Preprint
Review

This version is not peer-reviewed.

Direct Optical Patterning of Quantum Dots: One Strategy Different Chemical Processes

A peer-reviewed article of this preprint also exists.

Submitted:

13 June 2023

Posted:

14 June 2023

You are already at the latest version

Abstract
Patterning, stability, and dispersion of the semiconductor quantum dots (scQDs) are the three issues strictly interconnected for successful device manufacturing. Recently several authors adopted direct optical patterning (DOP) as a step forward in photolithography to position the scQDs in a selected area. However, the chemistry behind the stability, dispersion, and patterning has to be carefully integrated to obtain a functional and therefore, commercial device. In this review are described different chemical strategies suitable to stabilize the scQDs both at a single level and as an ensemble with a special focus on the ones compatible with direct optical patterning (DOP). With the same purpose, the scQDs dispersion in a matrix was described in terms of the scQDs surface ligands interactions with the matrix itself. The chemical processes behind the DOP are illustrated and discussed for five different approaches that consider together stability, dispersion, and the patterning itself of the scQDs.
Keywords: 
;  ;  ;  ;  ;  ;  ;  ;  

1 Introduction

This review aims to have a critical overview of direct optical patterning (DOP) of the semiconductor quantum dots (scQDs), as closely related to their function which is in turn linked to their stability and homogeneity. For real exploitation of the scQDs in a commercial device this material should have three main characteristics: i) stability in the conditions of usage, ii) homogeneity of distribution within the device to guarantee uniform performances, and for some applications like in displays, iii) possibility to be patterned. These three characteristics, however, cannot be taken alone, but they are interconnected so that the development of the chemical processes that underlies the stability and dispersion has to be compatible with the adopted patterning technology.
The patterning strategies of scQDs can be divided into three main groups: photolithography [1], contact printing [2], and ink-jet printing [3]. Several works describe all these techniques here we just want to highlight the aspect of interrelation that is often overlooked, between the patterning methodology and the scQDs functionality, i.e. stability and dispersion. Some recent developments in patterning are exploring the direct use of light as a tool for patterning as in the “classical” photolithography, but to control the position of the object of interest, the scQDs, without the use of masks and repeated steps of layer curing/etching typical of the photolithographic process. If on one side the direct optical patterning (DOP) of scQDs, simplifies the process of pattering on the other side this shifts on the material side the critical issues of the scQDs dispersion, protection, and patterning itself. Indeed, the role of light is to block the scQDs in a specific position by creating a network that sticks them, by changing the scQDs solubility or by growing them directly.
The review is then organized presenting briefly the state of the art of the scQDs materials (section 1), the role of the ligands in the dispersion of the scQDs in a matrix (section 2), the main critical issue regarding the scQDs stability involving oxygen moisture and temperature (section 3), the main strategies to overcome the degradation issues at a single and collective level (section 4) and finally how specific chemical processes developed in the previous sections interplay with the DOP (section 5).

1.1. The semiconductor quantum dots

Semiconductor quantum dots [4] (scQDs) are among the most studied and utilized nanomaterials because their compositional and morphological tunability modulates their optoelectronic properties that can be adapted for different applications. On the other side, the relatively easy synthesis in a colloidal state further contributes to their real-world use.
There are two main approaches for semiconductor QDs fabrication [5] the physical methods and the wet-chemical methods.
The physical methods include the molecular beam epitaxy (MBE) and the metal-organic chemical vapor deposition (MOCVD) that allows the preparation of thin layers of semiconductor QDs or deposit them over a wafer.
The chemical methods involve the synthesis in the liquid phase (organic solvent or water) at relatively high temperatures (100° C – 350° C) in the presence of precursors, and surfactants. The controlled combination of the precursors, their ratio, the presence of surface ligands, the reaction temperature, and the duration of the heat treatment determine the stoichiometry, size, and shape of the scQDs. The atomic species forming the scQDs belong to the elements from II-VI, III-V, IV-VI, IV groups and include the metal halide perovskites (CsPbX3 X = I, Br or Cl) ([6], [7], [8]).

1.2. The quantum size effect and its role in the modulation of the electro-optical properties of the scQDs

The importance of this class of nanomaterials lies in the possibility of modulating their optoelectronic properties by their size, composition, and architecture. The modulation of the optical properties by size is the so-called quantum size effect [9]. This effect takes place when the size of the semiconductor becomes so small that the wavefunction of the exciton, the electron and hole pair formed by Coulomb interaction, is larger than the physical dimensions of the particle [10], typically below 10 nm depending upon the type of material [9]. In this condition the bandgap of the semiconductor material becomes quantized and the effective bandgap increases decreasing the particle size and modifying the absorption and emission properties (Figure 1).
In such a way the bandgap of the scQDs can be tuned from different levels of energy from the ultraviolet to infrared range. The bandgap fine-tuning enables the specific emission wavelength, the size uniformity of the emitting cores causes the narrow emission, while the absence of crystal defects mainly at the surface (Figure 1) ensures a high photoluminescent quantum yield (number of emitted photons per absorbed photons) and also contributes to narrow emission.
The wavelength tunability (color selection), the narrow emission (color purity), and the photoluminescent quantum yield (brightness) are characteristics of paramount importance for the application on a device, and with the improvement of the knowledge of the scQDs now it is known that the main source of the problems are the defects states from surfaces of the scQDs (surface traps and deep traps) that perturb the band gap structure changing the emission wavelength and lowering the luminescent quantum yield.

1.3. Introduction: the core@shell systems

The solution for the stabilization of the scQDs structure arrived from the introduction of the core@shell systems [11] [12] [13]. In this configuration, the surface defects were fixed by growing an inorganic shell over the scQD core. The role of the shell is two-fold: the passivation of the surface defects and the localization of the exciton into the core [5]. The growth of another type of material over the scQD should be chosen carefully because the shell material should crystallize over the core without introducing any mechanical (crystallographic) stress which means more surface defects. This is achieved by growing over the core even two different types of shells to “match” the shift of the crystallographic parameters [14] or, even better, changing the composition of the core/shell gradually. In such a way the full width at half maximum (FWHM) of the photoluminescent signal can reach values below 20 nm [15] (high color purity).
The fine chemical synthetic strategies allow a design of a well-defined scQDs structure that can approach the unity in terms of emission brightness i.e. the photoluminescent quantum yield (PLQY) and small FWHM [14] [16]. Both these characteristics, i.e. FWHM and PLQY, are the two main properties resulting in a material with high color purity and bright emission respectively.
The effect of a heterostructure over the core not only fixes the defect but also changes the band structure of the scQDs modifying the absorption and emission properties. An example of this is the so-called giant QDs which are systems with a shell/core volume ratio very high (shell thickness higher than 1.5 nm) and the absorption dominated by the shell [17] [18]. These systems are particularly advantageous because they exhibit a high distance between the absorption and emission maxima (Stokes-shift) that improve the efficiency of the optoelectronic devices where these systems are included.
A further example of this band engineering for the optimization of optoelectronic properties is the modulation of the shell shape like the dot in rods [19] [20] and nanoplatelets [21]. Both engineered structures show a high Stokes-shift between the absorption band and emission band assuring the absence of the reabsorption of the emitted light that is important for LED manufacturing [22].
2.1. scQDs dispersion: the surface ligands
Another important structure characterizing the scQDs are the surface ligands [23] [24] Even if they are not part of the crystalline structure of the scQDs they have the function of mediating the interaction of the nanocrystals with the surrounding environment.
At the molecular level, the ligand can be thought of as consisting of three main blocks (Figure 2a): the surface binding group, the spacer, and the functional end-group. The binding group is responsible for the binding of the ligand at the metal or the chalcogen, pnictogen, or halogen non-metal atom of the scQDs depending upon the type of binding group as described below. The spacer distances the binding group from the end group and its length, in particular, can modulate the energy transfer between the close particles influencing the electron transfer [25] or the solubility [26]. The end group interacts directly with the surroundings so it can bind other molecules [27] [28], if suitably adapted, or can modulate more effectively the dispersion within the solvent [29].
The binding of the ligands over the scQDs surface can be qualitatively understood in terms of a Lewis acid/base concept and following this rule, they can be classified into three groups [30] (Figure 2b): the ligand can interact with the scQDs surface donating two electrons (Lewis base), and in this case, it belongs to the L-type group, like amines, phosphines, and phosphine oxides (Figure 2c). The ligands with one electron donor belong to the X-type group and they require on the surface one atom with an electron to form a covalent bond. The typical ligands are carboxylates, thiolates, and hydroxyls (Figure 2c). The Z-type ligands are molecules that can accept two electrons (Lewis acid) from another atom over the scQDs surface. The typical ligands are cadmium and lead cations (Figure 2c).
The surface ligands play different roles at the scQDs surface; i) they control the growth of the scQDs during their synthesis, ii) they stabilize the surface dangling bonds as the inorganic shell, modifying scQDs electronic structure iii) and they mediate their interaction with the solvent or with the material in which they are in contact [23].
The most important effect of the ligand during the synthesis is the prevention of the aggregation of the nanocrystals during the growth. The different affinity of the binding group of the ligands over the different facets of the growing nanoparticles has been exploited to grow nanocrystals of different shapes like dots in rods [19] tetrapods and nanoplatelets [31].
The binding of the ligand stabilizes the scQDs from the electronic point of view the energy levels of the scQDs fixing the surface defects, i.e. eliminating the surface traps. and modulating the scQDs band gap [32].
For the scQDs application however the most important characteristic of the ligand is its interaction with the surroundings and this action is played, mainly, by the end group often in synergy with the spacer.
2.2. scQDs dispersion: the ligands and the surrounding environment of the scQDs
The compatibility of the QDs within the matrix is mediated by the ligand and the best way to enhance the dispersion is to prepare a scQDs with a ligand that is compatible with the host matrix [33]. The dispersion of the scQDs in a matrix is a particularly important factor for the scQDs application especially in a solid state like in a film, because the aggregation phenomena quench the electro-optical properties of the scQDs [34], [35], [36] nullifying all the efforts made to obtain nanocrystals with excellent optical properties.
An elegant example of the function of the ligand as a “tool” to optimize the dispersion and hence the optical properties of the scQDs is found in the work reported by Lesnyak’s group where the CdSe nanoplatelets (NPLs) were functionalized with a ligand bearing a modified end group improving the NPLs dispersion [37] in a polymer.
In this report, the authors faced the typical problem of the scQDs application, that is, their dispersion at high concentration in a matrix that has specific characteristics. The high dispersion of the NPLs within the polyisobutylene (PIB) polymer was obtained by functionalizing the NPLs with a ligand bearing as the functional end group a short tail as PIB (Figure 3a) that has the same chemical nature of the PIB polymer. The same chemical nature of the ligand and the polymer (Figure 3b) ensures the complete miscibility of the QDs in the polymer.
The tests of dispersion and stability carried out comparing the dispersion of the NPLs in three types of polymers, namely the poly(lauryl methacrylate) (PLMA), the PIB, and the PIB block copolymer (SIBS), showed the formation of very high transparent films [37] that means an optimal dispersion.
Despite a huge amount of work done on the study of the organic ligands it is worth describing also the use of the inorganic ligands. They are used to replace the organic ligands to improve the charge transport between the scQDs [38] [39].
The Talapin’s group recently showed how the native organic ligand, typically the oleic acid, can be replaced by metal inorganic salts [39] to obtain intensely luminescent all-inorganic nanocrystals (ILANs). The metal inorganic salts they used for surface passivation of the scQDs include the metal cations of Cd2+, Zn2+, Pb2+, and In3+ with anions like NO3¯, BF4¯ e triftalate (OTf¯).
The role of the metal cations is (Figure 4a) i) to remove the native organic ligands and ii) to bind the non-metal atom, on the scQD surface. In terms of the Lewis acid-base concept the ligand metal cation, a Lewis acid, coordinates the electron-rich chalcogenide atom, a Lewis base, at the scQD surface. On the other side, the anion acts as a charge balancer rather than as a coordinating agent (Figure 4b). The main effect of this ligand exchange is the variation of the scQDs solubility (dispersion) of the scQDs in solvents. Indeed, the solubility of the scQDs in non-polar solvents (hexane, toluene, etc.) switches to solubility in polar solvents (DMF, NMF, DMSO, etc).
What is important to highlight is that the procedure of the ligand exchange proposed by Talapin’s group leaves the optical characteristics of the scQDs almost unchanged with a slight decrease of the PLQY [39] which is a typical drawback of the inorganic ligands exchange.

