Preprint
Article

This version is not peer-reviewed.

Power External Transmission Strategy for Regional Power Grid Considering Internal Flexibility Supply and Demand Balance

A peer-reviewed article of this preprint also exists.

Submitted:

16 June 2023

Posted:

19 June 2023

You are already at the latest version

Abstract
This paper provides an optimization strategy for flexible operation at the system level, so as to guide the real-time flexible ramping of the power grid. Firstly, the concept of regional power grid flexibility was clarified, and the ramping factor is proposed as a flexibility metric. On this basis, taking the output priority of each node as the objective function and considering constraints such as line flow, power balance, and system flexibility, a mathematical model for regional power grid transmitting flexible power externally is proposed. Compare with the traditional models, this model focuses more on flexibility rather than economy. The case analysis based on the improved IEEE 30-Bus System verifies the feasibility and effectiveness of the proposed strategy and its advantages over the traditional models.
Keywords: 
;  ;  ;  ;  ;  

1. Introduction

In order to solve the increasingly serious energy crisis and environmental problems [1], the concept of Carbon Neutrality is gaining momentum in recent years [2]. With the proportion of its power generation rising gradually, the renewable energy will become the main resources to generate electricity in the future power system. However, when supply becomes more variable and less certain, as with some renewable sources of electricity like wind and solar PV that fluctuate with the weather [3], power systems is exposed to the challenge of the imbalance of production and consumption of electricity. In order to cope with this challenge, the system is required to have the ability to react to a sudden change and accommodate new status within acceptable time period and cost [4]. In this background, International Energy Agency (IEA) released a special report in 2008, and put forward the concept of “flexibility of power system”, and emphasis on increasing the system’s ability to cope with power fluctuations through enhancing the flexibility [5].
Usually the power system flexibility is thought including the node flexibility and the grid transmission flexibility [6]. Node flexibility refers to the power ramping ability of the flexible resources at each node which is widely distributed in the power system [7]. The node flexibility forms in situ balance with the local net load fluctuation on the one hand; it also provides flexibility support and supply to the external system in the unit of a node at the same time, making the node a basic source unit of the power system flexibility [8].
However, node flexibility and grid transmission flexibility can only solve the problem of allocating flexible resources output within the power grid, and cannot solve the problem of regional power grids as a whole transmitting (or absorbing) flexible power externally. In this regard, scholars mainly characterize the power ramping ability of regional power grids by solving the feasible region of the transmission power of interconnection lines. Reference [9] illuminates the transmission power of the power grid by calculating the available transmission capacity using the grid flow method; Reference [10] iteratively updates the power feasible region of the interconnection line based on the searched vertices; Reference [11] selected variables such as transmission power of interconnection lines as planning parameters to characterize the feasible region of interconnection line power.
The above method focuses on the transmission lines between regional power grids, essentially still using the research ideas of node flexibility and grid transmission flexibility, and cannot calculate the distribution of internal power when the regional power grid exchanges flexibility externally. In response to this issue, this paper defines the flexibility of regional power grids and proposes a flexible power transmission strategy based on ramping factor for regional power grids. This strategy can not only calculate the flexible resources injected at each node in the regional power grid as well as the flexible power transmitting through each line, but also guide the power transmission between different levels of power grids.

2. Concept of Flexibility

Scholars at home and abroad have conducted extensive research on the concept of power system flexibility and formed a preliminary system. This chapter will propose the concept of regional power grid flexibility in this system and provide a clear flexibility metric.

