Submitted:
07 June 2023
Posted:
07 June 2023
Read the latest preprint version here
Abstract
Keywords:
1. Introduction
2. Methods
2.1. Model building
2.2. Control reproduction number
2.3. Disease-free equilibrium point and its stability
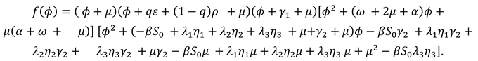
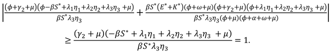
2.4. Endemic equilibrium point and its stability
3. Results
3.1. The number of A, C and potential virus carriers K with time
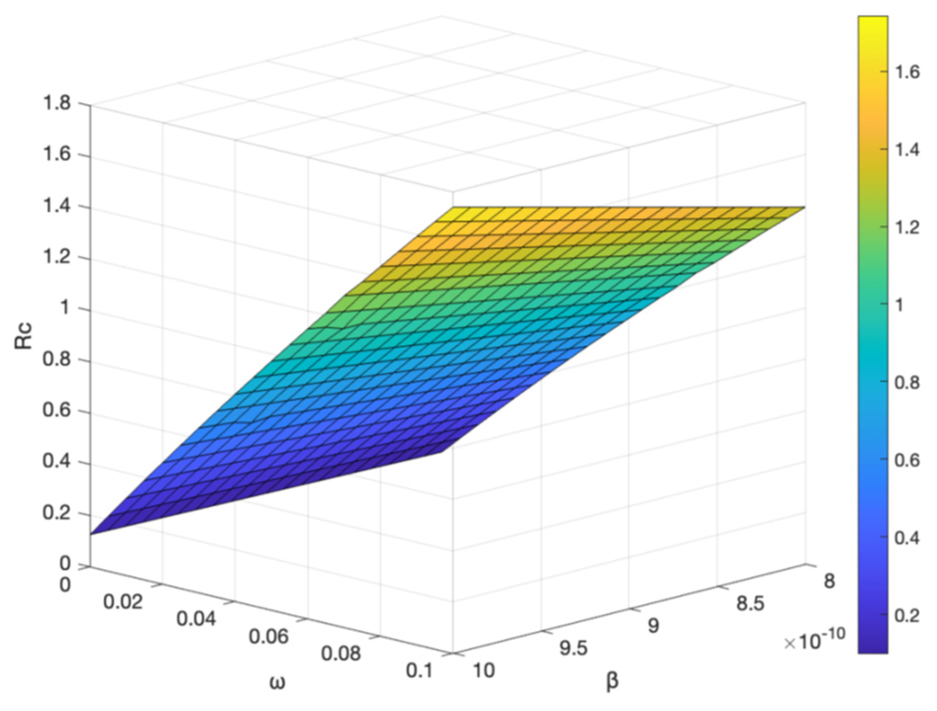
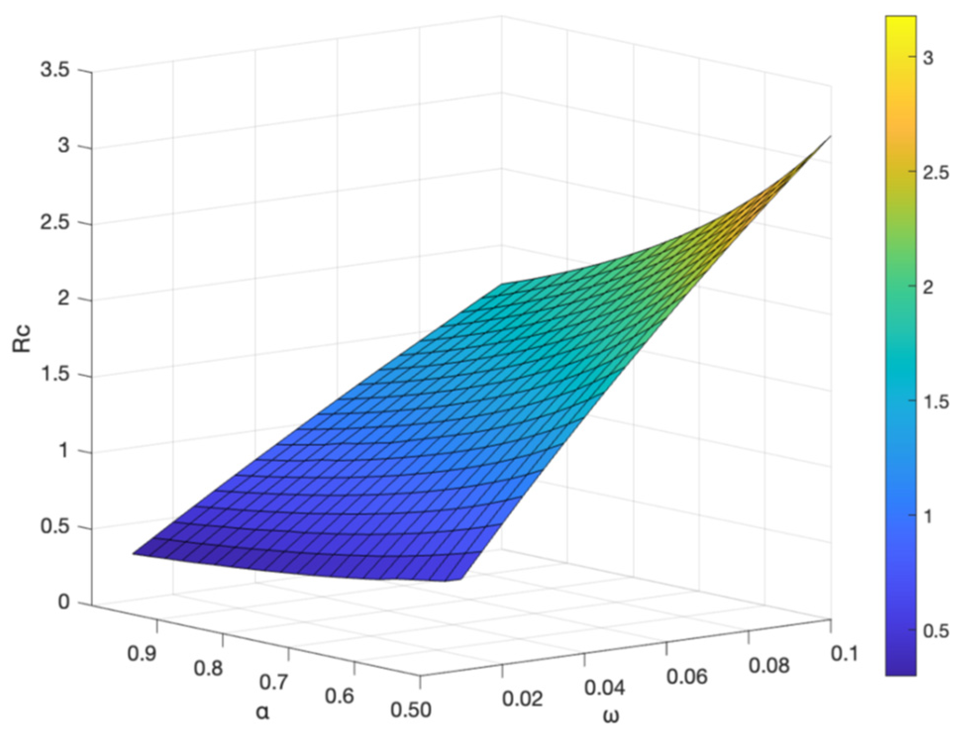
3.2. The impact of parameter
3.3. Effect of vaccine failure rate
3.4. Effect of vaccine failure rates
3.5. Effect of vaccination rates
3.6. Effect on
4. Conclusion
Acknowledgments
Interest and Declaration
References
- X. S. Dong, L. Xie, X. J. Guo, G. Xiong, J. W. Guo. Research on Improved Dynamic Models of Hepatitis B Virus [J]. Science and Technology Bulletin, 2011, 27(05):773-776.
- World Health Organization. Available online: https://www.who.int/zh/news-room/fact-sheets/detail/hepatitis-b.
- X. J. Wang.The GAVI project in China [J]. China Public Health Management, 2004(05): 410-412. [CrossRef]
- L. L. Su, W. D. Li, A. L. Yang, W.B.Chen. Analysis and application of a kind of transmission dynamics of hepatitis B virus [J]. Journal of Lanzhou University (Natural Science Edition), 2018, 54(03):410-416+423.
- Y. N. Sun, Y. K. Xue, Analysis of a Hepatitis B Kinetic Model with Physical Examination and Immunization [J]. Practice and understanding of mathematics, 2020, 50(11):265-272.
- D. M. Li, W. H. Liu, Q. Wang, M. J. Guo. Dynamics Model of Hepatitis B Immunoglobulin Blocking the Transmission of Hepatitis B Virus between Mother and Infant [J]. Journal of Engineering Mathematics, 2021, 38(02):151-166.