3.1. QDs stability: the effect of oxygen and moisture

Answering the question about the stability of the scQDs under ambient conditions in combination with light will help to adopt the necessary countermeasures to improve the life of any device equipped with this material.
For ambient conditions we mean the effect of the oxygen, moisture and working temperature on the functional characteristics of the scQDs, i.e. emission wavelength, luminescence broadening, photoluminescent quantum yield (PLQY) [40], and PL intermittency (blinking) [41] [42]. What is clear is that the role of oxygen, moisture, and temperature and their combination with light is crucial as highlighted in different reports testing the stability of the QDs used for display [43], solar cells [44], and fluorescent probes for biology [45]. On the other side, the studies on scScQDs stability in the presence of oxygen and water are often contradictory to each other for several reasons such as different quality of the scQDs prepared with different procedures, non-ideal structural and optical quality, and different testing conditions.
Only recently the group led by Peng clarify the role of oxygen [46] and water [47] by studying systematically their effect on a well-defined system, the CdSe/CdS core/shell scQDs, in defined experimental conditions in terms of atmosphere (only oxygen, only water or their defined combination) and different phases i.e. at single scQD level or as an ensemble of scQDs in thin film and solution.
The study of the role of oxygen [46] shows that at the functional level, this molecule maintains the bright state both of the single scQDs and when the scQDs are embedded together in a film (photoactivation). When the oxygen is removed for example with argon the scQDs enter a dim state (low emission and small PL shift). The mechanism proposed is that during the photoexcitation there is the possibility that the scQDs form a trion (two electrons and one hole in the scQDs) bringing the scQDs in the dim charged state (off state). The “bright” state is restored with the presence of oxygen that accept one electron forming the superoxide radical (O2 ). The oxygen reduction returns the scQDs to charge neutrality restoring the scQDs optical properties. Another interesting conclusion of this work is that the high quality of the shell avoiding any hole and electron surface traps does not allow any effect of corrosion of the scQDs by the oxygen (the redox potential of the oxygen is quite different from the core/shell scQDs). On the other side the redox potential of the oxygen should be able to oxidize the surface of bare CdSe scQDs (no core/shell scQDs) especially under photoexcitation producing CdO, SeO2, and CdSeOx [48] [49]. The authors conclude that pure oxygen helps to maintain the photophysical properties, and it is not responsible for photo corrosion of high-quality core/shell nanocrystals. The controversial results found in the literature on the role of oxygen may be due to the non-ideal quality of the prepared core/shell scQDs allowing the corrosion as reported for the bare CdSe QDs.
Peng’s group studied also the role of water combined with oxygen showing that this combination is responsible for the corrosion and the loss of the photophysical properties of the scQDs [47]. The complete “story” of the water and oxygen interaction with the scQDs starts with the “ionization by water and deionization by oxygen” step as reported in Figure 5. In this first step, the excited nanocrystal is negatively ionized (reduced) by water that dissociates producing a very reactive specie the hydroxyl radical (OH) and protons (H+). The negatively charged scQDs are now in the dim state, but the presence of the oxygen, as shown before, brings the scQDs to a neutral state restoring its bright state and producing as a byproduct the superoxide ion (equilibrium between Neutral/bright state and charged/dim state Figure 5). The presence of the radical species especially the hydroxyl radical (OH) formed under the continuous presence of water and irradiation brings to an acidic pH and a carboxylate ligand detachment from the scQDs surface. This causes the poor solubility of the QDs in the solvent and the precipitation of the bright scQDs (Precipitated/bright state, ligand-destructed/bright state Figure 5). The loss of the surface ligand exposes the inorganic shell to surface traps formation bringing further chemical decomposition even of the shell of the scQDs (photo-corrosion) with irreversible loss of their photophysical properties (Etched/bleached state Figure 5).
It is worth mentioning that when the scQDs are confined in an area with no access to water and oxygen like in the display applications (the QDs film is isolated from the environment), the balance between the brightening and dimming states reaches an equilibrium and the decomposition cannot go ahead.
At the photophysical level, the effect of the oxygen and water in the scQDs can be resumed as reported by Yang et al in Figure 6 [40]. In this view, the core/shell scQD when prepared can have just a few defect states (DS) (depending upon the optimization of the chemical synthesis) meaning that the scQDs have a determined PL emission, FWHM, and PLQY, function of size and composition (valence and conductive band) (Figure 6a). The number of defect states and the presence of non-radiative recombination (NRR) paths contribute to the values of the three parameters above.
In the presence of a limited amount of oxygen and water (scQDs protected from the external conditions), the oxygen fixes the defect states repopulating the conduction band so that the photophysical properties (PL emission wavelength, PLQY, and FWHM) are restored or even improved (photoactivation) [50] (Figure 6b).
If the presence of oxygen and moisture is continuous the oxidation and corrosion processes rise, meaning that the defect states increase worsening the photophysical properties of the scQDs (Figure 6c).

3.2. QDs stability: the effect of the temperature

The thermal stability of the scQDs is another important factor influencing their practical applications [43]. In general, the effect of the temperature increase on the QDs function is that there is a loss of PL intensity [51] [52] that can become irreversible if the temperature rise causes the loss of ligands or shell degradation. Despite its importance for a real-world application the mechanism of the PL quenching induced by the temperature is still not clear. What is commonly accepted is that the PL thermal quenching is associated with the activation of a surface state that traps a charge (positive or negative is still under debate) [51] [53] [54] with subsequent non-radiative recombination processes. In any case, whatever the mechanism is, the scQDs surface plays a central role in PL quenching induced by the temperature.
Cai et al. [51] studied the effect of the temperature in the range RT to 100 °C in solution (toluene) in core/shell scQDs like CdSe/ZnSe and CdTe/CdSe depending also on different ligands. This report suggests that the main process taking place is the ionization of the core with the formation of a trion. The main phenomenon occurring is that a valence band electron shifts to a surface state (ET in Figure 7) having similar energy by the effect of the temperature. In this condition, the core is charged positively while the shell is negative, and therefore the scQD remains neutral. If there is the absorption of a photon the scQDs core becomes a positive “trion” in which two holes are in the valence band of the core and one electron is in the conducting band of the core itself. In this configuration, the scQD is in the “dark” condition and the electron within the core relaxes in not radiative way (Figure 7). The electron confined in the ET on the surface can decay through non-radiative recombination [53] and if the trap state is reversible even the photophysical properties of the scQDs can be restored [55].
Other studies [56] that have been conducted at higher temperatures (up to 200 °C) for different structures such as core/shell/shell, dot in rod both in solution (octadecene) and in solid state (embedded in polymers) reveal that the effect of photoluminescence quenching is faster in solution than in the solid state. This is expected because in a hot solvent, the loss of surface ligands is easier and can be permanent creating permanent traps.
The mechanism of the photoluminescence quenching is always the creation/activation of a surface state that traps the charge carrier. The role of the surface on the thermal stability of the photoluminescence has been observed even for the giant scQDs under high flux of light at 100 °C in which the thicker inorganic shell separates the emissive core from the nanocrystal surface increasing the temperature stability of the scQDs [54].

4. Stabilization of the QDs at a single and collective level

The scQDs deterioration, i.e. the loss of the ligands and atoms from their structure, can be prevented by adopting two different strategies: i) the encapsulation of each single scQD and ii) the encapsulation of the scQDs embedding them within a matrix.
In the former, the main idea is to overcoat the single QD with a material that “freezes” its structure and hence its properties so that they can be incorporated into the final device. In the second approach, they are dispersed in a covalent network that does not protect the single scQDs but all the scQDs. The encapsulation methodologies includ mainly silica, polymers, and metal-organic frameworks (MOFs) [57] [58], however, we have focused our attention on silica and polymers because these two matrices are more flexible in terms of scQDs dispersion, possibility to be patterned and availability on an industrial scale.

4.1. Single QD encapsulation

For the single scQD stabilization in general two different materials are used, namely, silica (SiO2) [59] [60] or polymers [61].
The silica is a good encapsulation material for the scQDs because is transparent, stable against chemicals, and is a good barrier for oxygen and moisture. Another important factor of its widespread coupled with nanomaterials concerns the use of mild conditions of synthesis (room temperature and relatively simple precursors and solvents) that can be adapted depending on the different types of nanomaterial [58].
From the chemical point of view, the silica coating can be prepared by starting from mono or di, tri or tetra-functional silanes where each atom of silicon is bound to one, two, three, or four reactive alkoxy groups that in acidic or basic conditions in the presence of water condense and form the Si-O-Si bonds (Figure 8) [62] [58]. Depending upon the type of monomer, and the reaction conditions it is possible to achieve different types of architectures from random networks, ladders, partial cages, and perfect cages.
The most important side effect of the silica encapsulation of scQDs is that the reaction conditions can produce a significant quenching of their PLQY. However, this drawback can be minimized by changing the polymerization conditions, modulating the scQDs architecture and shell thickness [60], or introducing other reaction methodologies like the microemulsion approach [63].
Zhou et al. [59] for example, prepared silica-coated CdSe/ZnS scQDs exchanging the native oleic acid ligand with a silane ligand, namely the mercaptopropyl trimethoxy silane (MTS), then they form the silica layer by adding the tetraethyl orthosilicate (TEOS) and ammonium hydroxide for the condensation reaction. The silica coating (about 10 nm) is then further functionalized with methylsilane to make the QDs/Silica hydrophobic. These scQDs are then used to prepare silicone disks for testing their resistance upon water immersion which showed to be a constant PLQY of about 77% for 15 days.
Other authors used the microemulsion method and shell optimization to improve the PLQY of the overcoated scQDs [64] [60]. On one side the microemulsion method allows to maintain the native ligands over the QDs minimizing the surface defects on the other side a thicker shell or a specific scQD architecture confine tightly the electron-hole pair in the QD core far from the surface defects.
Wang et al. [60] for example improved the PLQY of the scQDs by introducing a core/shell/shell quantum well (SQW) architecture as stronger emissive material. They found that after silica overcoating of the CdS/CdSe/CdS SQW, the PLQY decreased from 85% (native) to 68% (overcoated). Goryacheva et al. [64] showed that by optimizing the microemulsion conditions and the shell thickness in a core/shell CdSe/CdS QDs, the PLQY decreased from 80% (native) to 70% (overcoated). The role of the silica coating in the scQDs optical properties preservation was shown by Wang et al. [60] that exposed the SQW to harsh acidic conditions. In these conditions, the PLQY of the unprotected material was 0% in almost all cases, while the silica-overcoated SQWs maintain or even improve their optical performances (Figure 9).
An example of scQDs encapsulation with polymers was proposed by Ko et al. [61] and is based on a specially designed ligand whose role is i) to ensure the distribution of the scQDs within an organic matrix and ii) to form a network of covalent bonds around evry single scQD protecting it from the degradation.
The ligand is built using methyl methacrylate (MMA) monomers to form a PMMA tail that is necessary to ensure the correct dispersion of the scQDs on the PMMA matrix. Near the scQDs binding group, the MMA units are substituted by a cross-linkable unit formed by a short sequence of polyglycidyl methacrylate (PGMA). This sequence bears the epoxydic group that opens forming a covalent bond with another epoxydic group [65]. Then the scQDs binding group consists of a thiol that is a strong surface binding group (Figure 10a b). This ligand is exchanged with the native ligand used for the scQDs synthesis and then the new ligand, bearing the cross-linking units of PGMA, was activated to form a network around the scQD to protect it from the degradation (Figure 10c).
The thermal treatment at 100 °C in toluene of the native scQDs capped with oleic acid and the ones overcoated with cross-linked ligand showed that the encapsulated QDs maintain 85% of their initial PLQY value, while the native scQDs retain only 40% of their initial value.
Similar results are obtained when the scQDs are exposed to air or hydrogen peroxide.
The stability was also studied in a solid state (composite formed by PMMA and scQDs) after the treatment for two hours at 100 °C. In these conditions, the native scQDs dispersed in PMMA showed in the time-resolved PL spectra of a significative presence in its lifetime curve of fast non-radiative recombination component that is practically absent in the overcoated scQDs. It is worth pointing out that the dispersion of the PMMA-b-GMA-QDs is homogeneous throughout the film as observed both with TEM and AFM because the ligand was optimized with a tail homogeneous with the PMMA matrix, while the native scQDs covered with oleic acid that aggregates within the PMMA.

4.2.1. Collective QDs encapsulation: the thiol-ene network

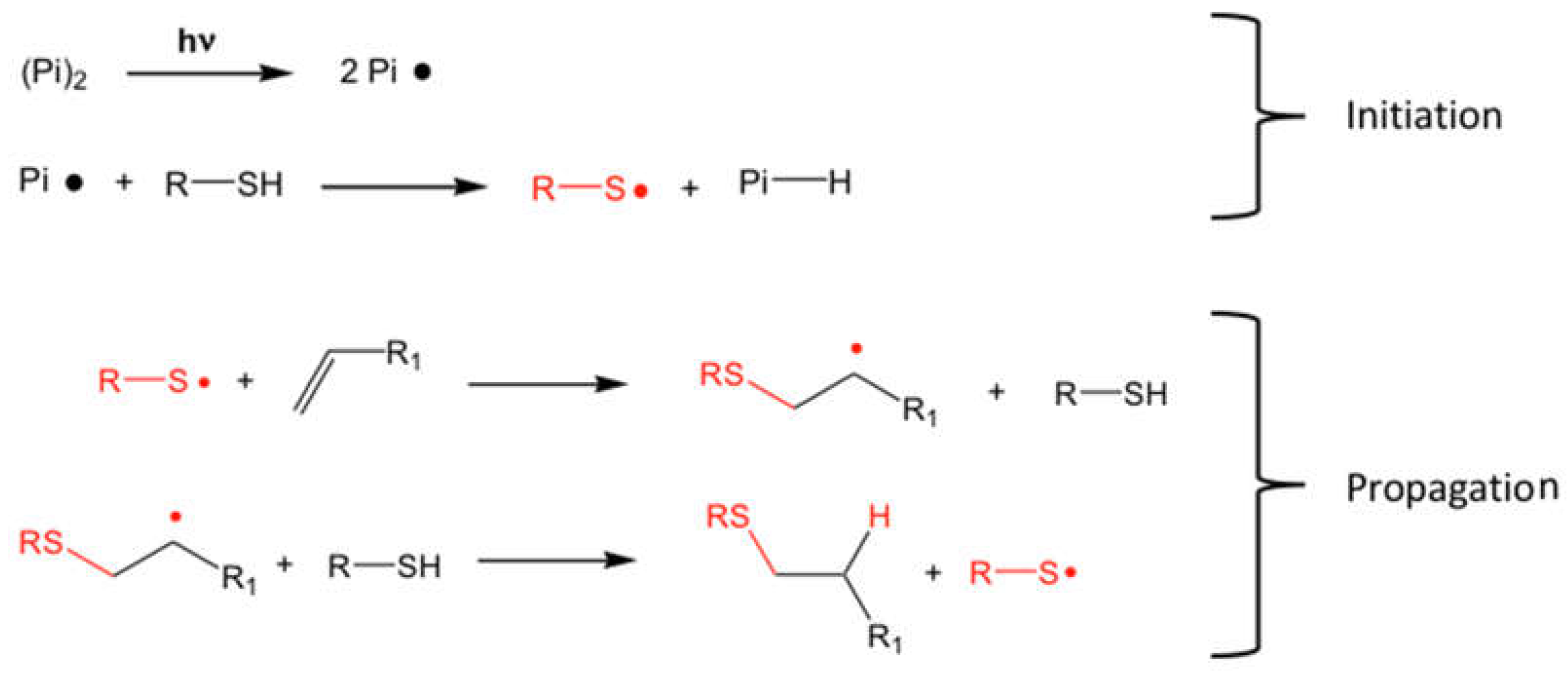
A common way of collective encapsulation of the scQDs within a matrix is to use molecules forming a network through the thiol-ene chemistry [66] [67]. The term thiol-ene is referred to a reaction where a thiol molecule is added to a carbon-carbon double bond (“ene” bond) regardless of the reaction mechanism that can be either radical [68] or nucleophilic [69]. In the following pages, always will be referred to the radical mechanism because this is stimulated by the use of light. The general mechanism of the radical addition is reported in Figure 11. The initiation involves the activation of the thiol with a photo-initiator (Pi) through light. The formed thiyl radical (R-S ∙ ) reacts with a C-C double bond that then activates a second molecule of thiol propagating the reaction. A possible termination process is the radical-radical coupling process.
What is important to underline for this reaction is that it is simple to perform, is not sensitive to water and oxygen and the reagents are readily available. The addition of the thiol to the C-C double bond is quite general in the sense that the olefinic bond can be substituted or not. In the same way, virtually, any type of thiol can be used for the addition. The last important property is that this reaction is quite rapid and complete in a few seconds and it is not necessary to remove any byproduct.
With the help of this chemical process, several papers have been published involving the encapsulation of the scQDs.
Smith et al. [70] use a triene (1,3,5,-triallyl-1,3,5-triazine-2,4,6(1H,3H,5H)-trione) (acronym TAIC) a three-branched allyl molecule and a four branched thiol (pentaerythritol tetrakis(3-mercaptopropionate) (acronym PTMP) to encapsulate the QDs in a matrix of a well distributed scQDs. The thiol-ene reaction between the TAIC and PTMP allows the formation of a network encapsulating the scQDs (Figure 12).
Unfortunately, the mixture of the triene and the four-branched thiol includes also a urethane-based component, so it is not possible to speculate more about the chemistry of the system. The optical properties of the scQDs are maintained because the scQDs were not subjected to further processing like ligand exchange or other treatments while the use of buthylamine as scQDs ligand, avoids any interference of the oleic acid double bond with the thiol-ene reaction [71].

