Preprint
Article

This version is not peer-reviewed.

Occurrence, Structure and Abundance Natural and Artificial of Juglans neotropica Diels, in the Province of Loja and Zamora Chinchipe in Southern Ecuador

Submitted:

08 June 2023

Posted:

08 June 2023

You are already at the latest version

Abstract
The study was carried out in zone 7 of Ecuador, in ecosystems of the Southern Montane Evergreen Forest of the Eastern Cordillera of the Andes that goes from 2200 to 3000 masl. In the Evergreen Seasonal Lower Montane Forest of Catamayo-Alamor, which ranges from 1600-2000 meters above sea level and finally in the Semideciduous Foot Montane Forest of Catamayo-Alamor, which ranges from 400-1600 meters above sea level. The objective was to know the occurrence, structure and abundance of J. neotropica. The investigation consisted of collecting secondary information on the occurrence of the species, to later verify it in situ. Six sites with areas ≥ 0.5 hectares were identified, four in the province of Loja and two in the province of Zamora Chinchipe. Regarding the structure, it was determined that there are significant statistical differences as well as in the dasometric variables between one site and another, presenting better growths El Tundo with average values in DAP(cm)= 45.16; G(m2) = 1.41; HT(m)= 19.22; HC(m)= 13; VC(m3) = 3.55; VT(m3) = 5.22. Regarding the Morisita index, the species presents adistribution pattern >1. Regarding abundance, it was determined that Algeria presented a maximum of 297 (ind/ha), and La Victoria 46 (ind/ha) with a minimum.
Keywords: 
;  ;  ;  ;  ;  

1. Introduction

Knowing the area of distribution of the species is important since it is considered as a fraction of geographic space where the occurrence of a species is present and interacts in the short, medium and long term with the ecosystem [21]. The natural distribution of some species covers large areas, other species have a limited distribution. The larger the distribution, the greater the probability that there is wide genetic variation. This is due to the occurrence of different adaptations to different local environments.
The Juglans genus is part of the Juglandaceae family, the same one that appeared on the Asian continent 56 million years ago with the species: ailantifolia, mandshurica and regia, the latter being the most planted since its appearance, both in the old and in the New World, for its highly nutritious fruits and its valuable wood [5].
Subsequently, 23 million years ago, the rest of the American walnuts appeared, preserving the physical trait from the Asian species, migrating from North America to Central America (Mexico) with the species J. olanchana, as the epicenter of speciation. of the other species of Central and South America. Among these species are J. boliviana (Bolivia), J. australis (Argentina) and J. neotropica (Colombia), the latter is also present in Peru and was found in Ecuador approximately in the 15th century [11].
[1] They mention that J. neotropica is distributed in Ecuador, Colombia, Venezuela, Peru and in New Zealand in the city of Auckland.
J. neotropica, it is distributed in the South American Andes, especially in Ecuador, Colombia, Peru and Bolivia. In Ecuador it is found in the inter-Andean region, in the valleys and foothills of the Andes mountain range.
[20] Reports the occurrence of the species of J. neotropica, in Ecuador in the provinces of Bolívar, Loja, Azuay, Tungurahua, Chimborazo, Pichincha, Napo and Galapagos, Juglans neotropica, known in Ecuador as "Nogal, Tocte" is an arboreal plant, apparently native to our country, it is distributed in the Equatorial Andes with evidence of cultivation since pre-Columbian times.
Regarding the regulatory and protection entities of endangered species in the country, especially J. neotropica, up to now they do not have sufficiently complete information that allows knowing the occurrence, distribution and abundance of the species, and therefore its state of conservation
Currently, J. neotropica is classified as endangered, it has been seriously threatened by livestock and agricultural activities that generate large deforested areas. The greatest affectation for South America occurs in the dry and montane forests, where the species has its habitat
Due to the aforementioned and especially due to the lack of knowledge about the exact distribution of the species, its delicate state of conservation, as well as the pressures that are being exerted on these J. neotropica forests, due to agricultural expansion and selective extraction of high commercial value, it was considered necessary to know its occurrence and abundance in specific places in the city and province of Loja.

