Submitted:
12 June 2023
Posted:
12 June 2023
You are already at the latest version
Abstract
Keywords:
1. Introduction
2. Two MIMO Antenna structure design
3. Simulation result analysis
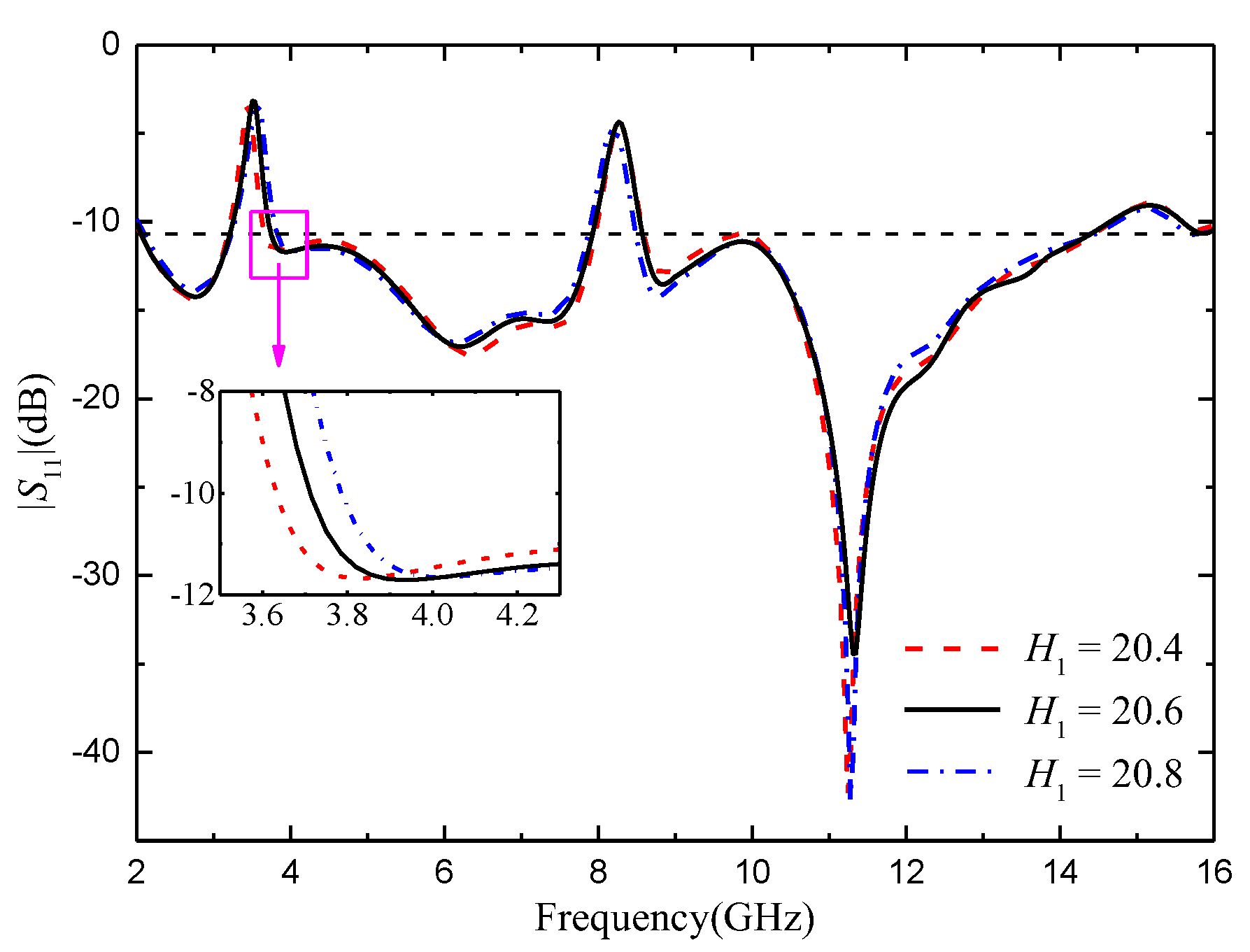
3.1. Notch design and parameter analysis
3.2. Decoupling design and parameter analysis
3.2.1. Two-element MIMO antenna
3.2.2. Four-element MIMO antenna
4. Measured results and analysis
4.1. S-parameter
4.1.1. Two-element MIMO antenna
4.1.2. Four-element MIMO antenna
4.2. Radiation pattern
4.2.1. Two-element MIMO antenna
4.2.2. Four-element MIMO antenna
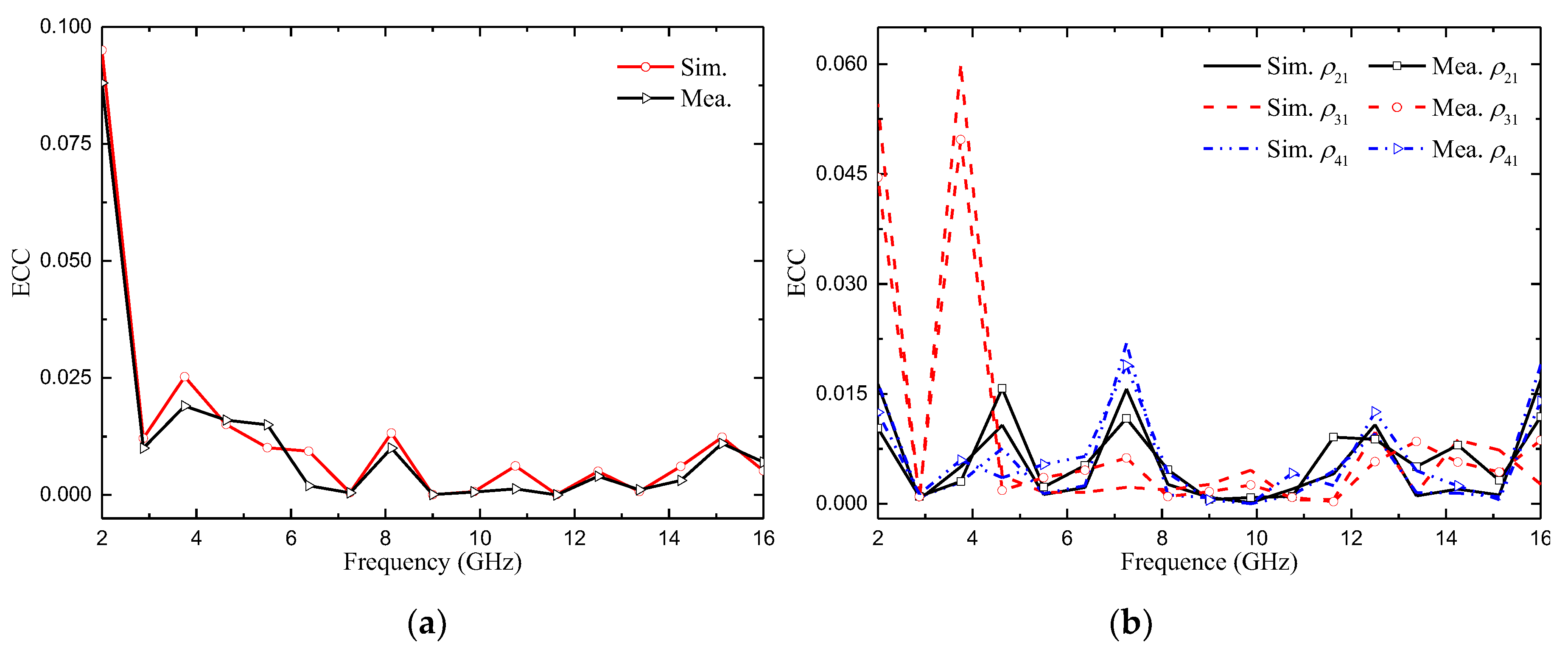
4.3. Envelope Correlation Coefficient
4.4. Diversity Gain
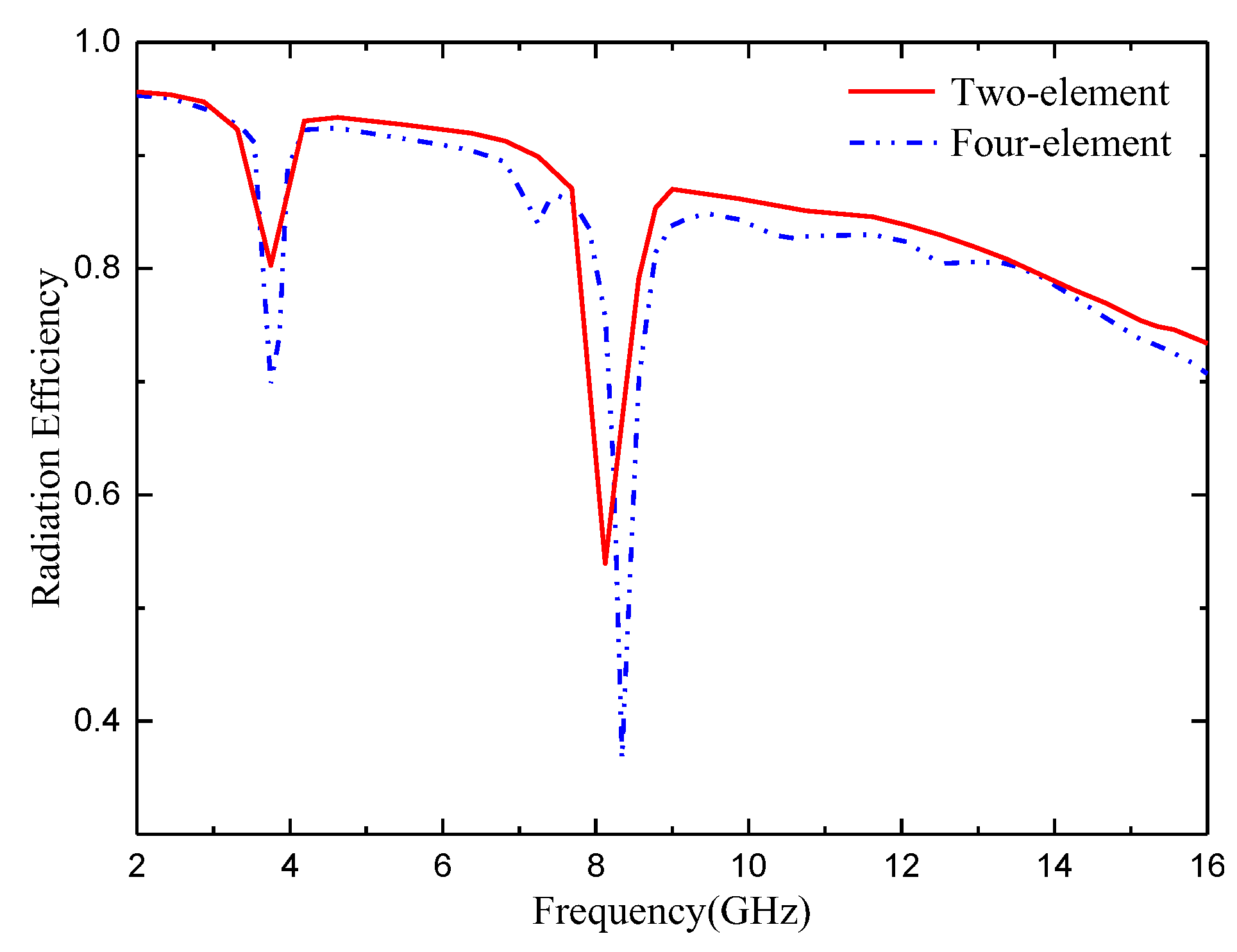
4.5. Radiation efficiency
5. Conclusions
Author Contributions
Funding
Data Availability Statement
Acknowledgments
Conflicts of Interest
References
- Mescia, L.; Mevoli, G.; Lamacchia, C.M.; Gallo, M.; Bia, P.; Gaetano, D.; Manna, A. sinuous antenna for UWB radar applications. Sensors 2022, 22, 248. [Google Scholar] [CrossRef]
- Wang, M.; Tian, X.W.; Song, L.Z. A ultra wideband dual-polarized antenna with high isolation degree for passive radar application, Electromagnetics 2021, 41, 409-419. [CrossRef]
- Mohammad, K.; Sajad, M.A. Radar cross-section reduction of an UWB MIMO antenna using image theory and its equivalent circuit model. Int. J. RF Microw. Comput. Aided Eng. 2021, 31, 22563. [Google Scholar] [CrossRef]