- Y. Y. Liu, Y. Luo, Y. Z. Hu. The Study on Dynamical Model of HBV Infection [J]. Journal of Wenzhou University (Natural Science Edition), 2017, 38(02):33-41.
- Y. J. Tao, H. P. Feng. Hepatitis B virus infection model with vertical transmission and infection period[J]. Journal of Hebei University (Natural Science Edition), 2017, 37(06):567-571.
- T. T. Zhao, D. M. Luo, W. Xu, X. Y. Li, D. L. F. Z. Uthman, Y. Yang. Study on Dynamic Model of Hepatitis B in Xinjiang during 2005-2014 [J]. Science and Technology Perspectives, 2017(20):1-2+36.
- O’Leary, C., Z. Hong, F. Zhang, M. Dawood, G. Smart, K. Kaita, and J. Wu. A mathematical model to study the effect of hepatitis B virus vaccine and antivirus treatment among the Canadian Inuit population. European Journal of Clinical Microbiology Infectious Diseases 29.1 (2009): 63-72. [CrossRef]
- J. Pang, J. A. Cui, X. Zhou. Dynamical behavior of a hepatitis B virus transmission model with vaccination. J Theor Biol. 2010 Aug 21; 265(4):572-8. [CrossRef]
- H. Habenom, D. L. Suthar, D. Baleanu, S. D. Purohit. A Numerical Simulation on the Effect of Vaccination and Treatments for the Fractional Hepatitis B Model. ASME.J. Computation Nonlinear Dynamic. January 2021, 16(1): 011004. 20 January. [CrossRef]
- R. Djidjou Demasse, J. J. Tewa, S. Bowong, Y. Emvudu. Optimal control for an age-structured model for the transmission of hepatitis B. J Math Biol. 2016, 73(2):305-33. [CrossRef]
- H. L.Yang. The dynamic analysis of a hepatitis B virus transmission model [D]. Wuhan: School of Mathematics and Statistics, Huazhong Normal University, 2015.