2. Materials and Methods

2.1. Study area

The study area is located in zone 7 with respect to Ecuador. Due to the topographic, altitudinal, climatic and soil characteristics, this area is of ecological importance. Zone 7 is located between the geographic coordinates 3°30' and 5°0' south latitude and 78°20' and 80°30' west longitude; It limits to the north with zones 5 and 6, to the south and east with Peru, to the west with Peru and the Pacific Ocean [18].
For the present study, the 3 provinces of the sampling Zone 7 in which there were current records of the species J. neotropica were visited. diels. The provinces visited were: Loja (11,065.6 km2), El Oro (5,866.6 km2) and Zamora Chinchipe (10,559.7 km2), which represents 11% of the Ecuadorian territory with an area of 27,491.9 km2 in total [18].
J. neotropica, it is distributed in the provinces of Loja and Zamora Chinchipe in ecosystems of the Southern Montane Evergreen Forest of the Eastern Cordillera of the Andes, which has an altitudinal variation of 2200 to 3000 m asl, for the town of The Argelia, The Zañe, The Warm and The Merced. For the provenance of The Tundo and The Victoria, the Catamayo-Alamor Semideciduous Foot Montane Forest ecosystem is preferred, which has an altitudinal variation of 400 - 1600 masl. In addition, in The Tundo provenance, walnut was also found in the Evergreen Seasonal Montane Forest ecosystem. Bajo del Catamayo-Alamor, which has an altitudinal variation of 1600-2000 m.snm.

2.2. Occurrence

The databases of nationally and internationally recognized entities such as: GeoCat, Tropics, Database and Ecuadorian Biodiversity System (BNDB) were consulted. The regional and international botanical collection that these platforms have correspond to information from different institutions and collectors, as well as research work derived from public and private projects.
Information was also collected from the decentralized Autonomous Governments GAD's, public institutions (MAATE), private as well as private land owners.
On the other hand, information was collected from the National University of Loja, Reinaldo Espinosa Herbarium, as well as the Private Technical University of Loja, concerning collections of books that contain data on the flora of the Andean forest. All the information was verified geographically to validate the occurrence of the species in zone 7 of Ecuador.
Through internet access, it was also possible to collect important information on where the occurrence of the species was reported. Undoubtedly the most reliable and accurate information was that of residents and owners of private land where the occurrence of the species was suspected to be possible.
All the information collected was entered into the ARCGIS 10.8 geographic information system, for the generation of the geographic location of the occurrence.

2.3. Structure

Once the origin of the species was determined, several field trips were carried out in order to select the sites where the species of J. neotropica occurred, with a duration of 12 months. Each site was visited at least three and at most five times depending on the size of the forest.
To determine the parameters as well as the structural indices, a forest inventory was carried out, which consisted of two methods:
  • According to the statistical method
  • According to the objective
According to the statistical method, 100% was carried out in areas ≤ one hectare, and in the case of areas > one hectare, a simple random sampling was carried out and by the method according to the objective, an inventory was carried out for the management of natural forest. which has an intensity range from 1 to 5% of the total area [3].
The sampling intensity formula (I) was applied to determine if the sampled area is sufficiently reliable and representative of the population.
I = S a m p l e   s u r f a c e P o p u l a t i o n   a r e a     x   100
where:
  • I = Sampling intensity
  • SM = Surface of the sample
  • SP = Population area
  • 100 = Constant

2.3.1. Structural parameters

Next, we proceeded to georeference the individuals found ≥ 10 cm DAP1.30m, above ground level, known in forestry as stems. For this activity, a Garmin Montana 650 GPS was used.
Once the individuals of J. neotropica were inventoried and georeferenced, dasometric parameters such as: DAP, Ht, Hc, G(m2) and V(m3) were calculated. The DAP data of the inventoried individuals were organized by diameter classes of 10 cm by 10 cm width following the protocol [8].
Table 1. Dasometric parameters.
Table 1. Dasometric parameters.
Preprints 76034 i001