2.1. Definition of Flexibility

Nowadays, the importance of flexibility has been fully recognized, but this concept has not yet been clearly defined. IEA believes that flexibility is the ability of the power system to maintain reliability by adjusting generation or load in the face of large disturbances, i.e., the ability to quickly respond to foreseeable and unforeseeable events [3]. Midcentral Independent System Operator (MISO) defines flexibility as the ability to meet the system’s potential ramping needs by dispatching flexible resources during real-time operation [12]. The North American Electric Reliability Corporation (NERC) defines flexibility as the ability of power system flexible resources to meet the changes of net load, where the net load refers to the total load minus the output of variable sources (wind, photovoltaic, etc.) [13]. The definition of flexibility in academia [14,15,16,17], although slightly different, is basically consistent, i.e., the ability of the power system to respond to power changes.
Essentially, the flexibility of the power system originates from the requirement of real-time balance between power supply and demand, reflecting the system's ability to maintain supply-demand balance when the supply-demand relationship changes [18]. Based on the definition of NERC and combining the opinions of many scholars in the academic community [14,15,16,17], this paper proposes the following definition: the flexibility is the ability of various components of the power system (power sources, loads, local grids, etc.) or the power system itself to meet changes of net loads and respond to power regulation needs. Among them, flexible resources mainly include generator units with flexible ramping capabilities on the generation side (thermal power units, hydroelectric units, nuclear power units, pumped storage power stations, etc.) and interruptible/ramp-able loads on the load side (air conditionings, water heaters, etc.); and net load refers to the total load minus the output of variable power sources (wind, photovoltaic, etc.).
For power systems with extremely wide coverage, such as State Grid and Southern Power Grid in China, when doing research on flexibility, it is not only necessary to consider the node flexibility and the grid transmission flexibility, but also to consider the flexibility of a certain sub grid within the power system itself. Therefore, this paper proposes the concept of regional power grid flexibility and defines it as: the ability of the entire regional power grid to meet its own real-time balance of power supply and demand, as well as the ability to transmit flexible power externally, where flexible power is the output variation of flexible resources during the flexible ramping process.

2.2. Metric of Flexibility

Before conducting research on flexible ramping, flexibility metric must be clarified. This paper uses the ramping factor as a flexibility metric, and its acquisition method is as follows.

2.2.1. Fluctuation Amplitude of Net Load (FANL)

As mentioned in Section 2.1, net load refers to the total load minus the output of variable power sources such as wind and photovoltaic. For any node i, within a ramping period T, set the maximum possible increase of net load (namely “up fluctuation amplitude of net load” at node i) as F A N L i U , and the maximum possible decrease (namely “down fluctuation amplitude of net load” at node i) as F A N L i D . Similarly for a power grid, within a ramping period T, set the up fluctuation amplitude of net load of that grid be F A N L U , and the down fluctuation amplitude of net load be F A N L D .
F A N L i U and F A N L i D can be obtained by the following method: at time scale T, the net load forecasting values sequence of node i is { P i net ( n T ) | n N } , and the first-order difference operation on it yields the net load fluctuation power sequence { P i , n net | P i net = P i net ( ( n + 1 ) T ) P i net ( n T ) , n N } , and the maximum value of this sequence is the FANL at node i:
{ F A N L i U = max { P i , n net | P i net = P i net ( ( n + 1 ) T ) P i net ( n T ) , n N } F A N L i D = min { P i , n net | P i net = P i net ( ( n + 1 ) T ) P i net ( n T ) , n N }
Similarly, F A N L U and F A N L D can also be obtained from the following equation:
{ F A N L U = max { P i , n net | P i net = P i net ( ( n + 1 ) T ) P i net ( n T ) , n N } F A N L D = min { P i , n net | P i net = P i net ( ( n + 1 ) T ) P i net ( n T ) , n N }

2.2.2. Ramping Capability (RC)

When the net load fluctuates, the output of flexible resources at node i will ramp to maintain the system power stability according to changes in power supply and demand. Let the maximum power that can be ramped upwards at node i during the period T (namely “up ramping capability” at node i) be R C i U , and the maximum power that can be ramped downwards (namely “down ramping capability” at node i) be R C i D , than R C i U and R C i D can be obtained by the following equation:
{ R C i U = k ( P i k , g , max P i k , g ) R C i D = k ( P i k , g P i k , g , min )
Where: Pik,g is the output power of the k-th flexible resource at node i before flexible ramping; Pik,g,min and Pik,g,max are respectively the upper and lower limits of the flexible resource output power.
Similarly, as for a power grid, let the up ramping capacity of the grid during the period T be R C U , and the down ramping capacity be R C D , than R C U and R C D can be obtained by the following equation:
{ R C U = i k ( P i k , g , max P i k , g ) R C D = i k ( P i k , g P i k , g , min )
From the above definition, it can be seen that real-time flexible ramping of the power grid is the process of consuming RC. After one time’s ramping, some nodes still have a certain amount of RC, which we call the “remaining ramping capability”. Similar to Equation (4), the remaining RC of the entire grid is the sum of that of each node.