3.2.2. Collective QDs encapsulation: the polymers

The collective encapsulation with polymers was widely used [57], however, the direct mixing of polymers and scQDs, even if it is relatively simple, suffers from the issue of scQDs aggregation. A more effective encapsulation strategy is achieved when there is a chemical interaction between the scQDs and the polymer.
An example of this interaction is reported by Heo et al. [72] that adopted a colorless polyimide (CPI) as a polymeric matrix embedding and interacting covalently with the scQDs. In this work, the authors exploit the chemical, thermal, and mechanical properties of the transparent polyimide to stabilize the scQDs in ambient conditions (presence of moisture oxygen, and temperature). Indeed, the presence of the fluorine containing-groups in the CPI [73] prevents water penetration within the film (Figure 13a).
In this work, a core/shell scQDs is grafted with a diamine-terminated polyimide ligand. This ligand is then covalently bound to the CPI polymeric matrix through its terminating ends of phthalic anhydride that reacts with the amino group of the ligand itself (Figure 13b) [74].
The same chemical structure of the ligands and the polymer (ligands contain CPI oligomers) ensures good dispersion of scQDs within the CPI and more stability against moisture and oxygen due to the CPI properties.
In this approach, however, the polymer does not form any network stabilizing and protecting the scQDs. This difficulty can be circumvented non-only by selecting a suitable polymer but also by forming an effective encapsulation network of the polymer around the scQDs. Lesnyak’s group gave an interesting example of how these two obstacles, i.e. dispersion and stability, can be circumvented [75].
The stabilization of the QDs was realized first by selecting a polymer, the polyisobuthylene (PIB) having specific properties like good flexibility, excellent oxygen and moisture barrier, thermal stability, optical transparency, and also solvent resistance. Then they modified the PIB by adding the cross-linking functions, the methacrylate (MA), which induce the formation of a covalent network [76] around the scQDs for their effective encapsulation. In particular, the PIB-MA reticulating polymer is obtained by linking the PIB to a “tri-arm star” aromatic center. Then the PIB ends are functionalized with the methacrylate functions (Figure 14a-b) forming a three-arm star cross-linkable polymer (PIB-MA).
On the other side, the optimization of the scQDs dispersion is obtained through the exchange of the native scQDs ligand with a new ligand having as a spacer/tail the PIB oligomers. The tail ensures the optimal interaction of the scQDs with the matrix because they have the same chemical structure (Figure 14b-c) while the surface binding group, a thiol, ensures the strong binding of the ligand on the scQDs surface during the ligand exchange procedure.
The cross-linking of the methacrylate units of the PIB [76] completes the protective action of the polymer around the scQDs (Figure 14d and e).
The optical characterization of the cross-linked film showed that the dispersion of the QDs was comparable with the one of similar polymeric films bearing the PIB without any crosslinking, indeed the photoluminescence emission and the PLQY are almost equivalent between these two types of samples. This suggests that the scQDs do not form any aggregates that quench the photoluminescence [34] [35] [36] and decreases the film transparency [33].
The stability tests were carried out in the air and vacuum under a high flux of light for 15 hours comparing the photoluminescence decay of the scQDs embedded in three different polymers: the PIB-MA, the SIBS, and the polylaurylmetacrilate (PLMA). These tests show that the cross-linked PIB-MA composite is more stable than the other type of composites both in the vacuum and in the air, even if in the air the degradation is higher than in the vacuum.
Stability tests were also carried out by soaking the film in a HCl 5M solution for 35 days and the results showed that the scQDs enclosed in the cross-linked PIB hold their photoluminescence emission longer than the ones embedded in the other matrices.

4.2.3. Collective QDs encapsulation: the siloxanes

The siloxane organic-inorganic hybrid materials [77] (SHMs) are compounds that have the tetravalent silicon bonded with oxygen and one or more bonds replaced by a covalent linkage with an organic substituent [78] [62]. With this kind of chemistry, the siloxane polymers bear ceramic-like properties joined with the ones of the organic materials. From the functional point of view, this means that these materials display both the ceramic “character”, i.e. high-temperature stability, hardness, chemical resistance, and optical transparency combined with the organic “character”, i.e. low temperature and solution processing, modulation of matrix porosity and flexibility.
The chemistry of the Si-O-Si bond was already illustrated in section 3.1 (Figure 8) and here will be described the effective capacity of siloxanes to act as a collective encapsulating agent with high chemical thermal and mechanical stability as recently presented by the Bae’s group for the stabilization of scQDs in different conditions [79] [80] [81] [82] [83].
In the approach proposed by Bae’s group, the siloxane encapsulation method of scQDs consists of two steps (Figure 15): i) the siloxane resin formation through the sol-gel method and ii) the cross-linking of the resin with the QDs and with itself. In the first step is prepared the siloxane resin bearing the acrylate group by sol-gel condensation (Figure 15a).
In the second step, the formed siloxane resin is mixed with the scQDs. The scQDs are usually passivated with oleic acid as ligand that bears a double bond in its aliphatic chain.
The acrylate group can react both with the double bond of the scQDs ligand (the oleic acid) or with another acrylate moiety of the resin enhancing the resin networking (Figure 15b). The binding of the acrylate group with the double bond of the scQDs ligand or with another acrylate moiety is mediated by UV light after the addition of a photo-initiator like 2,2-dimethoxy-2-phenylacetophenone (DMPA) [84]. It is important to point out that the siloxane resin bearing the phenyl group of the diphenylsilanediol (DPSD) helps the enhanced dispersion of the scQDs in the resin through hydrophobic interactions [85].
In these conditions, the stability of the photon siloxane encapsulated scQDs (PSE-QDs) under thermal stress at 85 ° C for 40 days and 85% relative humidity showed that normalized PL intensity remains constant during all the period as well as the PL lifetime. On the contrary, the scQDs simply mixed with the resin without cross-linking lost their photophysical properties showing a 50% decrease in PL intensity and a strong decrease in the photoluminescent lifetime with respect to the initial values.
This type of approach has been improved in terms of siloxane thermal and environmental (oxygen and moisture) stability by substituting the acrylate binding group with the vinyl group (Figure 16).
Indeed, this siloxane resin even if is stable until 85°, cannot be enough for other application like LED technology that requests temperature above 100° C. This is mainly due to the organic acrylate moiety that decomposes at high temperature.
In the new reaction scheme the resin is substituted by two components one resin bearing the reactive Si-H group and a linear cross-linker bearing the vinyl reactive group [81] (Figure 16a and b).
The vinyl group of the linear linker can bind the double bond of the oleic acid of the QDs blocking the scQDs within the resin (Figure 16c). In the meantime, the vinyl group of the linear vinyl organo-siloxane linker can bond also the Si-H bond of the resin forming the network between the resin and the linear linker (Figure 16d). The thermal siloxane encapsulation (TSE) networking reaction in this case is stimulated by the temperature that is a curing step necessary for LED manufacturing. With this two-component matrix, the thermal stability of the networks has been improved until 180° C, while the presence of the phenyl groups on the resin and cross-linker allows both the homogeneous distribution of the scQDs in the matrix [86] and a high refraction index (transparency).
The aging tests showed that the TSE-QDs are more stable at 120 °C 5% (30 days) relative humidity with respect to the PSE-QDs or simply mixed QD/acrylate (without any siloxane bonds). In the same way the chemical stability was also tested for 30 days in four solvents (Ethanol, Acetone, HCl 0.1 M and, NaOH 0.1 M) that indicates that the PLQY remains stable at the initial value only for the TSE-QDs with respect to the PSE-QDs and the ones mixed with the acrylate resin.
By using another type of siloxane resin bearing the epoxy siloxane group it is possible to protect and include a micro-LEDs array suitable for biocompatible applications [79].
The siloxane matrix formation is similar to the previous ones and is prepared by adding the 2-(3,4-epoxycyclohexyl)ethyltrimethoxysilane (ECTS) with diphenylsilanediol (DPSD) via sol-gel reaction to form the cycloaliphatic epoxy oligosiloxane (CAEO) (Figure 17a). This resin is cured with UV in association with bis[1-ethyl(3-oxetanyl)]methyl ether (DOX) acting as a cross-linker to form a siloxane network [82] (Figure 17b).
Once embedded in the siloxane matrix the micro-LEDs array (f-HμLED) was characterized by studying its optical, thermal, thermomechanical, and environmental properties while further biocompatibility tests were carried out on a similar device containing cadmium-based scQDs. The optical transparency was about 90% throughout the entire visible spectrum.
As an example, the study of the mechanical tests shows that the SHM exhibited the highest tensile modulus (6.8 GPa) with respect to those of polyethyleneterephthalate (PET) (4.8 GPa) and polyimide (PI) (3.8 GPa) films. On the other side, the SHM has the lowest flexural stress (2.5 GPa) than PI (3.9 GPa) and PET (4.8 GPa) indicating a high mechanical deformation including bending, folding, and twisting.
Another important test for the electronic device is its lifetime in the external surrounding conditions tested under 85 °C at 85% relative humidity (accelerated stress test). Here the control matrix used for the device was the SU8 photoresist commonly used for patterning and the variables examined are the device irradiance (ΔE) and the forward voltage (ΔVf). The behavior of both variables showed that after 15 days of treatment, the f-HμLED device is more stable than the μLED encapsulated with the SU-8.
The biocompatibility test was carried out with a similar device realized with cadmium-based scQDs embedded with siloxanes acting as color converter films. The red and green Cd-based scQDs were mixed with the SHM resin and the solution was poured over a GaN-based f-HμLED to obtain a white emitting source. This device is then used for biocompatibility tests for the presence of cadmium and different type of cells are grown over this substrate and a control plate without the device. The results show that the growth rate of the cell lines grown over the device versus the same cell lines grown in the control plate are comparable within the statistical level of significance validating the biocompatibility of the material.

5. Quantum Dots Direct Optical Patterning (DOP)

The research on the patterning technologies of scQDs is an active area of study for their industrial application due to the wide interest of companies especially in display manufacturing [57] [87]. Photolithography is the most widely used technique in the industrial field, however, the use of photoresists and the multiple steps of etching/washing can alter dramatically the QDs functionality and the production costs respectively.
Recently different authors published some works that utilize direct optical patterning (DOP) as a step forward in photolithography. Indeed, the direct use of the light for patterning associated with smarter chemistry of the materials can ensure stability, dispersion, and a relatively simple patterning process of scQDs. Another advantage of DOP is that it can utilize the same equipment of the photolithography so that only smaller changes would be necessary in the production chain minimizing the upgrade costs.
In the following paragraphs are presented five different chemical approaches that use the same patterning methodology, the DOP, but different chemical processes to tackle the issues of stability, dispersion, and patterning itself. The purpose of this comparison is to produce a starting point for evaluating the pros and cons of the various proposed techniques.

5.1. Direct optical patterning of scQDs with Thiol-ene cross-linkers

In the 3.2.1 section was already reported the effect of the thiolene encapsulation on scQDs stability and, however, the same chemistry can be adopted for the photolithographic patterning of scQDs as shown by Li et al. [88].
The authors prepared a solution containing the tri-branched molecule (TAIC) bearing the double bond necessary for the thiol-ene reaction with the four-branched thiol (PTMP) and the scQDs. This solution was directly drop-casted over a blue LED and then irradiated with a UV LED focused with an objective lens on a moving stage to carry out the direct optical patterning. With this apparatus, the authors showed a resolution patterning between 6 μm to 40 μm. They also compared the optical characteristics of the crosslinked film with the solution and with a drop-casted film. In general, they observe that the PLQY, the FWHM, and the wavelength shift of the patterned film are better than the ones of the drop-casted film suggesting that the cross-linking help the scQDs dispersion. On the other side, the solution shows better optical performances, because the chemical characteristics of the film were not optimized.
A significant improvement of this strategy was done by P. Zhang et al. [89] where the perovskite scQDs were patterned. The main novelty of this work is that the synthesis of the perovskite scQDs is realized after the thiol-ene network formation. Indeed, first, the thiol-ene matrix is formed and then the perovskite nanocrystals are formed through the annealing of specific perovskite precursors trapped in the matrix. In particular, the process of formation can be described as four steps (Figure 18): i) all the precursors for the formation of the encapsulating network (TAIC and TTMP) and the of the perovskite are dissolved together by using N,N-dimethylformamide (DMF) and dimethylsulfoxide (DMSO) solvents; ii) this ink is then used for film deposition, and patterning with UV light that “freezes” the perovskite precursors in the patterned positions; iii) the un-patterned areas are removed washing them iv) the perovskite nanocrystals are then formed with an annealing process.
The effect of this strategy is that the final perovskite scQDs film is homogeneous because the precursors are all soluble in the prepared solution, hence the patterned areas are also homogeneous as luminescence emission. According to the authors, the growth of the perovskite after the UV patterning avoid any perovskite damage due to UV treatment.
The patterning resolution tests show the possibility to reach a resolution of 5 μm depending upon the degree of resolution of the mask.
The PLQY stability of the scQDs within the film after 30 days at 54% humidity and ambient condition can retain 85% of its initial value. Similarly, the PL signal still remains constant for 30 days under UV light confirming the effect of the stabilization of the encapsulation [90]. A further test of protection was carried out by immersing a patterned film in water and ethanol demonstrating that after 10 hours of immersion, the PLQY drop down to 66% and 60% of its initial value, respectively.
A limiting factor of this work is that to add more layers to enhance the film thickness is necessary to cover the underlying patterned layer with another film of SiO2 to protect the lower layer from the attack of the washing solvents (DMF and DMSO).