2.3.2. Structural indices

Subsequently, a structural valuation index was calculated:
Morisita index.
I δ = q i = 1 q n i n i 1 N ( N 1 )
where:
  • = Spatial distribution index
  • q = number of frames
  • ni = Number of individuals in ί-th square
  • N = Total number of individuals in all q squares
Values of < 1 regular or uniform distribution, equal to one random distribution and greater than one indicate an aggregated distribution, respectively (Morisita 1959). ( I δ )
Figure 1. Spatial distribution models. Fountain. Adapted from [19].
Figure 1. Spatial distribution models. Fountain. Adapted from [19].
Preprints 76034 g001

2.4. Abundance

To determine the abundance of J. neotropica Diels, the reference in each one of the sites was considered what established the [9], under ministerial agreement 125, article 11, where it is mentioned that a species will be of low abundance when it is less than one tree every three hectares (0.33 trees/ha).
Finally, the following formula was applied:
A i = n
where:
  • Ai = Absolute abundance
  • n = Number of individuals of a species present in an area
The Materials and Methods should be described with sufficient details to allow others to replicate and build on the published results. Please note that the publication of your manuscript implicates that you must make all materials, data, computer code, and protocols associated with the publication available to readers. Please disclose at the submission stage any restrictions on the availability of materials or information. New methods and protocols should be described in detail while well-established methods can be briefly described and appropriately cited.
Research manuscripts reporting large datasets that are deposited in a publicly available database should specify where the data have been deposited and provide the relevant accession numbers. If the accession numbers have not yet been obtained at the time of submission, please state that they will be provided during review. They must be provided prior to publication.
Interventionary studies involving animals or humans, and other studies that require ethical approval, must list the authority that provided approval and the corresponding ethical approval code.

3. Results

3.1. Ocurrence the J. neotropica

The occurrence of the J. neotropica species was found naturally and artificially with areas ≥ 0.5 hectares of forest in 6 localities in zone 7 of Ecuador, which includes the provinces of Loja, El Oro and Zamora Chinchipe. Of which four occurrences are in the province of Loja, and two in the province of Zamora Chinchipe (Table 2)
In this study, the provenances were located in terms of political and geographical location, as can be seen in (Figure 2)

3.2. Structural parameters

Regarding the structural parameters, it was possible to determine the dasometric variables of all the localities found with areas greater than 0.5 hectares, the data correspond to the number of individuals registered in the sampled areas as appropriate in each locality and taken to hectares for a Best Performance. (Figure 3)