2.2.3. Ramping Factor (RF)

Based on the above definitions, this paper defines the ratio of RC to FANL as the “Ramping Factor” (RF). The RF of node i is:
{ R F i U = R C i U F A N L i U R F i D = R C i D F A N L i D
Where: R F i U is the “up ramping factor of node i” and R F i D the “down ramping factor of node i”.
In a power system, conventional nodes may be connected to power sources or loads. If the subordinate grid is equivalent to a power source or a load, then the entire subordinate grid can also be considered as one node, and we call this node a “generalized node”. It is not difficult to see that as the research object, the local grid can also be regarded as a generalized node of the superior grid. We define the ramping factor of this generalized node in the superior grid as the “ramping factor of grid”, and the ramping factor of the local grid is:
{ R F U = R C U F A N L U R F D = R C D F A N L D
Where: R F U is the “up ramping factor of grid” and R F D is the “down ramping factor of grid”.
The ramping factor is the flexibility metric. Obviously, the larger the ramping factor, the more abundant the flexibility of the node or system. For ease of understanding, Figure 1 shows the relationship among FANL, RC, and RF.

3. Power Transmission Strategy for Regional Power Grids

The previous chapter provided the flexibility metric of a power grid, namely the ramping factor. Based on this metric, this chapter will propose a specific mathematical model to guide the flexible ramping of the power grid itself and its transmitting externally flexible power.

3.1. Objective Function

During system operation, if there is a shortage of power supply from the superior grid, requiring the local grid to transmit externally additional power of ΔP (namely the flexible power mentioned in Section 2.1) within time T, then it is necessary to develop a transmission strategy for flexible power based on the RF. Let's take the case of up ramping as an example, i.e., set the ΔP is greater than 0.
First of all, we number all nodes according to the up RF from small to large, i.e., node i satisfies R F i R F i + 1 , and the set of all nodes is { 1 , 2 , 3 , M 1 , M } ; and there is no concept of RF in the connection node between the local grid and the superior grid, and thus its serial number is set to M+1. According to the analysis in the previous chapter, the larger the RF, the more flexible the node is. Therefore, we determine the priority of flexible resources participation in up ramping for each node as follows: node M has the highest priority in up ramping, and if the flexible power provided externally by the local grid is insufficient ΔP, then node M-1 continues to participate in up ramping, and so on.
In order to ensure that nodes with large up RFs inject as much flexible power as possible, we should minimize the total number of nodes participating in flexible ramping. Let nodes from number m to number M participate in flexible ramping, i.e., the set of ramping nodes is D = { m , m + 1 , M 1 , M } , so the objective function can be set as:
min ( M m + 1 )

3.2. Constraint Conditions

Unlike traditional constraints that focus on flexible resources, the constraints in this section focus on nodes. From the definition of RF in the previous chapter, it can be seen that node RC must be obtained before calculating node RF, and the process of calculating node RC (Equations (8) (9)) already includes constraints on the output power of flexibility resources. Therefore, the constraint conditions in this section no longer consider the node power constraints such as generators, ramp-able loads, energy storages, et al.
Numbered lists can be added as follows:
  • Line flow constraints. According to the principle of power system secure dispatching, after flexible ramping at each node, the power flow of each line (namely the power flowing through the line, in order to distinguish it from the node power P, this paper uses F to represent the power flow) should keep in the limited range. The mathematical expression for this constraint is:
    | F j | F j , max , j = 1 , 2 ,
    Where: Fj is the power flowing through line j, which can be calculated from power flow calculations, and Fj,max is the rated transmission capacity of line j. Because this paper focus on the transmission of active power, Fj can also be calculated from the DC power flow model [26]. Let matrix T be the power transmission distribution factor (PTDF) in the DC power flow model, and its calculation method is shown in Appendix A, then:
    F j = i T j i ( P i + Δ P i )
    Where: Tji is the element in the j-th row and i-th column of matrix T, namely node i distribution factor on line j; Pi is the injection power at node i before the flexible ramping, ΔPi is the additional power generated at node i during the flexible ramping.
  • Power balance constraints. The total demand for flexibility should be equal to the total supply of that, i.e., the flexible power supplied by the local grid ΔP is equal to the sum of the increased injection power at each node, i.e.:
    i Δ P i = Δ P
  • Flexibility constraints. The increased injection power at each node should not exceed the range allowed by ramping capacity, i.e.:
    R F i D F A N L i D Δ P i R F i U F A N L i U
  • Other constraints. The nodes involved in flexible ramping should be elements of the set D, i.e.:
    i { m , m + 1 , M 1 , M }

3.3. Mathematical model

In summary, the mathematical model for regional power grid supplying flexible power externally is:
arg min f ( m ) = M m + 1 s . t . { | i T j i ( P i + Δ P i ) | F j , max i Δ P i = Δ P R F i D F A N L i D Δ P i R F i U F A N L i U i { m , m + 1 , M 1 , M }
Where: ΔPi is the quantity to be solved, and the remaining quantities are known.
If ΔP is less than 0, it means that the superior grid requires additional power consumption from the local power grid, and the injection power at each node needs to be decreased, which is the case of down ramping. At this point, it is only necessary to renumber all nodes from small to large according to the down RF, and the rest of the derivation process is the same as in the case of up ramping. Then, the mathematical model for regional power grid absorbing externally flexible power can be obtained, which is just the same as Equation (13).