5.2. Direct Optical Patterning of scQDs with Siloxanes

The possibility to use the DOP combined with the siloxane chemistry to pattern and to protect the scQDs has been readily demonstrated by Bae’s group for the manufacturing of quantum dots color filters (QD-CF) for displays [27]. In this work the authors solved three main issues encountered when building color filters: i) dispersion of high loading of QDs (>20 wt %), ii) stability against heat and moisture, and ii) photo-patternability.
The high loading of QDs poses a problem of scQDs dispersion within the siloxane matrix that was bypassed by exchanging the native scQDs ligand, the oleic acid, with a mercaptopropyl-methyl-dimethoxy silane (MPMDMS) (Figure 19a). The tail of this ligand bears the dimethoxy groups that can react with the hydroxyl groups of diphenylsilanediol (DSPD) during the siloxane resin formation (sol-gel condensation) (Figure 19b). The presence of diphenyl rings performs a dual function: i) it ensures a good scQDs dispersion, preventing further aggregation during the next steps of the patterning and ii) it ensures also a good optical transparency of the final film. The resin bears another important function, through its methacrylate group, introduced by the 3-methacryloxypropyltrimethoxysilane (MPTMS). This group is, indeed, necessary for the binding with the thiol cross-linker that allows the encapsulation/patterning.
The siloxane solution (ink) for the encapsulation/patterning was prepared by adding to the siloxane resin a four-branch thiol (PE1) that deals as a reticulating agent coupling with the methacrylate group of the siloxane resin (Figure 19b).
The photopatterning (Figure 19c) was performed by pouring the Siloxane ink (with red scQDs) into a pre-patterned array (formed by 50 um x 50 um squares). The reaction of the thiol PE1 with the acrylate functional group is a typical process of the thiol-ene chemistry [91] and is activated by light. The same procedure is then repeated by using the green scQDs.
It is important to highlight the high loading of QDs used for the experiments was 10 wt % for red scQDs and 20 wt % for green QDs, and with this loading the film produced is homogenous.
The stability tests were carried out in conditions of high temperature and humidity, namely at 85 °C and 5% and 85% of humidity in comparison with a film realized with a standard photoresist. In these conditions, the PLQY and the time decay were stable as the initial value for the QDs encapsulated with the siloxane, while the stability of the scQDs embedded in the standard photoresist drops down after one day and it is almost 0 after 30 days. This is a further confirmation that the siloxane encapsulation is effective and ensures also an optimal dispersion.
The chemical stability was also verified in ethanol and strong acid and base for both encapsulants, i.e. siloxane and photoresist, for 30 days. The test was successfully surpassed only by the siloxane encapsulant in which the PLQY of the scQDs remains stable as the initial value.
It is worth mentioning the work of Ozdemir et al. [92] because they use siloxane chemistry to protect each single QD that is then patterned by using a commercial photo patternable resin. In particular, the CdSe/CdS scQDs are first encapsulated in a silica shell that is then functionalized with methylacrylate ligand to improve its dispersion in the photo-patternable resin. In such a way each single scQD is protected from oxygen and moisture while the acrylate function ensures the necessary dispersion in the photo-patternable resin. The mixture formed by CdSe/CdS@SiO2 and resin is the solution that is deposited and patterned by using light.

5.3. Direct Optical Patterning via in situ ligand exchange (DOLFIN)

The patterning strategy that uses the ligands of the scQDs as active molecules for the patterning itself was proposed by Talapin’s group [93] [94] (direct optical lithography of functional inorganic nanomaterials DOLFIN). This is the first example of patterning in which the matrix is absent while the photoresist is a constant of the photolithography. This approach is particularly elegant because it forecasts the exchange of the scQDs ligand “in situ”. The effect of the ligand exchange is the precipitation (change of solubility) of the patterned QDs. The key molecules of this process are the so-called photoacid generators (PAGs) that have to be combined with the scQDs in special ink. The PAGs action is illustrated in Figure 20: the 2-(4-methoxystyryl)-4,6-bis(trichloromethyl)-1,3,5-triazine (MBT), for example, after UV exposure produces chlorine radicals that in presence of solvents (toluene, acetonitrile) induce the formation of HCl that protonates and detaches the oleic acid from the scQD surface. In these conditions the scQDs became insoluble and they precipitate (Figure 20a).
Similarly, the 2-diazo-1-naphthol-4-sulfonic acid (DNS) after the UV exposure produces a sulfonated derivative of the diazonaphtoquinone (ICA) that substitutes the oleic acid at the scQDs surface which become insoluble (Figure 20b). The complete path of patterning can be resumed in four steps: i) The PAGs molecules and the scQDs are mixed forming the so-called photo patternable emissive nanocrystals (PEN) ink, ii) the ink is deposited over the substrate forming a film, iii) the film is then irradiated and iv) the film is developed using a non-polar solvent that wash away the unexposed soluble scQDs. The selection of the PAG molecules is particularly important because they have to be soluble in the preparation. The patterning methodology has been tested in terms of resolution to reach up to 1.5 µm.
Talapin’s group tested also the effect of this patterning methodology over a QD-LED showing that the electro-optical characteristics of the device are almost identical to a similar device realized with pristine scQDs.
Recently Talapin’s group also demonstrated the same approach, the change of the QDs solubility through the in situ modification of the ligands, by using the intensely luminescent all-inorganic nanocrystals (ILANs) [39] for the direct optical patterning. In this work, the ILANs were combined with a molecule that after irradiation produce a type L ligand that complex the surface of the ILANs themselves changing their solubility. In particular, the ILANs were combined with a PAmG-BTA molecule and then deposited. The PAmG-BTA has the property that after UV exposure decomposes giving the n-butylamine (BTA) (Figure 21a). The butylamine is a L-type ligand (two electrons donor) that complex the exposed metal sites at the scQDs surface. This change of ligand switches the solubility of the scQDs in polar solvent so it is possible to get patterned areas (Figure 21b).
The resolution of the patterning arrives up to 2 µm and the thickness of the layer can be modulated by controlling the spin coating parameters and the density of the solutions. The limitation of this work is the decrease of the PLQY always associated with the inorganic ligand exchange, indeed the PLQY of the red scQDs decreases from 80% (un-patterned) to 75% (patterned), from 76% (un-patterned) to 68% (patterned) for green scQDs and from 78% (un-patterned) to 58% (patterned) for the blue emitting scQDs.

5.4. Direct photolithography of scQDs via photo-active cross-linkers

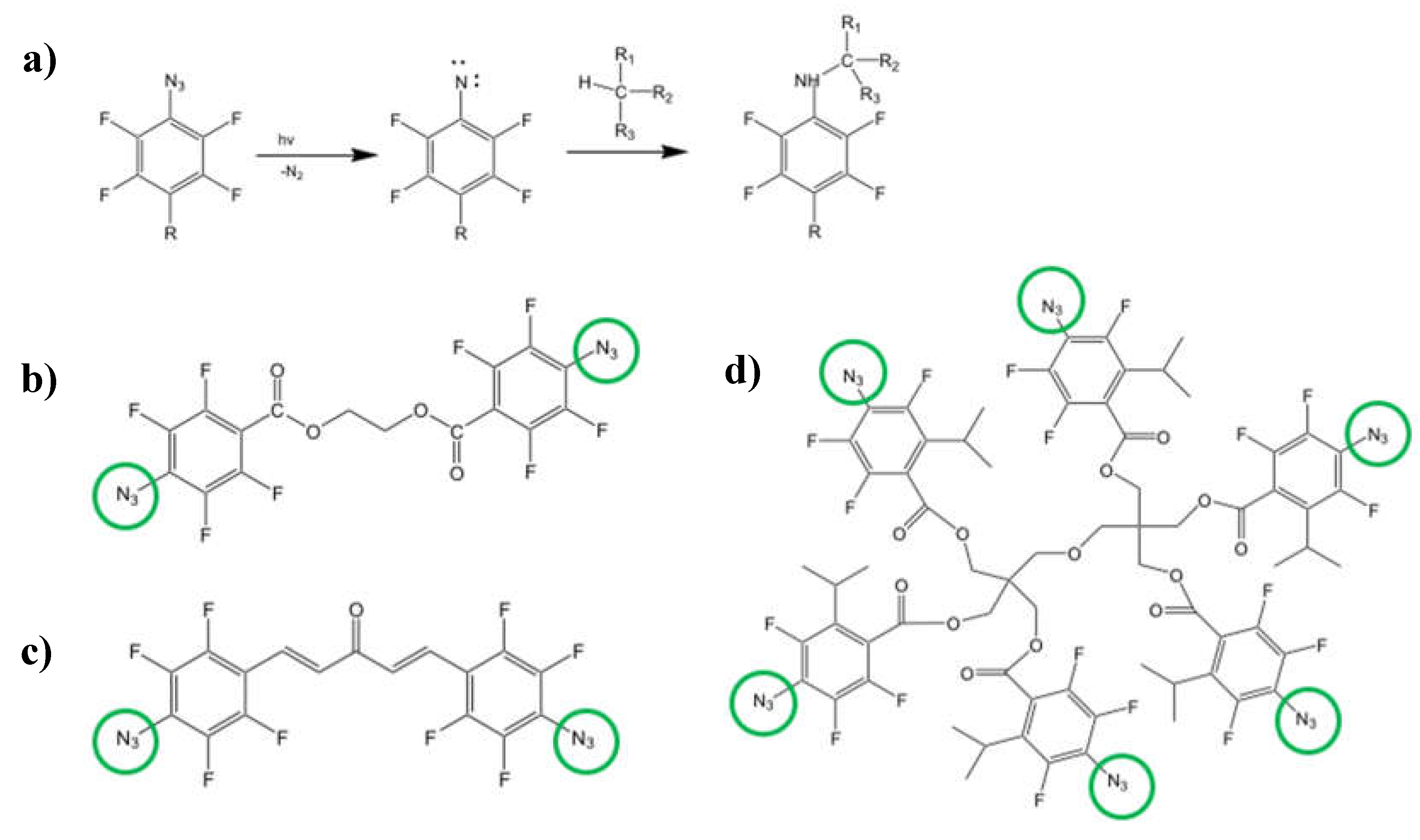
Another DOP strategy in which the photoresist/matrix is absent is the one using the azide cross-linkers [95] [96] [97] [28]. The approach is similar to the one explored with the polymers and siloxanes but it uses only a cross-linker molecule while the matrix is not present. The role of the cross-linker activated by light is to create a network between the scQDs through their organic ligands. With this methodology, all the steps that require the scQDs manipulation, like the ligand exchange or solvent change, or other chemical manipulation necessary for the deposition and patterning of the scQDs are avoided or limited. In particular, the patterning strategy proposed by the Kang group uses a bis-Per Fluoro Phenyl Azide cross-linker (bis-PFPA) that can bind two different carbon atoms of the perovskite QDs ligands after light activation [95] [96].
The PFPA chemistry is shown in Figure 22a: the active group of the molecule is the azide (N3) that after the activation with light, binds a quaternary carbon with a carbon-nitrogen bond [98].
The bis-PFPA are bifunctional cross-linkers bearing two azide groups in opposite positions (Figure 22b and c) that can act as a bridge between two different carbon atoms.
When the bifunctional cross-linker is mixed with the scQDs reacts with two different carbon groups of two ligand aliphatic chains of the neighboring scQDs (Figure 23). A step that deserves attention is the evaluation of the right amount of the cross-linker that can damage the QDs optical properties. However, this drawback has been solved by the same research group by modifying the structure of the PFPA by introducing a multiple-arm PFPA (Figure 22d) [97]. Indeed, the bulky structure of the multiple-arm PFPA prevents the photoactivated nitrene radicals to join the scQDs surface compromising the PLQY.
With the use of a six-arm PFPA, the final pixel diameter obtained with the photopatterning is 6 µm, 4 µm, and 2.5 µm. This methodology was utilized to manufacture an electron-driven QD-LED as a test for the effect of the crosslinker and the device stability in comparison with a QD-LED without any crosslinker [97]. In both devices, the current-voltage characteristics are almost identical, however, the time at which the luminance became 90% of the initial one (L = 1000 cd m-2) is 156 h for the crosslinked device with respect to 15 h of the QD-LED without cross-linking. The authors suggest that the increased robustness of the device is a consequence of the scQDs crosslinking that decreases the interfacial defects between the scQDs layer and the ZnMgO electron transporting layer.
Further advancement with the cross-linkers was made by introducing a benzophenone-derived ligand for direct optical patterning [28]. This strategy introduces the benzophenone cross-linker as an end group of the scQDs ligand instead of adding an external molecule like the bis-azides. Of course, this new ligand has to be exchanged with the native ligand of the synthesized scQDs. The benzophenone acts as the azide cross-linker by binding a four-valence carbon group of a neighboring ligand of another scQDs (Figure 24a). The patterning strategy starts with the QDs ligand exchange to replace some of the native ligands with the benzophenone-modified ligand (Figure 24b, c, and d). Then the light activates the process of cross linking, and patterning (Figure 24e).
The advantages presented by this strategy are based on the synthesis of a ligand bearing as end-group the benzophenone and as a surface binding group a thiol. This new ligand is exchanged with the native ligand and only a small amount of substitution (below 10%) is necessary to have a good cross-linking. The final scQDs are a two-ligand system that allows an optimal scQDs dispersion within each type of solvent. Indeed, one ligand ensures the cross-linking while the other one the solubility. And this is an important factor that tackles also the issue of the solubility of the cross-linkers with the solvents of the scQDs and allows the use of these solutions also for ink-jet patterning. Another advantage with respect to the bis-azide cross-linkers is that the latter can hinder the charge transport between the QDs.
The authors tested both the optical properties of the patterned scQDs and the patterning resolution. The PLQY of the ligand-exchanged scQDs remains unchanged after the ligand displacement due to the mild exchanging procedure and even after the cross-linking reaction. The patterning resolution was high indeed, the authors were able to reach patterns with widths from 3.8 µm up to 0.8 µm. Another interesting feature of the chemistry of the patterning is that can be repeated layer by layer without any buffering coating.
The authors also tested the patterned scQDs in an electron-driven QD-LED and all the electrical and optical characteristics are almost identical to the ones using the pristine scQDs.