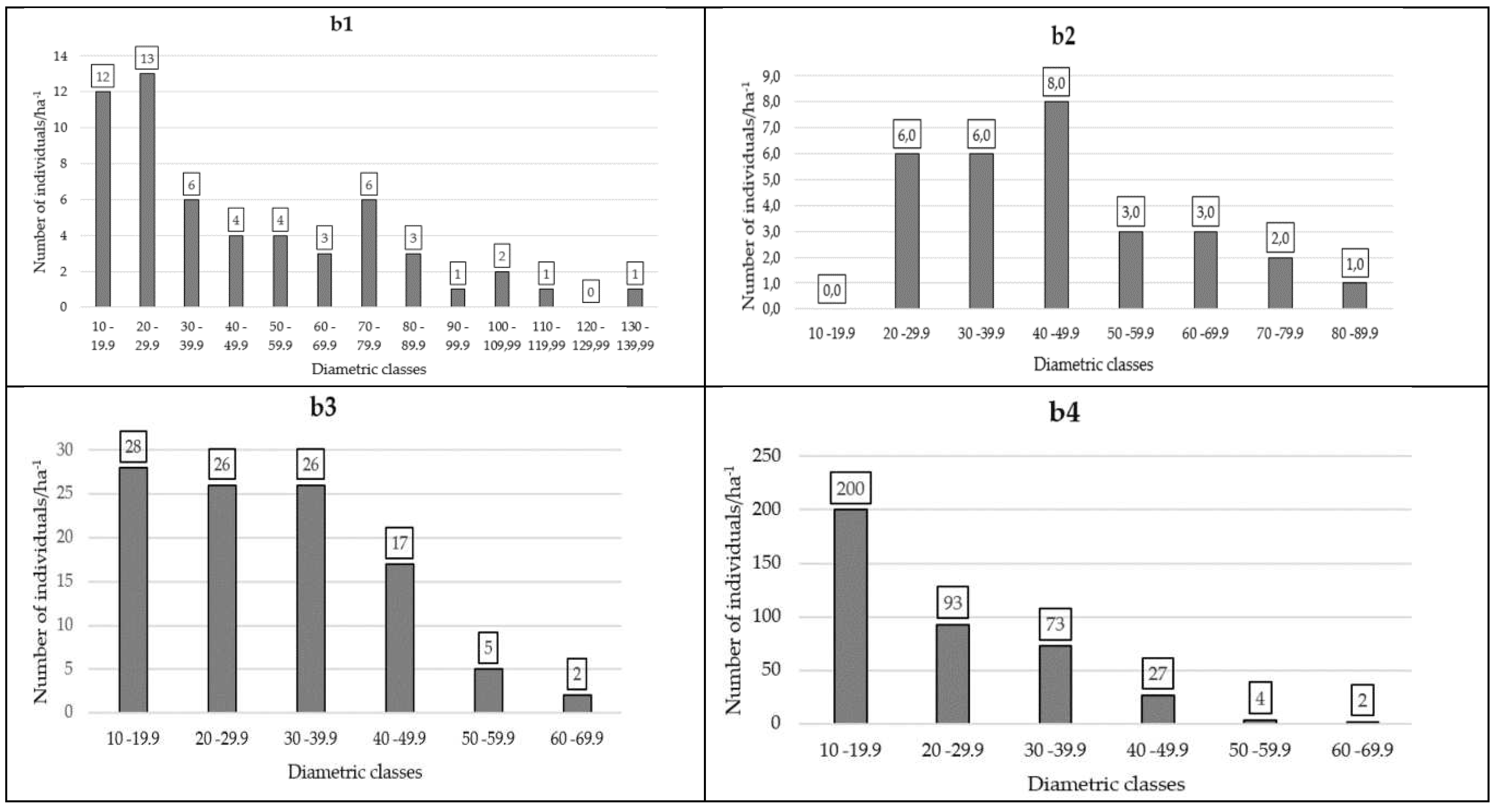
3.2.1. Horizontal structure

Regarding the horizontal structure of all the provenances, it was possible to show that the diameter classes vary among them, as well as the number of individuals that make them up. The provenance that registered the highest number of diameter classes was the Bosque Protector el Tundo with 12 classes. Likewise, recording the individuals with the largest diameter (DAP1.30) with respect to the other provenances, reaching a value of 134 centimeters.
On the other hand, the provenance that presented the highest number of individuals per hectare was The Bosque naturalizado The Argelia with 399 ind/ha-1
DAP1,30cm
Figure 4. Number of individuals per class diameter classes in different provenances of the study area The Tibio (a1), The Merced (a2), The Tundo (b1), The Victoria (b2), The Zañe (b3), The Argelia (b4).
Figure 4. Number of individuals per class diameter classes in different provenances of the study area The Tibio (a1), The Merced (a2), The Tundo (b1), The Victoria (b2), The Zañe (b3), The Argelia (b4).
Preprints 76034 g004aPreprints 76034 g004b
Morisita Index
According to the Morisita Index (Iδ), in the sampling units of all the provenances studied, a distribution pattern > 1 was evidenced, which corresponds to aggregate.