- Emadian, S.R.; Ahmadi-Shokouh, J.; Ghobadi, C.; Nourinia, J. Study on frequency and impulse response of novel triple band notched UWB antenna in indoor environments. AEU-Int. J. Electron. Commun. 2018, 96, 93–106. [Google Scholar] [CrossRef]
- Martínez-Lozano, A.; Blanco-Angulo, C.; García-Martínez, H.; Gutiérrez-Mazón, R.; Torregrosa-Penalva, G.; Ávila-Navarro, E.; Sabater-Navarro, J.M. UWB-Printed rectangular-based monopole antenna for biological tissue analysis. Electronics 2021, 10, 304. [Google Scholar] [CrossRef]
- Kissi, C.; Särestöniemi, M. Receiving UWB antenna for wireless capsule endoscopy communications. Prog. Electromagn. Res. C 2020, 101, 53–69. [Google Scholar] [CrossRef]
- Zhong, Z.P.; Liang, J.J.; Fan, M.L.; Huang, G.L.; He, W.; Chen, X.C.; Yuan, T. A compact CPW-fed UWB antenna with quadruple rejected bands. Microw. Opt. Technol. Lett. 2019, 61, 2795–2800. [Google Scholar] [CrossRef]
- Iqbal, A.; Smida, A.; Mallat, N.K.; Islam, M.T.; Kim, S. A Compact UWB Antenna with Independently Controllable Notch Bands. Sensors 2019, 19, 1411. [Google Scholar] [CrossRef] [PubMed]
- Liu, J.B.; Ding, W.H.; Chen, J.H.; Zhang, A. New ultra-wideband filter with sharp notched band using defected ground structure. Prog. Electromagn. Res. Lett. 2019, 83, 99–105. [Google Scholar] [CrossRef]
- Siddiqui, J.Y.; Saha, C.; Sarkar, C.; Shaik, L.A.; Antar, Y. Ultra-wideband antipodal tapered slot antenna with integrated frequency-notch characteristics. IEEE Trans. Antennas Propag. 2018, 66, 1534–1539. [Google Scholar] [CrossRef]