5.5. Direct optical patterning of scQDs via their direct synthesis

The DOP has been used also for the direct synthesis of the scQDs by using a laser [99]. The main technical difference with respect to the previous methodologies is that the laser was used to directly synthesize the scQDs.
This technique often called, direct laser patterning [99], combine the flexibility of the laser technique both at the industrial and technological level with the chemistry and optical properties of the QDs. Indeed, recently it was demonstrated that by changing the laser parameters like the pulse power and frequency, it’s possible to pattern (to grow) the scQDs modulating their optical properties [100]. This kind of result has been possible by designing the chemistry of the film to be patterned in a relatively smarter way. This means including in the chemical formulation the suitable scQDs precursors, polymeric matrix, and other chemicals allowing the laser-stimulated scQDs growth (Figure 25a).
Among these components, it is worth mentioning the BZT, (2-(2H-Benzotriazol-2-yl)-4,6-ditertpentylphenol), which is a molecule that absorbs the laser light converting it into thermal energy that is the driving force of the QDs synthesis.
On the other side, equally important, are the laser parameters that condition the achievement of the correct optical properties of the scQDs. Indeed, given a film chemical formulation, only specific combinations of pulse frequency (laser repetition rate), laser power, and beam speed allow to reach the proper conditions to grow the green or red-emitting CdTe scQDs regions (Figure 25b).
The formation of the CdTe scQDs is induced by the heat generated by BZT after the absorption of the UV laser radiation. Indeed, the CdTe precursors were designed to form the CdTe scQDs by a thermal process when incorporated in a similar polymeric matrix [101]. By observing the parameters necessary to obtain red or green crystals it was evident that the laser dose and the laser repetition rate are the key factors determining the optical properties of the CdTe scQDs. In particular, the pulse frequency is the key factor to obtain the red and green squares because the pulse frequency is correlated with the temperature of the film. Indeed, it was shown that an annealing process carried out at relatively low temperatures favors the green scQDs while at higher temperatures the growth of the red scQDs is stimulated [101].
The laser pulse frequency influences the film temperature because at 20 kHz, for example, each laser pulse is separated from the next one by 50 μsec and this means that the heating and cooling steps are separated enough to achieve the correct temperature of the matrix suitable to grow the green-emitting scQDs. At higher frequencies (80 – 100 kHz), the time distance from the pulses is in the range 1 – 10 μsec, and the film has not enough time to cool down. This means that the temperature of the film is higher enough to induce the red-emitting scQDs formation.
The limitation of this work is about the scQDs stability. Indeed, the matrix is not designed to protect the CdTe scQDs from environmental conditions (oxygen and moisture) so the PL intensity and the time stability are poor. However, this work demonstrates that direct optical patterning can be a suitable strategy to modulate the QDs optical properties and that the use of a laser can replace the masks’ manufacturing maintaining a high resolution and automation typical of lasers.

6. Conclusions

This report has shown a path that goes from the properties of the scQDs to their patterning, passing through the methods for improving their dispersion and stability in a matrix. Direct optical patterning (DOP) is an emerging tool to simplify the patterning process of the scQDs for display manufacturing that, however, is strictly related to the chemical processes that lead to the stability and homogeneity (dispersion) of the QDs for the correct function of the device.
It was shown that to optimize the dispersion of the scQDs within a matrix the golden rule is to homogenize the interaction of the scQDs with the matrix itself. This means that the organic ligand at the QDs surface should have the same chemical nature as the matrix.
On the other side, stability is ensured by the formation of a close network of covalent bonds that cages the scQDs preventing the loss of the ligands and surface atoms and hence preserving their optical properties.
Bearing in mind these two main boundary conditions here are evaluated five different approaches of DOP that exploit different chemical processes. Even if often a comparison is difficult, due to the different tests carried out and different types of samples, some general evaluation can be done.
The thiol-ene approach to DOP uses two simple multi-branched molecules, one thiol and one with a double bond, to encapsulate and pattern the scQDs [88] [89]. The limitation of these works lies in the fact that the encapsulating network is still not designed to improve the interaction between the network itself and the QDs. In this sense, the work presented by Lesnyak’s group with PIB polymer is more suitable [75]. Indeed, the PIB cross-linkable polymer and the scQDs functionalized with PIB-ligand improve the dispersion and stability of the QDs in the matrix. Even if this approach has not been tested for patterning, the fact that with the help of light, the polymeric network is formed means that the DOP can reasonably be applied.
The DOP associated with the chemistry of the cross-linkers like azides [102] or benzophenone [28] is one of the matrix-free methods. This method requests a moderate impact in chemistry for the synthesis of specific azides or ligands bearing the benzophenone end group. Once the impact of the chemical manipulation has been overcome and this should be taken into consideration for an industrial application, the patterning is relatively simple. The patterning approach of Talapin’s group [93] [94] is an elegant way to control the position of the QDs but the ligand exchange presents a decrease, even if modest, in the PLQY that influences the efficiency of the whole system. In these matrix-free methods, the absence of an encapsulating agent does not ensure the stability of the material over time and in harsh conditions, even if it is possible to conceive that the presence of a matrix should not compromise the patterning strategy as also reported by Hahm et al. [28].
The direct synthesis of the scQDs by laser [100] is interesting from the scientific point of view, but without the setup of an encapsulating agent is not suitable for market exploitation.
The patterning strategy using the siloxanes [27] seems to be the most mature approach because it has been developed over time to surpass dispersion, moisture, temperature, mechanical and biocompatibility tests. The Bae’s group indeed, “played” with siloxane chemistry introducing time by time different chemical groups to improve the dispersion of the scQDs, the optical transparency of the matrix [86], the stability at higher temperatures [81], or the mechanical performances of the siloxanes [79]. In addition, the chemistry of the siloxanes is well-developed and almost all the reagents described are commercially available.
In conclusion, the combination of the use of the laser for DOP with the mentioned chemical strategies starting from the chemistry of the siloxanes could be an interesting benchmark to find the best chemical path for the patterning of functional scQDs. Indeed, what is appealing in the use of the laser as patterning equipment, is that i) it is not necessary to have a mask for patterning, ii) the laser is easily driven by a PC (beam position and energy) iii) it maintains a high resolution [103] [104] and, finally, iv) from an industrial point of view, it is a mature technology with a wide industrial penetration.

Funding

This work received no external funding.

Data Availability Statement

Not applicable.

Acknowledgments

The author thanks the staff of Fusion and Technologies for Nuclear Safety and Security Department of the research Centre of Frascati for the technical and administrative support and the library staff of the research Centre of Frascati for the prompt manuscript retrieving and printing.

Conflicts of Interest

The author declares no conflict of interest.