3.2.2. Vertical structure

Regarding the vertical structure of all the provenances found, it was possible to show that the arboreal component of J. neotropica reaches maximum heights of 24 to 36 meters depending on the provenance, respectively, with the tallest individuals being found in the provenance of the The Tibio Protected Forest. and the Tundo. (Figure 5)

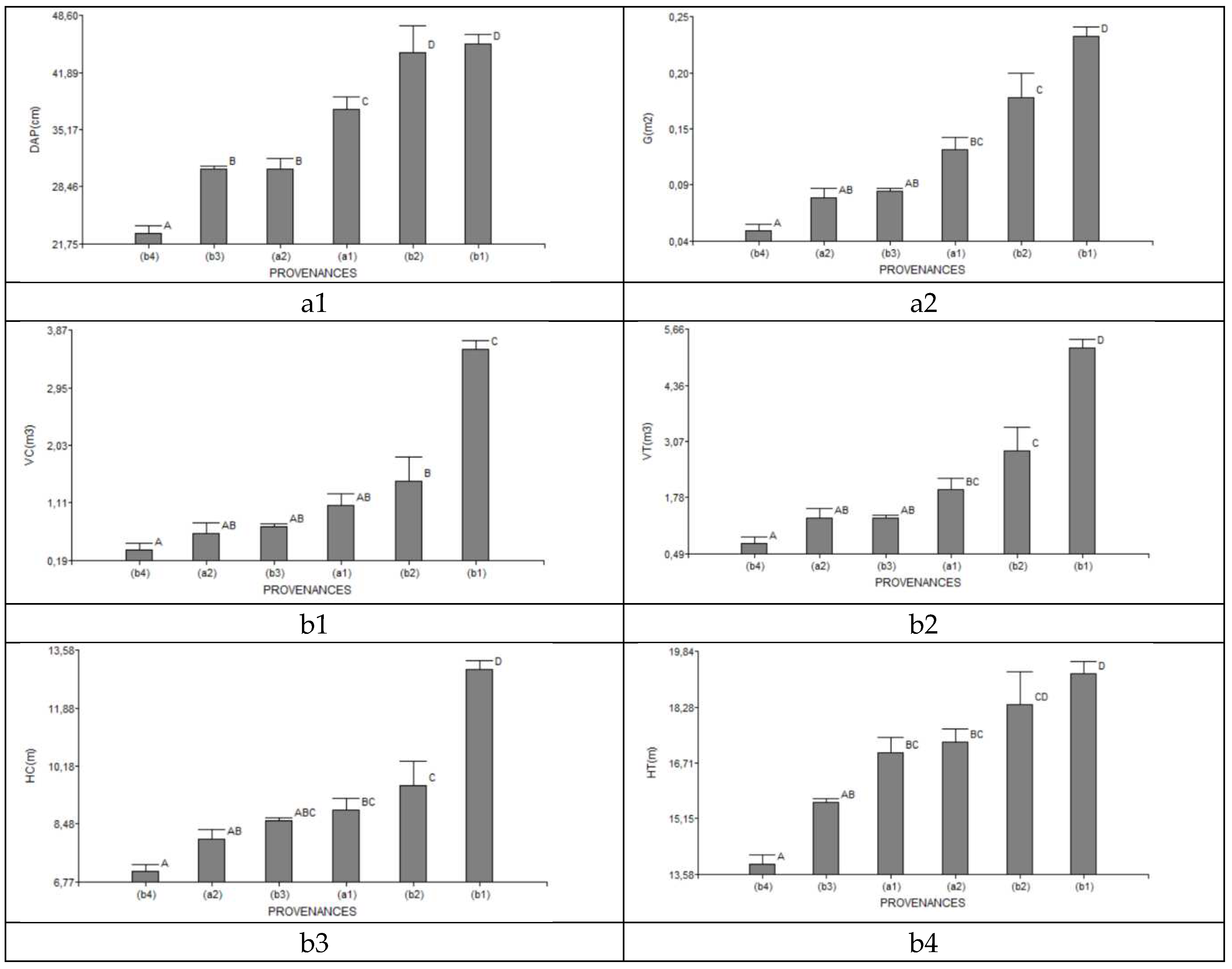
3.2.3. ANOVA

With respect to the growth behavior of the dasometric variables between provenances of zone 7 of Ecuador, it was possible to show through the ANOVA that the dasometric variables of the J. neotropica forests, from the different provenances present statistically significant differences between them. (Figure 6)