- Luo, S.; Chen, Y.; Wang, D.; Liao, Y.; Li, Y. A monopole UWB antenna with sextuple band-notched based on SRRs and U-shaped parasitic strips. AEU-Int. J. Electron. Commun. 2020, 120, 153206. [Google Scholar] [CrossRef]
- Mu, W.; Lin, H.; Wang, Z.; Li, C.; Yang, M.; Nie, W.; Wu, J. A flower-shaped miniaturized UWB-MIMO antenna with high isolation. Electronics 2022, 11, 2190. [Google Scholar] [CrossRef]
- Wang, L.L.; Du, Z.H.; Yang, H.L.; Ma, R.Y.; Zhao, Y.C.; Cui, X.Q.; Xi, X.L. Compact UWB MIMO antenna with high isolation using fence-type decoupling structure. IEEE Antennas Wirel. Propag. Lett. 2019, 18, 1641–1645. [Google Scholar] [CrossRef]
- Ren, J.; Hu, W.; Yin, Y. Compact printed MIMO antenna for UWB applications. IEEE Antennas Wirel. Propag. Lett. 2014, 13, 1517–1520. [Google Scholar] [CrossRef]
- Zhang, S.; Pedersen, G.F. Mutual coupling reduction for UWB MIMO antennas with a wideband neutralization line. IEEE Antennas Wirel. Propag. Lett. 2016, 15, 166–169. [Google Scholar] [CrossRef]
- Boumaaza, K.; Hebib, S.; Mouffok, L. Compact two-port tapered microstrip feed MIMO antenna for UWB applications. 2022 2nd International Conference on Advanced Electrical Engineering (ICAEE), Constantine, Algeria, 2022; pp. 1-4. [CrossRef]
- Rekha, V.S.D.; Pardhasaradhi, P.; Madhav, B.T.P.; Devi, Y.U. Dual band notched orthogonal 4-element MIMO antenna with isolation for UWB applications. IEEE Access 2020, 8, 145871–145880. [Google Scholar] [CrossRef]