References

  1. Introduction to Semiconductor Lithography. In Fundamental Principles of Optical Lithography; John Wiley & Sons, Ltd, 2007; pp. 1–28 ISBN 978-0-470-72387-6.
  2. Sung, S.H.; Yoon, H.; Lim, J.; Char, K. Reusable Stamps for Printing Sub-100 Nm Patterns of Functional Nanoparticles. Small 2012, 8, 826–831. [Google Scholar] [CrossRef]
  3. Kim, B.H.; Onses, M.S.; Lim, J.B.; Nam, S.; Oh, N.; Kim, H.; Yu, K.J.; Lee, J.W.; Kim, J.-H.; Kang, S.-K.; et al. High-Resolution Patterns of Quantum Dots Formed by Electrohydrodynamic Jet Printing for Light-Emitting Diodes. Nano Lett. 2015, 15, 969–973. [Google Scholar] [CrossRef]
  4. García de Arquer, F.P.; Talapin, D.V.; Klimov, V.I.; Arakawa, Y.; Bayer, M.; Sargent, E.H. Semiconductor Quantum Dots: Technological Progress and Future Challenges. Science 2021, 373, eaaz8541. [Google Scholar] [CrossRef] [PubMed]
  5. Bayer, M. Bridging Two Worlds: Colloidal versus Epitaxial Quantum Dots. Annalen der Physik 2019, 531, 1900039. [Google Scholar] [CrossRef]
  6. Wu, Y.; Jia, R.; Xu, J.; Song, L.; Liu, Y.; Zhang, Y.; Ullah, S.; Dai, J. Strategies of Improving CsPbX3 Perovskite Quantum Dots Optical Performance. Frontiers in Materials 2022, 9. [Google Scholar] [CrossRef]
  7. Song, Z.; Zhao, J.; Liu, Q. Luminescent Perovskites: Recent Advances in Theory and Experiments. Inorg. Chem. Front. 2019, 6, 2969–3011. [Google Scholar] [CrossRef]
  8. Haydous, F.; Gardner, J.M.; Cappel, U.B. The Impact of Ligands on the Synthesis and Application of Metal Halide Perovskite Nanocrystals. J. Mater. Chem. A 2021, 9, 23419–23443. [Google Scholar] [CrossRef]
  9. Efros, A.L.; Brus, L.E. Nanocrystal Quantum Dots: From Discovery to Modern Development. ACS Nano 2021, 15, 6192–6210. [Google Scholar] [CrossRef]
  10. Todescato, F.; Fortunati, I.; Minotto, A.; Signorini, R.; Jasieniak, J.J.; Bozio, R. Engineering of Semiconductor Nanocrystals for Light Emitting Applications. Materials 2016, 9, 672. [Google Scholar] [CrossRef]
  11. Reiss, P.; Protière, M.; Li, L. Core/Shell Semiconductor Nanocrystals. Small 2009, 5, 154–168. [Google Scholar] [CrossRef]
  12. Eagle, F.W.; Park, N.; Cash, M.; Cossairt, B.M. Surface Chemistry and Quantum Dot Luminescence: Shell Growth, Atomistic Modification, and Beyond. ACS Energy Lett. 2021, 6, 977–984. [Google Scholar] [CrossRef]
  13. Zhou, J.; Zhu, M.; Meng, R.; Qin, H.; Peng, X. Ideal CdSe/CdS Core/Shell Nanocrystals Enabled by Entropic Ligands and Their Core Size-, Shell Thickness-, and Ligand-Dependent Photoluminescence Properties. J. Am. Chem. Soc. 2017, 139, 16556–16567. [Google Scholar] [CrossRef]
  14. Cao, Z.; Shu, Y.; Qin, H.; Su, B.; Peng, X. Quantum Dots with Highly Efficient, Stable, and Multicolor Electrochemiluminescence. ACS Cent. Sci. 2020, 6, 1129–1137. [Google Scholar] [CrossRef]
  15. Jin, X.; Xie, K.; Zhang, T.; Lian, H.; Zhang, Z.; Xu, B.; Li, D.; Li, Q. Cation Exchange Assisted Synthesis of ZnCdSe/ZnSe Quantum Dots with Narrow Emission Line Widths and near-Unity Photoluminescence Quantum Yields. Chem. Commun. 2020, 56, 6130–6133. [Google Scholar] [CrossRef]
  16. Hanifi, D.A.; Bronstein, N.D.; Koscher, B.A.; Nett, Z.; Swabeck, J.K.; Takano, K.; Schwartzberg, A.M.; Maserati, L.; Vandewal, K.; van de Burgt, Y.; et al. Redefining Near-Unity Luminescence in Quantum Dots with Photothermal Threshold Quantum Yield. Science 2019, 363, 1199–1202. [Google Scholar] [CrossRef]
  17. Meinardi, F.; Colombo, A.; Velizhanin, K.A.; Simonutti, R.; Lorenzon, M.; Beverina, L.; Viswanatha, R.; Klimov, V.I.; Brovelli, S. Large-Area Luminescent Solar Concentrators Based on ‘Stokes-Shift-Engineered’ Nanocrystals in a Mass-Polymerized PMMA Matrix. Nature Photon 2014, 8, 392–399. [Google Scholar] [CrossRef]
  18. Selopal, G.S.; Abdelkarim, O.; Kumar, P.; Jin, L.; Liu, J.; Zhao, H.; Yurtsever, A.; Vidal, F.; Wang, Z.M.; Rosei, F. Role of Interfacial Engineering of “Giant” Core–Shell Quantum Dots. ACS Appl. Energy Mater. 2022, 5, 1447–1459. [Google Scholar] [CrossRef]
  19. Carbone, L.; Nobile, C.; De Giorgi, M.; Sala, F.D.; Morello, G.; Pompa, P.; Hytch, M.; Snoeck, E.; Fiore, A.; Franchini, I.R.; et al. Synthesis and Micrometer-Scale Assembly of Colloidal CdSe/CdS Nanorods Prepared by a Seeded Growth Approach. Nano Lett. 2007, 7, 2942–2950. [Google Scholar] [CrossRef] [PubMed]
  20. Srivastava, A.K.; Zhang, W.; Schneider, J.; Halpert, J.E.; Rogach, A.L. Luminescent Down-Conversion Semiconductor Quantum Dots and Aligned Quantum Rods for Liquid Crystal Displays. Advanced Science 2019, 6, 1901345. [Google Scholar] [CrossRef] [PubMed]
  21. Diroll, B.T.; Guzelturk, B.; Po, H.; Dabard, C.; Fu, N.; Makke, L.; Lhuillier, E.; Ithurria, S. 2D II–VI Semiconductor Nanoplatelets: From Material Synthesis to Optoelectronic Integration. Chem. Rev. 2023. [Google Scholar] [CrossRef]
  22. Onal, A.; Sadeghi, S.; Melikov, R.; Karatum, O.; Eren, G.O.; Nizamoglu, S. Quantum Dot to Nanorod Transition for Efficient White-Light-Emitting Diodes with Suppressed Absorption Losses. ACS Photonics 2022, 9, 3268–3278. [Google Scholar] [CrossRef]
  23. Giansante, C. Library Design of Ligands at the Surface of Colloidal Nanocrystals. Acc. Chem. Res. 2020, 53, 1458–1467. [Google Scholar] [CrossRef] [PubMed]
  24. Boles, M.A.; Ling, D.; Hyeon, T.; Talapin, D.V. The Surface Science of Nanocrystals. Nature Mater 2016, 15, 141–153. [Google Scholar] [CrossRef] [PubMed]
  25. Hines, D.A.; Forrest, R.P.; Corcelli, S.A.; Kamat, P.V. Predicting the Rate Constant of Electron Tunneling Reactions at the CdSe–TiO2 Interface. J. Phys. Chem. B 2015, 119, 7439–7446. [Google Scholar] [CrossRef] [PubMed]
  26. Grisorio, R.; Quarta, D.; Fiore, A.; Carbone, L.; Paolo Suranna, G.; Giansante, C. The Dynamic Surface Chemistry of Colloidal Metal Chalcogenide Quantum Dots. Nanoscale Advances 2019, 1, 3639–3646. [Google Scholar] [CrossRef]
  27. Kim, Y.H.; Koh, S.; Lee, H.; Kang, S.-M.; Lee, D.C.; Bae, B.-S. Photo-Patternable Quantum Dots/Siloxane Composite with Long-Term Stability for Quantum Dot Color Filters. ACS Appl. Mater. Interfaces 2020, 12, 3961–3968. [Google Scholar] [CrossRef]
  28. Hahm, D.; Lim, J.; Kim, H.; Shin, J.-W.; Hwang, S.; Rhee, S.; Chang, J.H.; Yang, J.; Lim, C.H.; Jo, H.; et al. Direct Patterning of Colloidal Quantum Dots with Adaptable Dual-Ligand Surface. Nat. Nanotechnol. 2022, 17, 952–958. [Google Scholar] [CrossRef]
  29. Yang, Y.; Qin, H.; Jiang, M.; Lin, L.; Fu, T.; Dai, X.; Zhang, Z.; Niu, Y.; Cao, H.; Jin, Y.; et al. Entropic Ligands for Nanocrystals: From Unexpected Solution Properties to Outstanding Processability. Nano Lett. 2016, 16, 2133–2138. [Google Scholar] [CrossRef]
  30. Anderson, N.C.; Hendricks, M.P.; Choi, J.J.; Owen, J.S. Ligand Exchange and the Stoichiometry of Metal Chalcogenide Nanocrystals: Spectroscopic Observation of Facile Metal-Carboxylate Displacement and Binding. J. Am. Chem. Soc. 2013, 135, 18536–18548. [Google Scholar] [CrossRef] [PubMed]
  31. Chen, Y.; Chen, D.; Li, Z.; Peng, X. Symmetry-Breaking for Formation of Rectangular CdSe Two-Dimensional Nanocrystals in Zinc-Blende Structure. J. Am. Chem. Soc. 2017, 139, 10009–10019. [Google Scholar] [CrossRef] [PubMed]
  32. Giansante, C. Surface Chemistry Control of Colloidal Quantum Dot Band Gap. J. Phys. Chem. C 2018, 122, 18110–18116. [Google Scholar] [CrossRef]
  33. Ehlert, S.; Stegelmeier, C.; Pirner, D.; Förster, S. A General Route to Optically Transparent Highly Filled Polymer Nanocomposites. Macromolecules 2015, 48, 5323–5327. [Google Scholar] [CrossRef]
  34. Noh, M.; Kim, T.; Lee, H.; Kim, C.-K.; Joo, S.-W.; Lee, K. Fluorescence Quenching Caused by Aggregation of Water-Soluble CdSe Quantum Dots. Colloids and Surfaces A: Physicochemical and Engineering Aspects 2010, 359, 39–44. [Google Scholar] [CrossRef]
  35. Kang, T.; Um, K.; Park, J.; Chang, H.; Lee, D.C.; Kim, C.-K.; Lee, K. Minimizing the Fluorescence Quenching Caused by Uncontrolled Aggregation of CdSe/CdS Core/Shell Quantum Dots for Biosensor Applications. Sensors and Actuators B: Chemical 2016, 222, 871–878. [Google Scholar] [CrossRef]
  36. Reitinger, N.; Hohenau, A.; Köstler, S.; Krenn, J.R.; Leitner, A. Radiationless Energy Transfer in CdSe/ZnS Quantum Dot Aggregates Embedded in PMMA. physica status solidi (a) 2011, 208, 710–714. [Google Scholar] [CrossRef]
  37. Shiman, D.I.; Sayevich, V.; Meerbach, C.; Nikishau, P.A.; Vasilenko, I.V.; Gaponik, N.; Kostjuk, S.V.; Lesnyak, V. Robust Polymer Matrix Based on Isobutylene (Co)Polymers for Efficient Encapsulation of Colloidal Semiconductor Nanocrystals. ACS Appl. Nano Mater. 2019, 2, 956–963. [Google Scholar] [CrossRef]
  38. Kovalenko, M.V.; Scheele, M.; Talapin, D.V. Colloidal Nanocrystals with Molecular Metal Chalcogenide Surface Ligands. Science 2009, 324, 1417–1420. [Google Scholar] [CrossRef] [PubMed]
  39. Xiao, P.; Zhang, Z.; Ge, J.; Deng, Y.; Chen, X.; Zhang, J.-R.; Deng, Z.; Kambe, Y.; Talapin, D.V.; Wang, Y. Surface Passivation of Intensely Luminescent All-Inorganic Nanocrystals and Their Direct Optical Patterning. Nat Commun 2023, 14, 49. [Google Scholar] [CrossRef]
  40. Yang, X.; Zhou, S.; Zhang, X.; Xiang, L.; Xie, B.; Luo, X. Enhancing Oxygen/Moisture Resistance of Quantum Dots by Short-Chain, Densely Cross-Linked Silica Glass Network. Nanotechnology 2022, 33, 465202. [Google Scholar] [CrossRef] [PubMed]
  41. Nirmal, M.; Dabbousi, B.O.; Bawendi, M.G.; Macklin, J.J.; Trautman, J.K.; Harris, T.D.; Brus, L.E. Fluorescence Intermittency in Single Cadmium Selenide Nanocrystals. Nature 1996, 383, 802–804. [Google Scholar] [CrossRef]
  42. Qin, H.; Meng, R.; Wang, N.; Peng, X. Photoluminescence Intermittency and Photo-Bleaching of Single Colloidal Quantum Dot. Advanced Materials 2017, 29, 1606923. [Google Scholar] [CrossRef] [PubMed]
  43. Moon, H.; Lee, C.; Lee, W.; Kim, J.; Chae, H. Stability of Quantum Dots, Quantum Dot Films, and Quantum Dot Light-Emitting Diodes for Display Applications. Advanced Materials 2019, 31, 1804294. [Google Scholar] [CrossRef]
  44. Lee, W.; Son, H.J.; Lee, D.-K.; Kim, B.; Kim, H.; Kim, K.; Ko, M.J. Suppression of Photocorrosion in CdS/CdSe Quantum Dot-Sensitized Solar Cells: Formation of a Thin Polymer Layer on the Photoelectrode Surface. Synthetic Metals 2013, 165, 60–63. [Google Scholar] [CrossRef]
  45. Vokhmintcev, K.V.; Guhrenz, C.; Gaponik, N.; Nabiev, I.; Samokhvalov, P.S. Quenching of Quantum Dots Luminescence under Light Irradiation and Its Influence on the Biological Application. J. Phys.: Conf. Ser. 2017, 784, 012014. [Google Scholar] [CrossRef]
  46. Hu, Z.; Liu, S.; Qin, H.; Zhou, J.; Peng, X. Oxygen Stabilizes Photoluminescence of CdSe/CdS Core/Shell Quantum Dots via Deionization. J. Am. Chem. Soc. 2020, 142, 4254–4264. [Google Scholar] [CrossRef] [PubMed]
  47. Hu, Z.; Shu, Y.; Qin, H.; Hu, X.; Peng, X. Water Effects on Colloidal Semiconductor Nanocrystals: Correlation of Photophysics and Photochemistry. J. Am. Chem. Soc. 2021, 143, 18721–18732. [Google Scholar] [CrossRef] [PubMed]
  48. Carrillo-Carrión, C.; Cárdenas, S.; Simonet, B.M.; Valcárcel, M. Quantum Dots Luminescence Enhancement Due to Illumination with UV/Vis Light. Chem. Commun. 2009, 5214–5226. [Google Scholar] [CrossRef]
  49. Hines, D.A.; Becker, M.A.; Kamat, P.V. Photoinduced Surface Oxidation and Its Effect on the Exciton Dynamics of CdSe Quantum Dots. J. Phys. Chem. C 2012, 116, 13452–13457. [Google Scholar] [CrossRef]
  50. Jo, J.H.; Heo, H.S.; Lee, K. Assessing Stability of Nanocomposites Containing Quantum Dot/Silica Hybrid Particles with Different Morphologies at High Temperature and Humidity. Chem. Mater. 2020, 32, 10538–10544. [Google Scholar] [CrossRef]
  51. Cai, X.; Martin, J.E.; Shea-Rohwer, L.E.; Gong, K.; Kelley, D.F. Thermal Quenching Mechanisms in II–VI Semiconductor Nanocrystals. J. Phys. Chem. C 2013, 117, 7902–7913. [Google Scholar] [CrossRef]
  52. Woo, J.Y.; Kim, K.N.; Jeong, S.; Han, C.-S. Thermal Behavior of a Quantum Dot Nanocomposite as a Color Converting Material and Its Application to White LED. Nanotechnology 2010, 21, 495704. [Google Scholar] [CrossRef] [PubMed]
  53. Javaux, C.; Mahler, B.; Dubertret, B.; Shabaev, A.; Rodina, A.V.; Efros, A.L.; Yakovlev, D.R.; Liu, F.; Bayer, M.; Camps, G.; et al. Thermal Activation of Non-Radiative Auger Recombination in Charged Colloidal Nanocrystals. Nature Nanotech 2013, 8, 206–212. [Google Scholar] [CrossRef] [PubMed]
  54. Orfield, N.J.; Majumder, S.; McBride, J.R.; Yik-Ching Koh, F.; Singh, A.; Bouquin, S.J.; Casson, J.L.; Johnson, A.D.; Sun, L.; Li, X.; et al. Photophysics of Thermally-Assisted Photobleaching in “Giant” Quantum Dots Revealed in Single Nanocrystals. ACS Nano 2018, 12, 4206–4217. [Google Scholar] [CrossRef] [PubMed]
  55. Zhao, Y.; Riemersma, C.; Pietra, F.; Koole, R.; de Mello Donegá, C.; Meijerink, A. High-Temperature Luminescence Quenching of Colloidal Quantum Dots. ACS Nano 2012, 6, 9058–9067. [Google Scholar] [CrossRef] [PubMed]
  56. Zhao, Y.; Riemersma, C.; Pietra, F.; Koole, R.; de Mello Donegá, C.; Meijerink, A. High-Temperature Luminescence Quenching of Colloidal Quantum Dots. ACS Nano 2012, 6, 9058–9067. [Google Scholar] [CrossRef] [PubMed]
  57. Yu, M.; Saeed, M.H.; Zhang, S.; Wei, H.; Gao, Y.; Zou, C.; Zhang, L.; Yang, H. Luminescence Enhancement, Encapsulation, and Patterning of Quantum Dots Toward Display Applications. Advanced Functional Materials 2022, 32, 2109472. [Google Scholar] [CrossRef]
  58. Lv, W.; Li, L.; Xu, M.; Hong, J.; Tang, X.; Xu, L.; Wu, Y.; Zhu, R.; Chen, R.; Huang, W. Improving the Stability of Metal Halide Perovskite Quantum Dots by Encapsulation. Advanced Materials 2019, 31, 1900682. [Google Scholar] [CrossRef] [PubMed]
  59. Zhou, S.; Xie, B.; Yang, X.; Zhang, X.; Luo, X. Superior Hydrophobic Silica-Coated Quantum Dot for Stable Optical Performance in Humid Environments. Nanotechnology 2022, 33, 195202. [Google Scholar] [CrossRef]
  60. Wang, N.; Koh, S.; Jeong, B.G.; Lee, D.; Kim, W.D.; Park, K.; Nam, M.K.; Lee, K.; Kim, Y.; Lee, B.-H.; et al. Highly Luminescent Silica-Coated CdS/CdSe/CdS Nanoparticles with Strong Chemical Robustness and Excellent Thermal Stability. Nanotechnology 2017, 28, 185603. [Google Scholar] [CrossRef]
  61. Ko, J.; Jeong, B.G.; Chang, J.H.; Joung, J.F.; Yoon, S.-Y.; Lee, D.C.; Park, S.; Huh, J.; Yang, H.; Bae, W.K.; et al. Chemically Resistant and Thermally Stable Quantum Dots Prepared by Shell Encapsulation with Cross-Linkable Block Copolymer Ligands. NPG Asia Mater 2020, 12, 1–11. [Google Scholar] [CrossRef]
  62. Dankert, F.; von Hänisch, C. Siloxane Coordination Revisited: Si−O Bond Character, Reactivity and Magnificent Molecular Shapes. European Journal of Inorganic Chemistry 2021, 2021, 2907–2927. [Google Scholar] [CrossRef]