3.2. Abundance

The total number of registered individuals of the J.neotropica species, in the different localities per hectare were the following:
Figure 7. Number of individuals of the species recorded per hectare in the different provenances of the study area The Tibio (a1), The Merced (a2), The Tundo (b1), The Victoria (b2), The Zañe (b3), The Argelia (b4).
Figure 7. Number of individuals of the species recorded per hectare in the different provenances of the study area The Tibio (a1), The Merced (a2), The Tundo (b1), The Victoria (b2), The Zañe (b3), The Argelia (b4).
Preprints 76034 g007

4. Discussion

4.1. Occurrence

Regarding the origin of the J. neotropica species, six localities with areas greater than 5,000 m2 were identified in zone 7 of Ecuador, the same ones that correspond to the provinces of Loja and Zamora Chinchipe, except in the province of Oro. According to [4], reports the Tundo walnut forest in the Sozoranga Canton of the province of Loja, with an area of 96 hectares of native forest and an altitudinal range of 800 to 2645 masl with a strongly inclined relief, which agrees with this study on the occurrence of the species. Besides [15], reports the occurrence of the species in the Loja canton of the Loja province in the The Argelia sector of a planted forest with an approximate age of 70 years old where to date it has perfectly naturalized and has an area of 0.8 hectares. with an altitudinal range of 2170 to 2250 masl, which agrees with this study. However, the occurrence of forest of the J.neotropica species found in the Cerro el Zañe that goes with an altitudinal range from 2100 - 2800 masl with strongly inclined relief, of the Loja canton; La Victoria that corresponds to the Macará canton and that goes with an altitudinal range of 1400 -1600 meters above sea level in the province of Loja, as well as the occurrences of La Merced that goes with an altitudinal range of 200 -2200 masl of the Zamora canton and The Tibio that goes with an altitudinal range of 2400 -2600 masl of the Zamora canton of the Zamora Chinchipe province have not yet been reported until the with its exact location, which has been done for the first time in this study. According to [6,13], the Juglans species presents a relative gregariousness in mature forest conditions, thus being found very scarce in natural ecosystems, so this pattern is very similar to this research.

4.2. Structure

With respect to the structural parameters of the forest of the found provenances of the J. neotropica species, it could be correctly identified in all the dasometric variables, but the scant information from research related to the species makes it difficult to compare with other studies. However [14] mentions that the planted forest of J. neotropica in Algeria presents dasometric variables very similar to this study. According to [2] mentions that the young walnut trees, the stem is well formed, reaching the tree from 25 to 30 meters in height with a DAP of 90 cm, this agrees with what was found in the sites of this study.
Regarding Morisita's structural index, the species reports an aggregate distribution behavior Iδ = > 1.0, that is, it likes to dominate a sector chosen by the species of an ecosystem. According to [12] This type of distribution is irregular and not fortuitous, it occurs as a response to local differences in habitat (microhabitat) where individuals find the best combination of factors, it also mentions that aggregate distribution is the most frequent in nature and occurs Due to the tendency to aggregation that exists in individuals, so plants tend to spread their seeds in their vicinity or in the same place inhabited by them.
Regarding the abundance of the J. neotropica species, it presents differences between the number of individuals per hectare in the different provenances, this is due to the fact that the ecosystems are highly threatened by different anthropic activities such as livestock and agriculture [16]. For this reason, the [7] mentions that the species is categorized as endangered.
On the other hand, the distribution of the species indicates that its distribution is increasingly limited in number of individuals; however, it can be found with difficulty from 2,200-3,000 masl in natural forest ecosystems with areas greater than 5 000 m2.

4.3. Abundance

In the abundance data obtained, it can be seen that the provenance with the highest individuals per hectare of the species J.neotropica, was found in the town of Argelia, followed by Zañe and Tibio. According to [14], it mentions that the The Algerian forest is the product of a forest plantation, for this reason the highest number of individuals was reported in this investigation per area unit with an age of approximately 70 years, which has made it naturalize very well to the climatic conditions that occur. present on the site. Regarding the Origin of the Tundo Protected Forest and the Tibio provenance, which also reported a higher number of individuals per area unit according to the [10], it is due to the fact that they are native forests that share very similar climate characteristics despite being in different provinces respectively.
However, by area extension, The Tundo has approximately 130 ha of forest, being the largest of all the provenances and Argelia as the smallest extension with 0.7 ha.