4. Case Analysis of Flexible Operation

In this section, the IEEE 30-Bus System [18] is taken as an example to study the specific application of RF. The circuit diagram of this system is shown in Figure 2.

4.1. Improved IEEE 30-Bus System

The classic IEEE 30-Bus System has two voltage levels, 132 kV and 33 kV, respectively. According to the theory in Section 2.2.3, this system is improved to some extent. We treat the 132kV part of the classical system as the local grid and the 33kV part as the subordinate grid. The topology of the improved system is shown in Figure 3. The node data and branch data of the improved system are the same as those of the classic system, as shown in Appendix B.
The differences between the improved system and the classical system include three main aspects:
  • In the classic system, there are three connecting lines between the 33kV part and the 132kV part; and in the improved system, these three lines are regarded as equipotential points, and the transformer parameters are all converted to the high-voltage side. Therefore, the impedances of the blue line in Figure 3 are all 0.
  • In the improved system, we treat node 8 as a connection node. From Table A1, we know that the power on the bus of node 8 has reached the maximum output during normal operation, so the difference between the output and load at node 8 (5MW) can be equated to the fixed power delivered from the local grid to the superior grid.
  • In the improved system, both the power and the load show a certain degree of fluctuation and possess a certain degree of ramping capability. The RF and FANL of each node in the local grid are shown in Table 1. According to the characteristics of various flexible resources, the power sources can up ramp as well as down ramp the flexible power, while the load can only down ramp. Therefore, the up RFs of the nodes with loads but no power sources are 0, and both the up RFs and down RFs of the nodes without power sources or loads are 0.
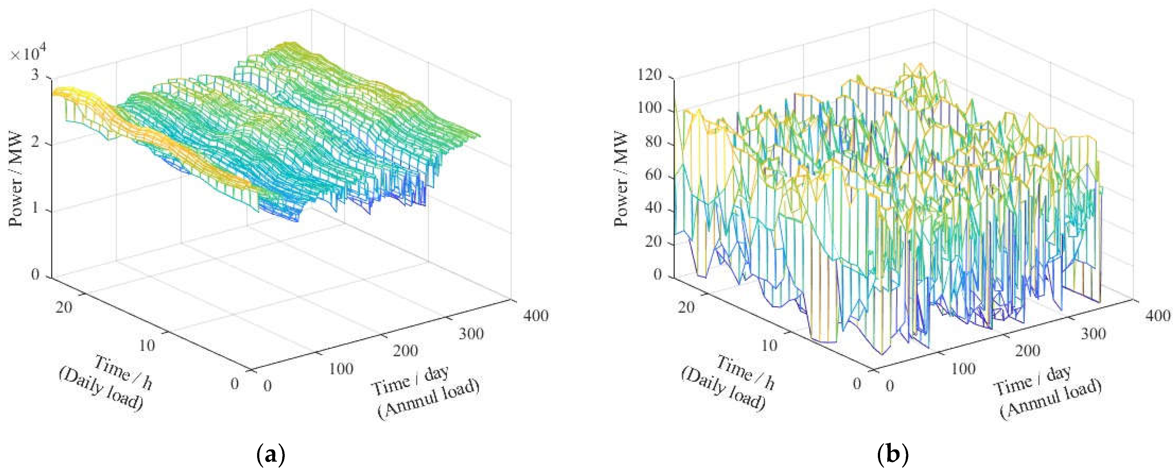
The data in Table 1 is borrowed from the load fluctuation of a provincial power grid in Northwest China. In this grid, there are more than 200 nodes of 220kV and above voltage levels. The annual load curve of this grid is shown in Figure 4a, and the annual output curve of a typical wind farm in this province is shown in Figure 4b. After first-order differential calculations performed on the annual load of the whole grid and the annual output of the wind farm, we can find out by (4) that the up FANL of the total load of the grid is 160.97MW and the down FANL is 265.24MW; the up FANL of the wind farm is 6.62MW and the down FANL is 7.34MW. According to these data, it can be inferred that the FANL of a single 220kV node of the power grid is in the range of 0~20kW, and the data in Table 1 is set on this basis.

