural Optimization of Permanent Magnet Vernier Motors Based on Taguchi Method. Experimental Technology and Management 2020, 37, 96–100. [Google Scholar]
- Zhou X, Zhu X, Wu W, et al. Multi-objective optimization design of variable-saliency-ratio PM motor considering driving cycles. IEEE Transactions on Industrial Electronics 2020, 68, 6516–6526. [Google Scholar] [CrossRef]
- Du Xiaobin, Deng Jianhua. Optimization of Air Gap Magnetic Density Waveform of Permanent Magnet Synchronous Motor Based on GPR-PSO Model. Explosion proof Motor 2017, 52, 20. [Google Scholar]
- Cao Yongjuan, Huang Yunkai, Jin Long, et al. Design and analysis of axial magnetic field coreless permanent magnet motors with magnetic pole combination. Chinese Journal of Electrical Engineering 2014, 34, 903–909. [Google Scholar]
- Gao, F.Y. , Qi, X.D., Li, X.F., Tao, C.X., and Gao, P. Analytical calculation and optimization analysis of electromagnetic performance of unequal-width unequal-thickness Halbach partially segmented permanent magnet synchronous motor. Journal of Electrotechnology 2022, 37, 1398–1414. [Google Scholar] [CrossRef]
- Wang Xiaolei. Design and Analysis of a New Type of Coreless Armature Disc Motor; China Shipbuilding Research Institute: Beijing, China, 2012. [Google Scholar]
- Du Xiaobin, Huang Kaisheng, Tan Gengrui, Huang Xin. Multi-objective optimization of permanent magnet motor torque based on response surface method. Micro Special Motor 2019, 47, 20–23. [Google Scholar] [CrossRef]
- Yang X, Ren Zhouyang, Guo Bing, Ding Yan. Probabilistic optimal energy flow calculation method for electricity-gas interconnection system based on stochastic response surface. New Technology of Electrical Energy 2021, 40, 1–9. [Google Scholar]
- Liu G, Wang Y, Chen Q, et al. Multi-Objective Deterministic and Robust Optimization Design of a new Spoke-Type Permanent Magnet Machine for the Improvement of Torque Performance. IEEE Transactions on Industrial Electronics 2020, 99, 1–1. [Google Scholar] [CrossRef]









| Parameter | Numerical value |
| Rated power/w | 500 |
| Rated speed/r/min | 750 |
| Outer diameter of stator/mm | 100 |
| Stator bore/mm | 70 |
| Number of PCB coils per layer | 3 |
| Coil conductor thickness/mm | 0.105 |
| Width of coil conductor/mm | 0.70 |
| Insulation distance between conductors/mm | 0.20 |
| Number of coil conductor layers | 12 |
| PCB Number of sections | 1 |
| Initial design factor | Horizontal | Numerical value |
| Number of rotor poles | 1 | 2 |
| 2 | 4 | |
| 3 | 6 | |
| 4 | 8 | |
| Main/auxiliary magnetic pole size ratio | 1 | 0.5 |
| 2 | 1 | |
| 3 | 2 | |
| 4 | 3 | |
| Permanent magnet thickness /mm | 1 | 3 |
| 2 | 4 | |
| 3 | 5 | |
| 4 | 6 | |
| Air gap length /mm | 1 | 0.5 |
| 2 | 0.8 | |
| 3 | 1 | |
| 4 | 1.2 |
| Divisor | Horizontal | |||
| A | 1 | 93.3 | 0.43 | 38.0 |
| 2 | 42.8 | 0.56 | 42.4 | |
| 3 | 74.4 | 0.60 | 35.6 | |
| 4 | 81.7 | 0.66 | 28.2 | |
| B | 1 | 48.1 | 0.56 | 54.5 |
| 2 | 77.9 | 0.58 | 42.2 | |
| 3 | 111.7 | 0.57 | 25.3 | |
| 4 | 54.3 | 0.54 | 22.1 | |
| C | 1 | 100.0 | 0.53 | 26.5 |
| 2 | 65.2 | 0.53 | 39.2 | |
| 3 | 92.1 | 0.60 | 39.9 | |
| 4 | 34.8 | 0.61 | 38.6 | |
| D | 1 | 58.4 | 0.61 | 60.3 |
| 2 | 80.7 | 0.55 | 39.5 | |
| 3 | 90.0 | 0.52 | 36.8 | |
| 4 | 63.0 | 0.58 | 38.3 |
| Order number | Plate thickness (mm) |
Aperture (mm) |
Unequal width (mm) |
A | B | C | Eddy current loss (W) |
Average temperature (℃) |
Torq-ue (mN·m) |
| 1 | 1.4 | 0.15 | 0.15 | -1 | -1 | 0 | 0.436 | 127.1 | 161 |
| 2 | 1.8 | 0.15 | 0.15 | 1 | -1 | 0 | 0.428 | 130.0 | 112 |
| 3 | 1.4 | 0.25 | 0.15 | -1 | 1 | 0 | 0.432 | 129.7 | 164 |
| 4 | 1.8 | 0.25 | 0.15 | 1 | 1 | 0 | 0.423 | 107.4 | 117 |
| 5 | 1.4 | 0.20 | 0.10 | -1 | 0 | -1 | 0.425 | 158.4 | 192 |
| 6 | 1.8 | 0.20 | 0.10 | 1 | 0 | -1 | 0.415 | 134.4 | 136 |
| 7 | 1.4 | 0.20 | 0.20 | -1 | 0 | 1 | 0.443 | 118.6 | 177 |
| 8 | 1.8 | 0.20 | 0.20 | 1 | 0 | 1 | 0.434 | 106.3 | 129 |
| 9 | 1.6 | 0.15 | 0.10 | 0 | -1 | -1 | 0.424 | 140.4 | 181 |
| 10 | 1.6 | 0.25 | 0.10 | 0 | 1 | -1 | 0.418 | 136.8 | 184 |
| 11 | 1.6 | 0.15 | 0.20 | 0 | -1 | 1 | 0.432 | 119.2 | 176 |
| 12 | 1.6 | 0.25 | 0.20 | 0 | 1 | 1 | 0.430 | 97.2 | 179 |
| 13 | 1.4 | 0.15 | 0.10 | -1 | -1 | -1 | 0.429 | 162.7 | 182 |
| 14 | 1.6 | 0.20 | 0.15 | 0 | 0 | 0 | 0.434 | 130.9 | 160 |
| 15 | 1.8 | 0.25 | 0.20 | 1 | 1 | 1 | 0.433 | 102.4 | 131 |
Disclaimer/Publisher’s Note: The statements, opinions and data contained in all publications are solely those of the individual author(s) and contributor(s) and not of MDPI and/or the editor(s). MDPI and/or the editor(s) disclaim responsibility for any injury to people or property resulting from any ideas, methods, instructions or products referred to in the content. |
© 2023 by the authors. Licensee MDPI, Basel, Switzerland. This article is an open access article distributed under the terms and conditions of the Creative Commons Attribution (CC BY) license (http://creativecommons.org/licenses/by/4.0/).