5. Conclusions

In zone 7 of Ecuador, there are not many relicts or fragments of native forests of J.neotropica, the few fragments that exist presented a vertical structure in the form of an inverted j, which means that there is good growth dynamics, insofar as to the vertical structure, the individuals presented a dominance of the site with respect to other individuals that share their habitat. However, the number of individuals per hectare is not abundant in all locations.

Author Contributions

Conceptualization, methodology, writing, B.P.H, Review, S.P.L and D.P.C. All authors have read and agree with the published version of the manuscript.

Funding

This research did not receive external funding.

Data Availability Statement

The data presented in this study are available upon request from the corresponding Author.

Acknowledgments

Private forest owners as well as government entities. Volunteers from the private research laboratory NEOSILVICULTURA TROPICAL who helped in the acquisition of field data over several years.

Conflicts of Interest

The authors declare no conflict of interest.

References

  1. Bachman, S., Moat, J., Hill, A. V., De la Torre, J., & Scott, B. (2011). Supporting Red List threat assessments With. e-Infrastructures for data publishing in biodiversity science, 150, 117. (Google Scholar).
  2. Barreto, G., & Herrera, J. (1990). INDERNED. Publisher Guadalupe LTDA. (Google Scholar).
  3. CATIE. (2002). Forest inventories for broadleaf forests in Central America (Orozco Lorena & Brumér Cecelia, Eds.). CATIE. (Google Scholar) (Cross Ref).
  4. Dueñas, D., Guevara, O., & Santacruz, S. (2022). Valoración económica de los bienes y servicios ecosistémicos del bosque protector Jatumpamba-Jorupe. Revista Geoespacial, 19(1), 12-32. (Google Scholar) (Cross Ref).
  5. Fjellstrom, RG, & Parfitt, DE (1995). Phylogenetic analysis and evolution of the genus Juglans (Juglandaceae) as determined from nuclear genome RFLPs. Plant Systematics and Evolution, 197(1-4), 19-32. [CrossRef]
  6. Garcia Rodriguez, Calixto Jose. 2002. Ecological, silvicultural and utilization study of walnut (Juglans olanchana Standl. & LO Williams) in broadleaf forests of Honduras. Special project as a requirement to qualify for the title of agricultural engineer. Zamorano, Honduras. 38p.(Google Scholar).
  7. IUCN Red List of Threatened Species: Juglans neotropica. IUCN Red List of Threatened Species. (IUCN (Cross Ref).
  8. Lamprecht, H. (1990). Silvicultura en los trópicos: los ecosistemas forestales en los bosques tropicales y sus especies arbóreas; posibilidades y métodos para un aprovechamiento sostenido. (Google Scholar).
  9. MAE. (2015). Las Normas para el Manejo Forestal Sostenible de los Bosques Húmedo. Acuerdo, N. 0125. (Google Scholar) (Cross Ref).
  10. MAE. 2013. Ecuador, M. D. (2013). Sistema de clasificación de los Ecosistemas del Ecuador Continental. Subsecretaría de Patrimonio Natural. Quito. (Google Scholar) (Cross Ref).
  11. Manning, W. E. (1960). The Genus Juglans in South America and the West Indies. Brittonia, 12(1), 1. [CrossRef]
  12. Morláns, C., & María, B. (2014). Introducción a la ecología de poblaciones (Google Scholar).
  13. Nieto, V. M., & Rodríguez, J. (2002). Juglans neotropica Diels. Tropical seed manual. United States Department of Agriculture Forest Service. USA. (Google Scholar).
  14. Palacios, B., Aguirre, Z., Pucha, D., Mocha, J., Feijoo, C., Jumbo, J., & Rojas, A. (2017). Form Factor and Productivity of a Plantation of Juglans neotropica Diels. Established in the premises of the National University of Loja. (Google Scholar) (Cross Ref).