  63. Koole, R.; van Schooneveld, M.M.; Hilhorst, J.; de Mello Donegá, C.; Hart, D.C. ʼt; van Blaaderen, A.; Vanmaekelbergh, D.; Meijerink, A. On the Incorporation Mechanism of Hydrophobic Quantum Dots in Silica Spheres by a Reverse Microemulsion Method. Chem. Mater. 2008, 20, 2503–2512. [Google Scholar] [CrossRef]
  64. Goryacheva, O.A.; Guhrenz, C.; Schneider, K.; Beloglazova, N.V.; Goryacheva, I.Yu.; De Saeger, S.; Gaponik, N. Silanized Luminescent Quantum Dots for the Simultaneous Multicolor Lateral Flow Immunoassay of Two Mycotoxins. ACS Appl. Mater. Interfaces 2020, 12, 24575–24584. [Google Scholar] [CrossRef] [PubMed]
  65. Chemtob, A.; Versace, D.-L.; Belon, C.; Croutxé-Barghorn, C.; Rigolet, S. Concomitant Organic−Inorganic UV-Curing Catalyzed by Photoacids. Macromolecules 2008, 41, 7390–7398. [Google Scholar] [CrossRef]
  66. Lowe, A.B. Thiol-Ene “Click” Reactions and Recent Applications in Polymer and Materials Synthesis. Polym. Chem. 2010, 1, 17–36. [Google Scholar] [CrossRef]
  67. Kade, M.J.; Burke, D.J.; Hawker, C.J. The Power of Thiol-Ene Chemistry. Journal of Polymer Science Part A: Polymer Chemistry 2010, 48, 743–750. [Google Scholar] [CrossRef]
  68. Dondoni, A. The Emergence of Thiol–Ene Coupling as a Click Process for Materials and Bioorganic Chemistry. Angewandte Chemie International Edition 2008, 47, 8995–8997. [Google Scholar] [CrossRef]
  69. Chan, J.W.; Hoyle, C.E.; Lowe, A.B. Sequential Phosphine-Catalyzed, Nucleophilic Thiol−Ene/Radical-Mediated Thiol−Yne Reactions and the Facile Orthogonal Synthesis of Polyfunctional Materials. J. Am. Chem. Soc. 2009, 131, 5751–5753. [Google Scholar] [CrossRef]
  70. Smith, M.J.; Malak, S.T.; Jung, J.; Yoon, Y.J.; Lin, C.H.; Kim, S.; Lee, K.M.; Ma, R.; White, T.J.; Bunning, T.J.; et al. Robust, Uniform, and Highly Emissive Quantum Dot–Polymer Films and Patterns Using Thiol–Ene Chemistry. ACS Appl. Mater. Interfaces 2017, 9, 17435–17448. [Google Scholar] [CrossRef] [PubMed]
  71. Phillips, J.P.; Mackey, N.M.; Confait, B.S.; Heaps, D.T.; Deng, X.; Todd, M.L.; Stevenson, S.; Zhou, H.; Hoyle, C.E. Dispersion of Gold Nanoparticles in UV-Cured, Thiol−Ene Films by Precomplexation of Gold−Thiol. Chem. Mater. 2008, 20, 5240–5245. [Google Scholar] [CrossRef]
  72. Heo, H.S.; Jo, J.H.; Lee, S.J.; Yun, C.; Choi, S.-H.; Lee, J.H.; Lee, K. Fabrication of Cross-Linked Quantum Dot/Colorless-Polyimide Nanocomposites for Highly Efficient and Long-Term Stable Light-Emitting Diodes. Chem. Mater. 2022, 34, 6958–6967. [Google Scholar] [CrossRef]
  73. Zhang, E.; Chen, H.; Dai, X.; Liu, X.; Yang, W.; Liu, W.; Dong, Z.; Qiu, X.; Ji, X. Influence of Molecular Weight on Scaling Exponents and Critical Concentrations of One Soluble 6FDA-TFDB Polyimide in Solution. J Polym Res 2017, 24, 47. [Google Scholar] [CrossRef]
  74. Zhang, E.; Chen, H.; Dai, X.; Liu, X.; Yang, W.; Liu, W.; Dong, Z.; Qiu, X.; Ji, X. Influence of Molecular Weight on Scaling Exponents and Critical Concentrations of One Soluble 6FDA-TFDB Polyimide in Solution. J Polym Res 2017, 24, 47. [Google Scholar] [CrossRef]
  75. Prudnikau, A.; Shiman, D.I.; Ksendzov, E.; Harwell, J.; Bolotina, E.A.; Nikishau, P.A.; Kostjuk, S.V.; Samuel, I.D.W.; Lesnyak, V. Design of Cross-Linked Polyisobutylene Matrix for Efficient Encapsulation of Quantum Dots. Nanoscale Adv. 2021, 3, 1443–1454. [Google Scholar] [CrossRef]
  76. Yang, B.; Parada, C.M.; Storey, R.F. Synthesis, Characterization, and Photopolymerization of Polyisobutylene Phenol (Meth)Acrylate Macromers. Macromolecules 2016, 49, 6173–6185. [Google Scholar] [CrossRef]
  77. Lim, Y.-W.; Jin, J.; Bae, B.-S. Optically Transparent Multiscale Composite Films for Flexible and Wearable Electronics. Advanced Materials 2020, 32, 1907143. [Google Scholar] [CrossRef] [PubMed]
  78. Ro, H.W.; Soles, C.L. Silsesquioxanes in Nanoscale Patterning Applications. Materials Today 2011, 14, 20–33. [Google Scholar] [CrossRef]
  79. Lee, H.E.; Lee, D.; Lee, T.-I.; Jang, J.; Jang, J.; Lim, Y.-W.; Shin, J.H.; Kang, S.-M.; Choi, G.-M.; Joe, D.J.; et al. Siloxane Hybrid Material-Encapsulated Highly Robust Flexible ΜLEDs for Biocompatible Lighting Applications. ACS Appl. Mater. Interfaces 2022, 14, 28258–28269. [Google Scholar] [CrossRef] [PubMed]
  80. Kuk, S.K.; Jang, J.; Han, H.J.; Lee, E.; Oh, H.; Kim, H.Y.; Jang, J.; Lee, K.T.; Lee, H.; Jung, Y.S.; et al. Siloxane-Encapsulated Upconversion Nanoparticle Hybrid Composite with Highly Stable Photoluminescence against Heat and Moisture. ACS Appl. Mater. Interfaces 2019, 11, 15952–15959. [Google Scholar] [CrossRef] [PubMed]
  81. Jang, J.; Yoon, D.-E.; Kang, S.-M.; Kim, Y.H.; Lee, I.; Lee, H.; Kim, Y.H.; Lee, D.C.; Bae, B.-S. Exceptionally Stable Quantum Dot/Siloxane Hybrid Encapsulation Material for White Light-Emitting Diodes with a Wide Color Gamut. Nanoscale 2019, 11, 14887–14895. [Google Scholar] [CrossRef] [PubMed]
  82. Yang, S.; Jin, J.; Kwak, S.-Y.; Bae, B.-S. Photocurable Transparent Cycloaliphatic Epoxy Hybrid Materials Crosslinked by Oxetane. Journal of Applied Polymer Science 2012, 126, E380–E386. [Google Scholar] [CrossRef]
  83. Jang, J.; Kim, Y.-H.; Park, S.; Yoo, D.; Cho, H.; Jang, J.; Jeong, H.B.; Lee, H.; Yuk, J.M.; Park, C.B.; et al. Extremely Stable Luminescent Crosslinked Perovskite Nanoparticles under Harsh Environments over 1.5 Years. Advanced Materials 2021, 33, 2005255. [Google Scholar] [CrossRef] [PubMed]
  84. Wang, Y.; Jiang, X.; Yin, J. A Water-Soluble Supramolecular-Structured Photoinitiator between Methylated β-Cyclodextrin and 2,2-Dimethoxy-2-Phenylacetophenone. Journal of Applied Polymer Science 2007, 105, 3819–3823. [Google Scholar] [CrossRef]
  85. Kim, H.Y.; Yoon, D.-E.; Jang, J.; Lee, D.; Choi, G.-M.; Chang, J.H.; Lee, J.Y.; Lee, D.C.; Bae, B.-S. Quantum Dot/Siloxane Composite Film Exceptionally Stable against Oxidation under Heat and Moisture. J. Am. Chem. Soc. 2016, 138, 16478–16485. [Google Scholar] [CrossRef] [PubMed]
  86. Kim, H.Y.; Yoon, D.-E.; Jang, J.; Lee, D.; Choi, G.-M.; Chang, J.H.; Lee, J.Y.; Lee, D.C.; Bae, B.-S. Quantum Dot/Siloxane Composite Film Exceptionally Stable against Oxidation under Heat and Moisture. J. Am. Chem. Soc. 2016, 138, 16478–16485. [Google Scholar] [CrossRef] [PubMed]
  87. Yang, J.; Choi, M.K.; Yang, U.J.; Kim, S.Y.; Kim, Y.S.; Kim, J.H.; Kim, D.-H.; Hyeon, T. Toward Full-Color Electroluminescent Quantum Dot Displays. Nano Lett. 2021, 21, 26–33. [Google Scholar] [CrossRef] [PubMed]
  88. Li, X.; Kundaliya, D.; Tan, Z.J.; Anc, M.; Fang, N.X. Projection Lithography Patterned High-Resolution Quantum Dots/Thiol-Ene Photo-Polymer Pixels for Color down Conversion. Opt. Express, OE 2019, 27, 30864–30874. [Google Scholar] [CrossRef]
  89. Zhang, P.; Yang, G.; Li, F.; Shi, J.; Zhong, H. Direct in Situ Photolithography of Perovskite Quantum Dots Based on Photocatalysis of Lead Bromide Complexes. Nat Commun 2022, 13, 6713. [Google Scholar] [CrossRef]
  90. Lv, W.; Li, L.; Xu, M.; Hong, J.; Tang, X.; Xu, L.; Wu, Y.; Zhu, R.; Chen, R.; Huang, W. Improving the Stability of Metal Halide Perovskite Quantum Dots by Encapsulation. Advanced Materials 2019, 31, 1900682. [Google Scholar] [CrossRef]
  91. Kim, J.-S.; Yang, S.; Park, H.; Bae, B.-S. Photo-Curable Siloxane Hybrid Material Fabricated by a Thiol–Ene Reaction of Sol–Gel Synthesized Oligosiloxanes. Chem. Commun. 2011, 47, 6051–6053. [Google Scholar] [CrossRef]
  92. Ozdemir, R.; Van Avermaet, H.; Erdem, O.; Schiettecatte, P.; Hens, Z.; Aubert, T. Quantum Dot Patterning and Encapsulation by Maskless Lithography for Display Technologies. ACS Appl. Mater. Interfaces 2023, 15, 9629–9637. [Google Scholar] [CrossRef] [PubMed]
  93. Wang, Y.; Fedin, I.; Zhang, H.; Talapin, D.V. Direct Optical Lithography of Functional Inorganic Nanomaterials. Science 2017, 357, 385–388. [Google Scholar] [CrossRef] [PubMed]
  94. Cho, H.; Pan, J.-A.; Wu, H.; Lan, X.; Coropceanu, I.; Wang, Y.; Cho, W.; Hill, E.A.; Anderson, J.S.; Talapin, D.V. Direct Optical Patterning of Quantum Dot Light-Emitting Diodes via In Situ Ligand Exchange. Advanced Materials 2020, 32, 2003805. [Google Scholar] [CrossRef]
  95. Yang, J.; Hahm, D.; Kim, K.; Rhee, S.; Lee, M.; Kim, S.; Chang, J.H.; Park, H.W.; Lim, J.; Lee, M.; et al. High-Resolution Patterning of Colloidal Quantum Dots via Non-Destructive, Light-Driven Ligand Crosslinking. Nat Commun 2020, 11, 2874. [Google Scholar] [CrossRef]
  96. Liu, D.; Weng, K.; Lu, S.; Li, F.; Abudukeremu, H.; Zhang, L.; Yang, Y.; Hou, J.; Qiu, H.; Fu, Z.; et al. Direct Optical Patterning of Perovskite Nanocrystals with Ligand Cross-Linkers. Science Advances 2022, 8, eabm8433. [Google Scholar] [CrossRef] [PubMed]
  97. Yang, J.; Lee, M.; Park, S.Y.; Park, M.; Kim, J.; Sitapure, N.; Hahm, D.; Rhee, S.; Lee, D.; Jo, H.; et al. Nondestructive Photopatterning of Heavy-Metal-Free Quantum Dots. Advanced Materials 2022, 34, 2205504. [Google Scholar] [CrossRef]
  98. Liu, L.-H.; Yan, M. Perfluorophenyl Azides: New Applications in Surface Functionalization and Nanomaterial Synthesis. Acc Chem Res 2010, 43, 1434–1443. [Google Scholar] [CrossRef]
  99. Antolini, F.; Orazi, L. Quantum Dots Synthesis Through Direct Laser Patterning: A Review. Frontiers in Chemistry 2019, 7. [Google Scholar] [CrossRef]
  100. Antolini, F.; Limosani, F.; Carcione, R. Direct Laser Patterning of CdTe QDs and Their Optical Properties Control through Laser Parameters. Nanomaterials 2022, 12, 1551. [Google Scholar] [CrossRef]
  101. Carcione, R.; Limosani, F.; Antolini, F. Cadmium Telluride Nanocomposite Films Formation from Thermal Decomposition of Cadmium Carboxylate Precursor and Their Photoluminescence Shift from Green to Red. Crystals 2021, 11, 253. [Google Scholar] [CrossRef]
  102. Lu, S.; Fu, Z.; Li, F.; Weng, K.; Zhou, L.; Zhang, L.; Yang, Y.; Qiu, H.; Liu, D.; Qing, W.; et al. Beyond a Linker: The Role of Photochemistry of Crosslinkers in the Direct Optical Patterning of Colloidal Nanocrystals. Angewandte Chemie International Edition 2022, 61, e202202633. [Google Scholar] [CrossRef] [PubMed]
  103. Qiao, W.; Huang, W.; Liu, Y.; Li, X.; Chen, L.-S.; Tang, J.-X. Toward Scalable Flexible Nanomanufacturing for Photonic Structures and Devices. Advanced Materials 2016, 28, 10353–10380. [Google Scholar] [CrossRef] [PubMed]
  104. Son, Y.; Yeo, J.; Moon, H.; Lim, T.W.; Hong, S.; Nam, K.H.; Yoo, S.; Grigoropoulos, C.P.; Yang, D.-Y.; Ko, S.H. Nanoscale Electronics: Digital Fabrication by Direct Femtosecond Laser Processing of Metal Nanoparticles. Advanced Materials 2011, 23, 3176–3181. [Google Scholar] [CrossRef] [PubMed]
Figure 1. The valence band and the conduction band of the semiconductor bulk material become quantized (black bars) when the size of the QD (white arrow) becomes smaller than the Bohr diameter. The defect surface states and deep traps (red bars) are due to surface defects and crystal defects.
Figure 1. The valence band and the conduction band of the semiconductor bulk material become quantized (black bars) when the size of the QD (white arrow) becomes smaller than the Bohr diameter. The defect surface states and deep traps (red bars) are due to surface defects and crystal defects.
Preprints 76485 g001
Figure 2. a) block scheme of the three sections of which the ligand is formed: the functional end group that interacts with the environment, the spacer, and the scQD surface binding group that interact with the scQD surface; b) The L, X-types of ligand (green circle) can share with their molecular orbitals (green ellipse) 2 or 1 electron with the molecular orbitals of the metal atoms. The Z-type ligand can accept two electrons from the scQD surface. In general, the electron-poor atoms are metal (gray atom labeled as “M”) while the electron-rich is, chalcogenide (red atom labeled as “Ch”); c) Examples of molecules belonging to the different classes of ligands.
Figure 2. a) block scheme of the three sections of which the ligand is formed: the functional end group that interacts with the environment, the spacer, and the scQD surface binding group that interact with the scQD surface; b) The L, X-types of ligand (green circle) can share with their molecular orbitals (green ellipse) 2 or 1 electron with the molecular orbitals of the metal atoms. The Z-type ligand can accept two electrons from the scQD surface. In general, the electron-poor atoms are metal (gray atom labeled as “M”) while the electron-rich is, chalcogenide (red atom labeled as “Ch”); c) Examples of molecules belonging to the different classes of ligands.
Preprints 76485 g002
Figure 3. a) The scQDs ligand was engineered with the amino-terminal group connected with the PIB chain through the spacer benzene ring-oxygen and six carbon atoms. The number of isobutylene units (h) forming the PIB backbone of the ligand is about 18. b) Chemical formula of the Block copolymer Polystyrene-block-isobutylene-block-styrene (SIBS) that is the matrix embedding the scQDs.
Figure 3. a) The scQDs ligand was engineered with the amino-terminal group connected with the PIB chain through the spacer benzene ring-oxygen and six carbon atoms. The number of isobutylene units (h) forming the PIB backbone of the ligand is about 18. b) Chemical formula of the Block copolymer Polystyrene-block-isobutylene-block-styrene (SIBS) that is the matrix embedding the scQDs.
Preprints 76485 g003
Figure 4. a) Scheme of the dual effect of the inorganic ligand Cd(NO3)2: the stripping of the oleic acid (OA) and the binding to the non-metal atom (E). The change of ligand induces the change of solubility. b) The anions just balance the charge near the cations that bind the electron-poor metal site forming a kind of cloud around the QD: a bound cation surrounded by a cloud of anions.
Figure 4. a) Scheme of the dual effect of the inorganic ligand Cd(NO3)2: the stripping of the oleic acid (OA) and the binding to the non-metal atom (E). The change of ligand induces the change of solubility. b) The anions just balance the charge near the cations that bind the electron-poor metal site forming a kind of cloud around the QD: a bound cation surrounded by a cloud of anions.
Preprints 76485 g004
Figure 5. Scheme of the corrosion process initiated by water ionization of the scQDs that can bring to a partial degradation of the ligands, then to corrosion of the shell with the final loss of the photophysical properties of the scQDs (Reprinted with permission from JACS 2021, 143, 44, 18721-18732 Copyright © 2021 American Chemical Society).
Figure 5. Scheme of the corrosion process initiated by water ionization of the scQDs that can bring to a partial degradation of the ligands, then to corrosion of the shell with the final loss of the photophysical properties of the scQDs (Reprinted with permission from JACS 2021, 143, 44, 18721-18732 Copyright © 2021 American Chemical Society).
Preprints 76485 g005