4.2. Flexible power distribution of the local power grid

This subsection will solve the mathematical model for regional power grid transmitting externally flexible power proposed in Section 3 based on the above improved IEEE 30-Bus System. During operation, the superior grid requires the improved IEEE 30-Bus System to increase ΔPP > 0) flexible power supplied externally through node 8 within 5 minutes, at this point, a dispatching plan for flexible resources must be developed based on the up RF, and the specific process is as follows:
Firstly, each node is renumbered from small to large according to the up RF in Table 1 (connection node is listed at the bottom), and the new sequence number is shown in Table 2.
Then, each parameter is determined in the mathematical model for regional power grid supplying flexible power externally. The calculation process of the PTDF matrix is shown in Appendix A. The data from Table 1, Table 2, Table A1 and Table A2, as well as the elements in the PTDF matrix, are all substituted into Equation (13) to obtain the mathematical model to be solved in this case, which we call Model 1.
Finally, Model 1 is solved based on MATLAB software platform. Set the values of ΔP to 10MW, 20MW, 30MW, 40MW, 50MW, 60MW, and 70MW respectively, and we can obtain the additional power generated at each node as shown in Figure 5.
From Figure 5, it can be seen that when the power shortage is 10W, only node 9 can participate in flexible ramping to meet the flexibility requirement; when the power shortage is 20MW, the participation of nodes 8 and 9 in flexible ramping can meet the flexibility requirements; and when the power shortage is equal to or greater than 30MW, nodes 7, 8, and 9 must participate in flexible ramping simultaneously to meet the flexibility requirements.

4.3. Comparation with Traditional method

Traditional mathematical models usually take economy as the objective functions when guiding system flexible ramping, while the mathematical model proposed in this paper takes flexibility as the objective function. This section will compare the advantages and disadvantages of these two mathematical models.
Similar to the previous section, after completing node renumbering and parameter calculation, we obtain a traditional mathematical model that considers flexibility constraints, which is:
arg min f ( Δ P i ) = j R j | i T j i ( P i + Δ P i ) | 2 s . t . { | i T j i ( P i + Δ P i ) | F j , max i Δ P i = Δ P
Equation (14) is called Model 2. Based on MATLAB, the additional power generated at each node when ΔP takes different values is obtained as shown in Figure 6.
In Figure 6, there are additional powers generated at some nodes negative, which means that when the superior grid requires the local grid to increase external transmission power, in order to reduce local power losses, the injection power at some nodes not only does not increase but also decreases. This will inevitably result in a considerable waste of flexible power.
According to the definition of remaining RC in subsection 2.2, the remaining ramping capability of entire grid in this chapter can be obtained by the following equation:
{ R R C U = i ( R F i U F A N L i U Δ P i ) , Δ P i > 0 R R C D = i ( R F i D F A N L i D + Δ P i ) , Δ P i < 0
Where: RRCU and RRCD is the remaining up RC and the remaining down RC of the local grid.
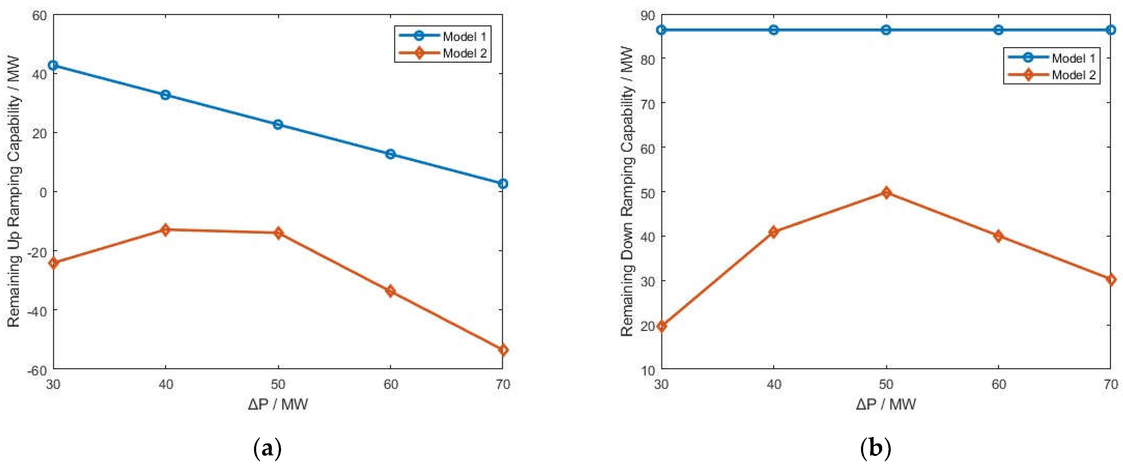
Substituting the data from Figure 5 and Figure 6 into Equation (15), the remaining RC under different operating conditions can be calculated, as shown in Figure 7.
In the actual flexible ramping process, both the remaining up RC and remaining down RC can only be greater than or equal to 0, i.e., the dispatching schemes with remaining RC less than 0 in the calculation results are actually not feasible. From Figure 8, it can be seen that the calculation results of Model 1 can meet the requirement of remaining RC greater than 0 under any operating condition, i.e., this model is applicable to all flexibility demands mentioned in this chapter; When ΔP = 30MW, the remaining up RC in the calculation results of Model 2 is less than 0, so the mathematical model cannot find a feasible flexible power transmission scheme.
Furthermore, no matter what value ΔP is taken, the curve corresponding to Model 1 is always no lower than Model 2, which means that regardless of how much power the superior grid requires the local grid to transmit externally, the operation scheme calculated using Model 1 can always save as much flexible power as possible for the local grid so as to cope with the next flexible ramping.