  15. Palacios, B., Mendoza, ZA, Lozano, D., & Yaguana, C. (2016). WEALTH, STRUCTURE AND TREE DIVERSITY OF THE LOWER MOUNTAIN FOREST, ZAMORA CHINCHIPE-ECUADOR. Bosques Latitud Cero, 6(2), Art. 2. https://revistas.unl.edu.ec/index.php/bosques/article/view/233 (Google Scholar) (Cross Ref).
  16. Ramos Veintimilla, RA, Murillo Gamboa, O., & Gallo, LA (2020). Potential for genetic improvement in Juglans neotropica Diels, at 10 months of age in Tunshi, Chimborazo/Potential of Genetic Improvement in Juglans neotropica Diels, at 10 months of age in Tunshi, Chimborazo. KnE Engineering. [CrossRef]
  17. Ronnie de Camino, V. (1999). Sustainable forest management in Latin America: relevant actors and policies. (Google Scholar).
  18. SEMPLADES 2017. General Undersecretary of Planning for Good Living. Quito, Ecuador. (Google Scholar).
  19. Townsend, J. P., Cavalieri, D., & Hartl, D. L. (2003). Population genetic variation in genome-wide gene expression. Molecular Biology and Evolution, 20(6), 955-963. (Google Scholar).
  20. Tropics. (1982). Juglans neotropica. https://www.tropicos.org/name/16700014 (Tropicos.org).
  21. Zunino, M., & Palestrini, C. (1991). El concepto de especie y la biogeografía. Anales de biología, vol. 17, 1991.( Google Scholar).
Figure 2. Geographic location of occurrences of the specie J. neotropica.
Figure 2. Geographic location of occurrences of the specie J. neotropica.
Preprints 76034 g002
Figure 3. Measurement of structural parameters in the different localities of zone 7 of Ecuador, The Tibio (a1), The Merced (a2); The Tundo (b1) The Victoria (b2), The Zañe (b3), The Argelia (b4).
Figure 3. Measurement of structural parameters in the different localities of zone 7 of Ecuador, The Tibio (a1), The Merced (a2); The Tundo (b1) The Victoria (b2), The Zañe (b3), The Argelia (b4).
Preprints 76034 g003aPreprints 76034 g003b
Figure 5. Vertical structure in the different provenances of the study area The Tibio (a1), The Merced (a2), The Tundo (b1), The Victoria (b2), The Zañe (b3), The Argelia (b4).
Figure 5. Vertical structure in the different provenances of the study area The Tibio (a1), The Merced (a2), The Tundo (b1), The Victoria (b2), The Zañe (b3), The Argelia (b4).
Preprints 76034 g005
Figure 6. Analysis of variance of dasometric variables in the different provenances of the study area The Tibio (a1), The Merced (a2), The Tundo (b1), The Victoria (b2), The Zañe (b3), The Argelia (b4).
Figure 6. Analysis of variance of dasometric variables in the different provenances of the study area The Tibio (a1), The Merced (a2), The Tundo (b1), The Victoria (b2), The Zañe (b3), The Argelia (b4).
Preprints 76034 g006
Table 2. Localidades visitadas y estudiadas de J. neotropica Diels la zona 7 de Ecuador.
Table 2. Localidades visitadas y estudiadas de J. neotropica Diels la zona 7 de Ecuador.
Preprints 76034 i002
Disclaimer/Publisher’s Note: The statements, opinions and data contained in all publications are solely those of the individual author(s) and contributor(s) and not of MDPI and/or the editor(s). MDPI and/or the editor(s) disclaim responsibility for any injury to people or property resulting from any ideas, methods, instructions or products referred to in the content.
Copyright: This open access article is published under a Creative Commons CC BY 4.0 license, which permit the free download, distribution, and reuse, provided that the author and preprint are cited in any reuse.
Prerpints.org logo

Preprints.org is a free preprint server supported by MDPI in Basel, Switzerland.

Subscribe

Disclaimer

Terms of Use

Privacy Policy

Privacy Settings

© 2026 MDPI (Basel, Switzerland) unless otherwise stated