Figure 6. Scheme of the photophysical processes involving the scQDs a) when are excited with light b) under the presence of a limited amount of oxygen and water or c) in the continuous presence of them. (Reprinted with permission from IOP Yang X. et al. Nanotechnology 33, (2022), 465202).
Figure 6. Scheme of the photophysical processes involving the scQDs a) when are excited with light b) under the presence of a limited amount of oxygen and water or c) in the continuous presence of them. (Reprinted with permission from IOP Yang X. et al. Nanotechnology 33, (2022), 465202).
Preprints 76485 g006
Figure 7. Mechanism of switching off of the scQD induced by temperature: the temperature (ΔT) stimulates the formation of the electron trap (ET) on the scQD surface (the blue circle indicates the inorganic shell) and induces the transition of one electron from the valence band (VB) of the scQD core (red circle) to the trap level on the surface shell. If the light stimulates the transition of one electron into the conducting band (CB), it decades into the valence band (VB) through non-radiative recombination (NRR).
Figure 7. Mechanism of switching off of the scQD induced by temperature: the temperature (ΔT) stimulates the formation of the electron trap (ET) on the scQD surface (the blue circle indicates the inorganic shell) and induces the transition of one electron from the valence band (VB) of the scQD core (red circle) to the trap level on the surface shell. If the light stimulates the transition of one electron into the conducting band (CB), it decades into the valence band (VB) through non-radiative recombination (NRR).
Preprints 76485 g007
Figure 8. a) Silane precursors of siloxanes and b) the condensation reactions bringing to the formation of the Si-O-Si bonds.
Figure 8. a) Silane precursors of siloxanes and b) the condensation reactions bringing to the formation of the Si-O-Si bonds.
Preprints 76485 g008
Figure 9. photograph under UV light of a) unprotected SQW in acidic conditions; b) silica overcoated SQW in acidic conditions; c) evaluation of the PLQY of the SQW protected with silica in acidic conditions (the un-protected samples are practically not luminescent); TEM images of the SQW/SiO2 d) without acid etching (shell thickness 17 nm) and SQW/SiO2 etched for 48 h with e) HCl, f) HNO3 g) H2SO4 (Reprinted with permission from Wang N. et al Nanotechnology 28 (2017), 185603 Copyright © 2017 IOP).
Figure 9. photograph under UV light of a) unprotected SQW in acidic conditions; b) silica overcoated SQW in acidic conditions; c) evaluation of the PLQY of the SQW protected with silica in acidic conditions (the un-protected samples are practically not luminescent); TEM images of the SQW/SiO2 d) without acid etching (shell thickness 17 nm) and SQW/SiO2 etched for 48 h with e) HCl, f) HNO3 g) H2SO4 (Reprinted with permission from Wang N. et al Nanotechnology 28 (2017), 185603 Copyright © 2017 IOP).
Preprints 76485 g009
Figure 10. a) Chemical steps of the synthesis of the smart ligand bearing PMMA tail, the epoxy cross-linkable units, and the thiol end-group; b-top) scheme of the ligand PMMA tail, a spacer of cross-linkable units (PGMA) and thiol binding group; b-bottom) steps of the overcoating process of the scQDs from ligand exchange to cross-linked shell around the scQD (Reproduced with permission from Ko et al. NPG Asia Materials (2020), 12:19).
Figure 10. a) Chemical steps of the synthesis of the smart ligand bearing PMMA tail, the epoxy cross-linkable units, and the thiol end-group; b-top) scheme of the ligand PMMA tail, a spacer of cross-linkable units (PGMA) and thiol binding group; b-bottom) steps of the overcoating process of the scQDs from ligand exchange to cross-linked shell around the scQD (Reproduced with permission from Ko et al. NPG Asia Materials (2020), 12:19).
Preprints 76485 g010
Figure 11. Mechanism of thiol addition to a C-C double bond mediated by a) radical Photo-initiator (Pi) stimulated by light starts the production of the thiyl radical (R-S) that then binds the double bond (propagation).
Figure 11. Mechanism of thiol addition to a C-C double bond mediated by a) radical Photo-initiator (Pi) stimulated by light starts the production of the thiyl radical (R-S) that then binds the double bond (propagation).
Preprints 76485 g011
Figure 12. a) Reagents for the thiolene click reaction utilized to encapsulate the scQDs; b) The four branched thiol PTMP and TAIC forms chemical bonds creating the network around the scQDs; c) The schematic view of the final polymer network around the scQDs. The reader should imagine a 3D network surrounding the scQDs.
Figure 12. a) Reagents for the thiolene click reaction utilized to encapsulate the scQDs; b) The four branched thiol PTMP and TAIC forms chemical bonds creating the network around the scQDs; c) The schematic view of the final polymer network around the scQDs. The reader should imagine a 3D network surrounding the scQDs.
Preprints 76485 g012
Figure 13. a) Chemical structure of the monomeric unit forming the CPI; b) Scheme of the reaction of cross-linking of the CPI ends, the phthalic anhydride, and the amino group of the CPI ligands bound on to the scQDs surface (Reproduced with permission from H. S. Heo et al Chem. Mater. 2022, 34, 6958-6067 Copyright © 2022 American Chemical Society).
Figure 13. a) Chemical structure of the monomeric unit forming the CPI; b) Scheme of the reaction of cross-linking of the CPI ends, the phthalic anhydride, and the amino group of the CPI ligands bound on to the scQDs surface (Reproduced with permission from H. S. Heo et al Chem. Mater. 2022, 34, 6958-6067 Copyright © 2022 American Chemical Society).
Preprints 76485 g013
Figure 14. a) Chemical reactions for the synthesis of the tri-arm PIB-MA with the reactive acrylate groups (MA); b) scheme of the tri-arm star PIB-MA; c) ligand exchange involving the native QDs where the native ligand is substituted by a ligand with a tail bearing the PIB group; d) cross-linked network protecting the QDs and e) chemical reactions involving the methacrylate group activated by light.
Figure 14. a) Chemical reactions for the synthesis of the tri-arm PIB-MA with the reactive acrylate groups (MA); b) scheme of the tri-arm star PIB-MA; c) ligand exchange involving the native QDs where the native ligand is substituted by a ligand with a tail bearing the PIB group; d) cross-linked network protecting the QDs and e) chemical reactions involving the methacrylate group activated by light.
Preprints 76485 g014
Figure 15. a) chemical reactions involved in the siloxane resin preparation, in particular, the sol-gel condensation of methacryloxypropyl-trimethoysilane (MPTS) with diphenylsilanediol (DPSD); b) chemical reactions involving the formation of a covalent bond between the OA and the methacrylate group; c) scheme of the siloxane network formation before and after crosslinking induced by light.
Figure 15. a) chemical reactions involved in the siloxane resin preparation, in particular, the sol-gel condensation of methacryloxypropyl-trimethoysilane (MPTS) with diphenylsilanediol (DPSD); b) chemical reactions involving the formation of a covalent bond between the OA and the methacrylate group; c) scheme of the siloxane network formation before and after crosslinking induced by light.
Preprints 76485 g015
Figure 16. The thermally curable siloxane encapsulation strategy. The siloxane resin (a) and the siloxane crosslinker (b) bind the QDs (c) and the resin itself (d) respectively. In red are depicted the chemical bonds involved in the cross-linking formation between the resin and the scQDs ligand (oleic acid or oleylamine) and the siloxane polymers.
Figure 16. The thermally curable siloxane encapsulation strategy. The siloxane resin (a) and the siloxane crosslinker (b) bind the QDs (c) and the resin itself (d) respectively. In red are depicted the chemical bonds involved in the cross-linking formation between the resin and the scQDs ligand (oleic acid or oleylamine) and the siloxane polymers.
Preprints 76485 g016
Figure 17. a) Synthesis of biocompatible SHM starting from siloxane CAEO resin obtained with sol-gel method and b) its cross-linking with DOX cross-linker activated with UV and temperature.
Figure 17. a) Synthesis of biocompatible SHM starting from siloxane CAEO resin obtained with sol-gel method and b) its cross-linking with DOX cross-linker activated with UV and temperature.
Preprints 76485 g017
Figure 18. a) Chemical reagents to form the thiolene network; b) the formed thiolene network including the Perovskite precursors (stars); c) the annealing process that induces the perovskite nanocrystals formation (cubes).
Figure 18. a) Chemical reagents to form the thiolene network; b) the formed thiolene network including the Perovskite precursors (stars); c) the annealing process that induces the perovskite nanocrystals formation (cubes).
Preprints 76485 g018
Figure 19. The three steps of quantum dots color filters realization starting from a) QDs ligand exchange b) preparation of the QDs/siloxane ink by mixing the silane monomers and the thiol monomer (PE1) for the thiol-ene chemistry and c) the photo-patterning process over the glass where an array of squares was pre-patterned. Then the QD/siloxane ink is deposited and patterned with DOP (Reprinted with permission from Y.H. Kim et al ACS Appl. Mater. Interfaces 2020, 12, 3961-3968 Copyright © 2022 American Chemical Society).
Figure 19. The three steps of quantum dots color filters realization starting from a) QDs ligand exchange b) preparation of the QDs/siloxane ink by mixing the silane monomers and the thiol monomer (PE1) for the thiol-ene chemistry and c) the photo-patterning process over the glass where an array of squares was pre-patterned. Then the QD/siloxane ink is deposited and patterned with DOP (Reprinted with permission from Y.H. Kim et al ACS Appl. Mater. Interfaces 2020, 12, 3961-3968 Copyright © 2022 American Chemical Society).
Preprints 76485 g019
Figure 20. a) The MBT after irradiation and in presence of solvents produces HCl that remove the carboxylate from the QD surface that changes its solubility (it precipitates). b) The DNS upon irradiation became ICA that substitutes the carboxylate on the surface inducing the QDs precipitation.
Figure 20. a) The MBT after irradiation and in presence of solvents produces HCl that remove the carboxylate from the QD surface that changes its solubility (it precipitates). b) The DNS upon irradiation became ICA that substitutes the carboxylate on the surface inducing the QDs precipitation.
Preprints 76485 g020
Figure 21. a) A condensed form of the cumaric acid with butylamine (PAmG-BTA) under UV light produces the butylamine (L-type ligand, 2 electron donor). b) The butylamine complexes the metal atoms both at the QD surface and the one bonded to the chalcogenide site (E).
Figure 21. a) A condensed form of the cumaric acid with butylamine (PAmG-BTA) under UV light produces the butylamine (L-type ligand, 2 electron donor). b) The butylamine complexes the metal atoms both at the QD surface and the one bonded to the chalcogenide site (E).
Preprints 76485 g021
Figure 22. a) mechanism of nitrene (green circle) activation with UV within the PFPA molecule; b and c) two different types of bis-PFPA used to cross-link at different wavelengths; d) six-arm PFPA with isopropyl groups to increase the steric hindrance improving the quality of photopatterning.
Figure 22. a) mechanism of nitrene (green circle) activation with UV within the PFPA molecule; b and c) two different types of bis-PFPA used to cross-link at different wavelengths; d) six-arm PFPA with isopropyl groups to increase the steric hindrance improving the quality of photopatterning.
Preprints 76485 g022
Figure 23. Scheme of cross-linking between different ligands of scQDs realized through bis-azide linker. The draw illustrates the binding between the nitrogen of the crosslinker and the carbon atom of the ligand. The bis-azide acts as a bridge between two different ligands of two neighboring scQDs.
Figure 23. Scheme of cross-linking between different ligands of scQDs realized through bis-azide linker. The draw illustrates the binding between the nitrogen of the crosslinker and the carbon atom of the ligand. The bis-azide acts as a bridge between two different ligands of two neighboring scQDs.
Preprints 76485 g023
Figure 24. a) The chemical reactions involved in the benzophenone cross-linking b) the structure of the benzophenone-modified ligand bearing a thiol group that displaces c) the native carboxylate ligand and d) the draw of the steps leading to the photopatterning with benzophenone: top the ligand exchange and down the formation of the cross-linkage.
Figure 24. a) The chemical reactions involved in the benzophenone cross-linking b) the structure of the benzophenone-modified ligand bearing a thiol group that displaces c) the native carboxylate ligand and d) the draw of the steps leading to the photopatterning with benzophenone: top the ligand exchange and down the formation of the cross-linkage.
Preprints 76485 g024
Figure 25. Synthesis of the cadmium and tellurium precursors and the chemical reaction involved in the laser synthesis; b) red and green squares formed by CdTe QDs are obtained modulating the laser pulse frequency, dose, and speed. The size of the squares is 1 mm and the image were obtained with the fluorescence microscope exciting the film with UV radiation (Reproduced with permission from Antolini et al., Nanomaterials, 2022, 12, 1551).
Figure 25. Synthesis of the cadmium and tellurium precursors and the chemical reaction involved in the laser synthesis; b) red and green squares formed by CdTe QDs are obtained modulating the laser pulse frequency, dose, and speed. The size of the squares is 1 mm and the image were obtained with the fluorescence microscope exciting the film with UV radiation (Reproduced with permission from Antolini et al., Nanomaterials, 2022, 12, 1551).
Preprints 76485 g025
Disclaimer/Publisher’s Note: The statements, opinions and data contained in all publications are solely those of the individual author(s) and contributor(s) and not of MDPI and/or the editor(s). MDPI and/or the editor(s) disclaim responsibility for any injury to people or property resulting from any ideas, methods, instructions or products referred to in the content.
Copyright: This open access article is published under a Creative Commons CC BY 4.0 license, which permit the free download, distribution, and reuse, provided that the author and preprint are cited in any reuse.
Prerpints.org logo

Preprints.org is a free preprint server supported by MDPI in Basel, Switzerland.

Subscribe

Disclaimer

Terms of Use

Privacy Policy

Privacy Settings

© 2026 MDPI (Basel, Switzerland) unless otherwise stated