- Agarwal, S.; Rafique, U.; Ullah, R.; Ullah, S.; Khan, S.; Donelli, M. Double overt-leaf shaped CPW-Fed four port UWB MIMO antenna. Electronics 2021, 10, 3140. [Google Scholar] [CrossRef]
- Srivastava, G.; Mohan, A. Compact MIMO slot antenna for UWB applications. IEEE Antennas Wirel. Propag. Lett. 2016, 15, 1057–1060. [Google Scholar] [CrossRef]
- Kumar, P.; Pathan, S.; Vincent, S.; Kumar, O.P.; N, Y.; Kumar, P.; Shetty, P.R.; Ali, T. A compact quad-port UWB MIMO antenna with improved isolation using a novel mesh-like decoupling structure and unique DGS. IEEE T. Circuits-II. 2023, 70, 949–953. [Google Scholar] [CrossRef]
- Arumugam, S.; Manoharan, S.; Palaniswamy, S.K.; Kumar, S. Design and Performance Analysis of a Compact Quad-Element UWB MIMO Antenna for Automotive Communications. Electronics 2021, 10, 2184. [Google Scholar] [CrossRef]
- Kolangiammal, S.; Balaji, L.; Mahdal, M. Design of compact planar monopole UWB MIMO antenna with four orthogonal elements and tapered fed configuration for wireless diversity applications. Electronics 2022, 11, 3087. [Google Scholar] [CrossRef]
- He, Z.; Jin, J. Compact quad-port MIMO antenna with ultra-wideband and high isolation. Electronics 2022, 11, 3408. [Google Scholar] [CrossRef]
- Zhao, X.; Riaz, S.; Geng, S. A reconfigurable MIMO/UWB MIMO antenna for cognitive radio applications. IEEE Access 2019, 7, 46739–46747. [Google Scholar] [CrossRef]























| Parameter | TL | FL | W | H | H1 | W1 | W2 | W3 | W4 |
|---|---|---|---|---|---|---|---|---|---|
| Size | 38 | 68 | 68 | 1.6 | 7.6 | 9 | 16 | 4 | 11.4 |