- Driessche P V, D. Reproduction numbers of infectious disease models. Infect Dis Model. 2017 Jun 29; 2(3):288-303.
- G. Q. Sun, J. Zhang, L. P. Song, Z. Jin, B. L. Li.Pattern formation of a spatial predator-prey system. Applied Mathematics and Computation. 2012; 218(22):11151–11162. [CrossRef]
- CHINESE CENTER FOR DISEASE CONTROL AND PREVENTION. Available online: https://www.chinacdc.cn.
- National Bureau of Statistics. Available online: http://www.stats.gov.cn.
- National Health Commission of the People's Republic of China. Available online: http://www.nhc.gov.cn.













| Parameter | Value | Reference | Parameter | Value | Reference |
|---|---|---|---|---|---|
| 1 | Estimated | 0.007 | [18] | ||
| 0.1 | [3] | 0.11 | Fitted | ||
| 3.4 | [19] | 0.5 | Fitted | ||
| 3.4 | [19] | 0.39 | Calculated | ||
| 3.4 | Calculated | 0.8805 | [1] | ||
| 0.0461 | Calculated | 0.0461 | Calculated | ||
| Fitted | 4 | [1] | |||
| 4 | [1] |
| Year | K | K | K | |||
|---|---|---|---|---|---|---|
| 2004 | 0.28 | 368296 | 0.28 | 368431 | 0.28 | 368566 |
| 2005 | 0.30 | 430598 | 0.30 | 431571 | 0.30 | 432541 |
| 2006 | 0.29 | 449705 | 0.29 | 452167 | 0.29 | 454624 |
| 2007 | 0.28 | 453797 | 0.28 | 458081 | 0.28 | 462366 |
| 2008 | 0.28 | 452865 | 0.28 | 459110 | 0.28 | 465379 |
| 2009 | 0.28 | 450334 | 0.28 | 458592 | 0.28 | 466907 |
| 2010 | 0.30 | 447350 | 0.30 | 457632 | 0.31 | 468028 |
| 2011 | 0.29 | 444292 | 0.29 | 456603 | 0.30 | 469102 |
| 2012 | 0.29 | 441287 | 0.29 | 455625 | 0.30 | 470246 |
| 2013 | 0.31 | 438374 | 0.32 | 454738 | 0.33 | 471495 |
| 2014 | 0.32 | 435566 | 0.33 | 453952 | 0.34 | 472866 |
| 2015 | 0.32 | 432865 | 0.33 | 453272 | 0.34 | 474361 |
| 2016 | 0.31 | 430269 | 0.32 | 452698 | 0.34 | 475983 |
| 2017 | 0.30 | 427778 | 0.31 | 452229 | 0.32 | 477732 |
| 2018 | 0.30 | 425387 | 0.31 | 451865 | 0.32 | 479609 |
| 2019 | 0.30 | 423097 | 0.31 | 451603 | 0.32 | 481614 |
| 2020 | 0.32 | 420904 | 0.33 | 451444 | 0.35 | 483749 |
| 2021 | 0.30 | 418807 | 0.32 | 451386 | 0.33 | 486013 |
Disclaimer/Publisher’s Note: The statements, opinions and data contained in all publications are solely those of the individual author(s) and contributor(s) and not of MDPI and/or the editor(s). MDPI and/or the editor(s) disclaim responsibility for any injury to people or property resulting from any ideas, methods, instructions or products referred to in the content. |
© 2023 by the authors. Licensee MDPI, Basel, Switzerland. This article is an open access article distributed under the terms and conditions of the Creative Commons Attribution (CC BY) license (http://creativecommons.org/licenses/by/4.0/).