5. Conclusions

This paper proposes the concept of regional power grid flexibility and its evaluation index RF, and based on this, proposes a flexible power transmission strategy for regional power grids to guide the flexible operation of power systems. The main conclusions are as follows:
  • Regional power grid flexibility means the ability of the entire regional power grid to meet the real-time balance of its own power supply and demand, as well as the ability to transmit flexible power externally, where the flexible power means the change of flexible resource output power during the flexible ramping process;
  • Ramping factor can evaluate both the flexibility of each node and that of the entire regional power grid;
  • The proposed power external transmission strategy can coordinate the flexible resource output at various internal nodes and the flexible power transmission at various internal lines when the local grid exchanges flexibility externally.
  • Compare with the traditional model, the proposed mathematical model can save as much flexible power as possible for the local grid so as to cope with the next flexible ramping.

Author Contributions

Conceptualization, Yucan Zhao; methodology, Sile Hu; investigation, Xiangwei Guo; data curation, Zhenmin Zhang; writing—review and editing, Linfeng Cao; supervision, Wenbing Cai; project administration, Jiaqiang Yang. All authors have read and agreed to the published version of the manuscript.

Funding

This research was funded by Inner Mongolia Power (Group) Co., Ltd. Science and Technology Project, grant number 2022-7.

Conflicts of Interest

The authors declare no conflict of interest.

Appendix A

This part will provide a calculation method for the distribution factor of DC power flow. First, ignore the branch resistance and write the node susceptance matrix of the grid B = [ B i i ] ( M + 1 ) × ( M + 1 ) , where M+1 is the total number of nodes, and the node number M+1 is the connection node. Negate all elements in B and delete the relevant terms of the connection node to obtain the matrix B ^ :
B ^ = [ B i i ] M × M , B i i = { 1 X i i , i i i = 1 M + 1 1 X i i , i = i
Where: X i i ' is the reactance of the branch between arbitrary node i and arbitrary node i .
Then write out the node-branch incidence matrix C = [ C j i ] L × M , where L is the total number of branches. Define matrix A as:
A = [ A j i ] L × I , A j i = { 1 X j i , C j i = 1 0 , C j i = 0 1 X j i , C j i = 1
Finally, the PTDF matrix T is obtained:
T = A ( B ^ 1 0 0 0 ) = [ T j i ] L × ( M + 1 )
The element Tji in matrix T is the distribution factor of the DC power flow.