| Parameter | W5 | W6 | W7 | L1 | L2 | L3 | L4 | L5 | L6 |
| Size | 8 | 1.4 | 1.5 | 3.5 | 7 | 7.2 | 5.2 | 7 | 20 |
| Parameter | L7 | S1 | S2 | S3 | S4 | g | Gh | R1 | H2 |
| Size | 14 | 0.3 | 0.3 | 2 | 0.6 | 1 | 12 | 12 | 11 |
| Ref. | Impedance bandwidth (GHz) |
Relativebandwidth(%) | Number of elements |
Notchband | Isolation (dB) |
ECC | Gain(dB) | Radiation efficiency (%) |
|---|---|---|---|---|---|---|---|---|
| [12] | 4.3-15.63 | 114 | 2 | - | 20 | <0.0075 | <5.35 | >85 |
| [14] | 2.9-12 | 122 | 2 | - | 15 | <0.02 | <4.2 | >60 |
| [16] | 2.9-12.2 | 123 | 2 | - | 17.8 | - | <3.8 | - |
| [17] | 2.1-20 | 161 | 4 | WIMAX | 25 | <0.02 | <5.8 | >80 |
| [19] | 3.2-12 | 115 | 4 | - | 22 | <0.5 | <4 | >80 |
| [20] | 4.5-16.4 | 114 | 4 | - | 20 | <0.002 | <7.8 | >61 |
| This work | 2.45-14.88 | 143 | 2 |
WIMAX /ITU |
>17 | <0.02 | <5.7 | >82 |
| 2.14-14.95 | 150 | 4 |
WIMAX /ITU |
>20 | <0.02 | <5.9 | >80 |
Disclaimer/Publisher’s Note: The statements, opinions and data contained in all publications are solely those of the individual author(s) and contributor(s) and not of MDPI and/or the editor(s). MDPI and/or the editor(s) disclaim responsibility for any injury to people or property resulting from any ideas, methods, instructions or products referred to in the content. |
© 2023 by the authors. Licensee MDPI, Basel, Switzerland. This article is an open access article distributed under the terms and conditions of the Creative Commons Attribution (CC BY) license (http://creativecommons.org/licenses/by/4.0/).