Appendix B

This part will provide the data of the improved IEEE 30-Bus System, as follows:
Table A1. Data of Node (SB=100MVA).
Table A1. Data of Node (SB=100MVA).
Voltage level Bus No. Generator active power Active load
Minimum Maximum Normal operation
33kV 9
10 0.058
11 0.10 0.30 0.1793
12 0.112
13 0.12 0.40 0.1691
14 0.062
15 0.082
16 0.035
17 0.09
18 0.032
19 0.095
20 0.022
21 0.175
22
23 0.032
24 0.087
25
26 0.035
27
29 0.024
30 0.106
132 i ^ 0.22 0.70 0.3484 1.047
1 0.50 2.00 1.3853
2 0.20 0.80 0.5756 0.217
3 0.024
4 0.076
5 0.15 0.50 0.2456 0.942
6
7 0.228
8 0.10 0.35 0.35 0.30
28
Whole grid
Note: The data of node i ^ and the RF of the local grid are calculated based on Figure 2 and Equation (9) in the main text.
Table A2. Data of Branch (SB=100MVA)
Table A2. Data of Branch (SB=100MVA)
Bus No’s Branch
resistance
Branch
reactance
Half susceptance of charging capacitor Rated power
1-2 0.0192 0.0575 0.0264 1.3
1-3 0.0452 0.1852 0.0204 1.3
2-4 0.0570 0.1737 0.0184 0.65
3-4 0.0132 0.0379 0.0042 1.3
2-5 0.0472 0.1983 0.0209 1.3
2-6 0.0581 0.1763 0.0187 0.65
4-6 0.0119 0.0414 0.0045 0.9
5-7 0.0460 0.1160 0.0102 0.7
6-7 0.0267 0.0820 0.0085 1.3
6-8 0.0120 0.0420 0.0045 0.32
9-11 0 0.2080 0 0.65
9-10 0 0.1100 0 0.65
12-13 0 0.1400 0 0.65
12-14 0.1231 0.2559 0 0.32
12-15 0.0662 0.1304 0 0.32
14-15 0.2210 0.1997 0 0.16
16-17 0.0824 0.1932 0 0.16
15-18 0.1070 0.2185 0 0.16
18-19 0.0639 0.1292 0 0.16
19-20 0.0340 0.0680 0 0.32
10-20 0.0936 0.2090 0 0.32
10-17 0.0324 0.0845 0 0.32
10-21 0.0348 0.0749 0 0.32
10-22 0.0727 0.1499 0 0.32
21-22 0.0116 0.0236 0 0.32
15-23 0.1000 0.2020 0 0.16
22-24 0.1150 0.1790 0 0.16
23-24 0.1320 0.2700 0 0.16
24-25 0.1885 0.3292 0 0.16
25-26 0.2544 0.3800 0 0.16
25-27 0.1093 0.2087 0 0.16
27-29 0.2198 0.4153 0 0.16
27-30 0.3202 0.6027 0 0.16
29-30 0.2399 0.4533 0 0.16
8-28 0.0636 0.2000 0.0214 0.32
6-28 0.0169 0.0599 0.0065 0.32
i ^ -4 0 0.2560 0 0.65
i ^ -6 0 0.1514 0 0.65
i ^ -28 0 0.3960 0 0.65
i ^ -12 0 0 0 0.65
i ^ -9 0 0 0 0.65
i ^ -10 0 0 0 0.65
i ^ -27 0 0 0 0.65

References

  1. Yucan Zhao, Xu Jiang, Fushou Sun, et al. Simultaneous detection method for photovoltaic islanding and low-voltage-ride-through based on harmonic characteristics. Power System Protection and Control 2022, 50, 41–50.
  2. Mehta, G. Doctor, A. In Kane, et al. Study for achieving carbon-neutral campus in India. In Proceedings of the IEEE International Smart Cities Conference (ISC2), Pafos, Cyprus; 2022. [Google Scholar]
  3. International Energy Agency. Harnessing variable renewables; Paris, France, 2011.
  4. J. Zhao, T. Zheng, E. Litvinov, et al. A Unified Framework for Defining and Measuring Flexibility in Power System. IEEE Transactions on Power Systems 2016, 31, 339–347. [CrossRef]
  5. International Energy Agency. Empowering variable renewables-options for flexible electricity systems; Paris, France, 2008.
  6. T. Xing, Q. T. Xing, Q. Caijuan, Z. Liang, et al. A comprehensive flexibility optimization strategy on power system with high-percentage renewable energy. In Proceeding of the 2nd International Conference on Power and Renewable Energy (ICPRE), 2017.
  7. Yinghao Ma, Chen Liu, Kaigui Xie, et al. Review on Network Transmission Flexibility of Power System and Its Evaluation. Proceedings of the CSEE, 2023, online.
  8. Chengshan Wang, Peng Li, Hao Yu, Development and Characteristic Analysis of Flexibility in Smart Distribution Network. Automation of Electric Power Systems 2018, 42, 13–21.
  9. J. Yu, J. Liu, W. Li, et al. Limit preserving equivalent method of interconnected power systems based on transmission capability consistency. IET Generation Transmission & Distribution 2016, 10, 3547–3554. [CrossRef]
  10. Z. Tan, H. Zhong, J. Wang, et al. Enforcing intraregional constraints in tie-line scheduling: a projection based framework. IEEE Transactions on Power Systems 2019, 34, 4751–4761. [CrossRef]
  11. Wei Lin. Characterization and Fast Calculation of Steady-state Feasible Region of Tie-line Transmission. Ph.D, Chongqing University, Chongqing, 2021.
  12. Midcentral Independent System Operator. Ramp capability product design for MISO markets, Indiana, USA, 2013.
  13. North American Electric Reliability Corporation. Special report: flexibility requirements and potential metrics for variable generation: implications for system planning studies, Princeton, American, 2010.
  14. H. Holttinen, A. Tuohy, M. Milligan, et al. The flexibility workout: managing variable resources and assessing the need for power system modification. IEEE Power and Energy Magazine 2013, 11, 53–62. [CrossRef]
  15. Dingyao Xiao, Chengmin Wang, Pingliang Zeng, et al. A Survey on Power System Flexibility and Its Evaluations. Power System Technology 2014, 38, 1569–1576.
  16. Zongxiang Lu, Haibo Li, Ying Qiao. Flexibility Evaluation and Supply/Demand Balance Principle of Power System with High-penetration Renewable Electricity. Proceedings of the CSEE. 2017, 37, 9–20.
  17. Ulbig, G. Andersson. Analyzing operational flexibility of electric power systems. International Journal of Electrical Power & Energy Systems. 2015, 72, 155–164. [Google Scholar] [CrossRef]
  18. 30 Bus Power Flow Test Case. Available online: https://labs.ece.uw.edu/pstca/pf30/pg_tca30bus.htm.
Figure 1. Relationship between Grid RF and Node RF
Figure 1. Relationship between Grid RF and Node RF
Preprints 76907 g001
Figure 2. Circuit Diagram of IEEE 30-Bus System
Figure 2. Circuit Diagram of IEEE 30-Bus System
Preprints 76907 g002
Figure 3. Topology of Improved IEEE 30-Bus System
Figure 3. Topology of Improved IEEE 30-Bus System
Preprints 76907 g003
Figure 4. Data from Provincial Power Grid in Northwest China: (a) Annual Load Curve of Entire Grid; (b) Annual Output Curve of Typical Wind Farm
Figure 4. Data from Provincial Power Grid in Northwest China: (a) Annual Load Curve of Entire Grid; (b) Annual Output Curve of Typical Wind Farm
Preprints 76907 g004
Figure 5. Calculation Results of Model 1: Additional Power Generation at Each Node
Figure 5. Calculation Results of Model 1: Additional Power Generation at Each Node
Preprints 76907 g005
Figure 6. Calculation Results of Model 2: Additional Power Generation at Each Node
Figure 6. Calculation Results of Model 2: Additional Power Generation at Each Node
Preprints 76907 g006
Figure 7. Remaining RC of Local Grid under Different Operating Conditions: (a) Remaining Up RC; (b) Remaining Down RC.
Figure 7. Remaining RC of Local Grid under Different Operating Conditions: (a) Remaining Up RC; (b) Remaining Down RC.
Preprints 76907 g007
Table 1. RF and FANL of Nodes in Local Grid
Table 1. RF and FANL of Nodes in Local Grid
Node number Up RF Down RF Up FANL/MW Down FANL/MW
1 1.13 1.32 13.31 11.29
2 1.22 1.05 8.25 9.48
3 0 0.45 1.14 1.09
4 0 0 3.60 3.85
5 0 1.19 11.46 8.45
6 0 0 0 0
7 0 0.63 8.05 7.99
8 / / / /
28 0 0 0 0
i ^ 0.91 1.57 52.85 39.21
Table 2. New and Old Serial Number of Nodes in Local Grid
Table 2. New and Old Serial Number of Nodes in Local Grid
New serial number i 1 2 3 4 5 6 7 8 9 10
Old serial number 3 4 6 7 28 5 i ^ 1 2 8
Disclaimer/Publisher’s Note: The statements, opinions and data contained in all publications are solely those of the individual author(s) and contributor(s) and not of MDPI and/or the editor(s). MDPI and/or the editor(s) disclaim responsibility for any injury to people or property resulting from any ideas, methods, instructions or products referred to in the content.
Copyright: This open access article is published under a Creative Commons CC BY 4.0 license, which permit the free download, distribution, and reuse, provided that the author and preprint are cited in any reuse.
Prerpints.org logo

Preprints.org is a free preprint server supported by MDPI in Basel, Switzerland.

Subscribe

Disclaimer

Terms of Use

Privacy Policy

Privacy Settings

© 2026 MDPI (Basel, Switzerland) unless otherwise stated